ORIGINAL RESEARCH article
Front. Phys.
Sec. Condensed Matter Physics
Quantum Tunneling and Barrier Hopping in MgTi₂O₅ Nanoparticles: A Study of AC/DC Conductivity and Dielectric Response
Provisionally accepted- 1Jouf University, Sakakah, Saudi Arabia
- 2Al-Azhar University Faculty of Engineering, Nasr City, Egypt
- 3Universitatea Politehnica din Bucuresti, Bucharest, Romania
- 4South Valley University, Qena, Egypt
Select one of your emails
You have multiple emails registered with Frontiers:
Notify me on publication
Please enter your email address:
If you already have an account, please login
You don't have a Frontiers account ? You can register here
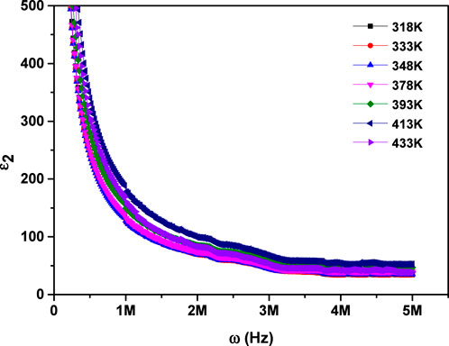
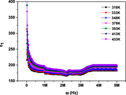
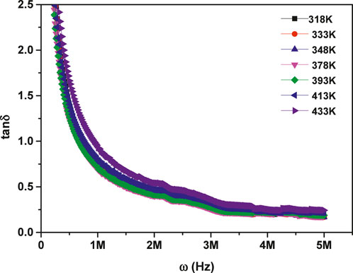
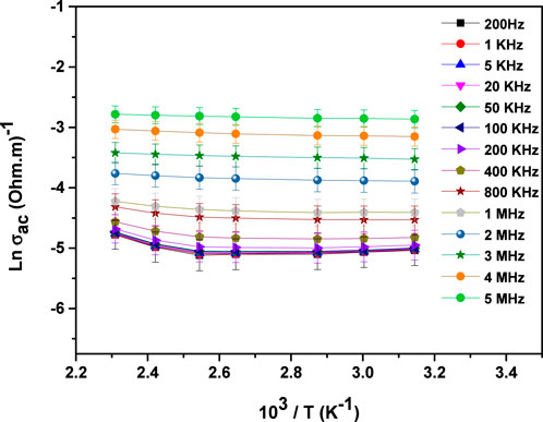
The electrical conductivity and dielectric characteristics were investigated across a frequency range of 200 – 5 MHz and a temperature range of 318 K to 433K for MgTi2O5 nanoparticles (NPs). The electrical conductivity data displayed two dominant conduction mechanisms: a quantum mechanical tunneling model (QMT) and the correlated barrier hopping model (CBH). The activation energy values derived from the Direct Current (DC) Conductivity were 0.15 and 0.27 eV. In addition, the activation energy values derived from the Alternating Current (AC) Conductivity decreased as frequency increased from 0.13 to 0.014 eV due to the improvement of electronic jumps among localized states. Additionally, dielectric investigation of MgTi2O5 NPs within the frequency range from (200 – 5MHz) and the temperature range from (318K-433K) revealed that both real (ε1) and imaginary (ε2) components of a dielectric permittivity decrease as the frequency increased and increased as a temperature increased due to thermal motion of electrons, which is related to the polarization mechanism.
Keywords: MgTi2O5 NPs, QMT model, CBH model, ac conductivity, dielectric properties
Received: 19 Oct 2025; Accepted: 07 Nov 2025.
Copyright: © 2025 Salwa, Wasly, Ioanid and Abd El-sadek. This is an open-access article distributed under the terms of the Creative Commons Attribution License (CC BY). The use, distribution or reproduction in other forums is permitted, provided the original author(s) or licensor are credited and that the original publication in this journal is cited, in accordance with accepted academic practice. No use, distribution or reproduction is permitted which does not comply with these terms.
* Correspondence:
A.S Salwa, ssaali@ju.edu.sa
Alexandra Ioanid, alexandra.ioanid@upb.ro
Disclaimer: All claims expressed in this article are solely those of the authors and do not necessarily represent those of their affiliated organizations, or those of the publisher, the editors and the reviewers. Any product that may be evaluated in this article or claim that may be made by its manufacturer is not guaranteed or endorsed by the publisher.
