Abstract
A rich variety of nematic/smectic orders in Fe-based superconductors is an important unsolved problem in strongly correlated electron systems. A unified understanding of these orders has been investigated for the last decade. In this study, we explain the B1g symmetry nematic transition in FeSe1−xTex, the B2g symmetry nematicity in AFe2As2 (A = Cs, Rb), and the smectic state in BaFe2As2 based on the same framework. We investigate the quantum interference mechanism between spin fluctuations by developing the density wave equation. The observed rich variety of nematic/smectic orders is naturally understood in this mechanism. The nematic/smectic orders depend on the characteristic shape and topology of the Fermi surface (FS) of each compound. 1) In FeSe1−xTex (nd = 6.0), each FS is very small and the dxy-orbital hole pocket is below the Fermi level. In this case, the small spin fluctuations on three dxz, dyz, and dxy orbitals cooperatively lead to the B1g nematic (q = 0) order without magnetization. The experimental Lifshitz transition below the nematic transition temperature (TS) is naturally reproduced. 2) In BaFe2As2 (nd = 6.0), the dxy-orbital hole pocket emerges around the M point, and each FS is relatively large. The strong spin fluctuations due to the dxy-orbital nesting give rise to the B1g nematic (q = 0) order and the smectic [q = (0, π)] order, and the latter transition temperature (T* ∼ 170K) exceeds the former one (TS ∼ 140K). 3) In heavily hole-doped AFe2As2 (nd = 5.5), the large dxy-orbital hole pocket and the four tiny Dirac pockets appear due to the hole-doping. The B2g nematic bond order emerges on the dxy-orbital hole pocket because of the same interference mechanism. The present paramagnon interference mechanism provides a unified explanation of why the variety of nematic/smectic orders in Fe-based superconductors is so rich, based on the well-established fermiology of Fe-based superconductors.
1 Introduction
The emergence of an electron nematic (q = 0) state is one of the most important unsolved problems in Fe-based superconductors [1]. In LaFeAsO and Ba122 compounds, the antiferro (AF) magnetic state appears at the Néel temperature TN, which is lower than the nematic transition temperature TS. Since the superconducting phase with a high transition temperature (Tc) appears near the nematic phase and the AF magnetic phase, it is expected that the nematic fluctuations and the spin fluctuations are related to the mechanism of the high-Tc superconductivity. However, the questions appear before discussing the superconductivity: 1) what is the order parameter of the nematic state? 2) What is the driving force of the nematic state? 3) Why do the diverse nematic states emerge in various compounds?
It is known that the nematic order cannot be derived from the mean-field theory since the spin-channel order always dominates over the nematic order unless unphysical parameters (such as negative Hund’s coupling) are assumed. Previously, to explain the nematic state [2], the vestigial order (spin nematic) scenario [3–9] and the orbital order scenario [10–22] have been proposed.
To investigate the nematic state, the FeSe family is an ideal platform since the AF magnetic state is absent [23–26]. This family is also ideal from the aspect of superconductivity since the highest Tc ≳ 65K in Fe-based superconductors has been reported in electron-doped FeSe [27–31]. In FeSe, the orbital polarization between dxz and dyz orbitals in the nematic state has been observed by angle-resolved-photoemission spectroscopy (ARPES) [32–36]. To be more precise, the orbital polarization energy Exz − Eyz has k dependence and changes the sign between the Γ point and the X (Y) point. This sign reversal orbital polarization has been explained by the orbital order scenario [16, 17, 19, 20] based on the paramagnon interference mechanism and by the renormalization group (RG) theory [37, 38]. In both theories, the vertex correction (VC) of the Coulomb interaction, which corresponds to the higher-order many-body effect, plays an essential role. Since the AF magnetic correlation is weak in FeSe, it is difficult to explain the nematic state by the vestigial order (spin nematic) scenario. Based on the paramagnon interference mechanism, the B1g nematic orders in LaFeAsO and FeSe [14–18] and the nematic orders in cuprate superconductors [39–41] and magic-angle twisted bilayer graphene [42] have been explained as the orbital/bond orders. CDW orders in the transition metal dichalcogenide [43] and kagome metal [44] have also been explained by the paramagnon interference mechanism.
The rich variety of nematicity in the FeSe family remains a significant open problem. In FeSe1−xSx, TS disappears at x ∼ 0.17, where the emergence of the nematic quantum critical point (QCP) has been suggested by experiments [45–48]. Recently, the whole x dependent phase diagram for FeSe1−xTex (x ≲ 0.6) has been reported [49–51]. In the phase diagram shown in Figure 1A, TS decreases with Te doping x, and TS disappears at x ∼ 0.5. Tc becomes maximum K at x ∼ 0.6, which indicates that the nematic fluctuations enlarge the superconducting pairing interaction near the nematic QCP. Thus, it is essential to clarify the mechanism of x dependence of TS to understand the mechanism of superconductivity in the FeSe family.
FIGURE 1

(A) Schematic x-T phase diagram of FeSe1−xTex, where TS decreases with x, and Tc becomes maximum near the nematic QCP. (B) Schematic x-T phase diagram of , where tiny nematicity appears for TS < T < T*. We explain that “tiny nematicity” above TS originates from the smectic bond order in later sections. (C) Schematic x-T phase diagram of Ba1−xRbxFe2As2. The B2g nematic order appears for the heavily hole-doped region x > 0.5. (D) Feynman diagram of the paramagnon interference mechanism for the orbital/bond order. (E) Feynman diagram of self-energy Σ(k).
In addition, a significant open issue in nematicity is the emergence of another type of nematicity in various Ba122 compounds below T = T*, which is higher than TS by tens of Kelvin, as shown in Figure 1B. An actual bulk nematic transition at T = T* has been reported in many experimental studies, such as a magnetic torque study [52], an X-ray study [53], an optical measurement study [54], and a laser photoemission electron microscope (PEEM) study [55]. Since the orthorhombicity (a − b)/(a + b) ≪ 0.1% below T* is tiny, an extrinsic origin such as inhomogeneity of the nematic transition temperature TS due to local uniaxial pressure and randomness was proposed [4, 56–60]. On the other hand, T* seems not to be sensitive to the sample quality and the local strain, and the domain structure of nematicity observed above TS is homogeneous [54, 55]. It is noteworthy that bulk orbital polarization starts to emerge at T = T*(>TS) in Ba122 compounds, according to the recent PEEM study [55]. In this study, we will explain the multistage smectic/nematic transitions: the smectic order (q ≠ 0) at T = T* and the nematic order (q = 0) at TS. In this scenario, T* is given by the intrinsic smectic order free from randomness.
In contrast to B1g nematicity in typical Fe-based superconductors, the emergence of 45°-rotated B2g nematicity in heavily hole-doped AFe2As2 (A = Cs, Rb) has been reported in Refs. [61–64], while Refs. [65, 66] have reported the absence of the nematic order. As shown in Figure 1C, the dominant B1g nematicity changes to B2g nematicity with doping x in Ba1−xRbxFe2As2. As for the mechanism of B2g nematicity, vestigial nematic order by using the double-stripe magnetic configuration was suggested [67]. However, no SDW transition has been observed [64, 68] in AFe2As2, and the spin fluctuations are weak around TS in RbFe2As2 [69]. In this study, we reveal the emergence of B2g-symmetry bond order in AFe2As2.
As described previously, the variety of nematicity in Fe-based superconductors is very rich. To understand the mechanism of nematic/smectic states and superconductivity, it is important to explain these nematic/smectic states in the same theoretical framework.
In this study, we study B1g nematicity in FeSe1−xTex (nd = 6.0), the tiny nematicity below T* in BaFe2As2 (nd = 6.0), and B2g nematicity in AFe2As2 (A = Cs, Rb) (nd = 5.5) by developing the density wave (DW) equation theory. In this theory, the paramagnon interference mechanism due to the Aslamazov–Larkin (AL) type VCs shown in Figure 1D is taken into account. We also take into account of the self-energy effect shown in Figure 1E. In this mechanism, the rich variety of nematicity is naturally understood. The obtained nematicity depends on the shape and topology of FSs, as shown in Figures 2A–C. 1) In FeSe1−xTex, all FSs are very small, and dxy-orbital hole pocket is absent. The small spin fluctuations on the three dxz, dyz, and dxy orbitals cooperatively lead to the B1g nematic order, where the orbital order for dxz and dyz orbitals coexists with the bond order for the dxy orbital. The experimental Lifshitz transition below TS is naturally explained by the nematic order. 2) In BaFe2As2, the dxy hole pocket emerges, and each FS is relatively large. The smectic order at T = T*(>TS) and the nematic order at T = TS emerge due to the strong dxy-orbital nesting. The smectic order explains the tiny nematicity below T*, and the multistage transitions are explained by the smectic and nematic orders. 3) In heavily hole-doped AFe2As2, the large dxy-orbital hole pocket and the four tiny Dirac pockets appear. The B2g nematic bond order emerges due to the dxy-orbital paramagnon interference mechanism, where the nesting between the Dirac pockets and the large dxy-orbital hole pocket plays an important role. By considering the fermiology of each compound, these various nematic/smectic states are explained by the same theoretical framework based on the paramagnon interference mechanism.
FIGURE 2

FSs of (A) FeSe (nd = 6.0), (B) BaFe2As2 (nd = 6.0), and (C) AFe2As2 (A = Cs, Rb) (nd = 5.5). The colors green, red, and blue correspond to orbitals 2, 3, and 4, respectively. A variety of nematic/smectic states originates from the characteristic structure of FSs.
In the present study, we intensively study the effect of self-energy on the nematic/smectic orders. It has been dropped in many previous studies, despite the fact that self-energy is necessary to satisfy the criteria of Baym–Kadanoff’s conserving approximation [70, 71]. We revealed that 1) the nematic/smectic order is stabilized by the AL-type VCs, while 2) TS is reduced to become realistic (K) by introducing self-energy. These results validate the idea of the “nematic/smectic state due to the paramagnon interference mechanism” proposed in our previous studies [14–20, 39–44]. In addition, 3) the phase diagram of FeSe1−xTex [49–51] is understood by using a fixed Coulomb interaction because of self-energy (in the absence of self-energy, add-hoc doping x dependence of the Coulomb interaction has to be introduced). The main merits (1)–(3) in the present study strongly indicate that the nematic/smectic states originate from the paramagnon interference mechanism [14–20, 39–44].
2 Multiorbital Models and Formulation
2.1 Multiorbital Models
Here, we introduce multiorbital models based on the first principle’s calculations. We analyze the following two-dimensional d-p Hubbard model with a unique parameter r, which controls the strength of the Coulomb interaction [16]:where is the first-principle’s model, and HU is the Coulomb interaction for d-orbitals. We neglect the Coulomb interaction for p-orbitals. We denote the five Fe d-orbitals , dxz, dyz, and dxy, as l = 1, 2, 3, 4, and 5, and three Se(As) p-orbitals px, py, and pz as l = 6, 7, and 8. To obtain the model, we first use the WIEN2k [72] and Wannier90 [73] codes. Next, to reproduce the experimentally observed FSs, we introduce the k-dependent shifts for orbital l, δEl, by modifying the intra-orbital hopping parameters, as explained in Ref. [17]. In the FeSe1−xTex model, we shift the dxy-orbital band and the dxz/yz-orbital band at [Γ, M, X] points by [0eV, − 0.27 eV, + 0.40 eV] and [ − 0.24 eV, 0 eV, + 0.13 eV], respectively. In the BaFe2As2 model, the shifts are absent. In the CsFe2As2 model, we shift the dxy-orbital band and the dxz/yz-orbital band at [Γ, M, X] points by [0 eV, + 0.40 eV, 0 eV] and [ − 0.40 eV, 0 eV, + 0.10 eV], respectively.
We use the d-orbital Coulomb interaction introduced by the constraint random phase approximation (RPA) method in Ref. [74]. The Coulomb interactions for the spin and charge channels are generally given as
The Hamiltonian of the Coulomb interaction is given aswhere σ, σ′ = ±1 denote spin.
By using the multiorbital Coulomb interaction, the spin (charge) susceptibility for q = (q, ωm = 2mπT) is given bywhere irreducible susceptibility is is the multiorbital Green function with the self-energy and given as for = [k, ϵn = (2n + 1)πT]. Here, is the matrix expression of H0, and μ is the chemical potential. The spin (charge) Stoner factor αs(c) is defined as the maximum eigenvalue of . Since holds, spin (charge) fluctuations develop with increasing αs(c), and αs(c) = 1 corresponds to the spin- (charge)-channel ordered state.
2.2 FLEX Approximation
Here, we introduce the multiorbital fluctuation exchange (FLEX) approximation [15, 75]. The FLEX approximation satisfies the conserving approximation formalism of Baym and Kadanoff [70, 71]. In the FLEX approximation, self-energy is given aswhich is shown by the Feynman diagram in Figure 1E. The effective interaction for self-energy in the FLEX approximation is given aswhere and are denoted. We set μ = 0. , , and are calculated self-consistently. In multiband systems, the FSs are modified from the original FSs because of the self-energy correction. To escape from this difficulty, we subtract the Hermite term from the original self-energy, which corresponds to the elimination of double-counting terms between the LDA and FLEX.
2.3 Density-Wave Equation
We derive the strongest charge-channel density-wave (DW) instability without assuming the order parameter and wave vector. For this purpose, we use the DW equation method developed in Refs. [16, 19, 76]. We obtain the optimized non-local form factor with the momentum and orbital dependences by solving the following linearized DW equation shown in Figure 3A:where λq is the eigenvalue of the form factor , , and is the charge-channel irreducible four-point vertex shown in Figure 3B. The four-point vertex interaction in the DW Eq. 10 [16, 19] is given bywhere as = 3, ac = 1, p = (p, ωl), and .
FIGURE 3

Feynman diagrams of (A) DW equation and (B) charge-channel irreducible four-point vertex. Each wavy line represents a spin-fluctuation-mediated interaction.
In Eq. 11, the first line corresponds to the Maki-Thompson (MT) term, and the second and third lines give the AL terms, respectively. Feynman diagrams of the MT terms and AL terms are shown in Figure 3B.
The AL terms are enhanced by the paramagnon interference shown in Figure 1D. Thus, q = Q + Q′ = 0 nematic order is naturally induced by the paramagnon interference at the same nesting vector (Q′ = −Q). In the MT term, the first-order term with respect to gives the Hartree–Fock (HF) term in the mean-field theory. The charge-channel DW with wave vector q is established when the largest λq = 1. Thus, the smaller λq corresponds to the lower TS. DW susceptibility is proportional to 1/(1 − λq) as explained in Ref. [20]. Therefore, λq represents the strength of the DW instability.
3 Results and Discussions
3.1 Results of FeSe1−xTex
In this section, we show that 1) the B1g nematic orbital + bond order originates from the paramagnon interference, and 2) the effect of self-energy is essential to reproduce the x dependence of TS as shown in Figure 1A in FeSe1−xTex. The effect of self-energy on the nematic/smectic order caused by the VCs is systematically studied in the present work. Because of self-energy, TS is reduced to become realistic (K), while the symmetry of the nematic/smectic order is unchanged. Thus, the idea of electronic nematicity due to “the paramagnon-interference mechanism” proposed in Refs. [14–20, 39–44] has been confirmed by the present study.
Hereafter, we fix r = 0.35, T = 15 meV in calculations with self-energy and r = 0.15, T = 15 meV in calculations without the self-energy, unless otherwise noted.
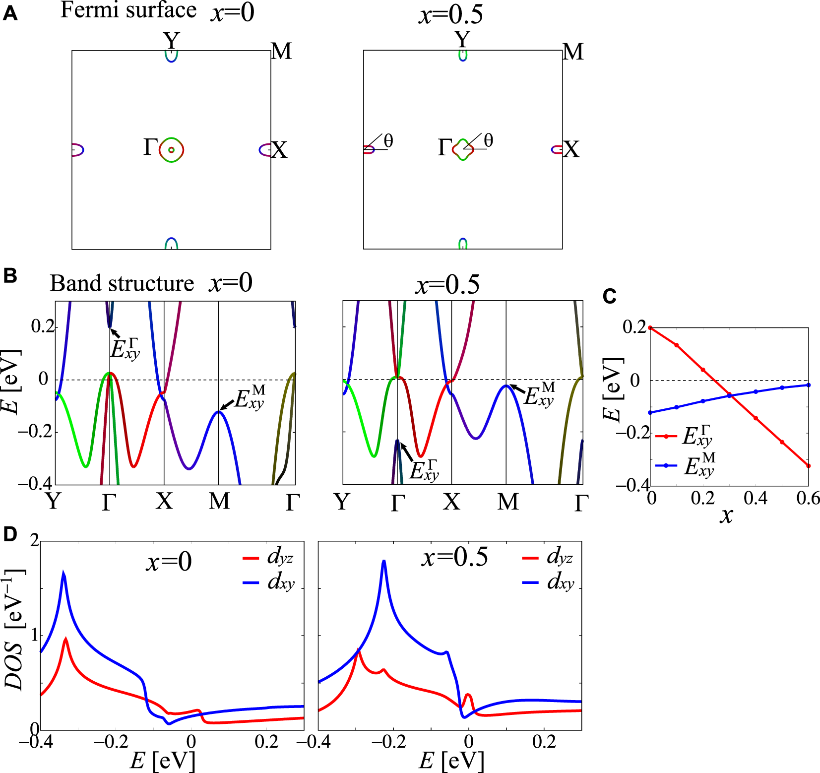
Figures 4A,B show x dependent FSs and band structures, respectively. The FSs are small compared to other Fe-based superconductors. The dxy orbital level at the M point increases with increasing x, as shown in Figure 4C. This behavior is consistent with ARPES measurements [77, 78]. On the other hand, the dxy orbital level at the Γ point decreases with increasing x. becomes lower than the dxz(yz) orbital level for x ≳ 0.3, and the topology of band changes. The change in topology has been observed between Γ and Z points in ARPES measurements of FeSe0.5Te0.5 [79, 80]. Figure 4D shows the density of state (DOS) of orbitals 3 and 4 for x = 0, 0.5. The DOS near the Fermi level for x = 0.5 is larger than that for x = 0 since the bandwidth decreases, and comes close to the Fermi level with increasing x. In addition, the dispersion of orbitals 2 and 3 at the Γ point becomes flat as decreases with increasing x, which also enlarges the DOS for orbitals 2 and 3 near the Fermi level.
FIGURE 4

(A) FSs and (B) band structures of FeSe1−xTex for x = 0 and 0.5. (C)x dependences of and . (D) DOS of orbitals 3 and 4 for x = 0, 0.5.
To discuss the self-energy effect, we calculate the mass enhancement factors. Figure 5 shows the obtained x dependence of the mass enhancement factors for orbital l = 3, 4, which are given by in the FLEX approximation. The value of increases with increasing x since the electron correlation increases due to the reduction in the bandwidth and the increase in the DOS as shown in Figure 4D. Particularly, is enhanced by the dxy orbital electron correlation between the electron pockets and the band around the M point since comes close to the Fermi level, as shown in Figure 4C. The behaviors of are similar to those given by the dynamical mean-field theory [81] and experiment [82].
FIGURE 5

x dependences of the mass enhancement factor for orbitals l = 3 and 4.
Figure 6 shows x dependences of and in the FLEX approximation and the RPA. is almost independent of doping x, which means that change in topology or the number of FS around Γ comprising dxz and dyz orbitals does not strongly affect the spin fluctuation for the dxz(yz) orbital. On the other hand, in the RPA without self-energy is strongly enhanced with increasing x since the electron correlation for the dxy orbital between electron pockets and the band around the M point is significant for the enhancement of . The strong enhancement of is suppressed by the self-energy in the FLEX approximation. This suppression is necessary to reproduce the x dependence of TS in the phase diagram.
FIGURE 6

x dependences of in the FLEX approximation. Those in the RPA are shown in the inset.
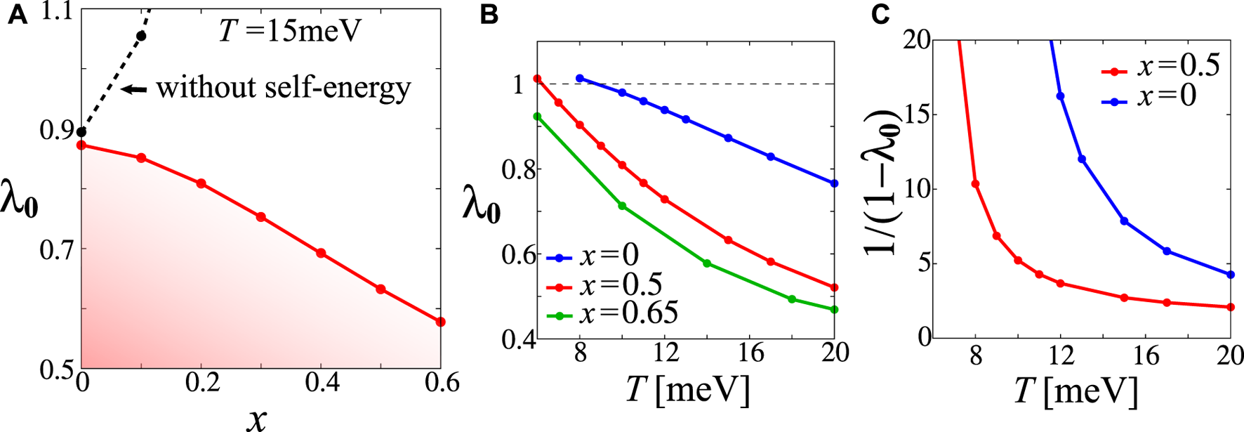
Hereafter, we discuss the DW instability given by the DW Eq. 9. Figure 7A shows x dependences of λ0 for the B1g nematic state with and without the self-energy. λ0 without the self-energy rapidly increases with doping x due to the paramagnon interference shown in Figure 1D. λ0 is enlarged by the interference between strongly enhanced in the RPA, as shown in Figure 6. Since this result means TS increases with x, the phase diagram in Figure 1A cannot be explained when the self-energy is absent. However, λ0 including the self-energy decreases with doping x since the enhancement of in the FLEX approximation is moderate and the self-energy suppresses the and in the DW Eq. 10. The value of λ0 increases with decreasing T, as shown in Figure 7B, and T = TS is given when λ0 = 1 is satisfied. Thus, TS at x = 0 is higher than that at x = 0.5, and TS at x = 0.65 cannot be obtained for T > 6 meV. The x dependence of TS obtained by the paramagnon interference mechanism is consistent with the phase diagram in Figure 1A [49]. We see that T dependences of the strength of nematic fluctuations 1/(1 − λ0) satisfy the Curie–Weiss law at low temperatures, as shown in Figure 7C. We note that the B1g nematic state is realized because of the small FSs even for the weak spin fluctuations [16, 17].
FIGURE 7

(A)x dependences of λ0 in the DW equation with and without self-energy at T = 15 meV. (B)T dependences of λ0 with self-energy for x = 0, 0.5, 0.65. (C)T dependences of 1/(1 − λ0) with self-energy for x = 0, 0.5.
Here, we analytically explain that TS is reduced by self-energy by focusing on the mass renormalization factor z. As discussed in Ref. [17], αs(c) is independent of z under the scaling T → zT and r → r/z. Under this scaling, the eigenvalue of the DW equation is unchanged [17]. Thus, TS obtained by the DW equation without the self-energy is reduced to zTS because of the self-energy. As a result, realistic TS is obtained by taking self-energy into account.
Figure 8A shows q dependences of λq with the self-energy at x = 0, 0.5. λq has peak at q = 0, which means that the ferro nematic order is favored. Figure 8B shows k dependences of the static form factors and , where is given by the analytic continuation of . represents B1g orbital order between orbitals 2 and 3. From the k dependence of , the sign-reversing orbital order is confirmed along the kx(ky) axis. As shown in Figure 8C, k dependence of causes the B1g nearest-neighbor bond order, which is the modulation of correlated hopping. Based on the paramagnon interference mechanism, we find that the small spin fluctuations on the three dxz, dyz, and dxy orbitals cooperatively cause the B1g nematic orbital + bond order. The FSs and the band structure under the nematic order with the maximum value of the form factor meV are shown in Figures 8D,E. meV with the mass enhancement factor is consistent with ARPES measurements [35, 36]. The Lifshitz transition, where the FS around the Y point is missing, has been reported in recent experiments [83–86]. The Lifshitz transition is naturally explained by the increase of the dxy level around the Y point induced by . We note that the obtained coexistence of the bond order on the dxy orbital and the orbital order on the (dxz, dyz) orbitals has already been shown in the supplementary material of Refs. [19, 20]. In Figure 8D, we derived the Lifshitz transition by setting meV by hand. It is noteworthy that the same result is recently obtained by solving the full DW equation in Ref. [87]. The full DW equation enables us to study the electronic states below TS without introducing additional fitting parameters.
FIGURE 8

(A)q dependences of λq with self-energy for x = 0, 0.5. (B)k dependences of and for x = 0, where green lines denote FSs. changes sign along the kx axis (yellow dashed line). (C)B1g nearest-neighbor bond order corresponding to . (D) FSs and (E) band structure under the nematic order with meV for x = 0.
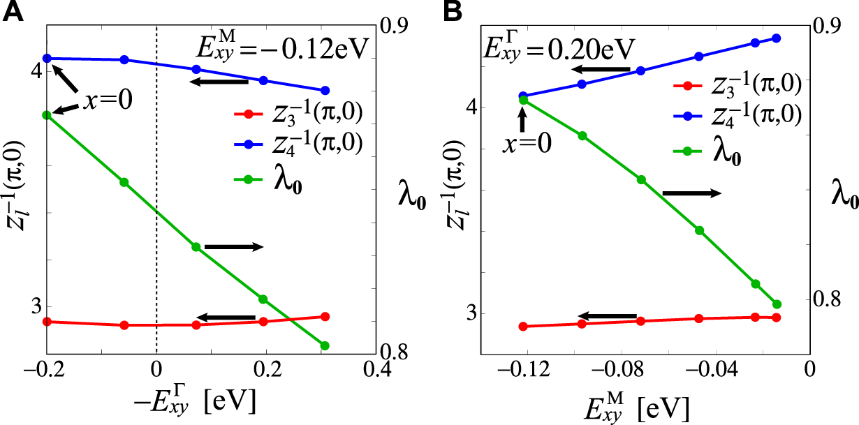
Here, we confirm that the dxy orbital levels at Γ and M points are important for the x dependence of λ0. We use the simple model, where only the shift of or is introduced for the x = 0 model. Figure 9A shows dependences of and λ0, respectively. is almost independent of the value of . λ0 decreases with decreasing , which is consistent with the result shown in Figure 7A. The topology of the band structure changes at the Γ point with decreasing , which plays an important role in decreasing λ0. Figure 9B shows dependences of and λ0, respectively. The behaviors of and λ0 are similar to the results shown in Figure 5, Figure 7A. The x dependences of and λ0 are explained by the electron correlation between the electron pockets and the dxy band around the M point. λ0 is suppressed by self-energy for the dxy orbital. The suppression becomes strong with increasing due to the feedback effect of the self-energy. To summarize, the B1g nematic orbital + bond order is explained by the paramagnon interference mechanism in FeSe1−xTex, and x dependence of TS is well reproduced by the self-energy effect for the dxy orbital.
FIGURE 9

(A) dependences of for l = 3, 4, and λ0 given by introducing only shift for the x = 0 model. (B) dependences of for l = 3, 4, and λ0 given by introducing only shift for the x = 0 model.
3.2 Results of BaFe2As2
In this section, we discuss the multi-nematicity in BaFe2As2 [20].
The effect of self-energy on the nematic/smectic orders caused by the VCs is studied in the present work. Transition temperatures are reduced to become realistic because of the self-energy, while the symmetries of the nematic/smectic orders are unchanged. We reveal the origin of the tiny nematicity below T = T* and explain the multistage transitions at T = T* and TS in the phase diagram shown in Figure 1B. As shown in Figure 2B, the size of the hole FS around the M point comprising the dxy orbital is similar to that of electron FSs around the X and Y points, which causes good intra- and inter-orbital nestings. As explained later, inter-orbital nesting is important to realize the smectic state at T = T*.
Figure 10A shows the q-dependence of λq with and without self-energy. The q = (0, π) smectic bond order is dominant over the q = 0 nematic orbital + bond order because of the relation λ(0,π) > λ0, which is robust in the presence of moderate spin fluctuations αs ≳ 0.85. Thus, the nematic orbital + bond transition temperature TS is lower than T*, where the smectic bond order appears. Figure 10B shows the dominant component of the static form factor, , for q = (0, π). Focusing on the X and M points, is proportional to − cos(ky), which corresponds to the inter-orbital smectic bond order, where the y-direction hoppings between orbitals 3 and 4 are modulated by the correlated hopping δt3,4(y; y ± 1) = −δt4,3(y; y ± 1) = δt(−1)y. It is to be noted that δtl,m(y; y′) is real and equal to δtm,l(y′; y).
FIGURE 10

(A)q dependence of λq with self-energy for r = 0.68 at T = 5 meV in BaFe2As2, and that without self-energy for r = 0.30 at T = 32.4 meV in the inset. (B)k dependence of the dominant form factor at q = (0, π), with self-energy, which is given by the off-diagonal orbitals 3 and 4. k dependences of form factors at q = 0, (C) and (D) with self-energy. Green lines denote FSs.
As shown in Figure 1D, the origin of the smectic bond order is the quantum interference between the spin fluctuations χs(Q) for Q ≈ (0, π) and χs(0) due to the AL terms. In this case, q = (0, π) (= Q + Q′) is given by Q′ = 0. χs(Q) is enhanced when the FS appears around the M point since nesting between FSs around the X and M points becomes good, while the moderate χs(0) is caused by forward scattering. We find that is significantly enlarged by inter-orbital nesting between the dxy-orbital FS around the M point and the dyz-orbital FS around the X point. In addition to the quantum interference due to the AL terms, the MT terms strengthen the sign change of between the X and M points, as reported previously [16, 19, 37]. Thus, the smectic bond order originates from the cooperation between the AL and MT terms due to good inter-orbital nesting between FSs around the X and M points. In contrast, the B1g nematic orbital + bond order shown in Figures 10C,D originates from the interference between χs(Q) and χs(−Q). This nematic orbital + bond order is similar to that in FeSe and FeSe1−xTex.
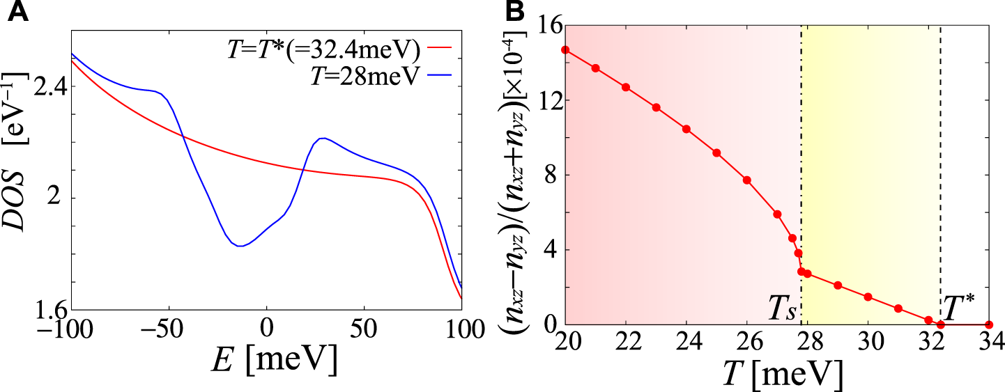
Here, we examine the DOS under the smectic bond order to verify the present theory. For T < T* = 32.4 meV without self-energy, we introduce the mean-field-like T-dependent form factor , where is the obtained form factor for q = (0, π) normalized as maxk| fq(k)| = 1. We put fmax = 60 meV. Figure 11A shows the DOS at T = T* and 28 meV(<T*). For T < T*, a pseudogap appears due to the smectic bond order, which is consistent with the experiments [88, 89]. Since the smectic bond order is an antiferroic order, the folded band structure emerges below T*, which is also consistent with the experiment [90].
FIGURE 11

(A) DOS at T = T* = 32.4 meV and that at T = 28 meV(<T*), including the smectic bond order. (B)T dependence of nematicity ψ = (n2 − n3)/(n2 + n3) including both the smectic-bond order for T < T* and the ferro-orbital/bond order for T < TS.
Next, we focus on another mystery, the T-linear behavior of tiny nematicity ψ in Ba122 [52] below T*. To solve this mystery, we calculate the T dependence of uniform nematicity ψ = (n2 − n3)/(n2 + n3) in Figure 11B, where both for T < T* and the ferro nematic orbital + bond order for meV) are introduced. For T < TS, we assume , where is the obtained form factor normalized as maxk|f0(k)| = 1. We use fmax = 60 meV, which corresponds to the dxz(yz) orbital energy split meV in the ARPES measurements [91] by considering the mass enhancement factor for l = 2, 3. The T-linear behavior ψ ∝ (T* − T) for TS < T < T* is a consequence of the relation because the f(0,π) term cannot contribute to any q = 0 linear response. It is to be noted that the form factor for q = (π, 0) gives ψ < 0. Thus, the T-linear behavior of ψ below T* is also naturally explained by the smectic bond order. On the other hand, for T < TS is induced by the nematic orbital + bond order. To summarize, the multistage transitions at T = T* and TS, and the T-linear ψ below T*, are naturally explained by the smectic bond order and nematic orbital + bond order. The hole pocket around the M point is necessary to realize the smectic bond order by the paramagnon interference mechanism.
We stress that the present mechanism of the bulk nematicity for TS < T < T* is intrinsic and free from the strength of the disorder and local strain in the system. The present smectic order originates from the AL–VC and the FS nesting between the dxy-orbital hole pocket and the electron pockets [20]. We stress that the present theory explains the absence of the smectic order in bulk FeSe [55] because the dxy-orbital hole pocket, which is necessary for smectic order formation, is below the Fermi level in FeSe.
Here, we explain the details of the recent microscopic measurements in P-doped Ba122 [54, 55] that support the present intrinsic scenario. These are bulk and real-space measurements. In the PEEM measurement [55], very uniform bulk nematic domains have been observed for TS < T < T*. The width of each nematic domain is about 500 nm. The structure of the nematic domains is unchanged for T < TS. In addition, once the nematic domain completely disappears by increasing T, it never appears at the same location if the temperature is lowered again. These results are consistent with the present intrinsic smectic order scenario for TS < T < T* in P-doped Ba122. In the photo-modulation measurement [54], uniform nematic domains have also been observed. The observed nematicity becomes small near the nematic domain boundary, irrespective of the fact that large local strain anisotropy is observed at the domain boundary. The observed anticorrelation between the nematicity and the local strain anisotropy may conflict with the assumption of the extrinsic scenario of the nematicity above TS.
In contrast, the extrinsic scenario has been proposed by other groups [4, 56–60]. In the extrinsic mechanism, nematicity for T > TS in Co-doped Ba122, which exhibits large residual resistivity (>100 μΩcm), has been explained by the inhomogeneity of TS induced by the disorder and local strain. However, it is not easy to explain the nematicity above TS in clean P-doped (non-doped) Ba122 on the same footing in the extrinsic scenario.
We note that the multistage smectic/nematic transitions observed in NaFeAs [92] are also explained by the present intrinsic mechanism [20].
3.3 Results of Ba1−xCsxFe2As2
In this section, we discuss B2g nematicity in heavily hole-doped compound AFe2As2 (A = Cs, Rb) [19]. The effect of self-energy on the nematic order caused by the VCs is studied in the present work. Because of self-energy, TS is reduced to become realistic, whereas the symmetry of the nematic order is unchanged. The direction of B2g nematicity is rotated by 45° from that of the conventional B1g nematicity. Figure 2C shows FSs of CsFe2As2: the hole FS around the M point comprising the dxy-orbital is large, whereas the Dirac pockets near the X and Y points are small. In this system, the dxy-orbital spin fluctuations are dominant.
Figure 12A shows the q dependence of the largest eigenvalue λq with self-energy for r = 0.96 at T = 5 meV and that without self-energy for r = 0.30 at T = 20 meV λq becomes maximum at q = 0 and the dominant form factor at q = 0 is shown in Figure 12B. As shown in Figure 12C, this form factor corresponds to the B2g next-nearest-neighbor bond order for the dxy orbital, which is consistent with the experimentally observed B2g nematicity [61–64]. By analyzing the irreducible four-point vertex in the DW Eq. 10, we find that the attractive (repulsive) interactions originate from the AL (MT) terms, as shown in Figure 12D. The obtained q = 0B2g bond order is derived from these interactions. Since the AL terms are enhanced by the quantum interference between the spin fluctuations with Q and Q′(= −Q), as shown in Figure 1D, the q = 0 nematic bond order is realized. The value of λ0 is strongly enhanced by the attractive interactions for the dxy orbital due to the AL terms. In this system, the nesting vector is short Q ∼ (0.5π, 0), as shown in Figure 12B. Because of repulsive interaction by the MT terms, changes sign between the k points on the FSs connected by Q, as shown in Figure 12D. To summarize, the AL terms strongly enlarge λ0 due to the paramagnon interference mechanism, and the MT terms favor B2g symmetry. Cooperation of the AL and MT terms is important to realize the B2g bond order.
FIGURE 12

(A)q dependence of λq with self-energy in CsFe2As2, and that without self-energy in the inset. (B)k dependence of the B2g form factor , where the green lines and black arrow denote FSs and nesting vector Q ∼ (0.5π, 0), respectively. (C)B2g next-nearest-neighbor bond order corresponding to the . (D)B2g form factor ∝ sin(kx) sin(ky) driven by the attractive interactions (red arrows) A and B, and the repulsive interaction (blue arrow) C in the DW equation, where green lines denote nodes in the B2g form factor.
We comment on the recent experiments on RbFe2As2. The specific heat jump at TS = 40K (ΔC/TS) is very small [64]. However, it is naturally understood based on the recent theoretical scaling relation with b ∼ 3 derived in Ref. [87]. Although the smallness of B2g nematic susceptibility in RbFe2As2 was recently reported in Refs. [65, 66], the field angle-dependent specific heat measurement has shown finite B2g nematicity above Tc [93]. Further experimental and theoretical studies are necessary to clarify the nematicity in AFe2As2 (A = Cs, Rb).
Finally, we discuss the x dependence of nematicity in Ba1−xAxFe2As2 (A = Cs, Rb). The schematic phase diagram of Ba1−xRbxFe2As2 given by the experiment [64] is shown in Figure 1C. We introduce the model Hamiltonian for Ba1−xCsxFe2As2, by interpolating between the BaFe2As2 model and the CsFe2As2 model with the ratio 1 − x: x. Figure 13A shows x dependences of λq=0 without self-energy for the B2g and the B1g symmetries by fixing T = 30 meV and r = 0.30. Below x = xc ∼ 0.5, the B1g nematic orbital order is dominant as discussed in the previous section, while the B2g nematic bond order dominates over the B1g nematic orbital order for x > xc. As shown in Figure 13B, the Lifshitz transition occurs at x ∼ xc, where the electron pockets split into the four tiny Dirac pockets. Thus, the B2g nematic bond order appears when the nesting vector Q between the electron pockets and hole pocket around the M point becomes short Q ∼ (0.5π, 0). By taking account of the Lifshitz transition at x ∼ xc, the schematic phase diagram in Figure 1C is also well reproduced by the orbital/bond order because of the paramagnon interference mechanism. We note that the q = (0, π) smectic order is dominant over the q = 0B1g nematic order at x = 0, as shown in the previous section.
FIGURE 13

(A)x dependences of λq=0 without self-energy for B1g and B2g symmetries in Ba1−xCsxFe2As2. (B) FSs for x = 0.4 and x = 0.6. The dominant nematic order changes at x = xc ∼ 0.5 near the Lifshitz transition, where the electron FSs split into the four tiny Dirac pockets.
4 Conclusion
We discussed the rich variety of nematic/smectic states in Fe-based superconductors in the same theoretical framework based on the paramagnon interference mechanism. In this mechanism, the charge-channel order is induced by the quantum interference between the spin fluctuations, as shown in Figure 1D. The form factor and wave vector of the DW instability are derived from the DW equation based on the paramagnon interference mechanism. Recently, a rigorous formalism of the DW equation has been constructed based on the Luttinger–Ward (LW) theory in Ref. [87]. According to Ref. [87], the solution of the DW equation gives the minimum of the grand potential in the LW theory. Thus, the nematic/smectic order discussed in the present study is thermodynamically stable in the framework of the conserving approximation.
By considering the characteristic fermiology of each compound, the paramagnon interference mechanism explains the rich variety of the nematic/smectic states. In Figures 14A–C, we summarized the nematic/smectic orders revealed by the mechanism in the present study. 1) In FeSe1−xTex, each FS is very small and the dxy-orbital hole pocket is absent. In this case, the small spin fluctuations on the three orbitals cooperatively lead to the B1g orbital order for the dxz and dyz orbitals coexisting with the dxy-orbital bond order, as shown in Figure 14A. The nematic orbital + bond order causes the Lifshitz transition, where the FS around the Y point disappears, which is consistent with the recent experiments. The x dependence of TS in the phase diagram is reproduced by introducing self-energy. 2) In BaFe2As2, the dxy-orbital hole pocket emerges. Since each electron and hole pocket is relatively large and similar in size, the strong dxy-orbital spin fluctuations due to good nesting give rise to the smectic order shown in Figure 14B and the B1g nematic order. The smectic order explains the tiny T-linear nematicity below T = T*(>TS). We predict the multistage transitions with the smectic order at T = T* and the nematic order at TS. 3) In heavily hole-doped AFe2As2 (A = Cs, Rb), the tiny Dirac pockets around the X(Y) point and the large dxy-orbital hole pocket appear due to hole-doping. The B2g bond order for the dxy orbital shown in Figure 14C emerges due to the dxy-orbital paramagnon interference mechanism. The B2g bond order is triggered by the Lifshitz transition of the electron FSs by hole-doping.
FIGURE 14

(A) Schematic picture of the B1g nematic orbital + bond order in FeSe1−xTex and BaFe2As2, where the orbital order for the dxz and dyz orbitals coexists with the bond order for the dxy orbital. (B) Schematic picture of the smectic bond order for dyz and dxy orbitals in BaFe2As2. (C) Schematic picture of the B2g nematic bond order for the dxy orbital in AFe2As2 (A = Cs, Rb).
The limitation of this theory is that the calculated VCs are reduced to an infinite series of the MT and AL terms. To verify the validity of the present theory, we performed the functional renormalization group (fRG) analysis for the single-orbital Hubbard model for cuprates [41] and the two-orbital Hubbard model for ruthenates [94], and obtained the bond-order (orbital order) in the former (latter) model. These results are consistent with previous experiments, and they are also obtained by the DW equation analysis. In the fRG theory, a huge number of higher-order VCs are generated in an unbiased manner by solving the RG equation. Thus, the significance of the MT and AL terms in the present theory has been confirmed by the different and excellent theoretical frameworks.
In future, it is to clarify the mechanism of superconductivity and non-Fermi-liquid behaviors of transport phenomena in the FeSe family by considering the nematic fluctuations enlarged near the nematic QCP. This issue will be discussed in future studies [95].
Statements
Data availability statement
The original contributions presented in the study are included in the article; further inquiries can be directed to the corresponding author.
Author contributions
SO performed all calculations with contributions from HK. SO and HK wrote the manuscript.
Funding
This work was supported by Grants-in-Aid for Scientific Research from MEXT, Japan (No.s JP19H05825, JP18H01175, and JP17K05543), and Nagoya University Research Fund.
Acknowledgments
We acknowledge Y. Yamakawa, R. Tazai, and S. Matsubara for their collaboration in the theoretical studies. We are grateful to Y. Matsuda, T. Hanaguri, T. Shibauchi, S. Kasahara, T. Shimojima, and Y. Mizukami for useful discussions about experiments.
Conflict of interest
The authors declare that the research was conducted in the absence of any commercial or financial relationships that could be construed as a potential conflict of interest.
Publisher’s note
All claims expressed in this article are solely those of the authors and do not necessarily represent those of their affiliated organizations, or those of the publisher, the editors, and the reviewers. Any product that may be evaluated in this article, or claim that may be made by its manufacturer, is not guaranteed or endorsed by the publisher.
References
1.
HosonoHKurokiK. Iron-based Superconductors: Current Status of Materials and Pairing Mechanism. Physica C: Superconductivity its Appl (2015) 514:399–422. 10.1016/j.physc.2015.02.020
2.
HirschfeldPJKorshunovMMMazinII. Gap Symmetry and Structure of Fe-Based Superconductors. Rep Prog Phys (2011) 74:124508. 10.1088/0034-4885/74/12/124508
3.
FernandesRMVanBebberLHBhattacharyaSChandraPKeppensVMandrusDet alEffects of Nematic Fluctuations on the Elastic Properties of Iron Arsenide Superconductors. Phys Rev Lett (2010) 105:157003. 10.1103/PhysRevLett.105.157003
4.
FernandesRMAbrahamsESchmalianJ. Anisotropic In-Plane Resistivity in the Nematic Phase of the Iron Pnictides. Phys Rev Lett (2011) 107:217002. 10.1103/PhysRevLett.107.217002
5.
WangFKivelsonSALeeD-H. Nematicity and Quantum Paramagnetism in FeSe. Nat Phys (2015) 11:959–63. 10.1038/nphys3456
6.
YuRSiQ. Antiferroquadrupolar and Ising-Nematic Orders of a Frustrated Bilinear-Biquadratic Heisenberg Model and Implications for the Magnetism of FeSe. Phys Rev Lett (2015) 115:116401. 10.1103/PhysRevLett.115.116401
7.
GlasbrennerJKMazinIIJeschkeHOHirschfeldPJFernandesRMValentíR. Effect of Magnetic Frustration on Nematicity and Superconductivity in Iron Chalcogenides. Nat Phys (2015) 11:953–8. 10.1038/nphys3434
8.
FangCYaoHTsaiWFHuJKivelsonSA. Theory of Electron Nematic Order in LaFeAsO. Phys Rev B (2008) 77:224509. 10.1103/PhysRevB.77.224509
9.
FernandesRMChubukovAV. Low-energy Microscopic Models for Iron-Based Superconductors: a Review. Rep Prog Phys (2017) 80:014503. 10.1088/1361-6633/80/1/014503
10.
KrügerFKumarSZaanenJvan den BrinkJ. Spin-orbital Frustrations and Anomalous Metallic State in Iron-Pnictide Superconductors. Phys Rev B (2009) 79:054504. 10.1103/PhysRevB.79.054504
11.
LvWWuJPhillipsP. Orbital Ordering Induces Structural Phase Transition and the Resistivity Anomaly in Iron Pnictides. Phys Rev B (2009) 80:224506. 10.1103/physrevb.80.224506
12.
LeeCCYinWGKuW. Ferro-Orbital Order and Strong Magnetic Anisotropy in the Parent Compounds of Iron-Pnictide Superconductors. Phys Rev Lett (2009) 103:267001. 10.1103/PhysRevLett.103.267001
13.
KontaniHOnariS. Orbital-Fluctuation-Mediated Superconductivity in Iron Pnictides: Analysis of the Five-Orbital Hubbard-Holstein Model. Phys Rev Lett (2010) 104:157001. 10.1103/PhysRevLett.104.157001
14.
OnariSKontaniH. Self-consistent Vertex Correction Analysis for Iron-Based Superconductors: Mechanism of Coulomb Interaction-Driven Orbital Fluctuations. Phys Rev Lett (2012) 109:137001. 10.1103/PhysRevLett.109.137001
15.
OnariSYamakawaYKontaniH. High-TcSuperconductivity Near the Anion Height Instability in Fe-Based Superconductors: Analysis ofLaFeAsO1−xHx. Phys Rev Lett (2014) 112:187001. 10.1103/PhysRevLett.112.187001
16.
OnariSYamakawaYKontaniH. Sign-Reversing Orbital Polarization in the Nematic Phase of FeSe Due to theC2Symmetry Breaking in the Self-Energy. Phys Rev Lett (2016) 116:227001. 10.1103/physrevlett.116.227001
17.
YamakawaYOnariSKontaniH. Nematicity and Magnetism in FeSe and Other Families of Fe-Based Superconductors. Phys Rev X (2016) 6:021032. 10.1103/PhysRevX.6.021032
18.
YamakawaYKontaniH. Nematicity, Magnetism, and Superconductivity in FeSe under Pressure: Unified Explanation Based on the Self-Consistent Vertex Correction Theory. Phys Rev B (2017) 96:144509. 10.1103/PhysRevB.96.144509
19.
OnariSKontaniH. Origin of Diverse Nematic Orders in Fe-Based Superconductors: 45° Rotated Nematicity in AFe2As2(A=Cs,Rb). Phys Rev B (2019) 100:020507(R). 10.1103/physrevb.100.020507
20.
OnariSKontaniH. Hidden Antiferronematic Order in Fe-Based Superconductor BaFe2As2 and NaFeAs above TS. Phys Rev Res (2020) 2:042005(R). 10.1103/PhysRevResearch.2.042005
21.
JiangKHuJDingHWangZ. Interatomic Coulomb Interaction and Electron Nematic Bond Order in FeSe. Phys Rev B (2016) 93:115138. 10.1103/PhysRevB.93.115138
22.
FanfarilloLGiovannettiGCaponeMBasconesE. Nematicity at the Hund's Metal Crossover in Iron Superconductors. Phys Rev B (2017) 95:144511. 10.1103/PhysRevB.95.144511
23.
HsuFCLuoJYYehKWChenTKHuangTWWuPMet alSuperconductivity in the PbO-type Structure α-FeSe. Proc Natl Acad Sci U.S.A (2008) 105:14262–4. 10.1073/pnas.0807325105
24.
BöhmerAEKreiselA. Nematicity, Magnetism and Superconductivity in FeSe. J Phys Condens Matter (2018) 30:023001. 10.1088/1361-648X/aa9caa
25.
KreiselAHirschfeldPAndersenB. On the Remarkable Superconductivity of FeSe and its Close Cousins. Symmetry (2020) 12:1402. 10.3390/sym12091402
26.
ShibauchiTHanaguriTMatsudaY. Exotic Superconducting States in FeSe-Based Materials. J Phys Soc Jpn (2020) 89:102002. 10.7566/jpsj.89.102002
27.
WangQYLiZZhangWHZhangZCZhangJSLiWet alInterface-Induced High-Temperature Superconductivity in Single Unit-Cell FeSe Films on SrTiO 3. Chin Phys. Lett. (2012) 29:037402. 10.1088/0256-307x/29/3/037402
28.
GeJFLiuZLLiuCGaoCLQianDXueQKet alSuperconductivity above 100 K in Single-Layer FeSe Films on Doped SrTiO3. Nat Mater (2015) 14:285–9. 10.1038/nmat4153
29.
FanQZhangWHLiuXYanYJRenMQPengRet alPlain S-Wave Superconductivity in Single-Layer FeSe on SrTiO3 Probed by Scanning Tunnelling Microscopy. Nat Phys (2015) 11:946–52. 10.1038/nphys3450
30.
ZhangYLeeJJMooreRGLiWYiMHashimotoMet alSuperconducting gap Anisotropy in Monolayer FeSe Thin Film. Phys Rev Lett (2016) 117:117001. 10.1103/PhysRevLett.117.117001
31.
MiyataYNakayamaKSugawaraKSatoTTakahashiT. High-temperature Superconductivity in Potassium-Coated Multilayer FeSe Thin Films. Nat Mater (2015) 14:775–9. 10.1038/nmat4302
32.
ShimojimaTSuzukiYSonobeTNakamuraASakanoMOmachiJet alLifting of Xz/yz Orbital Degeneracy at the Structural Transition in Detwinned FeSe. Phys Rev B (2014) 90:121111(R). 10.1103/physrevb.90.121111
33.
NakayamaKMiyataYPhanGNSatoTTanabeYUrataTet alReconstruction of Band Structure Induced by Electronic Nematicity in an FeSe Superconductor. Phys Rev Lett (2014) 113:237001. 10.1103/physrevlett.113.237001
34.
SuzukiYShimojimaTSonobeTNakamuraASakanoMTsujiHet alMomentum-dependent Sign Inversion of Orbital Order in Superconducting FeSe. Phys Rev B (2015) 92:205117. 10.1103/PhysRevB.92.205117
35.
ZhangYYiMLiuZKLiWLeeJJMooreRGet alDistinctive Orbital Anisotropy Observed in the Nematic State of a FeSe Thin Film. Phys Rev B (2016) 94:115153. 10.1103/PhysRevB.94.115153
36.
YiMPfauHZhangYHeYWuHChenTet alNematic Energy Scale and the Missing Electron Pocket in FeSe. Phys Rev X (2019) 9:041049. 10.1103/PhysRevX.9.041049
37.
XingRQClassenLChubukovAV. Orbital Order in FeSe: The Case for Vertex Renormalization. Phys Rev B (2018) 98:041108(R). 10.1103/PhysRevB.98.041108
38.
ChubukovAVKhodasMFernandesRM. Magnetism, Superconductivity, and Spontaneous Orbital Order in Iron-Based Superconductors: Which Comes First and Why?Phys Rev X (2016) 6:041045. 10.1103/PhysRevX.6.041045
39.
KawaguchiKYamakawaYTsuchiizuMKontaniH. Competing Unconventional Charge-Density-Wave States in Cuprate Superconductors: Spin-Fluctuation-Driven Mechanism. J Phys Soc Jpn (2017) 86:063707. 10.7566/jpsj.86.063707
40.
YamakawaYKontaniH. Spin-Fluctuation-Driven Nematic Charge-Density Wave in Cuprate Superconductors: Impact of Aslamazov-Larkin Vertex Corrections. Phys Rev Lett (2015) 114:257001. 10.1103/PhysRevLett.114.257001
41.
TsuchiizuMKawaguchiKYamakawaYKontaniH. Multistage Electronic Nematic Transitions in Cuprate Superconductors: A Functional-Renormalization-Group Analysis. Phys Rev B (2018) 97:165131. 10.1103/physrevb.97.165131
42.
OnariSKontaniH. SU(4) Valley+Spin Fluctuation Interference Mechanism for Nematic Order in Magic-Angle Twisted Bilayer Graphene: The Impact of Vertex Corrections. Phys Rev Lett (2022) 128:066401. 10.1103/PhysRevLett.128.066401
43.
HirataTYamakawaYOnariSKontaniH. Unconventional Orbital Charge Density Wave Mechanism in the Transition Metal Dichalcogenide 1T−TaS2. Phys Rev Res (2021) 3:L032053. 10.1103/physrevresearch.3.l032053
44.
TazaiRYamakawaYOnariSKontaniH. Mechanism of Exotic Density-Wave and Beyond-Migdal Unconventional Superconductivity in Kagome Metal AV 3 Sb 5 (A = K, Rb, Cs). Sci Adv (2022) 8:eabl4108. 10.1126/sciadv.abl4108
45.
LicciardelloSBuhotJLuJAyresJKasaharaSMatsudaYet alElectrical Resistivity across a Nematic Quantum Critical point. Nature (2019) 567:213–7. 10.1038/s41586-019-0923-y
46.
ColdeaAIBlakeSFKasaharaSHaghighiradAAWatsonMDKnafoWet alEvolution of the Low-Temperature Fermi Surface of Superconducting FeSe1−xSx across a Nematic Phase Transition. Npj Quant Mater (2019) 4:2. 10.1038/s41535-018-0141-0
47.
HuangWKHosoiSČuloMKasaharaSSatoYMatsuuraKet alMagnetization Switching Driven by Current-Induced Torque from Weakly Spin-Orbit Coupled Zr. Phys Rev Res (2020) 2:033367. 10.1103/PhysRevResearch.2.033367
48.
HuangWKHosoiSČuloMKasaharaSSatoYMatsuuraKet alNon-Fermi Liquid Transport in the Vicinity of the Nematic Quantum Critical point of Superconducting FeSe1−xSx. Phys Rev Res (2020) 2:033367. 10.1103/PhysRevResearch.2.033367
49.
MukasaKMatsuuraKQiuMSaitoMSugimuraYIshidaKet alHigh-pressure Phase Diagrams of FeSe1−xTex: Correlation between Suppressed Nematicity and Enhanced Superconductivity. Nat Commun (2021) 12:381. 10.1038/s41467-020-20621-2
50.
MukasaKIshidaKImajoSQiuMWSaitoMMatsuuraKet alEnhanced Superconducting Pairing Strength Near a Nonmagnetic Nematic Quantum Critical point. ArXiv (2022) 2202:11657. 10.48550/arXiv.2202.11657
51.
IshidaKOnishiYTsujiiMMukasaKQiuMSaitoMet alPure Nematic Quantum Critical point Accompanied by a Superconducting Dome. ArXiv (2022) 2202:11674. 10.1073/pnas.2110501119
52.
KasaharaSShiHJHashimotoKTonegawaSMizukamiYShibauchiTet alElectronic Nematicity above the Structural and Superconducting Transition in BaFe2(As1−xP X )2. Nature (2012) 486:382–5. 10.1038/nature11178
53.
KimYKJungWSHanGRChoiKYChenCCDevereauxTPet alExistence of Orbital Order and its Fluctuation in SuperconductingBa(Fe1−xCox)2As2Single Crystals Revealed by X-ray Absorption Spectroscopy. Phys Rev Lett (2013) 111:217001. 10.1103/physrevlett.111.217001
54.
ThewaltEHayesIMHintonJPLittleAPatankarSWuLet alImaging Anomalous Nematic Order and Strain in Optimally Doped BaFe2(As,P)2. Phys Rev Lett (2018) 121:027001. 10.1103/physrevlett.121.027001
55.
ShimojimaTMotoyuiYTaniuchiTBareilleCOnariSKontaniHet alDiscovery of Mesoscopic Nematicity Wave in Iron-Based Superconductors. Science (2021) 373:1122–5. 10.1126/science.abd6701
56.
ChuJHAnalytisJGDe GreveKMcMahonPLIslamZYamamotoYet alIn-Plane Resistivity Anisotropy in an Underdoped Iron Arsenide Superconductor. Science (2010) 329:824–6. 10.1126/science.1190482
57.
RenXDuanLHuYLiJZhangRLuoHet alNematic Crossover inBaFe2As2under Uniaxial Stress. Phys Rev Lett (2015) 115:197002. 10.1103/PhysRevLett.115.197002
58.
ManHZhangRParkJTLuXKuldaJIvanovAet alDirect Observation of Spin Excitation Anisotropy in the Paramagnetic Orthorhombic State of BaFe2−xNixAs2. Phys Rev B (2018) 97:060507(R). 10.1103/PhysRevB.97.060507
59.
WieckiPZhouRJulienMHBöhmerAESchmalianJ. Edwards-Anderson Parameter and Local Ising Nematicity in FeSe Revealed via NMR Spectral Broadening. Phys Rev B (2021) 104:125134. 10.1103/PhysRevB.104.125134
60.
LahiriAKleinAFernandesRM. Defect-induced Electronic Smectic State at the Surface of Nematic Materials. ArXiv (2021) 2111:00541. 10.48550/arXiv.2111.00541
61.
LiJZhaoDWuYPLiSJSongDWZhengLXet alReemergeing Electronic Nematicity in Heavily Hole-Doped Fe-Based Superconductors. ArXiv (2021) 1611:04694. 10.48550/arXiv.1611.04694
62.
LiuXTaoRRenMChenWYaoQWolfTet alEvidence of Nematic Order and Nodal Superconducting gap along [110] Direction in RbFe2As2. Nat Commun (2019) 10:1039. 10.1038/s41467-019-08962-z
63.
MoroniMPrandoGAswarthamSMorozovIBukowskiZBüchnerBet alCharge and Nematic Orders in AFe2As2(A=Rb,Cs) Superconductors. Phys Rev B (2019) 99:235147. 10.1103/physrevb.99.235147
64.
IshidaKTsujiiMHosoiSMizukamiYIshidaSIyoAet alNovel Electronic Nematicity in Heavily Hole-Doped Iron Pnictide Superconductors. Proc Natl Acad Sci U.S.A (2020) 117:6424–9. 10.1073/pnas.1909172117
65.
WieckiPHaghighiradAAWeberFMerzMHeidRBöhmerAE. Dominant In-Plane Symmetric Elastoresistance in CsFe2As2. Phys Rev Lett (2020) 125:187001. 10.1103/PhysRevLett.125.187001
66.
WieckiPFrachetMHaghighiradAAWolfTMeingastCHeidRet alEmerging Symmetric Strain Response and Weakening Nematic Fluctuations in Strongly Hole-Doped Iron-Based Superconductors. Nat Commun (2021) 12:4824. 10.1038/s41467-021-25121-5
67.
BorisovVFernandesRMValentíR. Evolution from B2g Nematics to B1g Nematics in Heavily Hole-Doped Iron-Based Superconductors. Phys Rev Lett (2019) 123:146402. 10.1103/PhysRevLett.123.146402
68.
WuYPZhaoDWangAFWangNZXiangZJLuoXGet alEmergent Kondo Lattice Behavior in Iron-Based SuperconductorsAFe2As2(A=K, Rb, Cs). Phys Rev Lett (2016) 116:147001. 10.1103/PhysRevLett.116.147001
69.
CivardiEMoroniMBabijMBukowskiZCarrettaP. Superconductivity Emerging from an Electronic Phase Separation in the Charge Ordered Phase of RbFe2As2. Phys Rev Lett (2016) 117:217001. 10.1103/PhysRevLett.117.217001
70.
BaymGKadanoffLP. Conservation Laws and Correlation Functions. Phys Rev (1961) 124:287–99. 10.1103/physrev.124.287
71.
AllenSTremblayAMSVilkYM. Theoretical Methods for Strongly Correlated Electrons. New-York: Springer-Verlag (2004).
72.
BlahaPSchwarzKTranFLaskowskiRMadsenGKHMarksLD. WIEN2k: An APW+lo Program for Calculating the Properties of Solids. J Chem Phys (2020) 152:074101. 10.1063/1.5143061
73.
MostofiAAYatesJRPizziGLeeYSSouzaIVanderbiltDet alAn Updated Version of Wannier90: A Tool for Obtaining Maximally-Localised Wannier Functions. Comput Phys Commun (2014) 185:2309–10. 10.1016/j.cpc.2014.05.003
74.
MiyakeTNakamuraKAritaRImadaM. Comparison of Ab Initio Low-Energy Models for LaFePO, LaFeAsO, BaFe2As2, LiFeAs, FeSe, and FeTe: Electron Correlation and Covalency. J Phys Soc Jpn (2010) 79:044705. 10.1143/JPSJ.79.044705
75.
BickersNEWhiteSR. Conserving Approximations for Strongly Fluctuating Electron Systems. II. Numerical Results and Parquet Extension. Phys Rev B (1911) 43:8044–64. 10.1103/PhysRevB.43.8044
76.
KontaniHYamakawaYTazaiROnariS. Odd-parity Spin-Loop-Current Order Mediated by Transverse Spin Fluctuations in Cuprates and Related Electron Systems. Phys Rev Res (2021) 3:013127. 10.1103/PhysRevResearch.3.013127
77.
NakayamaKTsubonoRPhanGNNabeshimaFShikamaNIshikawaTet alOrbital Mixing at the Onset of High-Temperature Superconductivity in FeSe1−xTex/CaF2. Phys Rev Res (2021) 3:L012007. 10.1103/PhysRevResearch.3.L012007
78.
ZhangPWangZWuXYajiKIshidaYKohamaYet alMultiple Topological States in Iron-Based Superconductors. Nat Phys (2019) 15:41–7. 10.1038/s41567-018-0280-z
79.
WangZZhangPXuGZengLKMiaoHXuXet alTopological Nature of theFeSe0.5Te0.5superconductor. Phys Rev B (2015) 92:115119. 10.1103/PhysRevB.92.115119
80.
LohaniHHazraTRibakANitzavYFuHYanBet alBand Inversion and Topology of the Bulk Electronic Structure in FeSe0.45Te0.55. Phys Rev B (2020) 101:245146. 10.1103/PhysRevB.101.245146
81.
YinZPHauleKKotliarG. Kinetic Frustration and the Nature of the Magnetic and Paramagnetic States in Iron Pnictides and Iron Chalcogenides. Nat Mater (2011) 10:932–5. 10.1038/nmat3120
82.
YamasakiAMatsuiYImadaSTakaseKAzumaHMuroTet alElectron Correlation in the FeSe Superconductor Studied by Bulk-Sensitive Photoemission Spectroscopy. Phys Rev B (2010) 82:184511. 10.1103/PhysRevB.82.184511
83.
WatsonMDHaghighiradAARhodesLCHoeschMKimTK. Electronic Anisotropies Revealed by Detwinned Angle-Resolved Photo-Emission Spectroscopy Measurements of Fese. New J Phys (2017) 19:103021. 10.1088/1367-2630/aa8a04
84.
YiMPfauHZhangYHeYWuHChenTet alNematic Energy Scale and the Missing Electron Pocket in FeSe. Phys Rev X (2019) 9:041049. 10.1103/PhysRevX.9.041049
85.
HuhSSSeoJJKimBSChoSHJungJKKimSet alAbsence of Y-Pocket in 1-Fe Brillouin Zone and Reversed Orbital Occupation Imbalance in FeSe. Commun Phys (2020) 3:52. 10.1038/s42005-020-0319-1
86.
RhodesLCBokerJMullerMAEschrigMEreminIM. Non-local Dxy Nematicity and the Missing Electron Pocket in FeSe. npj Quan Mater (2021) 6:45. 10.1038/s41535-021-00341-6
87.
TazaiRMatsubaraSYamakawaYOnariSKontaniH. A Rigorous Formalism of Unconventional Symmetry Breaking in Fermi Liquid Theory and its Application to Nematicity in FeSe. ArXiv (2022) 2205:02280. 10.48550/arXiv.2205.02280
88.
MoonSJSchafgansAAKasaharaSShibauchiTTerashimaTMatsudaYet alInfrared Measurement of the Pseudogap of P-Doped and Co-doped High-TemperatureBaFe2As2Superconductors. Phys Rev Lett (2012) 109:027006. 10.1103/PhysRevLett.109.027006
89.
ShimojimaTSonobeTMalaebWShinadaKChainaniAShinSet alPseudogap Formation above the Superconducting Dome in Iron Pnictides. Phys Rev B (2014) 89:045101. 10.1103/PhysRevB.89.045101
90.
ShimojimaTMalaebWNakamuraAKondoTKihouKLeeCHet alAntiferroic Electronic Structure in the Nonmagnetic Superconducting State of the Iron-Based Superconductors. Sci Adv (2017) 3:e1700466. 10.1126/sciadv.1700466
91.
YiMLuDChuJHAnalytisJGSoriniAPKemperAFet alSymmetry-breaking Orbital Anisotropy Observed for Detwinned Ba(Fe 1- X Co X ) 2 as 2 above the Spin Density Wave Transition. Proc Natl Acad Sci U.S.A (2011) 108:6878–83. 10.1073/pnas.1015572108
92.
ZhouRXingLYWangXCJinCQZhengGQ. Orbital Order and Spin Nematicity in the Tetragonal Phase of the Electron-Doped Iron pnictidesNaFe1−xCoxAs. Phys Rev B (2016) 93:060502(R). 10.1103/PhysRevB.93.060502
93.
MizukamiYTanakaOIshidaKTsujiiMMitsuiTKitaoSet alThermodynamic Signatures of Diagonal Nematicity in RbFe2As2 Superconductor. ArXiv (2021) 2108:13081. 10.48550/arXiv.2108.13081
94.
TsuchiizuMOhnoYOnariSKontaniH. Orbital Nematic Instability in the Two-Orbital Hubbard Model: Renormalization-Group + Constrained RPA Analysis. Phys Rev Lett (2013) 111:057003. 10.1103/PhysRevLett.111.057003
95.
YamakawaYOnariSKontaniH (2022). Unpublished.
Summary
Keywords
nematic order, smectic order, orbital order, bond order, quantum critical point, iron-based superconductors
Citation
Onari S and Kontani H (2022) Diverse Exotic Orders and Fermiology in Fe-Based Superconductors: A Unified Mechanism for B1g/B2g Nematicity in FeSe/(Cs,Rb)Fe2As2 and Smectic Order in BaFe2As2. Front. Phys. 10:915619. doi: 10.3389/fphy.2022.915619
Received
08 April 2022
Accepted
14 June 2022
Published
19 July 2022
Volume
10 - 2022
Edited by
Laura Fanfarillo, International School for Advanced Studies (SISSA), Italy
Reviewed by
Avraham Klein, Ariel University, Israel
Samuel Lederer, University of California, Berkeley, United States
Updates
Copyright
© 2022 Onari and Kontani.
This is an open-access article distributed under the terms of the Creative Commons Attribution License (CC BY). The use, distribution or reproduction in other forums is permitted, provided the original author(s) and the copyright owner(s) are credited and that the original publication in this journal is cited, in accordance with accepted academic practice. No use, distribution or reproduction is permitted which does not comply with these terms.
*Correspondence: Seiichiro Onari, onari@s.phys.nagoya-u.ac.jp
This article was submitted to Condensed Matter Physics, a section of the journal Frontiers in Physics
Disclaimer
All claims expressed in this article are solely those of the authors and do not necessarily represent those of their affiliated organizations, or those of the publisher, the editors and the reviewers. Any product that may be evaluated in this article or claim that may be made by its manufacturer is not guaranteed or endorsed by the publisher.