Abstract
An overview of neutron skin predictions obtained using an empirical nonlocal dispersive optical model (DOM) is presented. The DOM links both scattering and bound-state experimental data through a subtracted dispersion relation which allows for fully consistent, data-informed predictions for nuclei where such data exist. Large skins were predicted for both 48Ca ( fm in 2017) and 208Pb ( fm in 2020). Whereas the DOM prediction in 208Pb is within 1 of the subsequent PREX-2 measurement, the DOM prediction in 48Ca is over 2 larger than the thin neutron skin resulting from CREX. From the moment it was revealed, the thin skin in 48Ca has puzzled the nuclear-physics community as no adequate theories simultaneously predict both a large skin in 208Pb and a small skin in 48Ca. The DOM is unique in its ability to treat both structure and reaction data on the same footing, providing a unique perspective on this puzzle. It appears vital that more neutron data be measured in both the scattering and bound-state domain for 48Ca to clarify the situation.
1 Introduction
A fundamental question in nuclear physics is how the constituent neutrons and protons are distributed in the nucleus. In particular, for a nucleus which has a substantial excess of neutrons over protons, are the extra neutrons distributed evenly over the nuclear volume or are these excess neutrons localized in the periphery of the nucleus forming a neutron skin? A quantitative measure is provided by the neutron-skin thickness, , defined as the difference between the point neutron and proton root-mean-squared (RMS) radii, that is, .
The nuclear symmetry energy, which characterizes the variation of the binding energy as a function of neutron–proton asymmetry, opposes the creation of nuclear matter with excesses of either type of nucleon. The extent of the neutron skin is determined by the relative strengths of the symmetry energy between the central near-saturation and peripheral less-dense regions. Therefore, is a measure of the density dependence of the symmetry energy around saturation [1–4]. This dependence is very important for determining many nuclear properties, including masses, radii, and the location of drip lines in the chart of nuclides. Its importance extends to astrophysics for understanding supernovae and neutron stars [5, 6], and to heavy-ion reactions [7].
Given the rich physics packed in this observable, a large number of studies (both experimental and theoretical) have been devoted to determining neutron skins [8, 9]. Whereas is extracted quite accurately from elastic electron scattering cross sections (through the charge form factor, ) [10] or laser spectroscopy [11], most experimental determinations of are model dependent [8]. The neutron skin can be determined with essentially the same degree of model independence as through parity-violating electron scattering [9, 12]. The parity-violating asymmetries are governed by the weak form factor, , which is the Fourier transform of the weak distribution. The weak distribution is predominantly determined by the neutron distribution, owing to the weak charge of the neutron being of order 1 and that of the proton being nearly 0. The first parity-violating experiment performed by the PREX collaboration at Jefferson Lab yielded a thick neutron skin of 208Pb with a rather large uncertainty [13]. A second experiment, dubbed PREX-2, was later performed, resulting in a 208Pb skin of fm [14]. The following year, the CREX experiment extracted a much smaller skin in 48Ca of fm [15]. The large difference between the measured neutron skins in 48Ca and 208Pb has puzzled the nuclear-physics community since the CREX result was published.
There currently exists no theory that predicts a thick skin in 208Pb and a thin skin in 48Ca. All theoretical studies of these nuclei based on a mean-field approach predict a strong, positive correlation between the neutron skins of 208Pb and 48Ca; however, it has been argued that the large error bars for PREX-2 may not provide a stringent constraint on the isovector part of energy density functionals [16]. Separate ab initio approaches exist for both nuclei. In Ref. [17], a neutron skin for 48Ca that is consistent with the CREX experiment was predicted, whereas the results of Refs. [18, 19] exhibit mild tension with the PREX-2 results. Furthermore, studies of the relation between neutron skins and the nuclear equation of state (EOS) conclude that these skins are tightly correlated with the slope of the symmetry energy, , meaning that the EOS derived from the thin measured in 48Ca is incompatible with the EOS derived from the thick measured in 208Pb. Through this relation to the nuclear EOS, these differing neutron skin measurements even lead to tensions in exotic astrophysical systems such as neutron stars [20]. More specifically, mass–radius curves predicted from the two different -derived EOS are incompatible with each other and even with observations.
In this article, we review an alternative theoretical method to predict in 48Ca and 208Pb. We employed a dispersive optical model (DOM) analysis of bound and scattering data to constrain the nucleon self-energies, , of 48Ca and 208Pb. The self-energy acts as a complex and phenomenological nonlocal potential that unites the nuclear structure and reaction domains [21–23] by leveraging Green’s function theory. The DOM was originally developed by Mahaux and Sartor [21], employing local real and imaginary potentials connected through dispersion relations. However, only with the introduction of nonlocality can realistic self-energies be obtained [22, 23]. The Dyson equation then determines the single-particle propagator, or Green’s function, , from which bound-state and scattering observables can be deduced. In particular, the particle number and density distributions of the nucleons can be inferred, thus enabling the investigation of neutron skins. The DOM treats both structure and reaction data on the same footing, unlike mean-field or ab initio approaches applied to these systems, providing a unique perspective on the puzzle revealed by experiments at Jefferson Lab.
The underlying Green’s function ingredients of the single-particle propagator are presented in Section 2.1, whereas the DOM framework is introduced in Section 2.2. The DOM description of relevant experimental data for 48Ca and 208Pb is presented in Section 2.3. A discussion of the neutron skin results for these nuclei is given in Section 3. Conclusions and some outlook are presented in Section 4.
2 Theory
This section is organized to provide brief introductions into the underlying theory of the DOM.
2.1 Single-particle propagator
The single-particle propagator describes the probability amplitude for adding (removing) a particle in state at one time to the ground state and propagating on top of that state until a later time when it is removed (added) in state [24]. In addition to the conserved orbital and total angular momentum ( and , respectively), the labels and in Equation 1 refer to a suitably chosen single-particle basis. We employed a coordinate-space basis in our original 48Ca calculation in Ref. [25] but have since updated to using a Lagrange basis [26] in all subsequent calculations (including that of 208Pb from Ref. [27]). It is convenient to work with the Fourier-transformed propagator in the energy domain,with representing the energy of the non-degenerate ground state . Many interactions can occur between the addition and removal of the particle (or vice versa), all of which need to be considered to calculate the propagator. No assumptions about the detailed form of the Hamiltonian need be made for the present discussion, but it will be assumed that a meaningful Hamiltonian exists that contains two-body and three-body contributions. The application of the perturbation theory then leads to the Dyson equation [24], which is given bywhere corresponds to the unperturbed propagator (the propagator derived from the unperturbed Hamiltonian, , which in the DOM corresponds to the kinetic energy) and is the irreducible self-energy [24]. The hole spectral density for energies below is obtained fromwhere the superscript signifies it is the hole spectral amplitude. For brevity, we drop this superscript for the rest of this review. The diagonal element of Equation 3 is known as the (hole) spectral function identifying the probability density for the removal of a single-particle state with quantum numbers at energy . The single-particle density distribution can be calculated from the hole spectral function in the following way,where the superscript refers to protons or neutrons, and is the average Fermi energy which separates the particle and hole domains [24]. The number of protons and neutrons is calculated by integrating over all space. In addition to the particle number, the total binding energy can be calculated from the hole spectral function using the Migdal–Galitski sum rule [24],
This expression assumes that the dominant contribution involves the two-nucleon interaction [28, 29] and the labels have been subsumed in and .
To visualize the spectral function of Equation 3, it is useful to sum (or integrate) over the basis variables, , so that only energy dependence remains, . The spectral strength is the contribution at energy to the occupation from all orbitals with angular momentum . It reveals that the strength for a shell can be fragmented, rather than being isolated at the independent particle model (IPM) energy levels. Figure 1 shows the spectral strength for a representative set of neutron shells in 208Pb that would be considered bound and fully occupied in the IPM. The location of the peaks in Figure 1 corresponds to the energies of discrete bound states with one nucleon removed. For example, the s spectral function in Figure 1 has four peaks, three below corresponding to the 0s, 1s, and 2s quasihole states, and one above corresponding to the 3s quasiparticle state. The quasihole wave functions of these bound states can be obtained by transforming the Dyson equation into a nonlocal Schrödinger-like equation by disregarding the imaginary part of ,where is the kinetic energy matrix element, including the centrifugal term. The wave function, , is the overlap between the and systems and the corresponding energy, , is the energy required to remove a nucleon with the particular quantum numbers ,
FIGURE 1

Neutron spectral functions of a representative set of shells in 208Pb. The particle states are differentiated from the hole states by the vertical dashed line which corresponds to the location of the Fermi energy. Figure adapted from Ref. [30].
When solutions to Equation 6 are found near the Fermi energy where there is naturally no imaginary part of the self-energy, the normalization of the quasihole is well defined as the spectroscopic factor,where corresponds to the quasihole state in Equation 7. The quasihole peaks in Figure 1 get narrower as the levels approach , which is a consequence of the imaginary part of the irreducible self-energy decreasing when approaching . In fact, the last mostly occupied neutron level in Figure 1 (2p) has a spectral function that is essentially a delta function peaked at its energy level, where the imaginary part of the self-energy vanishes. For these orbitals, the strength of the spectral function at the peak corresponds to the spectroscopic factor in Equation 8. The spectroscopic factor can be probed using the exclusive reaction which will be discussed in Section 2.4 (see also Refs. [31, 32]).
2.2 Dispersive optical model
The Dyson equation, Equation 2, simplifies the complicated task of calculating from Equation 1 to finding and inverting a suitable (suppressing the labels). It was recognized long ago that represents the potential that describes elastic-scattering observables [33]. The link with the potential at negative energy is then provided by the Green’s function framework as was realized by Mahaux and Sartor who introduced the DOM as reviewed in Ref. [21]. The analytic structure of the nucleon self-energy allows one to apply the dispersion relation, which relates the real part of the self-energy at a given energy to a dispersion integral of its imaginary part over all energies. The energy-independent correlated Hartree–Fock (HF) contribution [24] is removed by employing a subtracted dispersion relation with the Fermi energy used as the subtraction point [21]. The subtracted form has the further advantage that the emphasis is placed on energies closer to the Fermi energy for which more experimental data are available. The real part of the self-energy at the Fermi energy is then still referred to as the HF term and is sufficiently attractive to bind the relevant levels at about the correct energies. In practice, the imaginary part is assumed to extend to the Fermi energy on both sides while being very small in its vicinity. The subtracted form of the dispersion relation employed in this work is given bywhere is the principal value. The static term, , is denoted by from here on. Equation 9 constrains the real part of by empirical information of its HF and imaginary parts which are closely tied to experimental data. Initially, standard functional forms for these terms were introduced by Mahaux and Sartor who also cast the DOM potential in a local form by a standard transformation which turns a nonlocal static HF potential into an energy-dependent local potential [34]. Such an analysis was extended in Refs. [35, 36] to a sequence of Ca isotopes and in Ref. [37] to semi-closed-shell nuclei heavier than Ca. The transformation to the exclusive use of local potentials precludes a proper calculation of the nucleon particle number and expectation values of the one-body operators, like the charge density in the ground state (see Equation 4). This obstacle was eliminated in Ref. [38], but it was shown that the introduction of nonlocality in the imaginary part was still necessary in order to accurately account for particle number and the charge density [22]. Theoretical work provided further support for this introduction of a nonlocal representation of the imaginary part of the self-energy [39, 40]. A review detailing these developments was published in Ref. [23].
2.2.1 Functional form of DOM self-energy
We employ a nonlocal representation of the self-energy following Ref. [22] where and are parametrized and the energy dependence of the real part, , is generated from the dispersion relation in Equation 9. The HF term consists of a volume term, spin-orbit term, and a wine-bottle-shaped term [41],where the Coulomb potential, , is also included. The radial part of our potentials takes the following form,where is a parameter that determines the depth of the potential, and , , and are parameters that control the shape of the Woods-Saxon form factor and Perey–Buck-shaped [34] nonlocality ,
and
Nonlocality is introduced in a similar way for and ; their explicit forms are similar to those in Equations 10–13 and can be found in Ref. [30]. The imaginary self-energy consists of volume, surface, and spin-orbit terms,where and are energy-dependent depths of the volume and surface potentials, respectively, and the subscript indicates there are different forms used above and below the Fermi energy (see Ref. [30] for exact forms). When considering asymmetric nuclei, such as 48Ca and 208Pb, additional terms proportional to the asymmetry, , are added to and for a Lane-like representation [42]. These asymmetric terms introduce additional parameters describing both their radial shape and energy-dependent depths [30] (see Refs. [30, 32] for the full list of parameters used in 48Ca and 208Pb).
As mentioned previously, it was customary in the past to replace nonlocal potentials by local, energy-dependent potentials [21, 24, 34, 43]. The introduction of an energy dependence alters the dispersive correction from Equation (9) and distorts the normalization, leading to incorrect spectral functions and related quantities [38]. Thus, a nonlocal implementation permits the self-energy to accurately reproduce important observables such as charge density, particle number, and ground-state binding energy.
2.3 DOM fits of 208Pb and 48Ca
To use the DOM self-energy for predictions, the parameters of the self-energy are constrained through weighted minimization (using the Powell method [44]) by measurements of elastic differential cross sections , analyzing powers , reaction cross sections , total cross sections , charge density , energy levels , particle number, and the root-mean-square charge radius . The angular dependence of is represented in a partial-wave basis, and the radial component is represented in a Lagrange basis using Legendre and Laguerre polynomials for scattering and bound states, respectively. The bound states are found by diagonalizing the Hamiltonian in Equation 6 and the propagator is found by inverting the Dyson equation, Equation 2, whereas all scattering calculations are performed in the framework of -matrix theory [26]. Whereas it has been suggested in Refs. [45–47] that charge-exchange reactions to isobaric analog states could further constrain the isovector potential, charge-exchange data were not included in the fits reviewed in this article. Reasonable cross sections are obtained with our DOM potential, suggesting that these data, although important, are not sufficient to alter the conclusions of our work significantly. This may be due to the use of nonlocal potentials as opposed to the local ones used in Refs. [45, 46] based on Ref. [48].
When constraining the 48Ca self-energy, the isoscalar part is largely determined by the nearby 48Ca nucleus. Therefore, using our 40Ca parametrization from Ref. [31] as a starting point, we only needed to fit the asymmetric parameters of the 48Ca potential [25, 30]. This resulted in a 48Ca self-energy that closely reproduced all training data [25]. In the case of 208Pb, there is not a nearby nucleus with ; therefore, we started from the 48Ca parameters of Ref. [32] and varied both the isoscalar and isovector parameters to reproduce experimental data. To illustrate how well this method works, we show the result of the 208Pb fit below.
Proton reaction cross sections together with the DOM result are displayed in panel (a) of Figure 2. The neutron total cross section is shown in panel (b) of Figure 2. Both aggregate cross sections play an important role in determining volume integrals of the imaginary part of the self-energy, thereby providing strong constraints on the depletion of IPM orbits. The elastic differential cross sections of proton and neutrons up to 200 MeV are shown in panel (a) of Figure 3. Panel (b) contains the analyzing powers for neutrons and protons which strongly constrain the spin-orbit components of the self-energy.
FIGURE 2

(A) Proton reaction cross section in 208Pb. The solid line is generated from the DOM self-energy, whereas the filled circles are from the experiment. (B) Neutron total cross section in 208Pb. The solid line is generated from the DOM self-energy for 208Pb, whereas the filled circles are from the experiment (see Ref. [37] for the experimental data. Figure adapted from Ref. [30]).
FIGURE 3

(A) Calculated and experimental proton and neutron elastic-scattering angular distributions of the differential cross section for 208Pb ranging from 10 MeV to 200 MeV. The data at each energy are offset by factors of ten to help visualize all of the data at once. (B) Results for proton and neutron analyzing power generated from the DOM self-energy for 208Pb compared with experimental data ranging from 10 MeV to 200 MeV. References to the data are given in Ref. [37]. Figure adapted from Ref. [30].
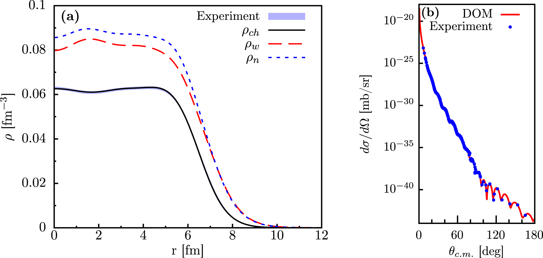
The charge density of 208Pb is shown in panel (a) of Figure 4. The experimental band is extracted from elastic electron scattering differential cross sections [49]. This dataset is well reproduced after using the DOM charge density from Figure 4 as the ingredient in a relativistic elastic electron scattering code [52]. The corresponding elastic electron scattering cross section is shown in panel (b) of Figure 4 and compared to experiment with all available data transformed to electron energy of 502 MeV in the center-of-mass frame [51].
FIGURE 4

(A) Experimental and fitted 208Pb charge density. The solid black line is calculated using Equation 4 and folding with the proton charge distribution, whereas the experimental band represents the 1% error associated with the extracted charge density from elastic electron scattering experiments using the sum of Gaussians parametrization [49, 50]. Also shown is the deduced weak charge distribution, (red long-dashed line), and neutron matter distribution, (blue short-dashed line). (B) Experimental and fitted elastic electron scattering differential cross section in 208Pb. All available data have been transformed to an electron energy of 502 MeV in the center-of-mass frame [51]. Figure adapted from Ref. [30].
In Figure 5, single-particle levels calculated using Equation 6 are compared to the experimental values for protons and neutrons in panels (a) and (b), respectively. The middle column consists of levels calculated using the full DOM and the right column contains the experimental levels. The first column of the figures represents a calculation using only the static part of the self-energy, corresponding to the Hartree–Fock (mean-field) contribution. It is clear from these level diagrams that the mean-field overestimates the particle-hole gap (see also Ref. [53]). The inclusion of the dynamic part of the self-energy is necessary to reduce this gap and properly describe the energy levels [21]. Furthermore, the effect of including the dynamic part of the self-energy on the proton levels is stronger than the effect on the neutron levels. This suggests that protons deviate more from the IPM than neutrons in 208Pb.
FIGURE 5

(A) Proton and (B) neutron energy levels in 208Pb. The energies on the left are calculated using only the static part of the DOM self-energy, corresponding to a Hartree–Fock calculation. The middle energies are those calculated using the full DOM self-energy. The energies on the right correspond to the experimental values. The change from the left energies to the middle energies is the result of including the dynamic part of the self-energy. Figure adapted from Ref. [30].
The number of neutrons and protons in the DOM fit of 208Pb, calculated by integrating Equation 4 using shells up to , is shown in Table 1. As there are 82 protons and 126 neutrons in 208Pb, the reported values are accurate to within a fraction of a percent. The binding energy of 208Pb was fit to the experimental value using Equation 5. As there is no way at present to assess the contribution of three-body interactions to the ground-state energy, we employ the present approximation which applies when only two-body interactions occur in the Hamiltonian, to ensure that enough spectral strength occurs at negative energy which has implications for the presence of high-momentum components. Also shown in Table 1 is calculated as the RMS radius of the charge density displayed in Figure 4.
TABLE 1
| N | Z | [MeV] | [fm] | |
|---|---|---|---|---|
| DOM | 126.2 | 82.08 | −7.82 | 5.48 |
| Expt | 126 | 82 | −7.87 | 5.50 |
The reproduction of all available experimental data indicates that we have realistic self-energies of 208Pb and similarly for 48Ca [25, 32] capable of describing both bound-state and scattering processes. With these self-energies, we can therefore make predictions of observables such as the neutron skin. Additionally, a parallel DOM analysis of these and other nuclei was conducted using Markov Chain Monte Carlo (MCMC) to optimize the potential parameters employing the same experimental data and a very similar functional form but with a reduced number of parameters. All observables from this MCMC fit fell within one standard deviation of those presented above [55, 56].
2.4 DOM predictions
Spectroscopic factors come directly from the self-energy through Equation 8, making the DOM ideal for predicting cross sections (see the 40CaK analysis in Ref. [31]). When we tried to calculate 48CaK using the fit from Ref. [25], we found that the spectroscopic factors were too large to describe the data. Unlike in 40Ca, there is a lack of high-energy ( MeV) proton reaction cross-sectional data in 48Ca. This allowed the fit of Ref. [25] to predict proton reaction cross sections which fell off for higher energies. Consequentially, the 48Ca proton spectroscopic factors were too large to describe 48CaK data to the same degree of accuracy achieved for 40Ca [31]. Observing for MeV that is close to constant, we used the ratio of measurements of 40Ca and 48Ca at 700 MeV [57] to scale the 40Ca data such that it could be used as a constraint for 48Ca. Thanks to the dispersion relation, Equation 9, the increased to accommodate higher reaction cross sections at positive energies pulls strength from below . This reduced the spectroscopic factors which then allowed for accurate descriptions of 48CaK cross sections [32]. This only altered the proton parameters; thus, the neutron skin remained unchanged at fm. This demonstrates that once a sufficiently complete set of data is used, the DOM is capable of making accurate predictions.
The valence spectroscopic factors in 208Pb are consistent with the observations of Ref. [58] and the interpretation of Ref. [59]. The past extraction of spectroscopic factors using the reaction yielded a value around 0.65 for the valence orbit [60] based on the results of Refs. [61, 62]. Although the use of nonlocal optical potentials may slightly increase this value as shown in Ref. [31], it may be concluded that the value of 0.69 obtained from the DOM analysis is consistent with the past result. Nikhef data obtained in a large missing energy and momentum domain [63] can now be consistently analyzed employing the complete DOM spectral functions.
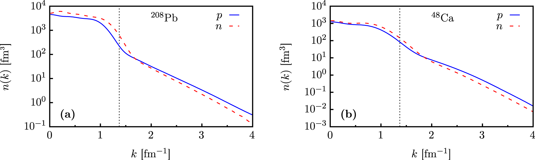
Correlations can also be studied through the momentum distribution, , which represents the diagonal of the double Fourier transform of the single-particle density matrix. The calculated DOM momentum distributions of 48Ca and 208Pb are shown in Figure 6. The high-momentum tail of arises from short-range correlations (SRCs), which is another manifestation of many-body correlations beyond the IPM description of the nucleus [64]. This high-momentum content can be quantified by integrating the momentum distribution above the Fermi momentum. Using MeV/c, 13.4% of protons and 10.7% of neutrons have momenta greater than in 208Pb, whereas 48Ca has 14.6% high- protons and 12.6% high- neutrons. These numbers are in qualitative agreement with what is observed in the high-momentum knockout experiments conducted by the CLAS collaboration at Jefferson Lab [65]. Furthermore, the fraction of high-momentum protons is larger than the fraction of high-momentum neutrons. These features were predicted by ab initio calculations of asymmetric nuclear matter reported in Refs. [66–68] which demonstrated unambiguously that the inclusion of the nucleon–nucleon tensor force, when constrained by nucleon–nucleon scattering data, is responsible for making protons more correlated with increasing nucleon asymmetry at normal density. This supports the -dominance picture in which the dominant contribution to SRC pairs comes from SRC pairs which arise from the tensor force in the nucleon–nucleon interaction [69, 70]. Due to the neutron excess in 208Pb and 48Ca, there are more neutrons available to make SRC pairs which lead to an increase in the fraction of high-momentum protons.
FIGURE 6

Comparison of calculated DOM momentum distributions of protons (solid blue line) and neutrons (dashed red line). The vertical dotted line marks the location of . (A) Momentum distributions in 208Pb. (B) Momentum distributions in 48Ca. Figure adapted from Refs. [30, 32].
In the DOM, this high-momentum content is determined by how much strength exists in the hole spectral function at large, negative energies. The hole spectral function is constrained in the fit by the particle number, binding energy, and charge density. Whereas the particle number and charge density can only constrain the total strength of the hole spectral function, the binding energy constrains how the strength of the spectral function is distributed in energy. This arises from the energy-weighted integral in Equation 5, which will push strength of the spectral function to more negative energies in order to achieve more binding. This, in turn, alters the momentum distribution, thus partially constraining the high-momentum content. It should be noted that the DOM does not exhibit the characteristic energy dependence of high-momentum strength distributions [71] as reported in Ref. [22]. Such a dependence is more difficult to be implemented as it requires abandoning the factorization of spatial and energy dependence of the DOM self-energy (see Equation 14).
3 Neutron skin
As demonstrated in the previous section, our constrained self-energies for 48Ca and 208Pb utilize both scattering and bound-state data for a robust picture of nuclei. These fits resulted in thick skins in both 48Ca, fm, and 208Pb, fm using the uncertainty quantification clarified in Refs. [25, 30]. These results are represented by the shaded box labeled DOM in Figure 7 which is north of the overlapping regions of CREX and PREX-2 (see dashed rectangle). Also included in Figure 7 is the coupled-cluster result for 48Ca from Ref. [17] as a horizontal band, the ab initio results for 208Pb reported in Refs. [18, 19] as a vertical band, and both relativistic and non-relativistic mean-field calculations represented by squares and circles, respectively [72].
FIGURE 7

Dashed rectangle represents the CREX and PREX-2 analysis [73, 74]. The shaded rectangle labeled DOM represents the DOM results for 208Pb and 48Ca [25, 30]. Smaller squares and circles refer to relativistic and non-relativistic mean-field calculations, respectively, cited in Ref. [72]. The ab initio predictions from Ref. [17] for 48Ca and Refs. [18, 19] for 208Pb are represented by horizontal and vertical bands labeled ab initio, respectively. All uncertainties are reported at the level. Figure adapted from Refs. [30, 72].
At the time of our calculations, CREX had not been reported and only the first PREX experiment with large uncertainty had been reported, meaning that there was not an easy metric to gauge the accuracy of our predictions. Therefore, we took advantage of the unique characteristic of the DOM to explore which measurements, in either the bound or scattering domains, provide signatures of the neutron skin. To accomplish this, additional 48Ca fits were performed in which selected values of are forced (i.e., heavily weighted) in the corresponding minimization [23]. This is achieved by varying the radius parameters of the main real potential ( and [25]) and refitting the other asymmetry-dependent parameters. The weighted as a function of the calculated is plotted as the points (traced by the solid black line) in Figure 8C and the absolute minimum at = 3.67 fm corresponds to the skin thickness of fm. There is some fine-scale jitter in the variation of with . To concentrate on the larger-scale variation, the data points shown in Figure 8C are local averages with the error bars giving the range of the jitter.
FIGURE 8

(A) Comparison of experimental +48Ca elastic-scattering angular distributions [37, 75] to the best DOM fit of all data (solid curves) and to a constrained fit with the skin thickness forced to = 0.132 fm (dashed curves) consistent with the ab initio and CREX values. (B) Comparison of the experimental total neutron cross sections of 48Ca (diamonds [76], circles [77]) to DOM fits with constrained values of . (C) from fitting all data (solid curve) and its contribution from fitting the elastic-scattering angular distributions and total neutron cross section (dotted and dashed curves, respectively). Each point corresponds to a fit around its value of . Figure adapted from Ref. [25].
The location of the ab initio coupled-cluster result [17] is also indicated at 3.56 fm as a blue square. The shown has been subdivided into its contributions from its two most important components (dashed curves): the elastic-scattering angular distributions and the total neutron cross sections. The former has a smaller sensitivity to , and its is slightly lower for the smaller values of , which are more consistent with the ab initio and CREX results as illustrated in Figure 8A where a fit with a forced value of = 0.132 is compared to the best DOM fit and to the data. Whereas this alternative calculation improves the reproduction of these data, the deviations of both curves from the data are typical of what one sees in global optical-model fits. In addition, the available experimental angular distributions only cover a small range of bombarding energies (7.97–16.8 MeV) and may not be typical of other energies.
The total cross section exhibits larger sensitivity and the experimental data cover a large range of neutron energies (6–200 MeV). Two datasets are available (circles and diamonds in Figure 8B) but are inconsistent by 10% at 10 MeV, where their ranges overlap. The high-energy dataset [77] (circles) was used in the DOM fit as it was obtained with 48Ca metal, whereas the low-energy set [76] (diamonds) employed 48 and required a subtraction of 70% of the signal due to neutron absorption from the component. Therefore, the contribution is displayed only from the high-energy set. This exhibits a broad minimum from = 3.66 to 3.75 fm, allowing values of up to 0.33 fm.
It appeared that the total cross section provided a strong constraint on the neutron skin (as an example of a scattering observable that can affect bound-state observables through the dispersion relation). Faced with the thin skin reported by CREX, it appears that we did not attribute enough uncertainty in the total cross-sectional data to allow a wider range of skin values. This concept will be explored in future DOM investigations of in which the CREX measurement is included in the fit. It is possible that increasing the uncertainty in the high-energy data would allow for skin values consistent with CREX (i.e., the blue square in Figure 8C) to have values comparable to those of the current DOM fit. Furthermore, similar to the analysis that resulted in Figure 8, it will be interesting to see how the CREX constraint alters other aspects of the DOM self-energy, even non-observables features such as the shape of the spectral functions (see Figure 1) and the momentum distributions (see Figure 6).
Provided with a sufficiently complete set of data, which is the case for protons in 48Ca, the DOM framework allows for accurate predictions (see Sec. 2.4). The thin skin of CREX demonstrates that, unlike protons, there are not sufficient experimental data for neutrons in 48Ca to accurately predict the neutron skin. The number of proton elastic-scattering datasets at different energies shown for 208Pb in Figure 3 is representative of Ca, whereas the three datasets in Figure 8A display all available data for Ca elastic-scattering. Furthermore, there are only neutron total cross-sectional data, and no reaction cross-sectional data exist at any energy in 48Ca. Thus, even at positive energies, the DOM neutrons are not constrained nearly as well as protons. With more neutron scattering data in 48Ca, the DOM could provide a better prediction of . Furthermore, the inclusion of the CREX data point will provide a much needed constraint below the Fermi energy, bringing the neutron dataset closer to “completeness” (in the sense of constraining the DOM).
To accommodate the thin skin extracted by CREX, one would expect the distribution of neutrons to favor a configuration with more neutrons in the interior of 48Ca. This concentration of neutrons near the origin implies an increase in the fraction of high-momentum neutrons, thanks to the Heisenberg uncertainty principle. This could lead to a larger percentage of high-momentum neutrons than protons, which would be a departure from the current DOM picture (see Figure 6) as well as from the evidence suggested by the CLAS experiments on other asymmetric nuclei. It could turn out that the size of 48Ca is inadequate to apply bulk nuclear properties to. We observed this in Ref. [28], where we consider the interiors of 48Ca and 208Pb as representing saturated nuclear matter. We found that the smaller size of 48Ca than that of 208Pb is harder to connect with saturated nuclear matter.
The neutron and proton point distributions in 208Pb and 48Ca, weighted by and normalized by particle number, are shown in Figure 9 The difference between proton and neutron distributions is highlighted by the factor which is employed when integrating the particle distributions to calculate the RMS radii. The DOM predictions of the neutron skin of 40Ca, 48Ca, and 208Pb are shown in Table 2, where it is evident that the DOM neutron skins of 48Ca and 208Pb are very similar. As 208Pb and 48Ca are similar (see Table 2), it may seem reasonable that they have similar neutron skins. However, the particle distributions of 208Pb and 48Ca in Figure 9, even though normalized by particle number, are quite distinct due to the size difference of the nuclei. In light of this, the neutron skin of 208Pb is biased to be larger by the increase in the RMS radii of the proton and neutron distributions. Thus, an interesting comparison can be made by normalizing by ,where is the normalized neutron skin thickness. This normalization serves to remove size dependence when comparing neutron skins of different nuclei. The result of the normalization in Equation 15 is shown in Table 2. The difference between the normalized skins of 208Pb and 48Ca in Table 2 reveals that the RMS radius of the neutron distribution does not simply scale by the size of the nucleus for nuclei with similar asymmetries. Although it is true that the nuclear charge radius scales roughly by (and by extension so does ), the same cannot be said about .
FIGURE 9

Neutron (red solid line) and proton (blue dashed line) point distributions in 208Pb and 48Ca weighted by while normalized to particle number. Figure adapted from Ref. [30].
TABLE 2
| Nucleus | 40Ca | 48Ca | 208Pb |
|---|---|---|---|
| 0 | 0.167 | 0.211 | |
| 3.39 fm | 3.38 fm | 5.45 fm | |
| 3.33 fm | fm | fm | |
| fm | fm | fm | |
| 0 fm | fm | fm | |
| 0 |
DOM predicted neutron skins for 40Ca,48Ca, and208Pb. Also shown are the neutron skins normalized by , denoted as , as well as neutron skins with the Coulomb potential removed from the self-energy, denoted as . The last entry is the normalized neutron skin with Coulomb removed, .
If one is to scale by the size of the nucleus, then the extension of the proton distribution due to Coulomb repulsion (which scales with the number of protons) should also be considered. As 208Pb has four times as many protons as 48Ca, the effect of Coulomb repulsion on the neutron skin of 208Pb could be up to four times more than its effect on the 48Ca neutron skin, which can reasonably be taken from the predicted skin of fm in 40Ca. In order to further investigate the effects of the Coulomb force on the neutron skin, we removed the Coulomb potential from the DOM self-energy. In doing this, the quasihole energy levels become much more bound, which increases the number of protons. To account for this, we shifted such that it remains between the particle-hole gap of the protons in 208Pb, corresponding to a shift of 19 MeV. Removing the effects of the Coulomb potential leads to an increased neutron skin of 0.38 fm. The results of the normalized neutron skins with Coulomb removed are listed in Table 2 for each nucleus, where it is clear that the Coulomb potential has a strong effect on the neutron skin. This points to the fact that the formation of a neutron skin cannot be explained by the asymmetry alone. Whereas the asymmetry in 48Ca is primarily caused by the additional neutrons in the f shell, there are several different additional shell fillings between the neutrons and protons in 208Pb. It is evident that these shell effects make it more difficult to predict the formation of the neutron skin based on macroscopic properties alone.
4 Conclusion
We have reviewed a nonlocal dispersive optical-model analysis of 48Ca and 208Pb in which we fit elastic-scattering angular distributions, absorption and total cross sections, single-particle energies, charge densities, ground-state binding energies, and particle numbers. When sufficient data are available to constrain our self-energies, the DOM is capable of accurate predictions. With our well-constrained self-energies, we report non-negligible high-momentum content in both 48Ca and 208Pb, which is consistent with the experimental observations at JLAB [64, 65, 69]. Spectroscopic factors are automatically generated and reproduce 48CaK experimental momentum distributions and those predicted in 208Pb appear consistent with the most up-to-date analysis of the reaction for the last valence proton orbit [60]. Furthermore, these spectroscopic factors explain the reduction of the form factors of high spin states obtained in inelastic electron scattering [58], lending support to the interpretation of Ref. [59]. The thick skin predicted in 208Pb is in agreement with PREX-2, whereas that predicted in 48Ca is not consistent with CREX. With more neutron scattering data in 48Ca, the DOM could provide a better prediction of . Including the CREX result in a DOM fit of 48Ca would provide a much needed constraint, bringing the neutron dataset closer to “completeness.”
To reproduce the reduced neutron RMS radius reported by CREX, we expect that the neutron distribution in 48Ca would shrink such that more neutrons concentrate in the interior of 48Ca. This redistribution would translate to increased high-momentum neutrons which could invert the hierarchy of the current DOM fit in which there is a higher percentage of high-momentum protons than neutrons (see Figure 6), counter to the evidence suggested by the CLAS experiments on other asymmetric nuclei [65, 69]. Currently, this is speculation, but we are exploring new DOM fits using CREX as an additional constraint so we can reach a better understanding. We must also consider the possibility that the size of 48Ca is inadequate for extracting/applying bulk nuclear properties. The shell-closure of the neutrons in 48Ca, for example, could be playing a stronger role in the formation of the skin than the EOS. Similarly, it is possible that this dominance picture is distorted by finite-nucleus effects that are not negligible in 48Ca. The DOM provides a unique perspective of the nucleus in that we can link these entirely different measurements through the dispersion relation in order to reach a deeper understanding of the relation between the EOS (and hence exotic objects such as neutron stars) and finite nuclei.
The DOM analysis provides an alternative approach to the multitude of mean-field calculations that provide a large variety of results for the neutron skins of 48Ca and 208Pb [72] while also contrasting with the ab initio result of Ref. [17] for 48Ca and Refs. [18, 19] for 208Pb. The experiments employing parity-violating elastic electron scattering on these nuclei [14, 15] therefore remain the most unambiguous approach to determine the neutron skin. A systematic study of more nuclei with similar asymmetry, , to 208Pb and 48Ca would help in determining the details of the formation of the neutron skin. This will lead to a better understanding of the EOS, which is vital in the current multi-messenger era onset by the first direct detection of a neutron star merger [78].
Statements
Author contributions
MA: conceptualization, data curation, formal analysis, funding acquisition, investigation, methodology, project administration, resources, software, supervision, validation, visualization, writing–original draft, and writing–review and editing. WD: conceptualization, formal analysis, funding acquisition, investigation, methodology, project administration, resources, supervision, validation, writing–original draft, and writing–review and editing.
Funding
The author(s) declare that financial support was received for the research, authorship, and/or publication of this article. This work was performed under the auspices of the U.S. Department of Energy by Lawrence Livermore National Laboratory under Contract DE-AC52-07NA27344 and was supported by the LLNL-LDRD Program under Project No. 24-LW-062. This work was also supported by the U.S. National Science Foundation under grants PHY-1912643 and PHY-2207756.
Acknowledgments
The authors acknowledge the important early contributions to this research from Bob Charity, Hossein Mahzoon, Cole Pruitt, and Lee Sobotka.
Conflict of interest
The authors declare that the research was conducted in the absence of any commercial or financial relationships that could be construed as a potential conflict of interest.
Publisher’s note
All claims expressed in this article are solely those of the authors and do not necessarily represent those of their affiliated organizations, or those of the publisher, the editors, and the reviewers. Any product that may be evaluated in this article, or claim that may be made by its manufacturer, is not guaranteed or endorsed by the publisher.
References
1.
TypelSBrownBA. Neutron radii and the neutron equation of state in relativistic models. Phys Rev C (2001) 64:027302. 10.1103/PhysRevC.64.027302
2.
FurnstahlRJHammerH. Phys Lett B (2002) 531:203–8. 10.1016/s0370-2693(01)01504-0
3.
SteinerAPrakashMLattimerJEllisP. Isospin asymmetry in nuclei and neutron stars. Phys Rep (2005) 411:325–75. 10.1016/j.physrep.2005.02.004
4.
Roca-MazaXCentellesMViñasXWardaM. Neutron skin of 208Pb, nuclear symmetry energy, and the parity radius experiment. Phys Rev Lett (2011) 106:252501. 10.1103/PhysRevLett.106.252501
5.
HorowitzCJPiekarewiczJ. Neutron star structure and the neutron radius of 208pb. Phys Rev Lett (2001) 86:5647–50. 10.1103/PhysRevLett.86.5647
6.
SteinerAWLattimerJMBrownEF. The equation of state from observed masses and radii of neutron stars. The Astrophysical J (2010) 722:33–54. 10.1088/0004-637x/722/1/33
7.
LiBAChenLWKoCM. Recent progress and new challenges in isospin physics with heavy-ion reactions. Phys Rep (2008) 464:113–281. 10.1016/j.physrep.2008.04.005
8.
TsangMBStoneJRCameraFDanielewiczPGandolfiSHebelerKet alConstraints on the symmetry energy and neutron skins from experiments and theory. Phys Rev C (2012) 86:015803. 10.1103/PhysRevC.86.015803
9.
MammeiJMHorowitzCJPiekarewiczJReedBTSfientiC. Neutron skins: weak elastic scattering and neutron stars. Annu Rev Nucl Part Sci (2024) 74:321–42. 10.1146/annurev-nucl-102122-024207
10.
AngeliIMarinovaK. Table of experimental nuclear ground state charge radii: an update. At Data Nucl Data Tables (2013) 99:69–95. 10.1016/j.adt.2011.12.006
11.
Garcia RuizRFBissellMLBlaumKEkstromAFrommgenNHagenGet alUnexpectedly large charge radii of neutron-rich calcium isotopes. Nat Phys. (2016) 594–8. 10.1038/nphys3645
12.
HorowitzCJ. Parity violating elastic electron scattering and coulomb distortions. Phys Rev C (1998) 57:3430–6. 10.1103/PhysRevC.57.3430
13.
AbrahamyanSAhmedZAlbatainehHAniolKArmstrongDSArmstrongWet alMeasurement of the neutron radius of 208Pb through parity violation in electron scattering. Phys Rev Lett (2012) 108:112502. 10.1103/PhysRevLett.108.112502
14.
AdhikariDAlbatainehHAndroicDAniolKArmstrongDAverettTet alAccurate determination of the neutron skin thickness of 208Pb through parity-violation in electron scattering. Phys Rev Lett (2021) 126:172502. 10.1103/PhysRevLett.126.172502
15.
AdhikariDAlbatainehHAndroicDAniolKArmstrongDAverettTet alPrecision determination of the neutral weak form factor of 48Ca. Phys Rev Lett (2022) 129:042501. 10.1103/PhysRevLett.129.042501
16.
ReinhardPGRoca-MazaXNazarewiczW. Combined theoretical analysis of the parity-violating asymmetry for 48Ca and 208Pb. Phys Rev Lett (2022) 129:232501. 10.1103/PhysRevLett.129.232501
17.
HagenGEkströmAForssénCJansenGRNazarewiczWPapenbrockTet alNeutron and weak-charge distributions of the 48ca nucleus. Nat Phys (2016) 12:186–90. 10.1038/nphys3529
18.
HuBJiangWMiyagiTSunZEkströmAForssénCet alAb initio predictions link the neutron skin of 208pb to nuclear forces. Nat Phys (2022) 18:1196–200. 10.1038/s41567-022-01715-8
19.
HuBJiangWMiyagiTSunZEkströmAForssénCet alAuthor correction: ab initio predictions link the neutron skin of 208pb to nuclear forces. Nat Phys (2024) 20:169. 10.1038/s41567-023-02324-9
20.
ReedBTFattoyevFJHorowitzCJPiekarewiczJ. Density dependence of the symmetry energy in the post–prex-crex era. Phys Rev C (2024) 109:035803. 10.1103/PhysRevC.109.035803
21.
MahauxCSartorR. Single-particle motion in nuclei. Boston, MA: Springer US (1991). p. 1–223. 10.1007/978-1-4613-9910-0_1
22.
MahzoonMHCharityRJDickhoffWHDussanHWaldeckerSJ. Forging the link between nuclear reactions and nuclear structure. Phys Rev Lett (2014) 112:162503. 10.1103/PhysRevLett.112.162503
23.
DickhoffWHCharityRJMahzoonMH. Novel applications of the dispersive optical model. J Phys G: Nucl Part Phys (2017) 44:033001. 10.1088/1361-6471/44/3/033001
24.
DickhoffWHVan NeckD. Many-body theory exposed. 2nd ed.New Jersey: World Scientific (2008).
25.
MahzoonMHAtkinsonMCCharityRJDickhoffWH. Neutron skin thickness of Ca48 from a nonlocal dispersive optical-model analysis. Phys Rev Lett (2017) 119:222503. 10.1103/PhysRevLett.119.222503
26.
DescouvemontPBayeD. The r -matrix theory. Rep Prog Phys (2010) 73:036301. 10.1088/0034-4885/73/3/036301
27.
AtkinsonMC. Developing nucleon self-energies to generate the ingredients for the description of nuclear reactions. Springer (2020).
28.
AtkinsonMCDickhoffWHPiarulliMRiosAWiringaRB. Reexamining the relation between the binding energy of finite nuclei and the equation of state of infinite nuclear matter. Phys Rev C (2020) 102:044333. 10.1103/PhysRevC.102.044333
29.
AtkinsonMCDickhoffWHPiarulliMRiosAWiringaRB. Reply to “comment on ‘reexamining the relation between the binding energy of finite nuclei and the equation of state of infinite nuclear matter’ ”. Phys Rev C (2021) 104:059802. 10.1103/PhysRevC.104.059802
30.
AtkinsonMCMahzoonMHKeimMABordelonBAPruittCDCharityRJet alDispersive optical model analysis of 208Pb generating a neutron-skin prediction beyond the mean field. Phys Rev C (2020) 101:044303. 10.1103/PhysRevC.101.044303
31.
AtkinsonMCBlokHPLapikásLCharityRJDickhoffWH. Validity of the distorted-wave impulse-approximation description of Ca40(e,e′p)K39 data using only ingredients from a nonlocal dispersive optical model. Phys Rev C (2018) 98:044627. 10.1103/PhysRevC.98.044627
32.
AtkinsonMCDickhoffWH. Investigating the link between proton reaction cross sections and the quenching of proton spectroscopic factors in 48ca. Phys Lett B (2019) 798:135027. 10.1016/j.physletb.2019.135027
33.
BellJSSquiresEJ. A formal optical model. Phys Rev Lett (1959) 3:96–7. 10.1103/PhysRevLett.3.96
34.
PereyFBuckB. A non-local potential model for the scattering of neutrons by nuclei. Nucl Phys (1962) 32:353–80. 10.1016/0029-5582(62)90345-0
35.
CharityRJSobotkaLGDickhoffWH. Asymmetry dependence of proton correlations. Phys Rev Lett (2006) 97:162503. 10.1103/PhysRevLett.97.162503
36.
CharityRJMuellerJMSobotkaLGDickhoffWH. Dispersive-optical-model analysis of the asymmetry dependence of correlations in ca isotopes. Phys Rev C (2007) 76:044314. 10.1103/PhysRevC.76.044314
37.
MuellerJMCharityRJShaneRSobotkaLGWaldeckerSJDickhoffWHet alAsymmetry dependence of nucleon correlations in spherical nuclei extracted from a dispersive-optical-model analysis. Phys Rev C (2011) 83:064605. 10.1103/PhysRevC.83.064605
38.
DickhoffWHVan NeckDWaldeckerSJCharityRJSobotkaLG. Nonlocal extension of the dispersive optical model to describe data below the fermi energy. Phys Rev C (2010) 82:054306. 10.1103/PhysRevC.82.054306
39.
WaldeckerSJBarbieriCDickhoffWH. Microscopic self-energy calculations and dispersive optical-model potentials. Phys Rev C (2011) 84:034616. 10.1103/PhysRevC.84.034616
40.
DussanHWaldeckerSJDickhoffWHMütherHPollsA. Microscopic self-energy of 40ca from the charge-dependent bonn potential. Phys Rev C (2011) 84:044319. 10.1103/PhysRevC.84.044319
41.
BridaIPieperSCWiringaRB. Quantum Monte Carlo calculations of spectroscopic overlaps inA⩽7nuclei. Phys Rev C (2011) 84:024319. 10.1103/physrevc.84.024319
42.
LaneAM. Isobaric spin dependence of the optical potential and quasi-elastic (p, n) reactions. Nucl Phys35 (1962) 676. 10.1016/0029-5582(62)90153-0
43.
FiedeldeyH. The equivalent local potential and the perey effect. Nucl Phys (1966) 77:149–56. 10.1016/0029-5582(66)90682-1
44.
PressWHTeukolskySAVetterlingWTFlanneryBP. Numerical recipes in fortran 90. Cambridge University Press (1996).
45.
KhoaDTThanHSCuongDC. Folding model study of the isobaric analog excitation: isovector density dependence, lane potential, and nuclear symmetry energy. Phys Rev C (2007) 76:014603. 10.1103/PhysRevC.76.014603
46.
LocBMKhoaDTZegersRGT. Charge-exchange scattering to the isobaric analog state at medium energies as a probe of the neutron skin. Phys Rev C (2014) 89:024317. 10.1103/PhysRevC.89.024317
47.
DanielewiczPSinghPLeeJ. Symmetry energy III: isovector skins. Nucl Phys A (2017) 958:147–86. 10.1016/j.nuclphysa.2016.11.008
48.
KoningADelarocheJ. Local and global nucleon optical models from 1 kev to 200 mev. Nucl Phys A (2003) 713:231–310. 10.1016/S0375-9474(02)01321-0
49.
de VriesHde JagerCWde VriesC. Nuclear charge-density-distribution parameters from elastic electron scattering. Nucl Data Tables (1987) 36:495–536. 10.1016/0092-640x(87)90013-1
50.
SickIBellicardJBCavedonJMFroisBHuetMLecontePet alCharge density of 40Ca. Phys Lett B (1979) 88:245–8. 10.1016/0370-2693(79)90458-1
51.
FroisBBellicardJBCavedonJMHuetMLecontePLudeauPet alHigh-momentum-transfer electron scattering from 208Pb. Phys Rev Lett (1977) 38:152–5. 10.1103/PhysRevLett.38.152
52.
SalvatFJablonskiAPowellCJ. Elsepa - Dirac partial-wave calculation of elastic scattering of electrons and positrons by atoms, positive ions and molecules. Computer Phys Commun (2005) 165:157–90. 10.1016/j.cpc.2004.09.006
53.
BenderMHeenenPHReinhardPG. Self-consistent mean-field models for nuclear structure. Rev Mod Phys (2003) 75:121–80. 10.1103/RevModPhys.75.121
54.
WangMHuangWKondevFAudiGNaimiS. The ame 2020 atomic mass evaluation (ii). tables, graphs and references. Chin Phys C (2021) 45:030003. 10.1088/1674-1137/abddaf
55.
PruittCDCharityRJSobotkaLGAtkinsonMCDickhoffWH. Systematic matter and binding-energy distributions from a dispersive optical model analysis. Phys Rev Lett (2020) 125:102501. 10.1103/PhysRevLett.125.102501
56.
PruittCDCharityRJSobotkaLGElsonJMHoffDEMBrownKWet alIsotopically resolved neutron total cross sections at intermediate energies. Phys Rev C (2020) 102:034601. 10.1103/PhysRevC.102.034601
57.
AndersonBDBevingtonPRCvernaFHMcNaughtonMWWillardHBBarrettRJet alProton total reaction cross section measurements for 40,44,48Ca at 700 mev. Phys Rev C (1979) 19:905–12. 10.1103/PhysRevC.19.905
58.
LichtenstadtJHeisenbergJPapanicolasCNSargentCPCourtemancheANMcCarthyJS. High-spin states of Jπ = 12−, 14− in 208Pb studied by (e,e ′). Phys Rev C (1979) 20:497–503. 10.1103/PhysRevC.20.497
59.
PandharipandeVRPapanicolasCNWambachJ. Occupation probabilities of shell-model orbits in the lead region. Phys Rev Lett (1984) 53:1133–6. 10.1103/PhysRevLett.53.1133
60.
SickIde Witt HubertsPKA. Comm Nucl Part Phys (1991) 20:177. Available online at: https://inspirehep.net/literature/1406038
61.
QuintENMvan den BrandJFJden HerderJWAJansEKeizerPHMLapikásLet alRelative 3s spectroscopic strength in 206Pb and 208Pb studied with the (e, e ′ p) knockout reaction. Phys Rev Lett (1986) 57:186–9. 10.1103/PhysRevLett.57.186
62.
QuintENMBarnettBMvan den BergAMvan den BrandJFJClementHEntRet alEvidence for partial occupancy of the 3s1/2 proton orbit in 208Pb. Phys Rev Lett (1987) 58:1088–91. 10.1103/PhysRevLett.58.1088
63.
van BatenburgMF. Netherlands: Utrecht University (2001). Ph.D. Thesis.
64.
HenOMillerGAPiasetzkyEWeinsteinLB. Nucleon-nucleon correlations, short-lived excitations, and the quarks within. Rev Mod Phys (2017) 89:045002. 10.1103/RevModPhys.89.045002
65.
EgiyanKSDashyanNBSargsianMMStrikmanMIWeinsteinLBAdamsGet alMeasurement of two- and three-nucleon short-range correlation probabilities in nuclei. Phys Rev Lett (2006) 96:082501. 10.1103/PhysRevLett.96.082501
66.
FrickTMütherHRiosAPollsARamosA. Correlations in hot asymmetric nuclear matter. Phys Rev C (2005) 71:014313. 10.1103/PhysRevC.71.014313
67.
RiosAPollsADickhoffWH. Depletion of the nuclear fermi sea. Phys Rev C (2009) 79:064308. 10.1103/PhysRevC.79.064308
68.
RiosAPollsADickhoffWH. Density and isospin-asymmetry dependence of high-momentum components. Phys Rev C (2014) 89:044303. 10.1103/PhysRevC.89.044303
69.
DuerMHenOPiasetzkyEHakobyanHWeinsteinLBBravermanMet alProbing high-momentum protons and neutrons in neutron-rich nuclei. Nature (2018) 560:617–21. 10.1038/s41586-018-0400-z
70.
WiringaRBSchiavillaRPieperSCCarlsonJ. Nucleon and nucleon-pair momentum distributions in a ≤ 12 nuclei. Phys Rev C (2014) 89:024305. 10.1103/PhysRevC.89.024305
71.
RoheDArmstrongCSAsaturyanRBakerOKBueltmannSCarascoCet alCorrelated strength in the nuclear spectral function. Phys Rev Lett (2004) 93:182501. 10.1103/PhysRevLett.93.182501
72.
HorowitzCJKumarKSMichaelsR. Electroweak measurements of neutron densities in CREX and PREX at JLab, USA. Eur Phys A (2014) 50:48. 10.1140/epja/i2014-14048-3
73.
AdhikariDAlbatainehHAndroicDAniolKAArmstrongDSAverettTet alPrecision determination of the neutral weak form factor of 48Ca. Phys Rev Lett (2022) 129:042501. 10.1103/PhysRevLett.129.042501
74.
AdhikariDAlbatainehHAndroicDAniolKArmstrongDSAverettTet alAccurate determination of the neutron skin thickness of 208Pb through parity-violation in electron scattering. Phys Rev Lett (2021) 126:172502. 10.1103/PhysRevLett.126.172502
75.
HicksSFHicksSEShenGRMcEllistremMT. Collective doorway configurations in 49Ca through neutron scattering on 48Ca. Phys Rev C (1990) 41:2560–70. 10.1103/PhysRevC.41.2560
76.
HarveyJAJohnsonCHCarltonRFCastelB. Single-particle 2d5/2 strength in the 48ca+n reaction. Phys Rev C (1985) 32:1114–7. 10.1103/PhysRevC.32.1114
77.
ShaneRCharityRElsonJSobotkaLDevlinMFotiadesNet alTotal neutron cross-sections for rare isotopes using a digital-signal-processing technique: case study 48ca. Nucl Instr Methods Phys Res Section A: Acc Spectrometers, Detectors Associated Equipment (2010) 614:468–74. 10.1016/j.nima.2010.01.005
78.
AbbottBPAbbottRAbbottTAcerneseFAckleyKAdamsCet alGw170817: observation of gravitational waves from a binary neutron star inspiral. Phys Rev Lett (2017) 119:161101. 10.1103/PhysRevLett.119.161101
Summary
Keywords
neutron skin, structure, reactions, optical potential, Green’s function
Citation
Atkinson MC and Dickhoff WH (2024) Neutron skins: A perspective from dispersive optical models. Front. Phys. 12:1487314. doi: 10.3389/fphy.2024.1487314
Received
27 August 2024
Accepted
30 September 2024
Published
28 October 2024
Volume
12 - 2024
Edited by
Oscar Moreno, Complutense University of Madrid, Spain
Reviewed by
Francesco Giovanni Celiberto, University of Alcalá, Spain
Shuichiro EBATA, Saitama University, Japan
Updates
Copyright
© 2024 Atkinson and Dickhoff.
This is an open-access article distributed under the terms of the Creative Commons Attribution License (CC BY). The use, distribution or reproduction in other forums is permitted, provided the original author(s) and the copyright owner(s) are credited and that the original publication in this journal is cited, in accordance with accepted academic practice. No use, distribution or reproduction is permitted which does not comply with these terms.
*Correspondence: M. C. Atkinson, mackenzie.c.atkinson@gmail.com
Disclaimer
All claims expressed in this article are solely those of the authors and do not necessarily represent those of their affiliated organizations, or those of the publisher, the editors and the reviewers. Any product that may be evaluated in this article or claim that may be made by its manufacturer is not guaranteed or endorsed by the publisher.