Abstract
The treatment of pollution reduction and carbon reduction in Yongding River Basin involves many stakeholders. It is of great significance and value to analyze the pollution reduction and carbon reduction in Yongding River Basin by using game model, study different game scenarios and participants’ behavior choices and motivations, evaluate the results and effects of the game, and put forward the optimization and improvement scheme of the game. This paper constructs a tripartite game model involving the central government, local governments and river basin companies, and through numerical simulation analysis, reveals the decision-making evolution path and influencing factors of all parties in the implementation of pollution reduction and carbon reduction policies. The results show that the increase of financial subsidies provided by the central government, the improvement of the fine mechanism, the increase of the proportion of central subsidies paid by local governments to river basin companies and the reduction of the costs borne by local governments in implementing pollution reduction and carbon reduction policies can all promote the pollution reduction and carbon reduction actions of local governments and river basin companies. Based on the simulation of the above conclusions, it provides scientific theoretical support and policy suggestions for pollution reduction and carbon reduction in Yongding River Basin, thus forming the effect of joint efforts to enhance the coordinated governance of government and enterprises.
1 Introduction
Climate change has become a worldwide problem. China’s active response to climate change is not only the internal demand of China’s sustainable development, but also the important content of promoting the construction of ecological civilization. The construction of ecological civilization is a fundamental plan related to the sustainable development of the Chinese nation. We must adhere to sustainable development, promote green development, circular development and low-carbon development more consciously, and adhere to the road of civilized development with production development, affluent life and good ecology. Report to the 20th Communist Party of China National Congress, the Communist Party of China, has also made systematic arrangements for this: it is necessary to take carbon reduction as the main strategic direction, realize the synergistic effect of reducing pollution and carbon, promote the transformation of economic and social development to green and low carbon, and change the quality of ecological environment from quantitative improvement to qualitative improvement. In recent years, China has formulated and implemented a series of policy requirements for pollution reduction and carbon reduction, such as the Comprehensive Work Plan for Energy Conservation and Emission Reduction in the Tenth Five-Year Plan, the Implementation Plan for Synergy of Pollution Reduction and Carbon Reduction, and the Guiding Opinions on Coordinating and Strengthening the Work Related to Climate Change and Ecological Environmental Protection, aiming at promoting the green and low-carbon transformation in energy structure, industrial structure, transportation structure and land use structure, realizing the synergy of energy conservation, carbon reduction and pollution reduction, and improving the environment. As an important value orientation of national development, ecological environment protection has achieved remarkable results. However, the situation of China’s ecological environment is still severe. For example, the smog problem in Beijing-Tianjin-Hebei region has not been fundamentally solved, and the non-point source pollution in Haihe River, the lower reaches of the Yellow River and Songliao Basin is still serious.
In this context, Yongding River Basin, as an important water conservation area, ecological barrier and ecological corridor in Beijing-Tianjin-Hebei-Shanxi-Mongolia region, is also the largest inland river in China, and its water resources are of great strategic significance for ensuring production and life, maintaining ecological balance and promoting regional coordinated development in Beijing-Tianjin-Hebei region. However, there are also some problems in Yongding River Basin, such as water shortage, serious water pollution and water ecological degradation. The average annual total water resources in Yongding River Basin is about 2.7 billion square meters, and the per capita possession is only below 300 square meters. The contradiction between supply and demand of water resources is very prominent [1]. The water quality of Yongding River Basin is also very unsatisfactory, with less than 30% of the 41 water functional zones reaching the standard, especially the water pollution of some tributaries of Sanggan River and Yanghe River, which leads to the pollution of Guanting Reservoir and affects its function and structure [2]. The water ecosystem in Yongding River basin has also been seriously damaged, and the phenomena such as river cut-off, wetland shrinkage and biodiversity reduction are widespread. In addition, the greenhouse gas emissions in Yongding River basin are also high, mainly from energy consumption, industrial production, agricultural activities, etc., which also faces great challenges in coping with and adapting to climate change. In June 2018, the governments of Beijing, Tianjin, Hebei and Shanxi provinces (municipalities directly under the Central Government) and China Communications Construction Group Co., Ltd. jointly funded the establishment of Yongding River Basin Investment Co., Ltd. (hereinafter referred to as Yongding River Company), explored diversified financing models, and built a unified governance pattern of “basin planning, regional coordination, departmental linkage, government leadership, enterprise main body and market participation”. On the basis of the input from the central and local governments, Yongding River Company promoted the unified planning, management, dispatching and management of the river basin, and built an integrated platform of “investment-construction-management-transportation”, which achieved remarkable results. Pollution reduction and carbon reduction in Yongding River Basin involves many stakeholders, including the central government, local governments in the upper, middle and lower reaches, river basin companies, industrial and agricultural enterprises, etc. They have a complex game relationship and need to balance the goals and means of economic development, ecological protection and climate action [3]. Therefore, it is of great significance and value for theory and practice to analyze the pollution reduction and carbon reduction in Yongding River basin by using game model, study different game scenarios and participants’ behavior choices and motivations, evaluate the results and effects of the game, and put forward the optimization and improvement scheme of the game. The purpose of this paper is to provide scientific theoretical support and policy suggestions for pollution reduction and carbon reduction in Yongding River Basin through the application of game model.
2 Literature review
Air pollution is an environmental phenomenon that some substances are discharged into the atmosphere by human production activities or natural phenomena, and when they accumulate to a certain extent, they make people feel uncomfortable or do harm to their bodies for a period of time [4]. With the acceleration of industrialization and urbanization in China, air pollution has become a major environmental issue of global concern [5]. Studies have shown that the huge economic losses and human health losses caused by air pollution have become an important factor restricting the high-quality development of China. Zhu Jie and Su Yamin (2023) take the air quality data of the city where the headquarters of China A-share listed companies are located from 2014 to 2020 as samples to empirically test how air pollution affects the internationalization of China enterprises, and through analysis, it is concluded that air pollution will not be conducive to China enterprises to successfully implement the “going out” strategy [6]. Zhang X et al. (2023) drew relevant conclusions by analyzing the impact of PM2.5 exposure in China on China’s health and economy from 2015 to 2020. By 2020, more than half of the residents in China will still be in the state of PM2.5 pollution, which has caused huge direct economic losses [7]. Chen Shiyi and Tran Dang Khoa (2018) used the data of PM2.5 concentration in China from 2004 to 2013 (286 prefecture-level cities) to study the influence and mechanism of smog on China’s economic development, and revealed that smog seriously affected China’s economic development, and provided relevant policy suggestions for improving China’s air environment and economic development level and promoting China’s high-quality economic development [8]. Wei Dongming et al. (2022) used the data of 1,526 counties from 2005 to 2018 to conduct an empirical study on the relationship between smog control and high-quality development of green economy. The results show that smog control is helpful to achieve high-quality development of green economy [9].
Carbon emission refers to a process that carbon dioxide is produced and discharged into the atmosphere due to various activities, such as agricultural production, industrial production and land use change [10]. There is a close internal relationship and interaction mechanism between economic growth and carbon emissions. With the continuous improvement of China’s economic development, more researchers began to study the relationship between economic growth and carbon emissions. Researchers mainly use the environmental Kuznets curve to study the relationship between carbon emissions and economic growth. Grossman (1991) introduced the “environmental Kuznets curve” in his book Environmental Impact of North American Free Trade, and pointed out that there is an inverted U-shaped relationship between economic growth and environmental quality [11]. Wang Hang Xingdeng (2024) used the industrial data of Anhui Province from 2005 to 2021, established a model and analyzed it by using EKC, Tapio and other methods, and concluded that the carbon emissions of industrial industries in Anhui Province showed an inverted U-shaped relationship with economic growth [12]. In addition, Seldena (1995), Song Tao (2007), Li Guozhi (2011) and other researchers have also verified this theory through model analysis [13–15]. There are also some researchers who use the Tapio decoupling method to study the relationship between them. For example, Zhang Qing et al. (2024) estimated the carbon emissions of agricultural water use in Hangzhou by using the agricultural production data from 2010 to 2021, and studied the decoupling relationship between carbon emissions of agricultural water use and its economic development in Hangzhou. It is found that under the influence of technical effect and economic effect, the relationship between them is mainly strong decoupling [16].
Air pollution and carbon emission are two serious environmental problems that China is currently facing. Although there are great differences in the scope of influence and the form of harm, the characteristics of “the same root and the same origin” provide conditions for their coordinated governance [17]. In 2018, the State Council integrated the air pollution prevention and climate change work of relevant departments, and made overall coordination in the newly established Ministry of Ecology and Environment, which laid a solid institutional foundation for reducing pollution and carbon in China [18]. At the national eco-environmental conference in 2021, Minister Huang Runqiu also clearly pointed out that “it is an important means to promote the comprehensive green and low-carbon transformation of economic and social development by combining pollution reduction and carbon reduction and promoting the coordinated governance of pollution reduction and carbon reduction”. In this new period, the country’s ecological environment protection work has entered a new stage of collaborative governance to reduce pollution and carbon. Although the domestic research in this field started late, it has developed rapidly as a whole. From the development of the last decade, researchers have carried out a lot of research work in different industries, different regions and different research methods. Zheng Yixuan and others (2021) discussed the basic connotation of “pollution reduction and carbon reduction” from different angles, clarified the identification method of key collaborative areas and the concept of collaborative governance of key industries, and on this basis, systematically address the collaborative approach of atmospheric environmental governance and carbon reduction in China [19]. Ma Yingying et al. (2023) took the central, local and high-emission enterprises as the research objects, established an evolutionary game model of tripartite collaborative governance, and identified the key evolutionary conditions and paths to promote the coordinated governance of the system [20]. Yao Rongrong and Zheng Shiming (2023) take the cooperation between government and enterprises in Yongding River basin as a case, analyze the embedded cooperation between government and enterprises and its internal mechanism from two dimensions of structure and system, and construct the “embedded cooperation” model between government and enterprises [21].
By combing the literature, we can find that both air pollution and carbon emissions will have a negative impact on economic development and even human health. According to the characteristics of the same root and homology, researchers have put forward the related concepts of collaborative governance and conducted a lot of research on how to carry out collaborative governance. In the collaborative governance of reducing pollution and carbon, the strategy choice between the government and enterprises involves the mutual game between the subjects. However, few researchers take the governance of a specific region as an example to determine the equilibrium solution and optimal strategy of collaborative governance by using evolutionary game model. In view of this, this paper takes the coordinated governance of government and enterprises in Yongding River Basin as an example, and constructs a tripartite evolutionary game model with reference to the analytical framework of Yao Rongrong and Zheng Shiming (2023) [21]. By analyzing the interest demands and behavior strategies of the central government, local governments and Yongding River Basin Investment Co., Ltd. in the coordinated governance of pollution reduction and carbon reduction, this paper puts forward corresponding suggestions, so as to form a joint effort to enhance the effect of coordinated governance of government and enterprises.
3 Evolutionary game model construction
3.1 Theoretical basis
The difference between evolutionary game and traditional game is that the former has no necessary assumption that the participants are completely rational, and the information does not need to be complete. In the collaborative governance of pollution reduction and carbon reduction in Yongding River Basin, there are certain conflicts and confrontations among the central government, local governments and Yongding River Basin Investment Co., Ltd. due to the interest relationship. Local governments will choose to actively implement or passively implement the pollution reduction and carbon reduction policies issued by the central government according to the degree of reward or punishment; At the same time, due to information asymmetry, river basin companies can make their own choices according to the strategies of local grass-roots governments and the central government (they can choose to take emission reduction measures or not) when making decisions on pollution reduction and carbon reduction in river basins, thus creating a dynamic cycle, which leads to the evolution of the three-party game. Therefore, using evolutionary game method to study the game balance strategy of the three stakeholders in the coordinated governance of pollution reduction and carbon reduction in Yongding River Basin has a good fit.
3.2 Model assumption and parameter setting
3.2.1 Model assumptions
Assumption 1On the premise of ignoring other restrictions, this paper constructs three different types of stakeholders: central government Z, local government X and river basin companies Y. Local governments can choose whether they need to actively implement pollution reduction and carbon reduction policies, that is, their strategy sets are (active implementation and passive implementation), and their probabilities are x and 1-x respectively; River basin companies can choose whether to take corresponding emission reduction measures in response to the implementation of pollution reduction and carbon reduction policies, that is, their strategy set is (take or not take), and their probabilities are y and 1-year respectively; The central government has the right to decide whether to implement active supervision and management on the implementation of pollution reduction and carbon reduction policies by local governments, that is, the set of strategies is (active supervision and passive supervision), and the probabilities are z and 1-z respectively. Where 0 ≤ x ≤ 1, 0 ≤ y ≤ 1 and 0 ≤ z ≤ 1. In this model, decision makers are bounded rationality, and the information possessed by each subject is incomplete, so the best decision can not be made in a single decision, and the strategy can only be adjusted through continuous game.
Assumption 2For the central government, whether the central government actively supervises the local government or not after the introduction of the pollution reduction and carbon reduction policy, it will provide some financial support for the local government to implement the pollution reduction and carbon reduction policy, and the local government will allocate the funds to the river basin companies that take emission reduction measures according to the specific situation. When the central government adopts an active supervision strategy for local governments, it is necessary to formulate corresponding supervision strategies and pay a large supervision cost C2. If the local government chooses to passively implement the pollution reduction and carbon reduction policy, it will be discovered by the central government, and the local government needs to refund the funds allocated by the central government and pay a fine C3. In addition, whether the central government actively supervises or not, the measures taken by river basin companies to reduce emissions can bring certain environmental benefits to the central government.
Assumption 3For local governments, whether they actively implement pollution reduction and carbon reduction policies or not, as long as river basin companies take emission reduction measures, local governments need to provide corresponding support funds and obtain environmental benefits E2 brought by river basin companies’ emission reduction. If the local government chooses to actively implement pollution reduction and carbon reduction policies, it also needs to invest the corresponding governance cost C4. For river basin companies, if they take emission reduction measures, they need to invest in the corresponding costs such as technology development and pollution control, and at the same time get the potential benefits E1 brought by the company’s image improvement; If emission reduction measures are not taken, local governments need to pay corresponding fines and more environmental taxes and carbon taxes C6, and local governments need to hand over the fines and taxes received to the central government according to a certain proportion.
3.2.2 Relevant parameter settings and their meanings
The main parameters involved in this model are shown in Table 1.
TABLE 1
| Parameter | Meaning |
|---|---|
| C1 | The central government gives subsidies to local governments for implementing pollution reduction and carbon reduction policies |
| C2 | Supervision cost paid by the central government when it actively supervises |
| αE2 | The benefits of pollution reduction and carbon reduction brought by river basin companies to the central government |
| E4 | The central government actively monitors all kinds of potential benefits gained from enhancing the international image |
| C7 | The environmental cost of the central government when the local government passively implements it and the river basin companies do not reduce emissions |
| C3 | When the central government actively supervises, the local government passively implements the fine that should be paid to the central government |
| α | Influence coefficient of the central government’s income from pollution reduction and carbon reduction when river basin companies take emission reduction measures (α > 1) |
| β | Local governments should pay the central government’s environmental tax, carbon tax and the proportion of fines imposed by river basin companies. (0≤β ≤ 1) |
| C4 | Governance cost when local governments choose to actively implement it |
| E2 | The benefits of pollution reduction and carbon reduction brought by river basin companies to local governments by adopting emission reduction measures |
| C5 | The input cost of river basin companies when they take emission reduction measures |
| C8 | Fines that should be paid to the local government if the basin company does not take emission reduction measures when the local government actively implements them |
| C6 | When local governments actively implement it, river basin companies do not take emission reduction measures, compared with the extra environmental protection tax and carbon tax that need to be paid when taking emission reduction measures |
| δ | The proportion of central subsidies paid by local governments to river basin companies when they take emission reduction measures. (0≤δ ≤ 1) |
| E1 | The benefits of pollution reduction and carbon reduction obtained by river basin companies by adopting emission reduction measures |
Main parameters and their meanings.
3.3 Establishment of evolutionary game model between two parties
Combined with the above assumptions and related parameters, the income matrix of the three-party game players is constructed in this study as shown in Table 2.
TABLE 2
| Local government | Valley company | Central government | |
|---|---|---|---|
| Active supervision z | Negative supervision 1-z | ||
| Actively implement x | take measures y | E2-C4+(1-δ)C1, E1-C5+δC1, E4+αE2-C1-C2 | E2-C4+(1-δ)C1, E1-C5+δC1, αE2-C1 |
| without measures 1-year | -C4+(1-δ)C1+(1-β)C6+(1-β)C8, -C6-C8, E4-C1-C2+βC6+βC8 | -C4+(1-δ)C1+(1-β)C6+(1-β)C8, -C6-C8, -(1-δ)C1+βC6+βC8 | |
| Passive implementation 1-x | take measures y | E2-C3, E1-C5+δC1, E4+αE2-δC1-C2+C3 | E2, E1-C5+δC1, αE2-δC1 |
| without measures 1-year | -C3, 0, E4-C2+C3-C7 | 0, 0, -C7 | |
Revenue matrix of strategic game.
3.4 Evolutionary stability strategy analysis
3.4.1 Evolution and stability strategy of local government
Using and to represent the revenue function of local government’s choice of “active implementation” and “passive implementation” strategies, and to represent the average revenue, we can get:
The expected revenue function of local government’s choice of “active implementation” strategy is:
The expected revenue function of local government’s choice of “passive implementation” strategy is:
The average expected return function of local governments is:
The replication dynamic equation of local government can be obtained:
3.4.2 Evolution and stability strategy of river basin companies
Using and to represent the expected income of river basin companies when they choose to “take” and “not take”, and to represent the average income, we can get:
The expected revenue function of river basin companies choosing “adopt” strategy is:
The expected revenue function of river basin companies choosing “no-take” strategy is:
The average expected return function of river basin companies is:
The replication dynamic equation of river basin company can be obtained:
3.4.3 Evolutionary stability strategy of the central government
Using and to represent the revenue function of the central government’s choice of “positive supervision” and “negative supervision”, and to represent the average revenue, we can get:
The expected revenue function of the central government’s choice of “active supervision” strategy is:
The expected return function of the central government’s choice of “passive supervision” strategy is:
The average expected return function of the central government is:
The replication dynamic equation of the central government can be obtained:
3.5 Evolutionary equilibrium point analysis
According to Lyapunov’s first law: if all eigenvalues of Jacobian matrix have negative real parts, the equilibrium point is asymptotically stable; If the eigenvalue of Jacobian matrix has a positive real part, the equilibrium point is unstable. From F(x) = 0, F(y) = 0 and F(z) = 0, 13 system equilibrium points can be obtained. The Jacobian matrix of the three-way evolutionary game system is:
Among them:
The stability of eight equilibrium points with asymptotic stability is analyzed, and the results are shown in Table 3:
TABLE 3
| Equilibrium point | λ1 | λ2 | λ3 |
|---|---|---|---|
| A(0,0,0) | C1-C4+C6-C6*β-C1*δ | E1-C5+C1*δ | C3-C2+C7+E4+C6*β |
| B(1,0,0) | C4-C1-C6+C6*β+C1*δ | C6-C5+C8+E1+C1*δ | E4-C2-C1*δ |
| C(0,1,0) | C1-C4-C1*δ | C5-E1-C1*δ | C3-C2+E4 |
| D(0,0,1) | C1+C3-C4+C6+C8-C6*β-C8*β-C1*δ | E1-C5-C1*δ | C2-C3-C7-E4-C6*β |
| E(1,1,0) | C4-C1+C1*δ | C5-C6-C8-E1-C1*δ | E4-C2 |
| F(1,0,1) | C4-C1-C3-C6-C8+C6*β+C8*β+C1*δ | C6-C5+C8+E1+C1*δ | C2-E4+C1*δ |
| G(0,1,1) | C1+C3-C4-C1*δ | C5-E1-C1*δ | C2-C3-E4 |
| H(1,1,1) | C4-C3-C1+C1*δ | C5-C6-C8-E1-C1*δ | C2-E4 |
Equilibrium points with asymptotic stability and their eigenvalues.
Bold values indicate the asymptotically stable equilibrium points obtained by the game model.
For point A (0,0,0), when (1-δ)C1 + (1-β)C6 < C4, E1 + δC1 < C5, E4 + βC6 + C3 + C7 < C2, the system is gradually stable at point A (0,0,0). At this time, the sum of the extra external bonded tax revenue and carbon tax revenue obtained by the local government when it actively implements is less than the cost it needs to pay for its active implementation; The sum of the benefits and policy subsidies obtained by river basin companies by taking emission reduction measures is less than the related costs invested by them when taking emission reduction measures; The sum of the potential income, tax revenue, related fine income and environmental protection cost saved by the central government when it actively supervises is less than the supervision cost it pays when it actively supervises; Therefore, local governments choose passive implementation, river basin companies choose not to take it, and the central government chooses passive supervision.
For point B (1,0,0), when C4 < (1-δ)C1 + (1-β)C6, E1 + δC1 + C6 + C8 < C5, E4 < C2 + δC1, the system is gradually stable at point B (1,0,0). At this time, the sum of the extra external bonded tax revenue and carbon tax revenue obtained by the local government when it actively implements is greater than the cost it needs to pay for its active implementation; The sum of the income, policy subsidies and taxes and fines saved by the river basin company when it takes emission reduction measures is less than the related costs when it takes emission reduction measures; The potential benefits of active supervision by the central government are less than the supervision costs paid by the central government and the policy subsidies saved by river basin companies when they do not reduce emissions; Therefore, river basin companies choose not to take it, and the central government chooses passive supervision. However, local governments choose to actively implement it because the total income they get from active implementation is greater.
For point C (0,1,0), when (1-δ)C1 < C4, C5 < E1 + δC1, E4 + C3 < C2, the system is gradually stable at point C (0,1,0). At this time, the local government’s subsidy from the central government is less than the related costs it needs to pay for its active implementation; The sum of the benefits and policy subsidies obtained by river basin companies by taking emission reduction measures is greater than the related costs invested by them when taking emission reduction measures; The sum of the potential benefits obtained by the central government when it actively supervises and the fine income obtained by the central government when the local government passively implements is less than the supervision cost paid by it when it actively supervises; Therefore, local governments choose passive implementation and the central government chooses passive supervision. However, because the total income obtained by the river basin company by taking emission reduction measures is greater, the river basin company chooses to take it.
For point D (0,0,1), when (1-δ)C1+(1-β)C6+(1-β)C8+C3<C4, E1-δC1<C5, C2< E4+C3+βC6+C7, the system is gradually stable at point D (0,0,1). At this time, the sum of the extra external bond, carbon tax revenue, policy subsidies, fines saved and extra external bond and carbon tax revenue obtained by local governments when they actively implement is less than the cost they need to pay for their active implementation; The net income obtained by river basin companies by taking emission reduction measures is less than the related costs they invested when taking emission reduction measures; The sum of the potential income, tax revenue, related fine income and environmental protection cost saved by the central government when it actively supervises is greater than the supervision cost it pays when it actively supervises; Therefore, local governments choose passive implementation, and river basin companies choose not to take it. However, because the central government’s total income from active supervision is greater, the central government chooses active supervision.
For point E (1,1,0), when C4<(1-δ)C1, C5<E1+δC1+C6+C8, E4<C2, the system is gradually stable at point E (1,1,0). At this time, the local government’s subsidy from the central government is greater than the related costs it needs to pay for its active implementation; The sum of the benefits, policy subsidies and taxes and fines saved by the river basin companies when they take emission reduction measures is greater than the related costs when they take emission reduction measures; The potential benefits of the central government’s active supervision are less than the supervision costs it pays; Therefore, the central government chooses passive supervision. However, because the total income obtained by the river basin companies taking emission reduction measures and the local governments actively implementing them is greater, the river basin companies choose to take them and the local governments choose to actively implement them.
For point F (1,0,1), when C4<(1-δ)C1+(1-β)C6+(1-β)C8+C3, E1+δC1+C6+C8<C5, C2+δC1<E4, the system is gradually stable at point F (1,0,1). At this time, the sum of the extra external bond, carbon tax revenue, policy subsidies, fines saved and extra external bond and carbon tax revenue obtained by local governments when they actively implement is greater than the cost they need to pay for their active implementation; The sum of the income, policy subsidies and taxes and fines saved by the river basin company when it takes emission reduction measures is less than the related costs when it takes emission reduction measures; The potential benefits of active supervision by the central government are greater than the supervision costs paid by the central government and the policy subsidies saved by river basin companies when they do not reduce emissions; Therefore, the basin company chose not to take it. However, because the local government actively implemented and the central government actively supervised, the total income was greater, so the local government chose to actively implement and the central government chose to actively supervise.
For point G (0,1,1), when (1-δ)C1+C3<C4, C5<E1+δC1, C2<E4+C3, the system is gradually stable at point G (0,1,1). At this time, the sum of policy subsidies and fines saved by local governments when they actively implement them is less than the cost they need to pay for their active implementation; The sum of the benefits and policy subsidies obtained by river basin companies by taking emission reduction measures is greater than the related costs invested by them when taking emission reduction measures; When the central government actively supervises, the sum of the potential income obtained by the central government when the local government passively implements it is greater than the supervision cost paid by the central government when it actively supervises. Therefore, local governments choose to implement it passively, but because the total benefits obtained by the basin companies adopting emission reduction measures and the central government actively supervising it are greater, the basin companies choose to adopt them and the central government chooses to actively supervise them.
For point H (1,1,1), when C4<(1-δ)C1+C3, C5<E1+δC1+C6+C8, C2<E4, the system is gradually stable at point H (1,1,1). At this time, the sum of policy subsidies and fines saved by local governments when they actively implement them is greater than the cost they need to pay for their active implementation; The sum of the benefits, policy subsidies and taxes and fines saved by the river basin companies when they take emission reduction measures is greater than the related costs when they take emission reduction measures; The potential benefits of the central government’s active supervision are greater than the supervision costs it pays. Therefore, local governments choose to actively implement, river basin companies choose to adopt, and the central government chooses to actively supervise. The three parties tend to be in a stable state of cooperation.
3.6 Evolution simulation analysis
3.6.1 Trilateral evolutionary game simulation
Considering the practical significance of each evolutionary stability strategy and the specific governance situation of Yongding River Basin, A to G all indicated that the three parties did not form effective cooperative governance behavior, only at point H (1,1,1), the central government actively supervised whether the local government actively implemented pollution reduction and carbon reduction policies and whether the basin companies took emission reduction measures, implemented financial subsidies and tax penalties, while the local government and the basin companies responded to the call to participate in carbon emission governance, and finally the three parties made efforts to achieve a stable state and achieve Nash equilibrium. Therefore, this paper only selects the evolution game situation of H (1,1,1) and uses Matlab software to simulate the strategy evolution trajectory of the participants.
If the equilibrium point H (1,1,1) is the evolutionary stability strategy of the system, it should satisfy C4 < (1-δ)C1 + C3, C5 < E1 + δC1 + C6 + C8 and C2 < E4,Based on the above conditions, let E1 = 13, E4 = 11, C1 = 12, C2 = 8, C3 = 9, C4 = 10, C5 = 7, C6 = 5, C7 = 6, C8 = 7, δ = 0.7, β = 0.5. Therefore, the evolutionary game simulation results of the system are shown in Figure 1, assuming that the probability of local governments choosing active implementation is x = 0.5, the probability of river basin companies taking emission reduction measures is y = 0.5, and the probability of central government choosing active supervision is z = 0.5. Therefore, the evolutionary game simulation results of the system are shown in Figure 2.
FIGURE 1

A (0,1,1) evolutionary game simulation (1).
FIGURE 2

A (0,1,1) evolutionary game simulation (2).
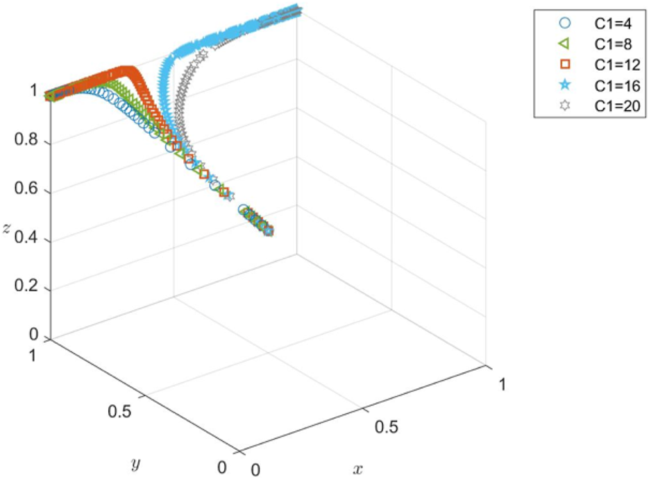
In order to verify the influence of subsidies given by the central government to local governments for implementing pollution reduction and carbon reduction policies on the game system, C1 is increased from 4 to 20 at intervals of 4, and other parameters are assigned as follows: let E1 = 13, E4 = 11, C2 = 8, C3 = 9, C4 = 10, C5 = 7, C6 = 5, C7 = 6, C8 = 7, δ = 0.7, β = 0.5. As can be seen from Figure 3, the critical value of central government subsidies to encourage local governments to actively implement pollution reduction and carbon reduction policies is between 12 and 16, and when the value is between 16 and 20, H (1,1,1) is ESS; When the value is 4–12, G (0,1,1) is ESS. Financial subsidies can be regarded as an incentive to encourage local governments to take specific actions through economic means. The higher the subsidies provided by the central government, the higher the enthusiasm of local governments to implement pollution reduction and carbon reduction policies, because such subsidies can reduce the economic burden of local governments in the process of policy implementation and increase their economic benefits in implementing related policies. In addition, high subsidies can provide more resources for local governments to support the research and implementation of pollution reduction and carbon reduction projects. This includes not only technological innovation, but also the transformation and optimization of existing infrastructure, as well as public education and awareness-raising activities. Therefore, the central government’s financial subsidies play a vital role in promoting local governments to actively participate in the implementation of pollution reduction and carbon reduction policies. To sum up, the increase of financial subsidies from the central government not only reduces the economic pressure of local governments, but also provides necessary resources and incentives to ensure that local governments can effectively implement pollution reduction and carbon reduction policies, thus pushing the whole society towards the goal of sustainable development. Therefore, the higher the subsidies given by the central government to local governments for implementing pollution reduction and carbon reduction policies, the more favorable it is for local governments to actively implement pollution reduction and carbon reduction policies.
FIGURE 3

The influence of changes in subsidies given by the central government to local governments.
In order to verify the influence of fines collected from local governments for negative implementation of pollution reduction and carbon reduction policies during active supervision by the central government on the game system, C3 is increased from 3 to 15 at intervals of 3, and other parameters are assigned as follows: let E1 = 13, E4 = 11, C1 = 12, C2 = 8, C4 = 10, C5 = 7, C6 = 5, C7 = 6, C8 = 7, δ = 0.7, β = 0.5. As can be seen from Figure 4, the critical value of central government subsidies to encourage local governments to actively implement pollution reduction and carbon reduction policies is between 6 and 9, and when the value is between 9 and 15, H (1,1,1) is ESS When the value is 3–6, G (0,1,1) is ESS. According to the negative incentive theory in economics, when local governments passively implement pollution reduction and carbon reduction policies, the fine imposed by the central government can be regarded as an economic punishment, aiming at curbing this behavior by increasing the cost of negative behavior. Therefore, the greater the amount of fines, the higher the economic costs borne by local governments. This economic pressure will prompt local governments to reconsider their policy stance and turn to actively implement pollution reduction and carbon reduction policies. In addition, the fine mechanism can also play a demonstration role and warn other local governments that may implement policies negatively, thus promoting the effective implementation of policies in a wider scope. At the same time, the fine income can be reinvested in environmental protection projects by the central government, forming a positive cycle, which not only punishes negative behavior, but also provides financial support for environmental improvement. Therefore, the more fines that local governments need to pay for passive implementation, the more favorable it is for local governments to choose to actively implement pollution reduction and carbon reduction policies.
FIGURE 4

Influence of changes in fines payable by local governments when they are passively implemented.
In order to verify the influence of the proportion of central subsidies paid by local governments to river basin companies on the game system, δ is increased from 0.1 to 0.9 at intervals of 0.2, and other parameters are assigned as follows: let E1 = 13, E4 = 11, C1 = 12, C2 = 8, C3 = 9, C4 = 10, C5 = 7, C6 = 5, C7 = 6, C8 = 7, β = 0.5. As can be seen from Figure 5, the critical value of the central subsidy payment ratio to encourage local governments to actively implement pollution reduction and carbon reduction policies is between 0.5 and 0.7, and when the value is between 0.1 and 0.5, H (1,1,1) is ESS When the value is 0.7–0.9, G (0,1,1) is ESS. When the central government provides financial subsidies to local governments to support pollution reduction and carbon reduction policies, the proportion of subsidies has an important impact on the behavior of local governments. If the proportion of central subsidies is low, local governments will reserve more funds for other local needs, which may lead to insufficient investment in pollution reduction and carbon reduction measures. However, when the subsidy ratio increases, local governments will get more funds to support emission reduction measures, which will not only enhance their financial capacity, but also enhance their motivation to implement these policies. In addition, the increase of subsidy ratio can also promote the cooperation between local governments and river basin companies, because local governments can provide more economic support to encourage river basin companies to take effective emission reduction measures. This kind of economic incentive can help basin companies to cover the R&D and implementation costs of emission reduction technologies, thus lowering the threshold of their emission reduction actions. Therefore, the higher the proportion of central subsidies, the more favorable it is for local governments to actively implement pollution reduction and carbon reduction policies.
FIGURE 5

The influence of the change in the proportion of central subsidies paid by local governments to river basin companies.
In order to verify the impact of the relevant costs that local governments need to pay when actively implementing pollution reduction and carbon reduction policies on the game system, C4 is increased from 2 to 18 at intervals of 4, and other parameters are assigned as follows: E1 = 13, E4 = 11, C1 = 12, C2 = 8, C3 = 9, C5 = 7, C6 = 5, C7 = 6, C8 = 7, δ = 0.7, β = 0.5. As can be seen from Figure 6, the critical value of input cost for encouraging local governments to actively implement pollution reduction and carbon reduction policies is between 6 and 10, and when the value is between 2 and 6, H (1,1,1) is ESS; When the value is 10–18, G (0,1,1) is ESS. If the relevant costs borne by local governments in implementing pollution reduction and carbon reduction policies are too high, the economic pressure they face may inhibit them from taking positive actions. This is because local governments will consider that the increase in costs may have a negative impact on their financial health and political stability when making decisions. However, if the central government can reduce the cost burden of local governments through fiscal transfer payments, tax incentives or other economic means, the enthusiasm of local governments to implement pollution reduction and carbon reduction policies will be enhanced. Reducing costs not only reduces the economic pressure of local governments, but also increases their marginal income from implementing environmental policies. In addition, low-cost implementation may also bring other benefits, such as raising public awareness of environmental issues, enhancing the environmental governance capacity of local governments, and promoting sustainable development. Therefore, the lower the relevant costs for local governments to actively implement pollution reduction and carbon reduction policies, the more favorable it is for local governments to actively implement pollution reduction and carbon reduction policies.
FIGURE 6

Influence of input cost changes when local governments actively implement it.
4 Research conclusion
In this paper, a tripartite game model involving the central government, local governments and river basin companies is built on the background of Yongding River basin management, and the numerical simulation analysis is carried out accordingly, and the decision evolution path, influencing factors and decision stability changes of the central government, local governments and river basin companies are studied. The results show that:
(1) The financial subsidies provided by the central government have a significant impact on the enthusiasm of local governments to implement pollution reduction and carbon reduction policies. The increase of subsidies can reduce the economic burden of local governments, provide necessary resources and incentives, and thus promote local governments to actively participate in environmental governance.
(2) As a negative incentive measure, the fine mechanism can effectively restrain the tendency of local governments to passively implement pollution reduction and carbon reduction policies by increasing the cost of negative behavior. The reinvestment of fine income can form a positive cycle and promote the development of environmental protection projects.
(3) Increasing the proportion of central subsidies paid by local governments to river basin companies will help local governments to cooperate with river basin companies, support effective emission reduction measures, and lower the implementation threshold of emission reduction technologies.
(4) The cost borne by local governments in implementing pollution reduction and carbon reduction policies has a direct impact on their enthusiasm. The central government can reduce the cost burden of local governments through economic means, which can enhance the motivation of local governments to implement environmental policies.
Watershed is the most basic and obvious feature of rivers and lakes, and its governance should follow the overall concept [22]. Therefore, the governance of Yongding River Basin is a systematic project, and its successful implementation depends on many interrelated strategies and measures. This project not only includes the saving and allocation of water resources, river regulation and restoration, water conservation and ecological construction, water environment management and protection, and the construction of water resources monitoring system, but also involves the comprehensive management and collaborative management of river basins. These measures together ensure that the demand for ecological water is met, the ecological environment of rivers is improved, and the water quality is improved. At the same time, the water conservation capacity is enhanced and the ecological security barrier in mountainous areas is constructed. The establishment of digital, informational and intelligent watershed monitoring platform has realized the online monitoring of pollution sources and emissions, and the improvement of watershed collaborative governance mechanism has promoted the reform of water rights and forest rights system. The central government plays a vital role in this project, and its financial strategy plays a core role in encouraging the enthusiasm of local governments and river basin companies. First of all, the central government can promote local governments to take more active measures to reduce pollution and carbon by increasing financial subsidies to local governments, especially in the two key areas of technological innovation and infrastructure transformation. This kind of financial support can not only help local governments to cover the research and development costs of new technologies, but also accelerate the upgrading of old facilities, thus improving the overall efficiency of environmental governance. Secondly, perfecting the fine mechanism is another key link to ensure the implementation of the policy. The amount of fines should be set high enough to ensure that negative behaviors such as illegal discharge can be effectively suppressed. At the same time, earmarking the fine income for environmental protection projects can form a positive incentive to encourage river basin companies and local governments to abide by environmental protection laws and regulations and invest in environmentally friendly projects. In addition, the central government should reasonably adjust the proportion of subsidy payment according to the actual needs of local governments and river basin companies. This measure will ensure the necessary financial support for pollution reduction and carbon reduction policies, so that these policies can be effectively implemented at the local level. Finally, the central government can reduce the direct cost of local governments to implement pollution reduction and carbon reduction policies through measures such as fiscal transfer payments and tax incentives. This can not only improve the marginal benefits of policies, but also increase the enthusiasm of the public to participate in environmental protection, thus forming a good atmosphere for reducing pollution and carbon at the social level. To sum up, the central government’s fiscal strategy should comprehensively consider incentives and constraints, support and guidance, as well as costs and benefits, and form a coordinated and mutually promoting policy system. Such a policy system can not only promote the actions of local governments and river basin companies to reduce pollution and carbon, but also provide solid financial guarantee and policy support for achieving the goals of green development and sustainable development.
Statements
Data availability statement
The original contributions presented in the study are included in the article/supplementary material, further inquiries can be directed to the corresponding author.
Author contributions
S-JW: Conceptualization, Funding acquisition, Writing – review and editing. Y-XZ: Writing – original draft, Writing – review and editing.
Funding
The author(s) declare that financial support was received for the research and/or publication of this article. This study was supported by grants from National Social Science Fund of China (23AGL029); Young and middle-aged academic leaders of Qinglan Project of Jiangsu Province of China in 2022; Xuzhou Policy Guidance Program (Soft Science Research) in 2023(KC23097); Jiangsu Normal University School-level Postgraduate Innovation Project (2024XKT1387).
Conflict of interest
The authors declare that the research was conducted in the absence of any commercial or financial relationships that could be construed as a potential conflict of interest.
Generative AI statement
The author(s) declare that no Generative AI was used in the creation of this manuscript.
Publisher’s note
All claims expressed in this article are solely those of the authors and do not necessarily represent those of their affiliated organizations, or those of the publisher, the editors and the reviewers. Any product that may be evaluated in this article, or claim that may be made by its manufacturer, is not guaranteed or endorsed by the publisher.
References
1.
BingZ. Study on ecological co-governance of yongding River Basin under the coordinated development of Beijing, Tianjin and Hebei. Tianjin, China: Tianjin University (2021).
2.
ZuoliangL.The strategic practice of comprehensive management and ecological restoration of Yongding River. China Journal of Water Conservancy (2019)(22) 16–8.
3.
YeF. Study on the synergistic effect and optimization of environmental and economic policies to reduce pollution and carbon. Journal of Xi'an Shiyou University, Natural Sciences Edition. (2023).
4.
HuangS. Air pollution and control: past, present and future. Sci Bull (2018) 63(10):895–919. 10.1360/n972017-01271
5.
JimingHHuanhuanLHaibinS. Process and prospect of air pollution prevention and control in China. World Environ (2014)(01) 58–61.
6.
ZhuJSuY. Does air pollution hinder the internationalization of enterprises. Finance and economy (2023)(09) 38–50.
7.
ZhangXChengCZhaoH. A health impact and economic loss assessment of O3andPM2.5 exposure in China from 2015 to 2020. GeoHealth, (2022) 6(3):e2021GH000531, 10.1029/2021gh000531
8.
ChenSTranDK. Smog pollution, government governance and high-quality economic development. Econ Res (2018) 53(02):20–34.
9.
DongmingWGuNLiuY. Smog control, local government behavior and high-quality development of green economy-evidence from China county. Econ Sci (2022)(04) 64–77.
10.
LiuHXiYGuoJLiX. Energy embodied in the international trade of China: anenergy input-output analysis. Energy Policy, (2010) 38(8): 3957–64. 10.1016/j.enpol.2010.03.019
11.
GrossmanGMKruegerAB. Environmental impacts of a North American free trade agreement. National Bureau of Economic Research (1991).
12.
WangHDongHLuoT. Correlation analysis between industrial carbon emissions and economic growth in Anhui Province-based on EKC model and Tapio model. Journal of Xi'an University (Natural Science Edition) (2024) 27(01):68–75.
13.
Holtz-EakinDSeldenTM. Stoking the fires? CO2 emissions and economic growth. J Public Econ (1995) 57(1):85–101. 10.1016/0047-2727(94)01449-x
14.
SongTZhengTTongL. Relationship between environmental pollution and economic growth based on Weibull function and Gamma function. Geographical Res (2007) 26(3):569–76.
15.
GuozhiLZongzhiL. EKC test of the relationship between carbon dioxide emissions and economic growth-a comparison of eastern, central and western regions of China. Sankei Rev (2011)(06) 139–51.
16.
ZhangQZhuHWangY. Study on the decoupling relationship between agricultural carbon emissions and economic growth in Hangzhou and its driving factors. People's Pearl River (2024) 45(01):34–41+62.
17.
LanYWanliZYangL. Synergistic governance mechanism innovation of air pollution and climate change. Scientific Res Manag (2020) 41(10):134–44.
18.
LanYYangTXingD. Study on the coordinated path of pollution reduction and carbon reduction: typical country-driven mechanism and its enlightenment to China. china Popul Resour Environ (2022) 32(09):53–65.
19.
YaoRZhengS. Interembedded collaboration: innovation and mechanism analysis of cross-regional government-enterprise collaborative governance model. Acad Res (2023)(11) 70–5.
20.
MaYQinWYaoW. Evolution mechanism and promotion path of coordinated governance of pollution reduction and carbon reduction between government and enterprises under the goal of “double carbon”. J China Shiyou Univ (Social Sci Edition) (2023) 39(06):23–31.
21.
YaoRZhengS. Interembedded collaboration: innovation and mechanism analysis of cross-regional government-enterprise collaborative governance model. Acad Res (2023)(11) 70–5.
22.
WuF. Vivid practice and experience of ecological recovery in Yongding River. Environ Ecol (2024) 6(01):145–50.
Summary
Keywords
reduce pollution and carbon, trilateral evolutionary game, cooperative emission reduction, Yongding river regulation, collaborative governance between government and enterprises
Citation
Wang S-J and Zhang Y-X (2025) Research on the participants’ strategy of pollution reduction and carbon reduction from the perspective of tripartite game. Front. Phys. 13:1547686. doi: 10.3389/fphy.2025.1547686
Received
18 December 2024
Accepted
23 May 2025
Published
30 June 2025
Volume
13 - 2025
Edited by
Dun Han, Jiangsu University, China
Reviewed by
Min Xu, Chinese Academy of Fishery Sciences, China
Jinshui Liang, Dalian Ocean University, China
Updates
Copyright
© 2025 Wang and Zhang.
This is an open-access article distributed under the terms of the Creative Commons Attribution License (CC BY). The use, distribution or reproduction in other forums is permitted, provided the original author(s) and the copyright owner(s) are credited and that the original publication in this journal is cited, in accordance with accepted academic practice. No use, distribution or reproduction is permitted which does not comply with these terms.
*Correspondence: Zhang Yu-Xin, 1120239034@qq.com
Disclaimer
All claims expressed in this article are solely those of the authors and do not necessarily represent those of their affiliated organizations, or those of the publisher, the editors and the reviewers. Any product that may be evaluated in this article or claim that may be made by its manufacturer is not guaranteed or endorsed by the publisher.