ORIGINAL RESEARCH article
Front. Mater.
Sec. Environmental Degradation of Materials
This article is part of the Research TopicAdvancements in Creep-Resistant Alloys for High-Performance ApplicationsView all 5 articles
Pre-qualification of additively manufactured 316L stainless steel using Small Punch and Uniaxial Creep testing
Provisionally accepted- 1European Commission, Joint Research Centre, Petten, The Netherlands, Petten, Netherlands
- 2Belgian Nuclear Research Centre (SCK CEN), Mol, Belgium
Select one of your emails
You have multiple emails registered with Frontiers:
Notify me on publication
Please enter your email address:
If you already have an account, please login
You don't have a Frontiers account ? You can register here
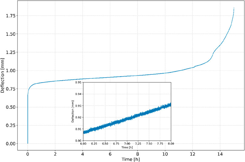
Additive manufacturing represents a cutting-edge technology that offers significant reductions in both manufacturing time and cost. However, any new technology or material need to go through a qualification process, before they can be used in the nuclear industry. This paper reports on a prequalification process of 316L stainless steel, manufactured using Laser Powder Bed Fusion (LPBF) additive manufacturing process. The study compares LPBF 316L, aged and non-aged materials from two different manufacturers. A Small Punch Creep test campaign at 650oC was performed at different loads. These tests are particularly advantageous because they require only a small amount of material, making them ideal when material availability is limited. Additionally, standard Uniaxial Creep tests were performed at the same temperature for comparative reference. A good correlation for the time to rupture – equivalent stress between the two test types was observed, with the equivalent stress calculated using the Small Punch Test EN 10371:2021 standard. A significant finding is that the Small Punch Creep deflection rate curves for LPBF-manufactured 316L exhibit multiple minima, unlike single minimum observed in forged 316L. This is believed to result from micro-cracking and has important implications for determining the equivalent stress creep properties, which are based on a single minimum value in the EN 10371:2021 standard. The multiple minima feature suggests that the approach to determine equivalent stress and strain rate of Small Punch Creep tests in the EN 10371:2021 standard needs to be re-evaluated to accommodate this complexity.
Keywords: Additive manufacturing, 316L stainless steel, Small punch, Uniaxial Creep testing, Laser powder bed fusion, LPBF, Small punch creep, Uniaxial creep
Received: 10 Apr 2025; Accepted: 15 Sep 2025.
Copyright: © 2025 Simonovski, Nilsson, Holmström, Kus and García-Junceda. This is an open-access article distributed under the terms of the Creative Commons Attribution License (CC BY). The use, distribution or reproduction in other forums is permitted, provided the original author(s) or licensor are credited and that the original publication in this journal is cited, in accordance with accepted academic practice. No use, distribution or reproduction is permitted which does not comply with these terms.
* Correspondence: Igor Simonovski, igor.simonovski@ec.europa.eu
Disclaimer: All claims expressed in this article are solely those of the authors and do not necessarily represent those of their affiliated organizations, or those of the publisher, the editors and the reviewers. Any product that may be evaluated in this article or claim that may be made by its manufacturer is not guaranteed or endorsed by the publisher.
