ORIGINAL RESEARCH article
Front. Mater.
Sec. Polymeric and Composite Materials
Research on the coupling effect of film thickness and UV aging cycle on the rheological properties and microstructure evolution law of asphalt
Provisionally accepted- 1Changsha University of Science and Technology, Changsha, China
- 2Inner Mongolia Autonomous Region Transportation Science Development Research Institute, Hohhot, China
- 3Ulanqab Transportation Resources Development Group Co., Ltd, Ulanqab, China
Select one of your emails
You have multiple emails registered with Frontiers:
Notify me on publication
Please enter your email address:
If you already have an account, please login
You don't have a Frontiers account ? You can register here
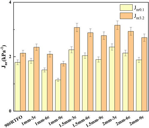
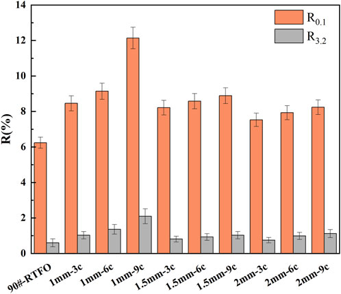
In high-altitude regions, intense ultraviolet (UV) radiation significantly accelerates the aging of road asphalt. However, there is currently a lack of corresponding UV aging standard tests. This study addresses this issue by designing a programmable, adjustable-intensity indoor UV aging test to more accurately simulate the strong UV environment found at high altitudes. This study examines the effects of varying UV aging cycles and asphalt film thicknesses on the rheological properties and micro-aging mechanisms of 90# asphalt. Employing tests such as the dynamic shear rheometer, multi-stress creep recovery, and linear amplitude sweep, the study quantifies the impact of UV aging on asphalt's high-temperature stability, deformation recovery capacity, and fatigue life. In conjunction with analyses via Fourier Transform Infrared Spectroscopy (FTIR), Scanning Electron Microscopy (SEM), and Atomic Force Microscopy (AFM), this research elucidates the evolution of chemical functional groups under UV irradiation, characterizes micro-crack propagation through five distinct stages, and reveals the underlying mechanisms governing changes in 'bee structures.' The findings indicate that UV aging significantly increases the asphalt's high-temperature rutting factor by up to 303% for a 1 mm film after 9 cycles, and decreases its unrecoverable creep compliance by as much as 35.9%. This hardening, however, ultimately impairs its fatigue performance, with fatigue life reduced by up to 25.0%. The thickness of the asphalt film is identified as a crucial factor influencing the depth of aging, with thinner layers undergoing more severe aging. On a microstructural level, FTIR analysis confirmed an increase in carbonyl (IC=O) and sulfoxide (IS=O) functional group indices and a decrease in the aromatic compounds (IAr) index. Concurrently, surface damage progressed from micro-wrinkling to macro-cracking, and the average area of 'bee structures' in the most severely aged sample (1 mm-9C) increased by 248% compared to the unaged asphalt. This research provides key theoretical insights and quantitative data support for material selection, durability design, and lifespan prediction of asphalt pavements in areas with intense UV radiation, offering a conceptual framework for developing standardized asphalt aging tests.
Keywords: Ultraviolet aging, Asphalt aging, asphalt, Rheological properties, Microscopic mechanism
Received: 14 Aug 2025; Accepted: 03 Nov 2025.
Copyright: © 2025 Li, Wei, Hou, Xing and Wang. This is an open-access article distributed under the terms of the Creative Commons Attribution License (CC BY). The use, distribution or reproduction in other forums is permitted, provided the original author(s) or licensor are credited and that the original publication in this journal is cited, in accordance with accepted academic practice. No use, distribution or reproduction is permitted which does not comply with these terms.
* Correspondence: Zhe Li, nmgjttlz@163.com
Disclaimer: All claims expressed in this article are solely those of the authors and do not necessarily represent those of their affiliated organizations, or those of the publisher, the editors and the reviewers. Any product that may be evaluated in this article or claim that may be made by its manufacturer is not guaranteed or endorsed by the publisher.
