ORIGINAL RESEARCH article
Front. Mater.
Sec. Structural Materials
This article is part of the Research TopicSustainable and Green Materials in Geotechnical EngineeringView all 15 articles
Microstructure and mechanical behavior of lithium slag-quartz sand cemented backfill: influence of particle gradation and content
Provisionally accepted- Jiangxi University of Science and Technology, Ganzhou, China
Select one of your emails
You have multiple emails registered with Frontiers:
Notify me on publication
Please enter your email address:
If you already have an account, please login
You don't have a Frontiers account ? You can register here
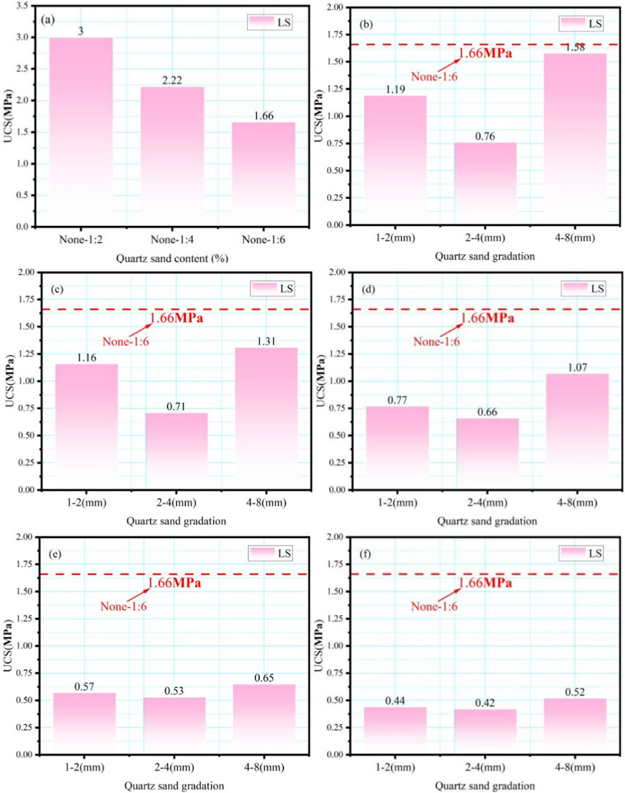
The recycling of industrial solid waste, such as lithium slag (LS) and quartz sand (QS), in cemented backfill materials offers a sustainable solution for mining and environmental remediation. This study explores the mechanical properties and microstructure of lithium slag–quartz sand cemented backfill (LQCB) under varying mix proportions. Uniaxial compressive strength (UCS) tests, stress–strain analysis, and scanning electron microscopy (SEM) were conducted to assess the effects of QS content (10–50%), particle size (1–8 mm), and cement-to-liquid ratio (C/Ls = 1:2, 1:4, 1:6). Results show that optimal strength and compactness were achieved with 30% QS at 1–2 mm size and C/Ls of 1:2, yielding a UCS of 0.77 MPa and minimal crack width (15 µm). Higher QS content (≥50%) or coarser particles increased porosity and weakened the interfacial transition zone, reducing UCS by up to 63%. However, a sand size of 4–8 mm at 30% content yielded a maximum UCS of 1.07 MPa. SEM analysis confirmed that evenly distributed hydration products (C-S-H, AFt) improve microstructural integrity, while excess QS results in wider cracks (up to 94.7 µm) and strength loss. The findings provide valuable guidance for optimizing LQCB mixtures to enhance performance while promoting solid waste reuse.
Keywords: Lithium slag, Quartz sand, Lithium slag-quartz sand cemented backfill, Mechanical Properties, microstructure, Interfacial transition zone
Received: 14 Sep 2025; Accepted: 17 Nov 2025.
Copyright: © 2025 Liu, Wang, Xu and Zhu. This is an open-access article distributed under the terms of the Creative Commons Attribution License (CC BY). The use, distribution or reproduction in other forums is permitted, provided the original author(s) or licensor are credited and that the original publication in this journal is cited, in accordance with accepted academic practice. No use, distribution or reproduction is permitted which does not comply with these terms.
* Correspondence: Lei Wang, wangleilei@jxust.edu.cn
Disclaimer: All claims expressed in this article are solely those of the authors and do not necessarily represent those of their affiliated organizations, or those of the publisher, the editors and the reviewers. Any product that may be evaluated in this article or claim that may be made by its manufacturer is not guaranteed or endorsed by the publisher.
