ORIGINAL RESEARCH article
Front. Mater.
Sec. Energy Materials
This article is part of the Research TopicEmerging Materials and Technologies for Carbon Capture, Utilisation and Storage (CCUS)View all articles
Influence of Slurry Mass Concentration on the Mineralization Capacity and Mechanical Properties of Coal-based Solid Wastes
Provisionally accepted- 1China National Coal Group Corp, Beijing, China
- 2China Coal Energy Research Institute Co Ltd, Xi'An, China
- 3Xi'an University of Science and Technology, Xi'an, China
Select one of your emails
You have multiple emails registered with Frontiers:
Notify me on publication
Please enter your email address:
If you already have an account, please login
You don't have a Frontiers account ? You can register here
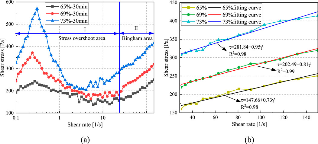
The CO2-mineralized coal-based solid waste backfilling is an effective method for solid waste treatment and carbon sequestration. Both the carbon sequestration capacity, rheological properties and unconfined compressive strength (UCS) of the CO2-mineralized coal-based solid waste backfill material (CO2-CBM) are key evaluation indicators for its application and promotion. To optimize the engineering performance of CO2-CBM, the influence mechanism of slurry mass concentration (65%-73%) on its carbon sequestration capacity, rheological properties and UCS was systematically studied. Study results show that the carbon sequestration rate of CO2-CBM decreases with the increase of slurry mass concentration. Over a period of time, the carbon sequestration amount also decreases with the increase of slurry mass concentration, reaching 82.4 g/kg at the mass concentration of 65%. Both the extension of the standing time and the increase in mass concentration significantly rise the flow resistance of CO2-CBM. When the mass concentration is 73% and the standing time is 30 min, the yield stress and plastic viscosity of CO2-CBM reach 281.84 Pa and 0.95 Pa·s. The results of microscopic analysis show that due to the higher concentration of C-S-H in the slurry, CO2-CBM exhibits a denser structure and lower porosity. Consequently, as the slurry mass concentration increases, the UCS of the CO2-CBM is significantly improved, and the UCS reaches 3.30 MPa at the slurry mass concentration of 73% after a standing time of 28 d. This research provides a basis for optimizing key parameters for the co-processing of solid waste and CO2 in coal mine goaf.
Keywords: Coal-based solid waste, Mass concentration, Carbon sequestration performance, Rheological properties, Uniaxial compressive strength
Received: 22 Sep 2025; Accepted: 27 Oct 2025.
Copyright: © 2025 Jin, Wu, Liu, Pan and Shong. This is an open-access article distributed under the terms of the Creative Commons Attribution License (CC BY). The use, distribution or reproduction in other forums is permitted, provided the original author(s) or licensor are credited and that the original publication in this journal is cited, in accordance with accepted academic practice. No use, distribution or reproduction is permitted which does not comply with these terms.
* Correspondence: Xiaoru Wu, duangang@cumt.edu.cn
Disclaimer: All claims expressed in this article are solely those of the authors and do not necessarily represent those of their affiliated organizations, or those of the publisher, the editors and the reviewers. Any product that may be evaluated in this article or claim that may be made by its manufacturer is not guaranteed or endorsed by the publisher.
