ORIGINAL RESEARCH article
Front. Mater.
Sec. Structural Materials
Microstructural Engineering of High-Content Rubber Asphalt via Precision Devulcanization for Enhanced Performance
Provisionally accepted- 1General Section of Haixi Highway Qinghai Province, Qinghai, China
- 2Southwest Jiaotong University, Chengdu, China
- 3Qinghai Provincial Department of Transportation, Xining, China
Select one of your emails
You have multiple emails registered with Frontiers:
Notify me on publication
Please enter your email address:
If you already have an account, please login
You don't have a Frontiers account ? You can register here
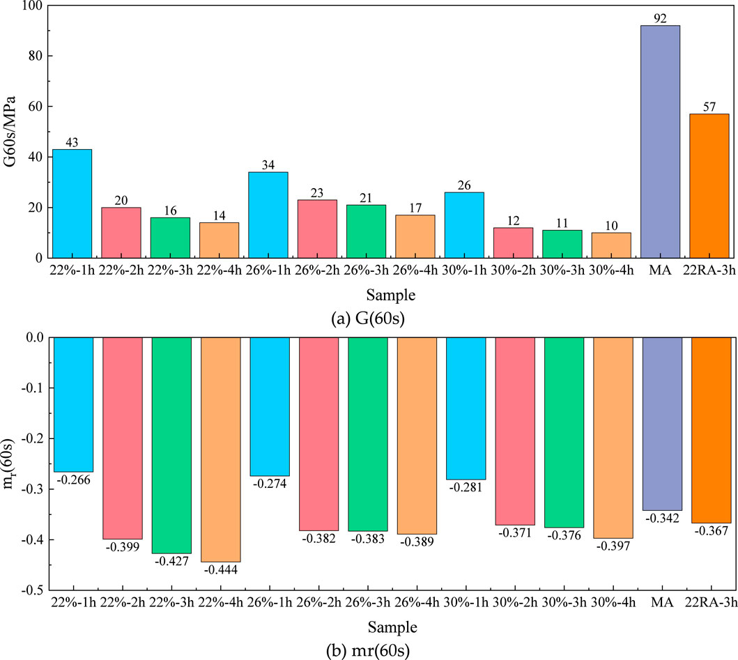
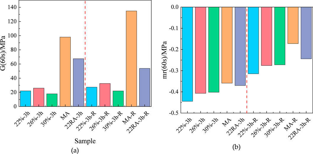
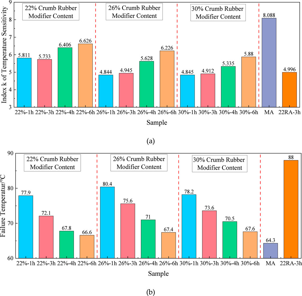
The practical deployment of high-content rubberized asphalt is often hindered by its compromised workability and unstable performance. Moving beyond conventional devulcanization approaches, this study introduces an integrated strategy of interface-controlled devulcanization and microstructural tailoring to address these challenges. A bespoke devulcanizing agent (RubberSynth-AP) was synthesized to promote selective scission of sulfur-based crosslinks and improve interfacial adhesion. Coupled with an optimized production process, this method allows the stable integration of crumb rubber at concentrations up to 30% by binder weight. Through multi-scale rheological analyses— encompassing temperature sweeps, multiple stress creep recovery (MSCR), and linear amplitude sweep (LAS) tests—an optimum rubber content of 26% was identified, exhibiting a superior combination of properties: a failure temperature of 76.5 ℃, 40% lower viscosity, 53.12% recovery rate, and enhanced fatigue resistance. Mechanistic analysis uncovered a microstructural evolution from a heterogeneous, stress-concentrating system to a homogeneous, elastic-network-dominated morphology. This structural improvement also supports the adoption of a dense-graded AC-13 mixture design, overcoming the traditional reliance on gap-graded skeletons, and achieving a remarkable dynamic stability of 3850 cycles/mm. Economically and environmentally, this technique promotes the consumption of 18 tons of waste rubber per lane-kilometer with a cost reduction of approximately ¥17,000. Collectively, this study demonstrates that the interface-controlled devulcanization strategy enables the production of high-content rubberized asphalt (up to 30%) with superior and balanced rheological properties, overcoming the longstanding workability-performance trade-off. The findings provide a scientifically-grounded and economically viable solution for developing sustainable pavement materials.
Keywords: devulcanized rubber asphalt, controlled devulcanization, Interfacial compatibility, Multi-scale characterization, sustainable pavement materials
Received: 28 Sep 2025; Accepted: 13 Nov 2025.
Copyright: © 2025 Yang, Li, Guo, Pu, Li, Xu, Wu, Jiang, Li, Mao, Zhong and A. This is an open-access article distributed under the terms of the Creative Commons Attribution License (CC BY). The use, distribution or reproduction in other forums is permitted, provided the original author(s) or licensor are credited and that the original publication in this journal is cited, in accordance with accepted academic practice. No use, distribution or reproduction is permitted which does not comply with these terms.
* Correspondence: Chaozhe Jiang, lyktougao00@163.com
Disclaimer: All claims expressed in this article are solely those of the authors and do not necessarily represent those of their affiliated organizations, or those of the publisher, the editors and the reviewers. Any product that may be evaluated in this article or claim that may be made by its manufacturer is not guaranteed or endorsed by the publisher.
