ORIGINAL RESEARCH article
Front. Nutr.
Sec. Nutrition and Food Science Technology
This article is part of the Research TopicNutritional Quality of Postharvest Fruits and VegetablesView all articles
Ozone treatment improved the extractability, bioaccessibility, and hypoglycemic potential of fresh-cut pitaya polyphenols
Provisionally accepted- college of food and health, Jinzhou Medical University, Jinzhou, China
Select one of your emails
You have multiple emails registered with Frontiers:
Notify me on publication
Please enter your email address:
If you already have an account, please login
You don't have a Frontiers account ? You can register here
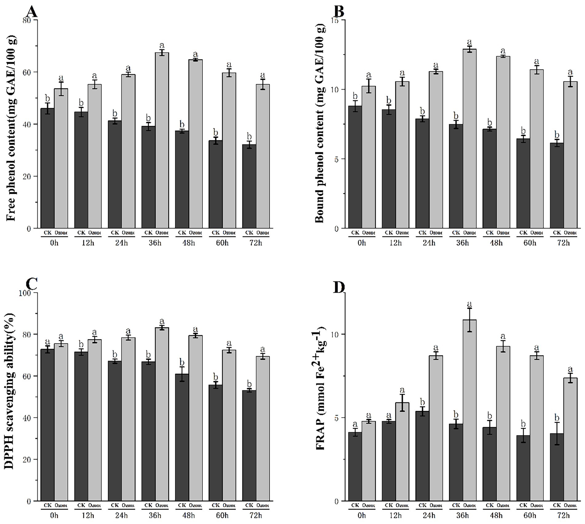
Fresh-cut fruits suffer from quality deterioration and low bioaccessibility of bound polyphenols, which limit their health benefits. This study used ozone treatment (10 µL/L for 60 min) to enhance the functional properties of fresh-cut pitaya. This treatment significantly (p < 0.05) disrupted the cell wall microstructure, increasing the extractability of free and bound phenols by 16.7% and 4.9%, respectively. This structural modification enhanced polyphenol bioaccessibility by 8% after in vitro digestion. Furthermore, the ozone-treated samples exhibited stronger inhibition of α-amylase and α-glucosidase, and in silico analyses suggested that the released polyphenols (e.g., naringin and ferulic acid) could modulate glucose metabolism via the PI3K-AKT pathway. The main advantage of this study is the direct linkage of ozone-induced microstructural changes to improved physiological functionality, positioning mild ozone treatment as a highly promising non-thermal technology that can produce health-enhanced fresh-cut fruits for the functional food market.
Keywords: Fresh-cut pitaya, Ozone, phenolic compounds, bioaccessibility, α-glucosidase, α-amylase
Received: 17 Sep 2025; Accepted: 11 Nov 2025.
Copyright: © 2025 Li, Hu, Fang, Du and Ding. This is an open-access article distributed under the terms of the Creative Commons Attribution License (CC BY). The use, distribution or reproduction in other forums is permitted, provided the original author(s) or licensor are credited and that the original publication in this journal is cited, in accordance with accepted academic practice. No use, distribution or reproduction is permitted which does not comply with these terms.
* Correspondence: Chen Li, lichen940329@163.com
Disclaimer: All claims expressed in this article are solely those of the authors and do not necessarily represent those of their affiliated organizations, or those of the publisher, the editors and the reviewers. Any product that may be evaluated in this article or claim that may be made by its manufacturer is not guaranteed or endorsed by the publisher.
