Abstract
Adding the terms quadratic in the curvature to the Einstein-Hilbert action renders gravity renormalizable. This property is preserved in the presence of the most general renormalizable couplings with (and of) a generic quantum field theory (QFT). The price to pay is a massive ghost, which is due to the higher derivatives that the terms quadratic in the curvature imply. In this paper, the quadratic gravity scenario is reviewed including the recent progress on the related stability problem of higher derivative theories. The renormalization of the theory is also reviewed and the final form of the full renormalization group equations in the presence of a generic renormalizable QFT is presented. The theory can be extrapolated up to infinite energy through the renormalization group if all matter couplings flow to a fixed point (either trivial or interacting). Moreover, besides reviewing the above-mentioned topics, are some further insight on the ghost issue and the infinite energy extrapolation are provided. There is hope that in the future, this scenario might provide a phenomenologically viable and UV complete relativistic field theory of all interactions.
1. Introduction and summary
Relativistic field theories are the commonly accepted framework to describe particle physics and gravity, at least at currently accessible energies. An important question is whether such a framework could hold up to infinite energies and still agree with the experimental data. There are two serious difficulties that one has to overcome in order to give a positive answer to such a challenging question: the non-renormalizability of Einstein gravity [1, 2] and the presence of Landau poles in the Standard Model (SM).
Even if one does not quantize the gravitational field, it is known that quantum corrections due to any relativistic QFT generate terms that are not present in the Einstein-Hilbert action: specifically, local terms quadratic in the curvature tensor and with coefficients of dimension of non-negative powers of energy are generated [3], even if one sets them to zero at the classical level. Therefore, it is not possible to avoid them in a relativistic field theory. The resulting theory is commonly known as quadratic gravity1 (QG). Starobinsky [4] exploited these unavoidable terms and noted that a non-singular solution that is initially in the de Sitter space can be obtained by taking them into account. This resulted in a pioneering model of inflation, one of the models favored by the Planck collaboration [5].
What happens if the quantum dynamics of the gravitational field is taken into account in QG? Weinberg [6] and Deser [7] suggested that QG is renormalizable (all physical quantities can be made finite by redefining the parameters and re-normalizing the fields) and few years later Stelle proved it rigorously [8].
The presence of these local quadratic terms implies that classical QG belongs to the class of higher derivative theories analyzed a long time ago by Ostrogradsky [9], who proved that their Hamiltonian is unbounded from below. In QG, this manifests in the presence of a massive ghost, which is the price to pay to have a relativistic field theory of quantum gravity2. The importance of the quantum gravity problem has, however, encouraged several physicists to investigate whether QG can make sense and some recent progress in the ghost problem has been made. Most of the work done so far addressed the ghost problem within finite dimensional quantum mechanical models, and therefore, the case of a relativistic field theory (and in particular of QG) remains an important target for future research.
Another potential issue of QG is the clash between stability (understood as the absence of tachyons) and the absence of Landau poles [12, 13]: whenever the parameters were chosen to ensure stability, perturbation theory featured a Landau pole. Specifically, this Landau pole affected the parameter f0 appearing in the Lagrangian as , where g is the determinant of the spacetime metric gμν and R is the Ricci scalar. Some progress has also been made in regards to this problem. In Salvio and Strumia [14], it was shown that QG coupled to a renormalizable QFT can hold up to infinite energies provided that all the couplings flow to a UV fixed point and the gravitational sector flows to conformal gravity (a version of gravity that is invariant under Weyl transformations, , where σ is a generic function of the spacetime point x.). The requirement that the QFT part enjoys a UV fixed point indicates the presence of several particles beyond the SM, which could be searched for with current and/or future particle experiments and could account for the strong evidence of new physics that we undoubtedly already have (such as neutrino oscillations and dark matter).
The aim of this work is to review what is known so far about QG (taking into account the coupling to a general renormalizable QFT). Other monographs and books on QG are present in the literature (see e.g., [15, 16], which focused on the renormalization of the theory). This review also includes the recent progress on the two problems mentioned above (the ghost and the Landau poles) and provides further insight on these issues. The article is structured as follows:
In section 2, the action of QG coupled to a generic renormalizable QFT is discussed and the known physical degrees of freedom are identified with a new physically transparent method.
Section 3 discusses the renormalizability of the theory; given that detailed proofs are present in the literature and, as mentioned above, books and reviews on this subject already exist, we recall and elucidate a known intuitive argument in favor of renormalizability by providing more details than those currently available. In section 3, we also collect from the existing literature the full renormalization group equations (RGEs) for the dimensionless and dimensionful parameters of QG coupled to the most general renormalizable QFT.
Section 4 is devoted to a pedagogical and detailed discussion of the ghost problem and the recent progress that has been made on this subject; most of the discussion, however, will be limited to simple finite dimensional quantum mechanical models and the extension to the full QG case remains an important target for future research.
Section 5 reviews the issue of the Landau poles and how QG can flow to conformal gravity even in the presence of a generic QFT sector.
2. The theory (including a general matter sector)
In this review, we do not consider only pure gravity but also its couplings to a general renormalizable matter sector.
2.1. Jordan-frame Lagrangian
The full action in the so-called Jordan frame is,
We describe in turn the three pieces—the pure gravitational Lagrangian, gravity; the matter Lagrangian, matter; the non-minimal couplings, non−minimal.
The pure gravitational lagrangian
gravity in quadratic gravity is obtained from the Einstein-Hilbert action by adding all possible local terms quadratic in the curvature, whose coefficients have the dimensionality of non-negative powers of energy:
where Rμνρσ, Rμν, and R are the Riemann tensor, Ricci tensor, and Ricci scalar, respectively3, and the Greek indices are raised and lowered with gμν. Furthermore, α, β, and γ are generic real coefficients. If the theory lives on a spacetime with boundaries, then one should also introduce in gravity a term proportional to □R, where □ is the covariant d'Alembertian, in order to preserve renormalizability [17–19]; in the applications described in this review such a term will not play any role and, therefore, will be neglected. Finally, and Λ are the reduced Planck mass and the cosmological constant, respectively.
One combination of the terms in (2.2) is a total (covariant) derivative, the topological Gauss-Bonnet term:
where ϵμνρσ is the antisymmetric Levi-Civita tensor and “divs” represents the covariant divergence of some current. This total derivative does not contribute to the field equations and can be often ignored. It is therefore convenient to write (2.2) as,
Furthermore, for reasons that will become apparent when the degrees of freedom will be identified in section 2.3, it is also convenient to express in terms of , where Wμνρσ is the Weyl tensor.
One has
which, together with the definition of G in (2.3), gives
By inserting this expression of in (2.4), one finds,

where
We have introduced the squares and because the absence of tachyonic instabilities requires and , as we will see in Sections 2.2, 2.3, and, in a more general context, in section 5.
The matter Lagrangian
The general matter content of a renormalizable theory includes real scalars ϕa, Weyl fermions ψj, and vectors (with field strength ) and its Lagrangian is,
where
where all the terms are contracted in a gauge-invariant way. The covariant derivatives are4:
The gauge couplings are contained in the matrices θA and tA, which are the generators of the gauge group in the scalar and fermion representation, respectively, whereas and λabcd are the Yukawa and quartic couplings, respectively. We have also added general renormalizable mass terms and cubic scalar interactions. Of course, for specific assignments of the gauge and global symmetries, some of these parameters can vanish, but here we use a general expression.
The non-minimal couplings
non−minimal represents the non-minimal couplings between the scalar fields ϕa and R:
where all terms are contracted in a gauge-invariant way. Non-minimal couplings are required by renormalizability, and if they are omitted at the classical level, quantum corrections generate them (as we will see in section 3.2.1).
2.2. Einstein frame Lagrangian
The action in the Jordan frame is most suited to address the quantum aspects and to make contact with particle physics. However, when it comes to cosmological applications it is often better to express the gravitational part of the theory in a form closer to Einstein gravity [20, 21]. This will also help us in identifying the degrees of freedom in section 2.3. We now review how to obtain such a form of the theory and, in doing so, we shall neglect quantum corrections, which are anyway best studied in the Jordan frame.
The non-standard R2 term can be removed by adding to the Lagrangian the term
where χ is an auxiliary field. This Lagrangian vanishes once the χ EOM are used and we are therefore free to add it to the total Lagrangian. However, this has the effect of modifying the non-minimal couplings. The term linear in R in the Lagrangian now reads as:
In order to get rid of this remaining non-standard term, we perform a Weyl transformation:
Now the Lagrangian can still be written as in (2.1), but with
where we defined5 and
In gravity, we have not explicitly written the total derivatives as they typically do not play an important role in cosmology. These total derivatives emerge when the Weyl transformation is applied to the two terms proportional to ϵ in (2.8).
The advantage of this form of the Lagrangian, known as the Einstein frame, is the absence of the non-minimal couplings and the R2 term. The latter has effectively been traded with the new scalar ζ, which appears non-polynomially. The scalar kinetic terms are non-canonical and cannot be put in the canonical form with further field redefinitions given that the scalar field metric is not flat. Moreover, the Einstein frame potential U differs considerably from the Jordan-frame one, V + Λ. This result is a particular case of a more general theorem involving the generic functions f(R) of the Ricci scalar (for a review on f(R) theories see e.g., [22] and references therein). Also, note that the W2 term is present in the Einstein frame.
It is instructive to write the potential for ζ when the other fields ϕa are not present or are at the minimum of the potential and are not allowed to fluctuate (for example, because they have very large masses). In this case, one can make the kinetic term of ζ canonical through the field redefinition . The new field ω feels a potential,
where we have neglected (ϕ) and ξabϕaϕb as they can be absorbed in Λ and , when the scalar fields ϕa are absent or they are fixed to constant values. This is the potential of the famous Starobinsky's inflationary model [4]. There is a stationary point of U for
whenever the right-hand side of the above equation is positive. For positive cosmological constant, Λ > 0, such a stationary point always exists for when it is a point of minimum, but for either the stationary point does not exist or it is a point of maximum, not minimum. This situation is illustrated in Figure 1 and it is a special case of a more general result (valid when the other scalars ϕa can fluctuate freely), which proves that a minimum of the potential exists only for and will be presented in section 5.
Figure 1
2.3. The degrees of freedom of quadratic gravity
In section 2.2 we have seen that the R2 term is equivalent to a real scalar ζ. We now complete the determination of the degrees of freedom of QG. We do so by working in the Einstein frame, where the gravity Lagrangian is the same as that in (2.16). The degrees of freedom associated with the matter Lagrangian can be identified with standard field theory methods and, therefore, we do not discuss them explicitly here.
The total derivatives (“divs”) in (2.16) do not modify the degrees of freedom and for this reason will be neglected. Therefore, we focus on the following two terms in the gravity action:
where SW is the part due to the unusual Weyl-squared term,
and SEH is the usual Einstein-Hilbert part,
We will use a 3 + 1 formalism (where space and time are treated separately). We do so because the identification of the degrees of freedom is particularly simple within that formalism.
In this section, however, we will expand the metric around the flat spacetime, as that is sufficient to determine the degrees of freedom perturbatively6. By choosing the Newtonian gauge, the metric describing the small linear fluctuations around the flat spacetime can be written as,
By definition, the vector Vi (not to be confused with the spatial components of the gauge fields ) and the tensor hij perturbations satisfy the following conditions:
The Newtonian gauge is often used to study the small linear fluctuations around the Friedmann-Robertson-Walker (FRW) cosmological metric (see e.g., [25] for a textbook treatment). Instead, here we study the fluctuations around the flat spacetime for simplicity. Also, sometimes the Newtonian gauge is defined for the scalar perturbations Φ and Ψ only (see e.g., [25]). Here we consider a generalization, which also includes the non-scalar perturbations7. In Table 1, we provide the degrees of freedom of the gravitational sector (the part of the spectrum due to gravity). This includes the scalar ζ found in section 2.2 and the ordinary graviton and a massive spin-2 ghost graviton, which will be identified in the following sections (2.3.1, 2.3.2, and 2.3.3).
Table 1
| Field | Spin | Mass |
|---|---|---|
| Graviton | 2 | 0 |
| Ghost | 2 | |
| Scalar ζ | 0 |
Degrees of freedom in the gravitational sector.
The scalar ζ is due to the R2 term in the Lagrangian; the dots in its mass M0 represent the possible contribution of other scalars mixing with ζ (if any), which can be present in specific models.
2.3.1. Helicity-2 sector
We start with the helicity-2 sector, whose quadratic action is denoted as S(2). Both SEH and SW contribute to this action. The helicity-2 quadratic action from SEH and SW are, respectively,
where a dot denotes a derivative w.r.t. to time t, and is the three-dimensional Laplacian. Therefore,
where .
One can go to momentum space with a spatial Fourier transform,
where are the usual polarization tensors for helicities λ = ±2. We recall that for , along the third axis, the polarization tensors satisfying (2.25) are given by,
and for a generic momentum direction we can obtain by applying to (2.29) the rotation that connects the third axis with . The polarization tensors defined in this way also obey the orthonormality condition,
By using the Fourier expansion in (2.28), one obtains
where
The action S(2) is the sum of the actions of Pais-Uhlenbeck oscillators, which will be studied in section 4.1.2. There we will see that this system is equivalent to a ghost d.o.f. with frequency ω1 and a normal d.o.f. with frequency ω2. Therefore, the conclusion is that the helicity-2 sector features a massless field (the ordinary graviton) and a ghost field8 with mass . Therefore, as anticipated before, we see that is required to avoid tachyonic instabilities. Lorentz invariance implies that the helicity-1 and helicity-0 components of the massive ghost should be present too. We will see how they emerge in the following sections 2.3.2 and 2.3.3. The derivation of the ghost field presented here simplifies and agrees with previous proofs based on the hμν propagator [8, 27].
2.3.2. Helicity-1 sector
Next, we move to the helicity-1 sector, whose quadratic action is denoted here by S(1). S(1) is given by the sum of the Einstein-Hilbert contribution,
and the Weyl contribution,
Therefore, the full quadratic action in the helicity-1 sector is,
Given that is a negatively-defined operator, we see that Vi has a ghost kinetic term and a mass M2 and has, therefore, to be identified with the helicity-1 components of the massive spin-2 ghost.
2.3.3. Helicity-0 sector
We denote the helicity-0 action by S(0), which has one contribution from the Weyl-squared term and one from the Einstein-Hilbert term, . Expanding around the flat spacetime leads to the following helicity-0 action (modulo total derivatives)
The variation of S(0) with respect to Φ gives
We see that this equation does not depend on the time derivative of the fields and, therefore, has to be considered as a constraint. Solving for Φ:
In the expression above, denotes the inverse Laplacian, which can be defined by going to momentum space, , and identifying . Inserting (2.39) into Equations (2.36) and (2.37) we get,
We see that the kinetic term of Ψ is of the ghost type and its mass is M2. Therefore, Ψ represents the helicity-0 component of the ghost spin-2 field.
3. Renormalization
One of the main motivations for considering QG is its improved quantum behavior with respect to Einstein theory. Therefore, it seems appropriate to discuss the renormalization properties right after the definition of the theory.
3.1. Renormalizability
The renormalizability of QG is suggested by simple power counting arguments, general covariance, and dimensional analysis. It is therefore not surprising that some authors [6, 7] noted this property several decades ago. There are also formal proofs [8, 28] of the renormalizability of QG, but we do not reproduce them here because they are described in detail in the original articles9.
It is illuminating, however, to recall the main ingredients of the intuitive arguments in favor of renormalizability. Let us consider the expansion of QG around the flat spacetime, gμν = ημν + hμν, and a generic loop correction in momentum space. The vertices involving hμν contain at most 4 powers of the momenta p, whereas the hμν-propagator behaves as 1/p4 for large momenta if an appropriate quantization is used [8] (see below). Therefore, in this case, the superficial degree of divergence should be four or less (see, for example, Chapter 12 of [29]). This conclusion holds good both in the pure QG and in the presence of the most general renormalizable QFT.
It is instructive to illustrate the quantization that leads to a propagator that behaves as 1/p4 for large momenta. The presence of the ordinary graviton and the spin-2 ghost with mass M2 tells us that the hμν-propagator should have two poles,
where Zgraviton and Zghost are the corresponding residues and we have allowed for two a priori different prescriptions, ϵ and ϵ′. Both the poles are proportional to the same tensor structure as they both have spin-2. The requirement that the hμν-propagator behaves as p4 for large momenta leads to the condition Zgraviton = −Zghost. In this case, the hμν-propagator is proportional to,
where we have used the formula,
with being the principal part. The second term on the right-hand side of Equation (3.3) corresponds to the fact that the poles are shifted in different directions in the complex energy plane for sign(ϵ′) ≠ sign(ϵ). Therefore, one obtains a propagator that behaves as 1/p4 only if10 sign(ϵ′) = sign(ϵ). Given that the absolute values of ϵ and ϵ′ are not important this final condition can be simplified to ϵ = ϵ′.
The condition ϵ = ϵ′ implies that the ghost should be quantized by introducing an indefinite metric on the Hilbert space [8]. The easiest way to show this is by looking at the action S(0) of the helicity-0 component of the ghost in (2.40). This allows us to avoid the complications due to spacetime indices. The corresponding Lagrangian is,
where we have canonically normalized Ψ by rescaling . The conjugate variable is then,
and the canonical commutators are:
Performing a spatial Fourier transform and demanding Ψ to solve its EOM leads to,
where , and the commutation rules above imply the following:
At this point we have a choice. We can either
interpret the as annihilation (creation) operators, or
interpret the as creation (annihilation) operators.
In Case 1, as we will see in section 4.2.1, one should introduce an indefinite metric on the Hilbert space. In Case 2, the indefinite metric can be avoided, but the energies are negative; this statement will be shown in section 4.2.1, but its correctness is intuitive because in that case one would interpret (rather than ) as the energy. Let us compute the propagator P(x) in the two cases. The definition is,
where
In Case 1, we have,
where . The minus sign in (3.11) is due to the minus sign in the commutation relation (3.8). Therefore, by using a standard text-book derivation,
where ϵ > 0. We see that this corresponds to Zghost = −Zgraviton and ϵ′ = ϵ.
In Case 2, we still have,
but now (the energies are negative) and one ends up with
Note that the overall minus sign has a different origin than in Case 1: here it is due to the negative energy condition , not to the commutators as the role of b0 and is switched. So, in this case, one still has Zghost = −Zgraviton but ϵ′ = −ϵ and renormalizability does not occur.
Therefore, the conclusion is that renormalizability requires a quantization with an indefinite metric on the Hilbert space. In section 4.2.1, we will show that such a metric should be introduced also to ensure that the Hamiltonian is bounded from below. This raises an interpretational problem as in quantum mechanics the positivity of the metric is related to the positivity of probabilities. This problem will be addressed in section 4.2.6, where the state of the art of the related literature will be discussed.
3.2. RGEs
The renormalizability of the theory (including the gravitational sector) allows us to use the standard renormalization group machinery developed for field theories without gravity. The modified minimal subtraction (MS) scheme will be adopted in this review.
3.2.1. RGEs of the dimensionless parameters
The 1-loop RGEs of the dimensionless parameters are independent of the dimensionful quantities and it is therefore convenient to present them separately. Their expression for a general renormalizable matter sector is,
where
μ is the energy scale, μ0 is a fixed energy, and NV, NF, and NS are the numbers of gauge fields, Weyl fermions, and real scalars, respectively. Also, , , and C2F are defined by
The sum over “perms" in the RGEs of the λabcd runs over the 4! permutations of abcd. We do not show the RGEs of the gauge couplings because they are not modified by the gravitational couplings (see [30–33]).
Some terms in the 2-loop RGEs have been determined [14]. For example, switching off all couplings, except f0, one obtains the 2-loop RGE for f0 [14] as,
However, a complete expression of the 2-loop RGEs for all couplings is not available yet.
Note that the coefficient ϵ of the topological term G does not appear in the RGEs of the other parameters. Indeed, G vanishes when the spacetime is topologically equivalent to the flat spacetime, and the RGEs, being UV effects, are independent of the global spacetime properties.
The RGEs obtained as above are the result of several works. The first attempt to determine the RGEs of f2 and f0 was presented in Julve and Tonin [34]. The results of Julve and Tonin [34] are incomplete and contain some errors. An improved calculation was later provided by Fradkin and Tseytlin [30, 35], which, however, still contains an error in the RGE of f0. The first correct calculation of the RGE of f0 in the pure gravity case appeared in Avramidi and Barvinsky [13]; indeed, the result of Avramidi and Barvinsky [13] was later checked by Salvio and Strumia [33] and Codello and Percacci [36] with completely different techniques. Salvio and Strumia [33] also extended the results of Avramidi and Barvinsky [13] to include the general couplings to renormalizable matter sectors. The RGE for ϵ in the presence of general renormalizable matter fields can be found in Avramidi [16] (see also [37] for a more recent discussion). Also, Ohta and Percacci [38] checked the RGEs of f2, f0, and ϵ with functional renormalization group methods.
Equations (3.15) and (3.16) clearly show that even if the spacetime metric is not quantized and we do not introduce the terms quadratic in the curvature in the Lagrangian, such terms are anyhow generated by loops of matter fields, as originally shown in Utiyama and DeWitt [3].
3.2.2. RGEs of the dimensionful parameters
The 1-loop RGEs of the dimensionful parameters are,
where the curly brackets represent the sum over the permutations of the corresponding indices, e.g., Y{aY†b} = YaY†b + YbY†a. The symbol X represents a gauge-dependent quantity [14]. The RGEs of massive parameters are gauge dependent as the unit of mass is gauge dependent. Any dimensionless ratio of dimensionful parameters is physical and the corresponding RGE is indeed gauge-independent, as it can be easily checked from Equations (3.24) to (3.28).
The RGEs above for the most general renormalizable matter sector were obtained in Salvio and Strumia [14] and later checked in Anselmi and Piva [39]. However, before Salvio and Strumia [14] appeared, a number of articles computed the RGEs of some massive parameters in less general models. The RGE for in the pure gravity theory was determined in Avramidi and Barvinsky [13] and a detailed description of the methods used can be found in Avramidi [16]. The RGE of the ratio between the Higgs squared mass and was computed in Salvio and Strumia [33] (where the matter sector was identified with the SM).
These general RGEs can be used to address issues related to the high-energy extrapolation, such as the UV-completeness or the vacuum stability of generic theories of the sort studied here.
4. Ghosts
In this section, we discuss systems (such as quadratic gravity) featuring ghosts, recall the related problems, and present some possible solutions. We will mostly focus on finite dimensional systems but also discuss both the classical and quantum mechanical aspects.
4.1. Ghosts in classical mechanics
We consider a physical system described by a certain number of coordinates11qi and restrict our attention to Lagrangians that depend on qi, , and, possibly, on time t,
where the dot is the derivative w.r.t. t and, from now on, we understand the index i. This setup covers the case we are interested in: the Lagrangian of quadratic gravity depends both on the first and second derivatives of the field variables because of the extra terms quadratic in the curvature; moreover, an explicit dependence on time emerges, e.g., when a cosmological background is considered [21].
In the following paragraphs, we will first discuss the derivation of Euler-Lagrange equations of motion and then introduce the Hamiltonian approach. This discussion will be valid for QG as a particular case.
The least action principle in this context tells us that the variation δS of the action, S ≡ ∫dtL, with respect to variations δq of the coordinates that vanish on the time boundaries (together with their first derivatives, ) should be zero12:
Here, we should require that also vanishes on the time boundaries because the values of q at two times are not sufficient to identify the motion as the equations involve derivatives higher than the second order. On performing integration by parts once on the second term in (4.2) and twice on the third term, we obtain the Euler-Lagrange equations of motion for four-derivative theories as follows,
We now move to the Hamiltonian approach. We start by defining two canonical coordinates,
In this case, the conjugate momenta are defined by
where the index l runs over {1, 2}. A motivation for this definition will be given below in section 4.1.1. For l = 1 and l = 2 separately, the conjugate momenta read
Then as usual, one defines the Hamiltonian H as,
.
4.1.1. The Ostrogradsky theorem
Under a non-degeneracy assumption, i.e., the fact that13, it is possible to argue that the system is classically unstable14.
Indeed, this assumption allows us to express as,
where f is the inverse of viewed as a function of . Once Equations (4.4) and (4.8) are used, H reads
which is manifestly a function of the form,
The form of H in (4.9) implies the celebrated Ostrogradsky theorem [9]: the Hamiltonian obtained from a Lagrangian of the form, which depends non-degenerately on(i.e., ), is not bounded from below. Indeed, the expression of H in (4.9) shows that H depends linearly on the momentum p1 and therefore goes to −∞ if p1 tends either to +∞ or −∞ (when q2 is non-vanishing). Note that this result is valid for QG as a particular case.
One may wonder why the conjugate momenta is defined as in (4.5). The reason is that the standard form of the Hamiltonian equations of motion follows in this case and, therefore, the Hamiltonian is a constant of motion if it does not depend explicitly on time. In order to see this, let us consider an infinitesimal variation of the Hamiltonian and compute it in two different ways, by using (4.7) and (4.10). Respectively we have,
By using the definition of the conjugate momenta in (4.6) and in the first expression of dH, we obtain,
The Euler-Lagrange equations allow us to write the term as follows:
so,
Now, by comparing this expression with the one in (4.12) we obtain,
Therefore, we see that in theories with a Lagrangian of the form , which depends non-degenerately on (i.e., ), the Hamiltonian equations have the standard form provided that the definition of the conjugate momenta are modified according to (4.5). By inserting the first two equations in (4.16) into (4.12), we obtain that the Hamiltonian is a constant of motion provided that ∂H/∂t = 0.
(In)stabilities
If a system fulfills the hypothesis of the Ostrogradsky theorem, then it can develop instabilities. However, this theorem does not directly imply that all solutions of such a system are unstable. Here, by “stable solution” we mean a solution of the equations of motion such that for initial conditions close enough to the region of the phase space spanned by this solution the motion is bounded (it does not run away). There are several examples of systems of this type that feature bounded motions: the Pais-Uhlenbeck model [40] to be discussed in section 4.1.2 (in some cases even in the presence of interactions [41–46]) and quadratic gravity expanded at linear level around the flat or de Sitter spacetime [21, 47, 48].
4.1.2. The Pais-Uhlenbeck model
The Ostrogradsky theorem applies to a large class of higher derivative theories, but we have seen that it does not directly forbid the existence of stable solutions. To further understand the issues of higher derivative theories, it is convenient to analyze a simple system, which captures some of the essential characteristics of quadratic gravity. Therefore, in this section we focus on the Pais-Uhlenbeck model [40], whose Lagrangian is
Here, V is a function of q representing a possible interaction, and ω1 and ω2 are real parameters. As we will see, ω1 and ω2 represent the frequencies of two decoupled oscillators when V = 0. Apart from its simplicity, another reason for considering this model is that it closely resembles the helicity-2 sector of QG (see Equation 2.31). In QG ω1 ≠ ω2 at finite spatial momentum (see Equation 2.32); therefore, the unequal frequency case is particularly relevant.
Lagrangian analysis
The Lagrangian equation of motion is,
Equation (4.18) makes it clear why one chooses and to be positive; otherwise the solutions of the equations of motion would feature tachyonic instabilities at least for vanishing V.
The corresponding classical solution, for given initial conditions at t = 0, is
This is a well-behaved system without run-away issues for unequal frequencies, ω1 ≠ ω2. By taking the limit ω1 → ω2 ≡ ω in the expression above, one obtains
Note that the amplitudes of the sine and cosine functions above grow linearly with t.
Run-away (i.e., unstable) solutions can also appear for ω1 ≠ ω2 if a non-quadratic potential, i.e., V ≠ 0, is introduced. However, it has been found numerically that the system admits stable solutions regardless of the unboundedness of the Hamiltonian for some choices of V, such as V(q) ∝ sin(q)4 [43]. The situation for this potential is illustrated in Figure 2. In Pavšič [45], it was found that the solutions are unstable unless V is bounded from below and above. Of course, this can only be generically true for ω1 ≠ ω2 because, for equal frequencies, we have seen that the motion is unbounded even for V = 0, which is certainly bounded from below and above.
Figure 2
Hamiltonian analysis
We can now construct the Hamiltonian15 by using the general formul of section 4.1. Ostrogradsky's canonical variables defined in (4.5) and (4.4) in this case read
Note that the non-degeneracy hypothesis of the Ostrogradsky theorem is obviously satisfied in this case: . Indeed, by using the general formula in (4.9) we obtain (in the Pais-Uhlenbeck model ),
which is obviously unbounded from below. From (4.16) the Hamiltonian equations of motion are,
They imply the classical Euler-Lagrange equation of motion in (4.18).
When ω1 ≠ ω2, the Hamiltonian in (4.22) can be brought in diagonal form (except for the effect of the interaction V)
through the canonical transformation,
which satisfies . Its inverse is
Note that, given the first equation in (4.25), V(q1) introduces interactions between and . However, from (4.24) one can see that the system for V = 0 is equivalent to two decoupled oscillators with frequencies ω1 and ω2. Note that the first oscillator contributes negatively to the Hamiltonian; this is the manifestation of the Ostrogradsky theorem in this basis. Since the derivation of (4.24) is valid only for ω1 ≠ ω2 (because otherwise the transformation in (4.25) would be singular), one might hope to have a classical Hamiltonian that is bounded from below for ω1 = ω2. This is not the case as the Hamiltonian in the form given in (4.22) is valid for ω1 = ω2 too and is not bounded from below.
4.2. Quantum mechanics with ghosts
Before examining the peculiar features of the quantization with ghosts, let us spell out some basic assumptions of standard quantum mechanics, which will be made in the presence of ghosts too, including in the case of QG.
Quantizing the theory consists in substituting the canonical coordinates qj and conjugate momenta pj with some operators acting on a vector space, whose elements are identified with the possible states of the system16.
The Hamiltonian H in quantum mechanics is defined as a self-adjoint operator (H† = H) with respect to some metric on the vector space of states. H generates the time evolution: the state |ψt〉 at time t is given by,
Moreover, the Hamiltonian is assumed to have the same expression in terms of qj and pj as in classical mechanics, Equation (4.10).
The canonical coordinates qj and their conjugate momenta pj are promoted to operators by imposing the canonical commutators, i.e.,
and requiring them to be self-adjoint: and .
The possible probabilistic interpretations of quantum theories with ghosts will be discussed in section 4.2.6.
Most of the efforts that have been done so far in quantizing theories with ghosts have focused on simple toy models, which isolate the main source of concern—the presence of four time-derivatives. The model that is typically studied is the quantum version of the Pais-Uhlenbeck construction given in section 4.1.2, which is perhaps the simplest four-derivative extension of an ordinary quantum mechanical model. Therefore, we will mostly focus on it. However, some of the results reviewed in this section can be applied to other models too.
4.2.1. Trading negative energies with negative norms
The first thing one can prove is that some Hamiltonians that are not bounded from below can be quantized in a way that their quantum spectrum is instead bounded from below, but this is achieved by introducing an indefinite metric on the Hilbert space (as we will see, this is precisely the metric with respect to which H, qj, and pj have been assumed to be self-adjoint). A classic example is the Pais-Uhlenbeck Hamiltonian17 in Equation (4.24) for vanishing V, which we will now discuss in some detail.
The part of the classical Hamiltonian that contributes negatively is
and it is on this part that we shall focus as the other one , being positive, can be quantized with standard methods. Note that the quadratic Hamiltonian of the ghost of QG can be written as the sum of Hamiltonians of the form (4.29), as is clear from Equations (2.40) and (2.35) and the fact that the Lagrangian (2.31) of the helicity-2 sector of QG is the sum of Pais-Uhlenbeck Lagrangians.
What allows us to trade the negative energy in Equation (4.29) with negative norm is the exchange of creation and annihilation operators: one defines the annihilation and creation operators, respectively, as
where we used and . The relative signs between and have been switched with respect to the standard case. Here, we keep the label 1 to recall that the oscillator with label 2 is subject to the usual definition of annihilation and creation operators:
From the canonical commutators (4.28) and by using the canonical transformation in (4.26) it follows
which leads to
where η11 = −1, η22 = 1, η12 = η21 = 0. One can now express and in terms of ã1 and as usual and find
where we defined a number operator (see below) with an unusual minus sign. Indeed, with this definition N1, ã1, and satisfy the usual commutation relations
which allows us to interpret ã1 and as annihilation and creation operators, respectively: the eigenstates of N1, i.e., N1|n1〉 = n1|n1〉, satisfy
We can determine c and d up to an overall phase, once the normalization of |n1〉 is fixed. Here, for reasons that will become clear shortly, we allow some norms to be negative and we choose the normalizations18 〈n1|n1〉 = νn1, where νn1 = ±1. Notice now
which leads to
If all the norms are positive, i.e., all νn1 = 1, then it is possible to show with a standard textbook argument that the spectrum of N1 (and therefore, because of Equation (4.34), that of the Hamiltonian) is not bounded from below. This is because Equation (4.38) tells us that n1 < 0 and we can then reach an arbitrary large and negative value of n1 by acting with the annihilation operator.
The only way to avoid n1 < 0 is to take νn1 = −νn1−1. Indeed, in this case (4.38) gives19
which as usual implies that the spectrum of N1 is {n1} = {0, 1, 2, 3, …} (and therefore N1 can appropriately be identified with a number operator) and the spectrum of the Hamiltonian is thus bounded from below. The state with n1 = 0 is interpreted as that without ghost quanta and so we require it to have a positive norm. Therefore, νn1 = −νn1−1 implies that the states with an even (odd) number of ghost quanta have positive (negative) norm.
A similar reasoning can be done in QG linearized around the flat spacetime: the energy becomes bounded from below if an indefinite metric on the Hilbert space is introduced (see section 3.1). Furthermore, we saw in section 3.1 that an indefinite metric should also be present in order for QG to be renormalizable. Therefore, insisting on having arbitrarily negative energies to preserve the positivity of the metric appears to have very little motivation.
As mentioned before, in this construction qj, pj, and H are self-adjoint w.r.t. the indefinite metric. This leads to problems in the definition of probabilities, which we shall address in section 4.2.6.
4.2.2. The problem of the wave-function normalization
So far we have given some features of the quantum theory, but we have not yet specified completely the quantization procedure. We still have to define the spectrum of the operators qj.
Let us discuss this point in the Pais-Uhlenbeck model with ω1 ≠ ω2 for the sake of definiteness. One possibility would be to assume, as usual, that the spectrum is real for both q1 and q2. However, this leads to non-normalizable wave functions [56, 57]. To see this, we consider the ground-state wave function ψ0(q1, q2) ≡ 〈q1, q2|0〉, where |0〉 is the vacuum, defined as ã1|0〉 = 0 and ã2|0〉 = 0, while |q1, q2〉 is an eigenstate of q1 and q2. Using the standard representation for the conjugate momentum acting on the wave functions, pi = −i∂/∂qi, one obtains the ground-state wave function
With this quantization, ψ0(q1, q2) is non-normalizable along the q2-direction. However, ψ0(q1, q2) becomes normalizable when one performs the integral of on the imaginary q2-axis.
This suggests that one could obtain a consistent quantization by requiring q2 to have a purely imaginary spectrum, while assuming a standard quantization (with real spectrum) for q1 [58].
4.2.3. The dirac-pauli quantization
The quantization with purely imaginary eigenvalues for a canonical variable was first discussed by Pauli [59] for Lagrangians with at most 2 time-derivatives, elaborating on a previous work by Dirac [60]. In the rest of this work, we will refer to this unusual quantization as the Dirac-Pauli quantization. To proceed, let us deduce some basic properties of the Dirac-Pauli quantization for a generic variable .
The defining property is that the spectrum of is purely imaginary:
It follows , which, together with the self-adjointness of , i.e., , implies (x + x′)〈x′|x〉 = 0. The general solution to this equation is 〈x′|x〉 = δ(x + x′)h(x), where h is a function that we set to 1 without loss of generality: this can always be done by rescaling the states |x〉. Then, one obtains
and the completeness20 condition reads
where η is the operator defined by η|x〉 = |−x〉.
It can be shown that the variable canonically conjugate to is also a Dirac-Pauli variable: i.e., , where p is a generic real number. To show this, we first notice that the operator , where a is a generic real number, generates translations in the coordinate space; for an infinitesimal a we have,
where, in the second step, we have used the canonical commutators in (4.28). This means
(a possible overall factor k(a, x) in front of |x + a〉 can be set to one by a suitable definition of ). From here we can construct the entire spectrum of . By applying on ∫dx|x〉, one discovers that this is an eigenstate with zero momentum, and by applying on it, where p is a generic real number, one generates all possible eigenstates |p〉:
where the factor has been introduced to ensure the normalization condition
which, once again, leads to the completeness relation ∫|p〉〈p|η = 1. The states |p〉 satisfy
There are no other eigenstates as is self-adjoint with respect to the positively defined metric 〈.|.〉η ≡ 〈.|η|.〉 and, therefore, can only have purely imaginary eigenvalues.
The Dirac-Pauli quantization may look strange at first sight, but it can be seen as a complex canonical transformation performed on variables quantized in the ordinary way: x → ix, p → −ip.
In Table 2, the basic properties of a Dirac-Pauli variable are summarized.
Table 2
| Canonical variable | on states | on states | on functions | on functions |
|---|---|---|---|---|
| Dirac-Pauli variable | ||||
| Ordinary variable | ||||
Basic properties of a Dirac-Pauli variable (and its conjugate momentum) compared to the ordinary case.
These properties are derived in the text or are simple extensions of the properties derived in the text.
4.2.4. Making the wave functions normalizable
Let us now come back to our original problem, the non-normalizability of the wave functions. For the sake of definiteness, we again consider the Pais-Uhlenbeck model with ω1 ≠ ω2 and assume that q2 is a Dirac-Pauli variable, whereas q1 is an ordinary one. Then we obtain
which is now normalizable:
where we have used the decomposition of the identity in terms of eigenstates of the coordinate operators and we have taken into account Equation (4.45) for the Dirac-Pauli variable q2. Moreover, recall that we have earlier required 〈0|0〉 to be positive; we fix 〈0|0〉 = 1 by appropriately choosing the normalization constant. Then, by using (4.33), one can easily show that the state |n1, n2〉, where n1, 2 are the occupation numbers of ã1, 2, has norm . So, not only the ground state but also all the excited states are normalizable with this quantization.
At this point it is good to mention that Hawking and Hertog [61] proposed a way to deal with four-derivative degrees of freedom, but they ended up with non-normalizable wave functions. They then suggested solving the problem by integrating out . As we have seen, this issue does not arise if the appropriate quantization described above is performed (treating q as an ordinary variable and as a Dirac-Pauli one)
Other consistent quantizations are possible [62, 63]. For example, one could quantize à la Dirac-Pauli, by treating as an ordinary variable (the variables with a tilde have been defined in Equation 4.26). We will address this point after having introduced the path-integral formulation of the theory.
A Dirac-Pauli quantization for the ghost of QG has not been studied yet and is a very interesting topic for future research. By analogy, with the results obtained in the Pais-Uhlenbeck model, one expects normalizable wave functions in the QG case too.
4.2.5. Path-integral formulation
We now present the path-integral formulation of a theory with an arbitrary number of ordinary canonical variables q1, …, qn and Dirac-Pauli variables [58, 64]. A state with definite canonical coordinates is denoted here as,
We are interested in understanding whether the quantization presented above is consistent in the presence of interactions. Even in ordinary quantum theories the real-time path integral is only a formal object, whose consistency at the rigorous level is unclear. For this reason, we consider the imaginary-time path integral (what would be called the Euclidean path integral in a QFT).
In formulating a quantum theory with the path integral, one notices that the full information on the dynamics of the system is encoded in the object 〈qf|exp(−iHt)|qi〉, where |qi〉 and |qf〉 are generic states with definite coordinates. Indeed, once this object is known we can determine how the wave function evolves in time. In the presence of some Dirac-Pauli variables, one can do something similar, but one inserts an operator η defined by
Namely, instead of considering 〈qf|exp(−iHt)|qi〉, one tries to evaluate 〈qf|η exp(−iHt)|qi〉. This is convenient for reasons that will become apparent soon, but note that 〈qf|η exp(−iHt)|qi〉 encodes the full dynamical information just like 〈qf|exp(−iHt)|qi〉 as they both give the matrix elements of the time-evolution operators with respect to a complete basis.
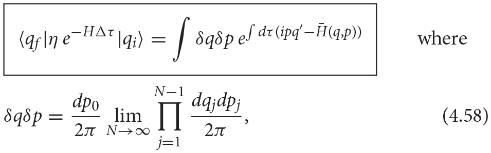
Working with an imaginary time t → −iτ, one is thus interested in computing the matrix element 〈qf|η exp(−HΔτ)|qi〉, where Δτ is some imaginary-time interval. This, as usual, can be done by decomposing Δτ in the sum of a very large number N of very small intervals dτ, i.e., dτ ≡ Δτ/N. By writing and inserting N − 1 times the identity ∫dq|q〉〈q|η = 1, one ends up with
where qN ≡ qf and q1 ≡ q0. To evaluate 〈qj|η exp(−Hdτ)|qj−1〉, we insert the identity in the form ∫dpj−1η|pj−1〉〈pj−1| = 1:
where we have used Equation (4.48) and defined
Here we use a compact notation where the indices and sums over the various degrees of q1, …, qn and are understood. By letting N → ∞, one, thus, obtains the imaginary-time path integral

a prime denotes a derivative w.r.t. τ, the integral over τ is from an initial time τi and a final time τf, such that Δτ = τf − τi and it is understood that the integral over δq is performed only over those configurations that satisfy q(τi) = qi and q(τf) = qf.
We see that, modulo the usual subtleties related to the integration over an infinite-dimensional functional space that are present in any quantum theory, the only requirement for the existence of the path integral is that the real part of (not21 the classical Hamiltonian H(q, p)) be bounded from below and that diverge fast enough when the canonical coordinates tend to infinity (so that the integrations over q and p converge).
These conditions are satisfied in the Pais-Uhlenbeck model where q1 is quantized in the ordinary way and q2 is quantized à la Dirac-Pauli, at least when the interaction term V is bounded from below22 (the usual condition). Indeed, from the Hamiltonian (4.22) it follows
which has the required properties. For the Pais-Uhlenbeck model, the Euclidean path integral is
This expression can be further simplified since some integrations can be explicitly performed. Given the first term in (4.59), the δp1 integral gives , such that the δq2 path integral just fixes . Next, the remaining terms in are a sum of positive squares and V(q1) so all other integrals are convergent assuming that V is bounded from below. Performing the remaining integrals, one finds the Lagrangian Euclidean path integral:
where the classical Euclidean Lagrangian is
The Lagrangian path integral appears to be well-defined as LE is bounded from below.
The expression in (4.62) also allows us to study the classical limit. Going back to real time one obtains precisely the Lagrangian we started from, Equation (4.17). As discussed in section 4.1.2, for some interactions V(q) (bounded from below and above) there are stable solutions. In a generic theory, one expects that the requirement of having stable solutions place stringent conditions on the possible interactions, which so far have not been fully classified. The path integral formulation tells us that, in the classical limit, the dynamics is dominated by the solution(s) with least Euclidean action. In the Pais-Uhlenbeck case, these correspond to time-independent solutions that minimize the full potential . All unbounded solutions, if any, should be negligible in the classical limit as the derivative terms always contribute positively to the Lagrangian in (4.62). As usual, perturbations around a given solution should be computed through the path integral and, given that the path integral appears to be well-defined, no pathologies are expected. Therefore, it is possible that the Dirac-Pauli quantization could solve the potential problems raised by the Ostrogradsky theorem.
The path integral (4.61) makes it clear that, if V(q) is chosen to be non-negative everywhere, no negative energies can be present. If they did, then we should observe a divergence of 〈qf|η exp(−HΔτ)|qi〉 as Δτ → ∞, but the right-hand side of (4.61) does not diverge in that limit as the Lagrangian is a sum of positive terms.
Another issue is that in a theory where the Hamiltonian H is self-adjoint with respect to an indefinite norm (and nothing else is known) there is no theorem guaranteeing the reality of the energy spectrum. However, it is still possible that the spectrum is real, as we have seen in the case of the unequal-frequency Pais-Uhlenbeck model in section 4.2.1. Even if one introduces a non-trivial interaction term V ≠ 0 in the Pais-Uhlenbeck model with generic unequal frequencies, no complex energies can appear as long as V is small enough that perturbation theory can be trusted. Indeed, a complex energy would require a zero-norm state, but only positive and negative norm eigenstates of H with no degeneracies are found in section 4.2.1. In a theory where some of the eigenvalues of H turn out to be complex, one should find a sensible interpretation for them. A possible interpretation could be that those states are unstable and some of them (the ones with eigenvalues with positive imaginary parts) lead to a violation of causality23 [66, 67]. However, in Sotiriou and Faraoni [21] it was pointed out that there are some conditions to be fulfilled in order for this violation of causality to be observable and it is easy to engineer a model where these conditions are not met.
Let us come back to the path integral. What would have happened if we had used a different quantization? One could have quantized à la Dirac-Pauli and as an ordinary variable (the variables with a tilde have been defined in Equation (4.26) when ω1 ≠ ω2). Then, one would have obtained
where
and, according to Equation (4.25),
Given that V is computed in the complex quantity , the requirement that Re is bounded from below leads to very peculiar conditions on the function V, which seems very hard to be fulfilled for reasonable V, and thus very hard to be kept in generalizing these results to QG. Therefore, while other quantizations could still be consistent, dedicated studies of these alternative path-integral quantizations in the presence of interactions are not known.
The computation of the Lagrangian path integral has been carried out here within the Pais-Uhlenbeck model. We have used explicitly that some variables are quantized à la Dirac-Pauli. If a Dirac-Pauli quantization for QG will be provided, then one could also perform the same calculation in QG. One expects that the Lagrangian path-integral for QG is consistent if the classical Euclidean Lagrangian is bounded from below, which is the case for some choices of the parameters, but there is no substitute of a complete calculation to reach this conclusion. Such calculation would also provide a non-perturbative definition of quantum QG.
4.2.6. Probabilities
We now turn to the possible definitions of probabilities in the presence of ghosts. We have learned in Sections 3.1 and 4.2.1 that both the renormalizability of QG and the requirement that the quantum Hamiltonian must be bounded from below lead to the presence of an indefinite metric. This raises problems in defining the probability that a certain event occurs. In quantum mechanics, the possible outcomes of the measurement of an observable A (a self-adjoint operator, A† = A) are in one-to-one correspondence with the eigenstates |a〉 of A with probabilities given by the Born rule
where |ψ〉 is the state of the system before the measurement. If some of the states have negative norms, then the direct application of the Born rule in the presence of ghosts leads to some negative probabilities.
Since P(ψ → a) can be negative only when the denominator 〈a|a〉〈ψ|ψ〉 is negative, a first idea could be to substitute (4.66) with the following modified Born rule:
However, (4.67) does not generically satisfy another basic requirement, that the sum of P(ψ → a) over all possible eigenvalues a is 1. This is because
and here generically we have
Indeed, if we assume the eigenstates |a〉 to form a complete basis and decompose an arbitrary state |α〉 as , where are complex numbers, we have
and in general 〈a|a′〉/|〈a|a〉| is not equal to because some of the states can have negative norm. This is what some people call the “unitarity problem" (we do not use this terminology here as the time evolution operator is unitary w.r.t. indefinite norm).
We now discuss the most popular ways to address this problem.
Lee-Wick idea
Lee and Wick [68] proposed that a theory with an indefinite metric can still have a unitary S-matrix provided that all stable states have positive norm. Since the S-matrix connects only asymptotic states that, by definition, are stable, one expects that under this hypothesis the transition probabilities between asymptotic states are positive and add up to one. The Lee-Wick idea has been studied in the context of QG in a number of papers [39, 69–76].
To understand this idea more in detail, let us denote with |σ〉 and |σ′〉 two generic stable states and consider the S-matrix elements
where we have normalized |σ〉 and |σ′〉 to 1 (the Lee-Wick hypothesis implies that the norm of stable states are positive and therefore can be normalized to 1). The operator is unitary with respect to the indefinite norm by construction, but we are interested in proving the unitarity of the S-matrix in 4.71 because this is what would allow us to claim that the probabilities add up to one: indeed, using the standard Born rule (4.66) leads to
Now, one can rewrite
and this expression would be equal to 1 in two cases:
if or, more generally,
if S|σ〉 can be written as a linear combination of the stable states only.
The first condition cannot be true because we know there are negative norm states, which can never be written as linear combinations of positive norm states only; indeed, in the presence of negative norm states is replaced by
where Π− is the projector on the negative-norm subspace. So, one has to assume Condition 2, which, although plausible (as one expects S to connect stable states with stable states only), has to be proved. To see when the important probabilistic condition is satisfied, it is convenient to rewrite it in a form that can be more easily verified by an explicit calculation. To do so, we note that
where we have used Equation (4.74). By writing as usual S ≡ 1 + iT, one has
which follows from Π−|σ〉 = 0. The unitarity of S implies i(T† − T) = T†T and, by taking the diagonal matrix element Tσσ ≡ 〈σ|T|σ〉 and using once again Equation (4.74),
Given that Π− can be written as where |g〉 represents a complete basis on the negative-norm subspace, we see that the condition that the probabilities sum up to one is equivalent to the condition that the ghost states |g〉 do not contribute to the imaginary part of the forward scattering amplitude, represented here by Tσσ. Anselmi [75] has recently found that this condition is satisfied if one modifies appropriately the prescription to determine the ghost propagator24.
One issue is that, in order to claim that the negative norm states are unstable, which is a basic assumption of the Lee-Wick proposal, one needs a consistent way of computing the probability of ghost decays; otherwise how do we tell if the ghost is unstable or not? Since there is one ghost field in QG, the use of the standard Born rule (4.66) to compute this probability leads to a negative number. This is not necessarily a non-sense as Lee and Wick proposed to consider as physical states only the asymptotic ones and regard the ghost just as a virtual state, which is not directly observable. In this case, it might be consistent to assign negative probabilities to such somewhat unobservable events, as pointed out by Feynman [79].
However, one can also argue that the Lee-Wick proposal might not address all potential problems because scattering theory (described by the S-matrix) is not the only application of quantum mechanics.
Defining positive norms
Although renormalizability and the existence of a state of minimum energy lead to an indefinite metric, one can still try to define positively defined metrics with the desired property: positive probabilities that add up to one when used in the Born rule. This possibility was studied in a number of articles [58, 63, 80–85].
Let us consider an example of a positively defined metric. The path-integral formula (4.58) suggests to consider the η-metric 〈.|.〉η ≡ 〈.|η|.〉, where η is defined for a generic theory in Equation (4.54). This metric is positively defined because
and is complete. In (4.78), we used (4.44) for the Dirac-Pauli variables and the usual normalization for the ordinary variables q1, …, qn. The η-metric can be used to compute the probabilities of measuring and the corresponding conjugate momenta (in the case of Dirac-Pauli variables, the outcomes of an experiment can be identified with the imaginary parts of the eigenvalues). Below we will show that the probabilities add up to one.
Before doing so, we generalize this approach to other observables. First, we have to clarify the meaning of “observables" in this context. An observable A is represented by an operator with a complete set of eigenstates, |a〉. Indeed, in this case we can define a positively defined metric in the following way. Let us define an operator PA through25
Note that PA satisfies and depends in general on A. The new positively defined metric is defined by
where |ψ1, 2〉 are generic states. By using this new metric, one can define the probabilities with the usual Born rule: the probability that the outcome of an experiment will measure a for an observable A given that the state before the measurement is |ψ〉 is given by
These probabilities indeed satisfy the basic properties—they are positive and they add up to one,
where we used
which follows from the completeness of {|a〉} and the defining property of PA, Equation (4.79). Note that this result also holds for time-dependent |ψ〉 and, therefore, probability is conserved under time evolution. In the specific case when 〈a|a〉 is either positive or negative (it never vanishes), an explicit expression for PA is (after having normalized the state in a way that 〈a|a〉 = ±1)
where and are the projectors on the positive norm and negative norm eigenstates of A, respectively.
4.3. Cosmology
In practice, the cosmological predictions of QG would be basically those of a standard QFT coupled to Einstein gravity if it were not for the W2 term. This term, as we have seen, corresponds to a spin-2 ghost with mass . Therefore, unless one takes f2 really tiny, the only significant effects of the ghost occur in an inflationary context. We will focus then on the inflationary behavior of the theory here.
The first step in studying the cosmological applications of the theory is to find an FRW metric that satisfies the classical equations. From the experience gained with the Pais-Uhlenbeck model in section 4.2.5, one expects that the classical limit provides precisely the classical action we started from, Equations (2.8), (2.10), and (2.12). This is what is assumed basically in the entire literature on the subject. The actual proof of this property would be a significant progress in the understanding of QG.
The FRW metric is
where a is the scale factor and we have neglected the spatial curvature parameter as during inflation the energy density is dominated by the scalar fields. The metric in (4.85) leads to standard Friedmann equations as the W2 term vanishes on conformally flat metrics and does not contribute to the equations of motion. When the hypothesis of homogeneity and isotropy is relaxed the W2 term contributes instead and its effect has been studied in a number of works [21, 47, 86–94] (see [21] for a general treatment), where the perturbations around the FRW metrics were considered. We do not reproduce the calculations here as they are performed in detail in the original articles. One of the most important results obtained so far is that all perturbations found by solving the linear equations around the FRW metric remain bounded as time passes by Peter et al. [19], Salvio [21], Ivanov and Tokareva [47], Tokareva [48], and Salles and Shapiro [95], contrary to what one would naively expect from the Ostrogradsky theorem. Moreover, by quantizing these linear perturbations with an indefinite metric (with an appropriate generalization of section 4.2.1) one obtains that the conserved Hamiltonian of the full system is bounded from below [21]. What happens beyond the linear order, however, has not been discussed in detail and is an important target for future research.
In QG, there are several possible inflaton candidates. First, QG gives a natural implementation of Starobinsky's inflationary model [4] as the R2 is mandatory in order to have renormalizability. Furthermore, other possible scalar fields can participate: at the very least the theory should contain the Higgs boson, which has been discovered at the Large Hadron Collider. A detailed analysis of the inflationary dynamics and observable predictions in some specific realizations of the QG scenario is provided in Kannike et al. [20], Salvio [21], and Salvio and Strumia [33].
4.4. Black holes
After the discovery of gravitational waves interpreted as the product of a binary black hole merger [96], the interest in black hole solutions have increased. Therefore, it is important to study the existence and properties of static spherically symmetric solutions in QG, where the metric is given in spherical coordinates {r, θ, φ} by two functions f1 and f2 of r:
This has been initiated in a number of articles. The first work was done by Stelle [12], who computed the correction to Newton's law due to the extra gravitational terms. A first, the observation is that the Schwarzschild solution of Einstein gravity in the vacuum (f1(r) = f2(r)) is also a solution of the vacuum equations of QG (i.e., in the absence of matter) [12, 97, 98]. Also, Lu et al. [98], Holdom [99], Lü et al. [100, 103], Cai et al. [101], Lin et al. [102], Goldstein and Mashiyane [104], Kokkotas et al. [105], and Stelle [106] found numerically and studied new black hole solutions (not present in Einstein gravity) and Holdom and Ren [107] identified a new class of static spherically symmetric solutions without horizon (called the 2-2-hole), which can, nevertheless, mimic the Schwarzschild solution outside the horizon, with interesting implications for the black hole information paradox.
Keeping in mind the Ostrogradsky theorem, an important question is whether a stable black hole (or pseudo black hole, such as the 2-2-hole) exists in the theory. Lü et al. [103] pointed out that the Schwarzschild solution is stable for large horizon radius rh, but becomes unstable (see also [108]) when rh is taken below a critical value set basically by the inverse ghost mass ~1/M2 (see also [106]). The endpoint of the instability is conjectured to be another black hole solution, which is not present in Einstein gravity and may be stable when rh is small. Holdom and Ren [107] considered the creation of a static spherically symmetric solution generated by a thin spherically symmetric shell of matter; when the shell radius l ≲ rh the new 2-2-hole is found.
Once again in all these works the classical equations (valid as ℏ → 0) of QG are taken to be those generated by the starting action in (2.8), which is what we expect, but as pointed out in section 4.3, a proof is still missing in the literature.
5. Reaching infinite energy
Given that QG (coupled to a general renormalizable matter sector) is renormalizable, one can hope that the theory remains valid up to infinite energy. However, soon after the calculation of the gravitational β-functions of Avramidi and Barvinsky [13] it was realized to be a major obstacle to UV-completeness: the β-function of in (3.16) is not negative for and, therefore, the theory features a growth of f0 as the energy increases, until perturbation theory in f0 cannot be trusted anymore26.
Then, a number of authors [15, 109–113] explored the case claiming that asymptotic freedom can be achieved for all couplings (both the gravitational and matter couplings) if the matter sector is chosen appropriately. Although such programme can lead to mathematically consistent asymptotically free theories, there is a big phenomenological problem when one chooses .
Let us consider for simplicity the case where the scalar ζ (corresponding to the R2 term and introduced in section 2.2) does not mix with other scalars (if any). Then, the squared mass of ζ equals (see Table 1), which clearly indicates that for the scalar ζ is tachyonic. One way to obtain is to use the Einstein frame Lagrangian in (2.17) and (2.18) and compute its quadratic approximation for the small fluctuations around the flat spacetime. Another way is to calculate (directly in the Jordan frame) the propagator of hμν ≡ gμν − ημν, a procedure that was originally performed in Stelle [8], which obtained precisely the masses given in Table 1. This confirms that leads to a tachyonic instability27. Yet another way to see why is phenomenolgically problematic is to look at the Newtonian potential VN(r) due to the Lagrangian (2.8) [12, 114],
where GN is Newton's gravitational constant and M is the mass of the point particle generating the potential. As noted even in the original article [12] by Stelle, this expression only gives an acceptable Newtonian limit for real M2 and M0 (i.e., for positive and ): otherwise one would obtain oscillating 1/r terms.
One could hope that a phenomenologically viable is achieved by introducing more scalars (besides ζ). However, a general argument, which we now describe, indicates that this is not the case. Consider the Einstein frame potential U (defined in Equation 2.18) along the ζ-direction, which can be conveniently parameterized as
where a1, a3 are suitable coefficients, which depend on the other scalar fields, whereas (having assumed here). A necessary condition for the existence of a minimum of U is that
Notice that, if the solution for ζ2 exists, that is , then it is unique. Moreover, note that a2 < 0 implies that U goes to a negative value as ζ → ∞. Therefore, there are only three possibilities:
There is no acceptable solution to (5.3) (no solution with ζ2 > 0).
The solution to (5.3) is a maximum of the potential (or at most a saddle point once the other scalars are included).
The solution to (5.3) is a point of minimum of U, but occurs for a negative value of U (in contradiction with the positive value of the observed cosmological constant). Indeed, if it corresponded to a positive value of U then there would also be a maximum (or a saddle point) given that U goes to a negative value for ζ → ∞ and this would contradict the uniqueness of the solution in (5.3).
The conclusion is that a minimum of U (if any) must have U < 0. This argument generalizes the situation illustrated in Figure 1, where only the field ζ was considered.
5.1. Conformal gravity as the infinite energy limit of quadratic gravity
Given that the experiments lead us to take , what happens when f0 grows and leaves the domain of validity of perturbation theory? In Salvio and Strumia [14] (see also references therein), by using a perturbative expansion in 1/f0, it was shown that, when f0 grows up to infinity in the infinite energy limit, the scalar due to the R2 term decouples from the rest of the theory and f0 does not hit any Landau pole, provided that all scalars have asymptotically Weyl-invariant couplings (see below) and all other couplings approach fixed points. Then, QG can flow to a Weyl-invariant theory, a.k.a. conformal gravity, at infinite energy. Given the importance of Weyl invariance for the high-energy limit of QG, let us give some more details on this topic. A Weyl transformation acts as follows on the various fields (the metric gμν, the scalars ϕa, the fermions ψi, and the vectors ):
where σ is a generic function of x. A scalar has Weyl-invariant couplings when all dimensionful parameters vanish and ξab = −δab/6. This precise value of ξab emerges because in this case the non-invariance of the kinetic term of the ϕa precisely cancels the non-invariance of the non-minimal couplings, Equation (2.12).
The idea that one can approach a Weyl-invariant theory at large energy has been investigated in a number of articles [78, 118–124]. We do not reproduce the proof of Salvio and Strumia [14] because it is described in detail there, but some remarks are in order regarding the implications of this result.
It is important to note that the condition to have a UV fixed point guarantees not only the UV-completeness of the QFT part28 but also of the gravitational part of the theory (when all parameters flow to their conformal value). This opens the road to the construction and study of relativistic field theories of all interactions that are fundamental, i.e., hold up to infinite energy. This scenario leads to several extra fields (in addition to those present in the SM) as the study of the one-loop β-functions of the SM reveals the presence of Landau poles. These new fields can then be used to explain in an innovative way the current pieces of evidence for physics beyond the SM (such as neutrino oscillations, dark matter, and baryon asymmetry of the universe). This nearly unexplored field of research represents a very important target for future research.
5.2. RGEs for conformal gravity and matter
Although flowing to conformal gravity at infinite energy can be consistent, at finite energy, conformal invariance is broken by the scale anomaly and the R2 term as well as a non-vanishing value of δab + 6ξab are generated. However, this is a multiloop effect (see [14, 130–132] and references therein). The full set of one-loop RGE in conformal gravity are given by,
for f0 → ∞ and . We do not show the RGE of the gauge couplings because they are not modified by the gravitational couplings (see [30–33]). The RGE of f2 was originally derived in Salvio and Strumia [14], Fradkin and Tseytlin [30], Shapiro and Zheksenaev [133], de Berredo-Peixoto and Shapiro [134], while those of Ya and λabcd were obtained in Salvio and Strumia [14]. Also, Ohta and Percacci [135] checked the RGEs of f2 with functional renormalization group methods. This set of equations allows us to search for fundamental theories that enjoy total asymptotic freedom/safety: all couplings (including the gravitational ones) flow either to zero or to an interacting fixed point in the UV.
In Figure 3, a pictorial representation of a possible resulting gravitational scenario (described in the caption) is provided. That behavior suggests a new paradigm of inflation based on a quasi-conformal theory, a theory where f0 is large and ξab ≈ −δab/6, which so far has been left as a very interesting future development.
Figure 3
The general RGEs in (5.5)–(5.7) can be used to address high-energy issues in the scenario presented above, e.g., the actual verification of a UV fixed point and vacuum stability.
6. Concluding remarks
QG, appropriately extended to include renormalizable couplings with and of a QFT, gives a renormalizable relativistic field theory of all interactions, which is predictive and computable. It has therefore attracted the interest of several researchers since decades and continues to be an important framework in the quest for a UV complete and phenomenologically viable relativistic field theory.
The price to pay is the presence of a ghost and consequently of an indefinite norm on the Hilbert space (which is implied both by renormalizability and the requirement of having a Hamiltonian that is bounded from below). Therefore, much of this review has been dedicated to illustrate some possible ways to address the ghost problem (such as the Dirac-Pauli quantization, the Lee-Wick approach and the possibility to introduce positively defined metrics on the Hilbert space) focusing on simple finite dimensional quantum mechanical models. The full extension of these techniques to the field theory case (and especially the QG case) has not been done yet and is an important goal for future research.
If QG is coupled to a QFT, which enjoys a UV fixed point, then the whole theory can hold up to infinite energy29 and might still be compatible with data. So far, potentially viable theories have only be found for , given that leads to a tachyonic instability (as is clear both in the Jordan and Einstein frame). The explicit construction of a QFT sector that satisfies all collider and cosmological bounds and explain the evidence for new physics has not been achieved yet and is an outstanding target for future research. The deep UV behavior of the theory may be the one of a Weyl invariant theory (conformal gravity): the gravitational coupling f0 and the non-minimal couplings of the scalar ξab reach the Weyl invariant values f0 → ∞ and ξab → −δab/6, whereas all other couplings approach a UV fixed point.
Statements
Author contributions
The author confirms being the sole contributor of this work and approved it for publication.
Acknowledgments
I thank Matej Pavšič, Ilya Shapiro, Alessandro Strumia, and Hardi Veermäe for useful discussions and correspondence. This work was supported by the ERC grant NEO-NAT.
Conflict of interest
The author declares that the research was conducted in the absence of any commercial or financial relationships that could be construed as a potential conflict of interest.
Footnotes
1.^Other names sometimes used are “R gravity” and “higher derivative gravity,” as terms quadratic in the curvature have more than two derivatives of the gravitational field.
2.^It should be noted that QG is distinct from the asymptotic safety proposal for quantum gravity made in Weinberg [10], where all the possible terms (including the non-renormalizable ones beyond the quadratic order) are included: in QG only renormalizable interactions are introduced so that only a finite number of parameters are present. This guarantees the predictivity of the theory. Possibly the ghost can be avoided by introducing an infinite series of higher-derivative terms [11], which can be viewed as non-local terms, but the resulting gravity theories contain infinite free parameters and are not known to be renormalizable.
3.^In this review we use the signature ημν = diag(+1, −1, −1, −1) and define
4.^The spin-connection is defined as usual by and .
5.^Notice that in order for the metric redefinition in (2.15) to be regular one has to have f > 0, and thus we can safely take the square root of f.
6.^For a discussion of a possible form of the non-perturbative spectrum see Holdom and Ren [23, 24].
7.^A possible gauge dependent divergence of hij has been set to zero by choosing the gauge appropriately.
8.^Starting from the initial action (2.8), it is possible to perform field redefinitions and use the auxiliary field method to make the ghost field explicitly appear in the Lagrangian [26]. This is equivalent to what has been done in section 2.2 to make the scalar field ζ appear explicitly in the Lagrangian.
9.^These formal derivations can also be extended to include the general renormalizable matter sector considered in section 2.
10.^To convince ourselves of the correctness of this statement one could insert the propagator in (3.3) in a loop integral; the effect of the Dirac δ-function is to drop one momentum integration and to add a power of momentum at the denominator, for a total of two (not four) momenta in the power counting.
11.^Note that the case of fields can be obtained by interpreting the index i as a space coordinate .
12.^The summation on the index i is understood, for example, .
13.^ denotes the Hessian matrix of L, whose elements are .
14.^Lagrangians that depend on even higher derivatives of q have been considered in the literature in the time-independent case [40], but these situations go beyond our scope as the quadratic gravity Lagrangian only depends on the derivative of q up to the second order.
15.^An analogous construction for QG was performed in Buchbinder et al. [15], Buchbinder and Lyakhovich [49, 50], and Kluson et al. [51].
16.^For simplicity, we will continue to use the same symbol to denote the quantum operators and the corresponding classical variables (when this does not create confusion).
17.^It is important to recall that Hamiltonian (4.24) is equivalent to the original Hamiltonian in (4.22) when ω1 ≠ ω2 a condition that is assumed to hold here (for the quantization of the equal frequency Pais-Uhlenbeck model see e.g., [ 46, 52–55]).
18.^More general assignments, νn1 ≠ ±1 are equivalent because we can always re-normalize the states in a way that νn1 = ±1 as long as there are no zero norm states, which we assume here.
19.^In order to fix d(n1) consider which gives
20.^We require the completeness of the states |x〉 as part of the definition of the vector space.
21.^In ordinary quantum theories , but in the presence of Dirac-Pauli variables this is not generically the case because of the extra i appearing in the eigenvalues of the Dirac-Pauli coordinates and momenta.
22.^If one introduces a more complicated interaction that depends on the other coordinate and momenta V(q, p), the condition is that Re be bounded from below.
23.^Nevertheless the commutators between any two field operators at points separated by a spacelike distance are zero [65], like in usual QFT. In QG, this property can be easily proved by using the expansion of the free ghost field in creation and annihilation operators introduced as in section 4.2.1 and then by applying the unitary operator that transforms the free ghost field in the interacting one.
24.^See also Abe et al. [77] and Donoghue and Menezes [78] for other discussions about unitarity.
25.^This defines PA because an operator is defined once we give all matrix elements in a complete basis.
26.^Different statements in the literature (even recent) appear because some results for the β of f0 (obtained before the correct results of [13]) contained wrong signs.
27.^Similarly, leads to a tachyonic instability in the ghost sector and, therefore, this case is commonly avoided as not even consistent with asymptotic freedom (for a discussion of the tachyonic case see, however, [115–117]).
28.^Some SM extensions including gauge fields, fermions and scalars can feature a UV fixed point for all couplings and their corresponding phenomenology have been studied [125–129].
29.^If a full solution of the ghost problem in quadratic gravity is found and the theory can be made UV complete (possibly with the inclusion of matter fields) one could also have a window on strongly coupled theories through the holographic principle [136, 137] (in particular the AdS/CFT correspondence [138]) by using QG as the higher dimensional theory on an asymptotically anti-de Sitter (AdS) space. Actually, several works in this direction already appear in the literature (see e.g., [139–142]).
References
1.
GoroffMHSagnottiA. Quantum gravity at two loops. Phys Lett. (1985) 160B:81.
2.
GoroffMHSagnottiA. The ultraviolet behavior of einstein gravity. Nucl Phys B (1986) 266:709–36.
3.
UtiyamaRDeWittBS. Renormalization of a classical gravitational field interacting with quantized matter fields. J Math Phys. (1962) 3:608.
4.
StarobinskyAA. A new type of isotropic cosmological models without singularity. Phys Lett. (1980) 91B:99–102. 10.1016/0370-2693(80)90670-X
5.
AdePARAghanimNArnaudMArrojaFAshdownMAumontJet al. Planck 2015 results. XX. Constraints on inflation. Astron Astrophys. (2016) 594:A20. 10.1051/0004-6361/201525898
6.
WeinbergS. Problems in gauge field theories. In: SmithJR editor. The Proceedings of the XVII International Conference on High Energy Physics. Chilton, Didcot: Rutherford Laboratory, III-59 (1974).
7.
DeserS. The state of quantum gravity. In: ArnowittRNathP, editors. The Proceedings of the Conference on Gauge Theories and Modern Field Theory.Cambridge, MA: MIT Press (1975).
8.
StelleKS. Renormalization of higher derivative quantum gravity. Phys Rev D (1977) 16:953–69.
9.
OstrogradskyM.Memoires Sur les équations Différentielles Relatives au Problème des Isopérimètres. Mem. Ac. St. Petersbourg VI (1850), p. 385. Available online at: https://babel.hathitrust.org/cgi/pt?id=mdp.39015038710128;view=1up;seq=405
10.
WeinbergS. In Understanding the Fundamental Constituents of Matter. ZichichiA editor. New York, NY: Plenum Press (1977). [WeinbergS.In General Relativity: An Einstein Centenary Survey. HawkingSWIsraelW editors. (Cambridge: University Press, 1980), p. 790–831.]
11.
BiswasTMazumdarASiegelW. Bouncing universes in string-inspired gravity. J Cosmol Astropart Phys. (2006) 0603:9. 10.1088/1475-7516/2006/03/009
12.
StelleKS. Classical gravity with higher derivatives. Gen Rel Grav. (1978) 9:353–71.
13.
AvramidiIGBarvinskyAO. Asymptotic freedom in higher derivative quantum gravity. Phys Lett. (1985) 159B:269–74. 10.1016/0370-2693(85)90248-5
14.
SalvioAStrumiaA. Agravity up to infinite energy. Eur Phys J C (2018) 78:124. 10.1140/epjc/s10052-018-5588-4
15.
BuchbinderILOdintsovSDShapiroIL. Effective Action in Quantum Gravity. Bristol: IOP (1992).
16.
AvramidiIG. Covariant methods for the calculation of the effective action in quantum field theory and investigation of higher derivative quantum gravity. arXiv:hep-th/9510140.
17.
deBerredo-Peixoto GShapiroIL. Higher derivative quantum gravity with Gauss-Bonnet term. Phys Rev D (2005) 71:064005. 10.1103/PhysRevD.71.064005
18.
ShapiroIL. Effective action of vacuum: semiclassical approach. Class Quant Grav. (2008) 25:103001. 10.1088/0264-9381/25/10/103001
19.
PeterPSallesFDOShapiroIL. On the ghost-induced instability on de Sitter background. arXiv:1801.00063. 10.1103/PhysRevD.97.064044
20.
KannikeKHütsiGPizzaLRacioppiARaidalMSalvioAet al. Dynamically induced planck scale and inflation. J High Energy Phys. (2015) 1505:065. 10.1007/JHEP05(2015)065
21.
SalvioA. Inflationary perturbations in no-Scale theories. Eur Phys J C (2017) 77:267. 10.1140/epjc/s10052-017-4825-6
22.
SotiriouTPFaraoniV. f(R) theories of gravity. Rev Mod Phys. (2010) 82:451. 10.1103/RevModPhys.82.451
23.
HoldomBRenJ. QCD analogy for quantum gravity. Phys Rev D (2016) 93:124030. 10.1103/PhysRevD.93.124030
24.
HoldomBRenJ. Quadratic gravity: from weak to strong. Int J Mod Phys D (2016) 25:1643004. 10.1142/S0218271816430045
25.
WeinbergS. Cosmology. Oxford: Oxford University Press (2008).
26.
HindawiAOvrutBAWaldramD. Consistent spin two coupling and quadratic gravitation. Phys Rev D (1996) 53:5583.
27.
JohnstonDA. Sedentary ghost poles in higher derivative gravity. Nucl Phys B (1988) 297:721–32. 10.1016/0550-3213(88)90555-X
28.
BarvinskyAOBlasDHerrero-ValeaMSibiryakovSMSteinwachsCF. Renormalization of gauge theories in the background-field approach. arXiv:1705.03480. 10.1007/JHEP07(2018)035
29.
WeinbergS. The Quantum Theory of Fields. Vol. 1: Foundations. Cambridge: University press.
30.
FradkinESTseytlinAA. Renormalizable asymptotically free quantum theory of gravity. Nucl Phys B (1982) 201:469–91. 10.1016/0550-3213(82)90444-8
31.
NarainGAnishettyR. Charge renormalization due to graviton loops. J High Energy Phys. (2013) 1307:106. 10.1007/JHEP07(2013)106
32.
NarainGAnishettyR. Running couplings in quantum theory of gravity coupled with gauge fields. J High Energy Phys. (2013) 1310:203. 10.1007/JHEP10(2013)203
33.
SalvioAStrumiaA. Agravity. J High Energy Phys. (2014) 1406:80. 10.1007/JHEP06(2014)080
34.
JulveJToninM. Quantum gravity with higher derivative terms. Nuovo Cim B (1978) 46:137–52.
35.
FradkinESTseytlinAA. Renormalizable asymptotically free quantum theory of gravity. Phys Lett. (1981) 104B:377.
36.
CodelloAPercacciR. Fixed points of higher derivative gravity. Phys Rev Lett. (2006) 97:221301. 10.1103/PhysRevLett.97.221301
37.
EinhornMBJonesDRT. Gauss-Bonnet coupling constant in classically scale-invariant gravity. Phys Rev D. (2015) 91:084039. 10.1103/PhysRevD.91.084039
38.
OhtaNPercacciR. Higher derivative gravity and asymptotic safety in diverse dimensions. Class Quant Grav. (2014) 31:015024. 10.1088/0264-9381/31/1/015024
39.
AnselmiDPivaM. The ultraviolet behavior of quantum gravity. arXiv:1803.07777.
40.
PaisAUhlenbeckGE. On field theories with nonlocalized action. Phys Rev. (1950) 79:145.
41.
PaganiETecchiolliGZerbiniS. On the problem of stability for higher order derivatives: lagrangian systems. Lett Math Phys. (1987) 14:311.
42.
SmilgaAV. Benign versus malicious ghosts in higher-derivative theories. Nucl Phys B (2005) 706:598. 10.1016/j.nuclphysb.2004.10.037
43.
PavšičM. Stable self-interacting Pais-Uhlenbeck oscillator. Mod Phys Lett A (2013) 28:1350165. 10.1142/S0217732313501654
44.
KaparulinDSLyakhovichSLSharapovAA. Classical and quantum stability of higher-derivative dynamics. Eur Phys J C (2014) 74:3072. 10.1140/epjc/s10052-014-3072-3
45.
PavšičM. Pais-Uhlenbeck oscillator and negative energies. Int J Geom Meth Mod Phys. (2016) 13:1630015. 10.1142/S0219887816300154
46.
SmilgaA. Classical and quantum dynamics of higher-derivative systems. Int J Mod Phys A (2017) 32:1730025. 10.1142/S0217751X17300253
47.
IvanovMMTokarevaAA. Cosmology with a light ghost. J Cosmol Astropart Phys. (2016) 1612:018. 10.1088/1475-7516/2016/12/018
48.
TokarevaA. Inflation with light Weyl ghost. EPJ Web Conf. (2016) 125:03020. 10.1051/epjconf/201612503020
49.
BuchbinderILLyakhovichSL. Canonical Quantization and Local Measure of R2 Gravity. Class. Quant. Grav. (1987) 4:1487.
50.
BuchbinderILLyakhovichSL. Canonical quantization of theories with higher derivatives: quantization of R2 gravitation. Theor Math Phys. (1987) 72:824.
51.
KlusonJOksanenMTureanuA. Hamiltonian analysis of curvature-squared gravity with or without conformal invariance. Phys Rev. D (2014) 89:064043. 10.1103/PhysRevD.89.064043
52.
MannheimPDDavidsonA. Dirac quantization of the Pais-Uhlenbeck fourth order oscillator. Phys Rev A (2005) 71:042110. 10.1103/PhysRevA.71.042110
53.
SmilgaAV. Ghost-free higher-derivative theory. Phys Lett B (2006) 632:433. 10.1016/j.physletb.2005.10.014
54.
MannheimPD. Solution to the ghost problem in fourth order derivative theories. Found Phys. (2007) 37:532. 10.1007/s10701-007-9119-7
55.
BolonekKKosinskiP. On double frequency limit of Pais-Uhlenbeck oscillator. arXiv:quant-ph/0612009.
56.
WoodardRP. Avoiding dark energy with 1/r modifications of gravity. Lect Notes Phys. (2007) 720:403. 10.1007/978-3-540-71013-4_14
57.
WoodardRP. Ostrogradsky's theorem on Hamiltonian instability. Scholarpedia (2015) 10:32243. 10.4249/scholarpedia.32243
58.
SalvioAStrumiaA. Quantum mechanics of 4-derivative theories. Eur Phys J C (2016) 76:227. 10.1140/epjc/s10052-016-4079-8
59.
PauliW. On Dirac's new method of field quantization. Rev Mod Phys. (1943) 15:175.
60.
DiracPAM. The physical interpretation of quantum mechanics. Proc. R. Soc Lond. A (1942) 180:1.
61.
HawkingSWHertogT. Living with ghosts. Phys Rev D (2002) 65:103515. 10.1103/PhysRevD.65.103515
62.
BenderCMMannheimPD. Exactly solvable PT-symmetric Hamiltonian having no Hermitian counterpart. Phys Rev D (2008) 78:025022. 10.1103/PhysRevD.78.025022
63.
BenderCMMannheimPD. No-ghost theorem for the fourth-order derivative Pais-Uhlenbeck oscillator model. Phys Rev Lett. (2008) 100:110402. 10.1103/PhysRevLett.100.110402
64.
BoulwareDGGrossDJ. Lee-wick indefinite metric quantization: a functional integral approach. Nucl Phys B (1984) 233:1.
65.
LeeTDWickGC. Finite theory of quantum electrodynamics. Phys Rev D (1970) 2:1033.
66.
ColemanS. Acausality. In ZichichiA editor. Erice 1969, Ettore Majorana School On Subnuclear Phenomena. New York, NY: Academic Press (1970), p. 282–327.
67.
GrinsteinBO'ConnellDWiseMBCausality as an emergent macroscopic phenomenon: the Lee-Wick O(N) model. Phys Rev D (2009) 79:105019. 10.1103/PhysRevD.79.105019
68.
LeeTDWickGC. Negative metric and the unitarity of the S matrix. Nucl Phys B (1969) 9:209.
69.
TomboulisE. Renormalizability and asymptotic freedom in quantum gravity. Phys Lett. (1980) 97B:77.
70.
AntoniadisITomboulisET. Gauge invariance and unitarity in higher derivative quantum gravity. Phys Rev D (1986) 33:2756.
71.
HasslacherBMottolaE. Asymptotically free quantum gravity and black holes. Phys Lett. (1981) 99B:221.
72.
SalvioA. Solving the standard model problems in softened gravity. Phys Rev. D (2016) 94:096007. 10.1103/PhysRevD.94.096007
73.
AnselmiDPivaM. A new formulation of Lee-Wick quantum field theory. J High Energy Phys. (2017) 1706:066. 10.1007/JHEP06(2017)066
74.
AnselmiDPivaM. Perturbative unitarity of Lee-Wick quantum field theory. Phys Rev D (2017) 96:045009. 10.1103/PhysRevD.96.045009
75.
AnselmiD. On the quantum field theory of the gravitational interactions. J High Energy Phys. (2017) 1706:086. 10.1007/JHEP06(2017)086
76.
AnselmiD. Fakeons and Lee-Wick models. (2018). arXiv:1801.00915. 10.1007/JHEP02(2018)141
77.
AbeYInamiTIzumiKKitamuraT. Matter scattering in gravity and unitarity. PTEP (2018) 2018:031E01. 10.1093/ptep/pty010
78.
DonoghueJFMenezesG. Gauge assisted quadratic gravity: a framework for UV complete quantum gravity. (2018). arXiv:1804.04980. 10.1103/PhysRevD.97.126005
79.
FeynmanRP. Negative probability. In: HileyBJPeatFD editors. Quantum Implications: Essays in Honor of David Bohm, Chap. 13. London: Routledge and Kegan Paul (1987), p. 235–48.
80.
BenderCMBrodyDCJonesHF. Complex extension of quantum mechanics. Phys Rev Lett. (2002) 89:270401. Erratum: [Phys. Rev. Lett. (2004) 92:119902].
81.
BenderCM. Making sense of non-Hermitian Hamiltonians. Rept Prog Phys. (2007) 70:947. 10.1088/0034-4885/70/6/R03
82.
MannheimPD. Antilinearity rather than hermiticity as a guiding principle for quantum theory. arXiv:1512.04915.
83.
RaidalMVeermäeH. On the quantisation of complex higher derivative theories and avoiding the ostrogradsky ghost. Nucl Phys B (2017) 916:607. 10.1016/j.nuclphysb.2017.01.024
84.
MannheimPD. Appropriate inner product for PT-symmetric hamiltonians. Phys Rev D (2018) 97:045001. 10.1103/PhysRevD.97.045001
85.
StrumiaA. Interpretation of quantum mechanics with indefinite norm. arXiv:1709.04925
86.
BerkinAL. Contribution of the Weyl tensor to R2 inflation. Phys Rev D (1991) 44:1020.
87.
HamadaKJHorataSYukawaT. Space-time evolution and CMB anisotropies from quantum gravity. Phys Rev D (2006) 74:123502. 10.1103/PhysRevD.74.123502
88.
ClunanTSasakiM. Tensor ghosts in the inflationary cosmology. Class Quant Grav. (2010) 27:165014. 10.1088/0264-9381/27/16/165014
89.
WeinbergS. Asymptotically safe inflation. Phys Rev D (2010) 81:083535. 10.1103/PhysRevD.81.083535
90.
NelsonW. Restricting fourth order gravity via cosmology. Phys Rev D (2010) 82:124044. 10.1103/PhysRevD.82.124044
91.
DeruelleNSasakiMSendoudaYYoussefA. Inflation with a Weyl term, or ghosts at work. J Cosmol Astropart Phys. (2011) 1103:040. 10.1088/1475-7516/2011/03/040
92.
MyungYSMoonT. Primordial massive gravitational waves from Einstein-Chern-Simons-Weyl gravity. J Cosmol Astropart Phys. (2014) 1408:061. 10.1088/1475-7516/2014/08/061
93.
ShapiroILPelinsonAMSallesFO. Gravitational waves and perspectives for quantum gravity. Mod Phys Lett A (2014) 29:1430034. 10.1142/S0217732314300341
94.
MyungYSMoonT. Scale-invariant tensor spectrum from conformal gravity. Mod Phys Lett A (2015) 30:1550172. 10.1142/S0217732315501722
95.
Salles FdO ShapiroIL. Do we have unitary and (super)renormalizable quantum gravity below the Planck scale?Phys Rev. D (2014) 89:084054. Erratum: [Phys Rev D (2014) 90:129903]. 10.1103/PhysRevD.89.084054
96.
AbbottBPAbbottRAbbottTDAbernathyMRAcerneseFAckleyK. [LIGO Scientific and Virgo Collaborations], Observation of gravitational waves from a binary black hole merger. Phys Rev Lett. (2016) 116:061102. arXiv:1602.03837.
97.
NelsonW. Static solutions for 4th order gravity. Phys Rev D (2010) 82:104026. 10.1103/PhysRevD.82.104026
98.
LuHPerkinsAPopeCNStelleKS. Black holes in higher-derivative gravity. Phys Rev Lett. (2015) 114:171601. 10.1103/PhysRevLett.114.171601
99.
HoldomB. On the fate of singularities and horizons in higher derivative gravity. Phys Rev D (2002) 66:084010. 10.1103/PhysRevD.66.084010
100.
LüHPerkinsAPopeCNStelleKS. Spherically symmetric solutions in higher-derivative gravity. Phys Rev D (2015) 92:124019. 10.1103/PhysRevD.92.124019
101.
CaiYFChengGLiuJWangMZhangH. Features and stability analysis of non-Schwarzschild black hole in quadratic gravity. J High Energy Phys. (2016) 1601:108. 10.1007/JHEP01(2016)108
102.
LinKQianWLPavanABAbdallaE. (Anti-) de sitter electrically charged black hole solutions in higher-derivative gravity. EPL (2016) 114:60006. 10.1209/0295-5075/114/60006
103.
LüHPerkinsAPopeCNStelleKS. Lichnerowicz modes and black hole families in ricci quadratic gravity. Phys Rev D (2017) 96:046006. 10.1103/PhysRevD.96.046006
104.
GoldsteinKMashiyaneJJ. Ineffective higher derivative black hole hair. Phys Rev D (2018) 97:024015. 10.1103/PhysRevD.97.024015
105.
KokkotasKKonoplyaRAZhidenkoA. Non-Schwarzschild black-hole metric in four dimensional higher derivative gravity: analytical approximation. Phys Rev D (2017) 96:064007. 10.1103/PhysRevD.96.064007
106.
StelleKS. Abdus Salam and quadratic curvature gravity: vlassical solutions. Int J Mod Phys A (2017) 32:1741012. 10.1142/S0217751X17410123
107.
HoldomBRenJ. Not quite a black hole. Phys Rev D (2017) 95:084034. 10.1103/PhysRevD.95.084034
108.
MyungYS. Stability of Schwarzschild black holes in fourth-order gravity revisited. Phys Rev D (2013) 88:024039. 10.1103/PhysRevD.88.024039
109.
BuchbinderILKalashnikovOKShapiroILVologodskyVBWolfengautJJ. The stability of asymptotic freedom in grand unified models coupled to R2 gravity. Phys Lett B (1989) 216:127.
110.
TomboulisET. Renormalization and unitarity in higher derivative and nonlocal gravity theories. Mod Phys Lett A (2015) 30:1540005. 10.1142/S0217732315400052
111.
EinhornMBJonesDRT. Induced gravity I: real scalar field. J High Energy Phys. (2016) 1601:019. 10.1007/JHEP01(2016)019
112.
EinhornMBJonesDRT. Induced gravity II: grand unification. J High Energy Phys. (2016) 1605:185. 10.1007/JHEP05(2016)185
113.
EinhornMBJonesDRT. Renormalizable, asymptotically free gravity without ghosts or tachyons. Phys Rev D (2017) 96:124025. 10.1103/PhysRevD.96.124025
114.
Alvarez-GaumeLKehagiasAKounnasCLüstDRiottoA. Aspects of quadratic gravity. Fortsch. Phys. (2016) 64:176. 10.1002/prop.201500100
115.
NarainGAnishettyR. Short distance freedom of quantum gravity. Phys Lett B (2012) 711:128. 10.1016/j.physletb.2012.03.070
116.
NarainG. Exorcising ghosts in induced gravity. Eur Phys J C (2017) 77:683. 10.1140/epjc/s10052-017-5249-z
117.
NarainG. Signs and stability in higher-derivative gravity. Int J Mod Phys A (2018) 33:1850031. 10.1142/S0217751X18500318
118.
FradkinESVilkoviskyGA. Conformal invariance and asymptotic freedom in quantum gravity. Phys Lett. (1978) 77B:262.
119.
ZeeAEinstein gravity emerging from quantum Weyl gravity. Ann Phys. (1983) 151:431.
120.
ShapiroILCognolaG. Interaction of low-energy induced gravity with quantized matter and phase transition induced to curvature. Phys Rev D (1995) 51:2775.
121.
HamadaKJ. Resummation and higher order renormalization in 4-D quantum gravity. Prog Theor Phys. (2002) 108:399. 10.1143/PTP.108.399
122.
HamadaKJ. Renormalizable 4D quantum gravity as a perturbed theory from CFT. Found Phys. (2009) 39:1356. 10.1007/s10701-009-9358-x
123.
DonoghueJF. Conformal model of gravitons. Phys Rev. D (2017) 96:044006. 10.1103/PhysRevD.96.044006
124.
AlvarezEAneroJGonzalez-MartinS. Quadratic gravity in first order formalism. J Cosmol Astropart Phys. (2017) 1710:008. 10.1088/1475-7516/2017/10/008
125.
GiudiceGFIsidoriGSalvioAStrumiaA. Softened Gravity and the Extension of the Standard Model up to Infinite Energy. J High Energy Phys. (2015) 1502:137. 10.1007/JHEP02(2015)137
126.
HoldomBRenJZhangC. Stable asymptotically free extensions (SAFEs) of the standard model. J High Energy Phys. (2015) 1503:028. 10.1007/JHEP03(2015)028
127.
PelaggiGMStrumiaAVignaliS. Totally asymptotically free trinification. J High Energy Phys. (2015) 1508:130. 10.1007/JHEP08(2015)130
128.
MannRMeffeJSanninoFSteeleTWangZWZhangC. Asymptotically safe standard model via vectorlike fermions. Phys Rev Lett. (2017) 119:261802. 10.1103/PhysRevLett.119.261802
129.
PelaggiGMPlascenciaADSalvioASanninoFSmirnovJStrumiaA. Asymptotically safe standard model extensions?arXiv:1708.00437. 10.1103/PhysRevD.97.095013
130.
HathrellSJ. Trace anomalies and λϕ4 theory in curved space. Ann Phys. (1982) 139:136.
131.
HathrellSJ. Trace anomalies and QED in curved space. Anna Phys. (1982) 142:34.
132.
JackIOsbornH. Analogs for the c theorem for four-dimensional renormalizable field theories. Nucl Phys B (1990) 343:647.
133.
hapiroILZheksenaevAG. Gauge dependence in higher derivative quantum gravity and the conformal anomaly problem. Phys Lett B (1994) 324:286.
134.
deBerredo-Peixoto GShapiroIL. Conformal quantum gravity with the Gauss-Bonnet term. Phys Rev. (2003) D70:044024. 10.1103/PhysRevD.70.044024
135.
OhtaNPercacciR. Ultraviolet fixed points in conformal gravity and general quadratic theories. Class Quant Grav. (2016) 33:035001. 10.1088/0264-9381/33/3/035001
136.
t HooftG. Dimensional reduction in quantum gravity. Conf Proc C (1993) 930308:284.
137.
SusskindL. The World as a hologram. J Math Phys. (1995) 36:6377.
138.
MaldacenaJM. The large N limit of superconformal field theories and supergravity. Int J Theor Phys. (1999) 38:1113. [Adv Theor Math Phys. (1998) 2:231].
139.
FukumaMMatsuuraS. Holographic renormalization group structure in higher derivative gravity. Prog Theor Phys. (2002) 107:1085. 10.1143/PTP.107.1085
140.
DongX. Holographic entanglement entropy for general higher derivative gravity. J High Energy Phys. (2014) 1401:044. 10.1007/JHEP01(2014)044
141.
ErdmengerJFloryMSleightC. Conditions on holographic entangling surfaces in higher curvature gravity. J High Energy Phys. (2014) 1406:104. 10.1007/JHEP06(2014)104
142.
BhattacharjeeSSarkarSWallAC. Holographic entropy increases in quadratic curvature gravity. Phys Rev D (2015) 92:064006. 10.1103/PhysRevD.92.064006
Summary
Keywords
renormalization group, gravity, fixed point, relativity, field theory
Citation
Salvio A (2018) Quadratic Gravity. Front. Phys. 6:77. doi: 10.3389/fphy.2018.00077
Received
26 April 2018
Accepted
29 June 2018
Published
14 August 2018
Volume
6 - 2018
Edited by
Osvaldo Civitarese, National University of La Plata, Argentina
Reviewed by
Marika Taylor, University of Southampton, United Kingdom; Alan Stanley Cornell, University of the Witwatersrand, South Africa
Updates
Copyright
© 2018 Salvio.
This is an open-access article distributed under the terms of the Creative Commons Attribution License (CC BY). The use, distribution or reproduction in other forums is permitted, provided the original author(s) and the copyright owner(s) are credited and that the original publication in this journal is cited, in accordance with accepted academic practice. No use, distribution or reproduction is permitted which does not comply with these terms.
*Correspondence: Alberto Salvio alberto.salvio@cern.ch
This article was submitted to High-Energy and Astroparticle Physics, a section of the journal Frontiers in Physics
Disclaimer
All claims expressed in this article are solely those of the authors and do not necessarily represent those of their affiliated organizations, or those of the publisher, the editors and the reviewers. Any product that may be evaluated in this article or claim that may be made by its manufacturer is not guaranteed or endorsed by the publisher.