Abstract
The dynamics of complex networks are closely related to the topological structure. As an important research branch, the problem of network consensus has attracted more attention. In this paper, the first-order coherence of three kinds of symmetric star topology networks are studied by using the theory of network science. Firstly, three kinds of symmetric star topology network models are given. Secondly, the first-order coherence of these networks are calculated by using matrix theory. The relationships among the first-order coherence of the network and branch length and the number of branches change are obtained by numerical simulation. Finally, we found that the third network has the best consensus, and the change of branch length has more effective impact on network consensus.
1 Introduction
Complex networks take the networks topology and the dynamic models of networks nodes as the main research object. With the help of mathematical science and information science, complex networks are widely applied in neural networks, social networks, control theory, and consensus [1–4]. The problem of networks consensus means that networks reach a common decision on a certain issue. It can be quantified by network coherence. Examples of consensus widely exist in real life, such as groups of animals will produce consensus behavior in one direction after being disturbed. The consensus of complex network have many potential applications, such as information control and decision, load balancing [5–7].
Scholars take common networks topology as the main research object, and have achieved abundant theoretical results [8–16]. Y. Yi et al. took Koch Network as the research object to study the first-order coherence of Koch network with leaderless and one leader [8]. M. Dai et al. investigated the first-order coherence of a class of weighted fractal networks, and further analyzed the relationships between iterative parameters and first-order coherence [9]. X. Wang et al. obtained the first-order coherence of 5-rose network and further analyzed the relationships between the first-order coherence and the number of nodes [13]. T. Jing et al. studied the first-order coherence of ring-trees networks and recursive trees, and found that the first-order coherence of ring-trees networks are better than that of recursive trees [16].
As a common computer local area network structure, star topology networks have simple structure and only one central node, which are convenient for management and maintenance, and have strong expansibility. Each node is directly connected to the central node. The fault is easy to detect and isolate, and the faulty nodes can be easily eliminated. They have a wide range of applications in physics, computer and other disciplines [17–19]. S. Jafarizadeh et al. studied the optimization of synchronizability of symmetric star topology networks with different intra-layer coupling strength [20]. S. Patterson et al. studied the consensus dynamics of various networks, including star networks, and obtained the coherence of various networks [21]. J. Chen et al. proposed graph operation method to construct the network models of book graph on the basis of star networks, and analyzed the influence of network internal parameters on its coherence. It is found that the more nodes in the star graph, the better the consensus of the book graph network [22]. D. Huang et al. studied the Laplacian spectrum of several double-layer star-like networks, and analyzed and compared the coherence of these networks [23].
In this paper, the consensus of symmetric star topology networks are studied by using the spectrum theory. The innovations of this paper are as follows:
1. We proposed three new connection modes of symmetric star topology networks with the same number of nodes, which provided a research basis for comparing the coherence of the three networks.
2. According to the topology of three kinds of networks, the corresponding Laplacian characteristic polynomial is obtained, and then the specific expressions of first-order coherence are given.
3. The relationships between the coherence of star networks and parameters are analyzed by numerical simulation. It is found that no matter how the branch length and the number of branches change, only one of the three kinds of network models has the best consensus, and the change of branch length has more effective impact on consensus.
This paper is organized as follows: the preliminaries are given in Section 2. The analytical formula of the first-order coherence of three kinds of symmetric star networks are given in Section 3. Numerical simulation experiments and analysis are given in Section 4. Section 5 gives the conclusion.
2 Preliminaries
2.1 The Laplacian Matrix and Eigenvalue Spectrum of Networks
Let G = (V, E) be a undirected and connected network, where V = {1, 2, 3, … , n − 1, n} is the network vertex set and E = {e1, e2, e3, … , em−1, em} is the network edge set. The adjacency matrix of the network is denoted as . When i is connected to j, aij = 1, otherwise, aij = 0. The degree matrix of the network is written as , where is the degree of node i. The Laplacian matrix of the network is denoted by L = W − A, and the root of the corresponding characteristic polynomial det(λI − L) is called the Laplacian eigenvalue of the network. According to the semi-positive property of the Laplacian matrix, all eigenvalues λ1, λ2, λ3, … , λn−1, λn of the matrix are non-negative. Moreover, the multiplicity of the zero eigenvalue of the matrix is the same as the number of connected branches of the network, Therefore, it is assumed that the eigenvalues satisfy 0 = λ1 < λ2 ≤ λ3 ≤ ⋯ ≤ λn−1 ≤ λn for connected network G.
2.2 The Relationships Among Network Coherence and Laplacian Eigenvalues
The network dynamics model with noise interference is written as follows [21].
L is the Laplacian matrix of the network, σ(t) represents the interference of Gaussian white noise on all nodes of the network at t. In the case of σ(t) = 0, the networks are not interfered by noise, which tends to be consensus at this time. In the case of σ(t) ≠0, the network is interfered, which can not be completely consensus and will change around the average value of the network.
Definition 1The concept of first-order network coherence is the steady-state variance deviating from the average value of all nodes [21].The first-order coherence of the network can be derived by the non-zero eigenvalues of the Laplacian matrix [21], the specific relationship is as follows:According to the definition of first-order coherence, the smaller H(1) is, the better the consensus of the network is.
2.3 Compute the Required Lemmas
In order to get the main conclusions of this paper, the following lemmas are given.
Lemma 1Let the corresponding characteristic polynomial of matrix Bn be Fn(λ) = |λI − Bn| = anλn + ⋯ + a2λ2 + a1λ + a0,then a0 = (−1)n(n + 1), , . Proof. According to the relationships among the coefficients of characteristic polynomial and the principal minors of matrix, a0 = (−1)n|Bn|, then .Just for the sake of proof, let the diagonal elements of matrix Bn be bii(1 ≤ i ≤ n), thenWhen n = 1, a2 = 0, conclusion is tenable. We assume that n ≤ i, conclusion is tenable. When n = i + 1, Fi+1(λ) = (λ − 2)Fi(λ) − Fi−1(λ). Let Fi(0), Fi(1) and Fi(2) be the constant term, first-order coefficient and quadratic coefficient of the characteristic polynomial of Bi, , conclusion is tenable.
Lemma 2Let the corresponding characteristic polynomial of matrix Cn be Qn(λ) = |λI − Cn| = bnλn + ⋯ + b2λ2 + b1λ + b0, where,then b0 = (−1)n, , . Proof. Let Qi(0), Qi(1) and Qi(2) be the constant term, first-order coefficient and quadratic coefficient of the characteristic polynomial of Ci. Qn(λ) = Fn(λ) + Fn−1(λ), using Lemma 1, b0 = Qn(0) = Fn(0) + Fn−1(0) = (−1)n(n + 1) + (−1)n−1n = (−1)n, , .
3 The First-Order Coherence of Three Kinds of Symmetric Star Topology Networks
3.1 The First-Order Coherence of Symmetric Star Topology Networks Sa(m, n)
Let the star network with m branches be Sa(m, 1), and appropriately extend its branch length to increase its length from 1 to n form a symmetric star topology network Sa(m, n) [20]. As is shown in Figure 1A.
FIGURE 1

(A) S a (5, 4), (B)Sb(5, 4), (C)Sc(5, 4).
Let the Laplacian matrix of Sa(m, n) be L1, the characteristic polynomial is P1(λ) = |λI − L1|. |λI − L1| =
We use elementary row transformation to transform it into the lower triangular determinant,where ∗ = λ − m − m/pn(λ), p1(λ) = λ − 1, pi(λ) = λ − 2–1/pi−1(λ) (2 ≤ i ≤ n).
Therefore, , where H1(λ) = p1(λ)p2(λ)⋯pn(λ) = Qn(λ), J1(λ) = [(λ − m)Qn(λ) − mQn−1(λ)].
According to the preliminaries, the zero eigenvalue of P1(λ) appears J1(λ), let 0 < γ1 ≤ γ2 ≤ γ3 ≤ ⋯ ≤ γn be the Laplacian eigenvalues of H1(λ), 0 = δ1 ≤ δ2 ≤ δ3 ≤ ⋯ ≤ δn ≤ δn+1 be the Laplacian eigenvalues of J1(λ).
The first-order coherence of Sa(m, n) is
Proof. It can be inferred from preliminaries
We first calculate by the Vieta theorem and Lemma 2 [16],
We further calculate .
Let J1(λ) = cn+1λn+1 + cnλn⋯ + c2λ2 + c1λ, then
We use the Vieta theorem again, . Because of J1(λ) = [(λ − m)Qn(λ) − mQn−1(λ)], therefore,
Then,
Therefore,
3.2 The First-Order Coherence of Symmetric Star Topology Networks Sb(m, n)
Consider adding the connection relations of nodes of symmetric star topology networks Sa(m, n). The symmetric star topology networks with fully connected nodes at the second layer are denoted as Sb(m, n). As is shown in Figure 1B.
Let the Laplacian matrix of Sb(m, n) be L2, the characteristic polynomial is P2(λ) = |λI − L2|. |λI − L2| =where ⊗ = λ − m − 1.
Similar to Theorem 1, , where H2(λ) = (λ − m − 2)Qn−1(λ) − Qn−2(λ), J2(λ) = [(λ2 − (m + 2)λ + m)Qn−1(λ) − (λ − m)Qn−2(λ)].
The zero eigenvalue of P2(λ) appears J2(λ), let 0 < ω1 ≤ ω2 ≤ ω3 ≤ ⋯ ≤ ωn be the Laplacian eigenvalues of H2(λ), 0 = ψ1 ≤ ψ2 ≤ ψ3 ≤ ⋯ ≤ ψn ≤ ψn+1 be the Laplacian eigenvalues of J2(λ).
The first-order coherence of Sb(m, n) is.
.
Proof. Similar to Theorem 1,
First, we calculate .
Let H2(λ) = (λ − m − 2)Qn−1(λ) − Qn−2(λ) = dnλn + ⋯ + d2λ2 + d1λ + d0, then,
Based on the Vieta theorem,
Second, we calculate .
Let . We use the Vieta theorem again, . Because of J2(λ) = (λ2 − (m + 2)λ + m)Qn−1(λ) − (λ − m)Qn−2(λ), therefore, e1 = (−1)n−2(mn + 1), e2 = (−1)n−1 + (−1)n−1(n − 1) (mn + n + 2)/2 + (−1)n−3m(n − 2) (n − 1)n/6. Then,
Therefore, .
3.3 The First-Order Coherence of Symmetric Star Topology Networks Sc(m, n)
The symmetric star topology networks with fully connected nodes at the third layer are denoted as Sc(m, n). As is shown in Figure 1C. Let the Laplacian matrix of Sc(m, n) be L3, the characteristic polynomial is P3(λ) = |λI − L3|. |λI − L3| =where ⊗ = λ − m − 1.
Similar to Theorem 1, , where H3(λ) = (λ2 − (m + 4)λ + 2m + 3)Qn−2(λ) − (λ − 2)Qn−3(λ), .
The zero eigenvalue of P3(λ) appears J3(λ), let 0 < θ1 ≤ θ2 ≤ θ3 ≤ ⋯ ≤ θn be the Laplacian eigenvalues of H3(λ), 0 = ν1 ≤ ν2 ≤ ν3 ≤ ⋯ ≤ νn ≤ νn+1 be the Laplacian eigenvalues of J3(λ).
The first-order coherence of Sc(m, n) is
.
Proof. Similar to Theorem 1,
First, we calculate .
Let H3(λ) = [(λ2 − (m + 4)λ + 2m + 3)Qn−2(λ) − (λ − 2)Qn−3(λ)] = fnλn + ⋯ + f2λ2 + f1λ + f0, then, f0 = (−1)n−2(2m + 1), .
By the Vieta theorem,
Second, we calculate . Let 1 = (−1)n−2(mn + 1), .
Then,
Therefore, .
4 Numerical Simulation Experiment and Analysis
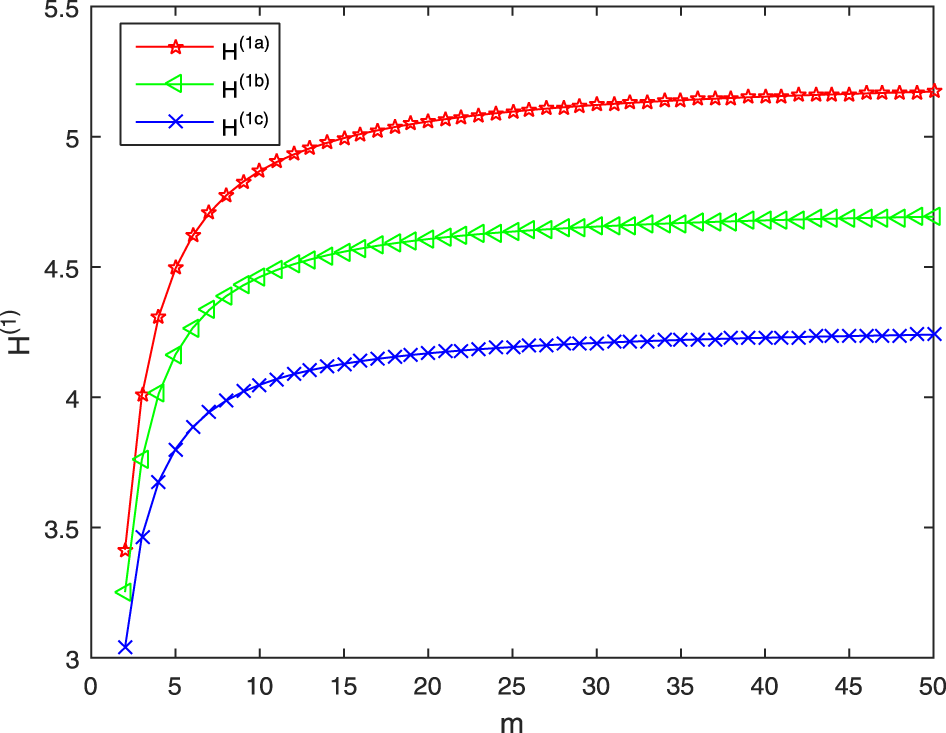
When n = 20, Figure 2 shows the relationships among the first-order coherence H(1a)(H(1b), H(1c)) of Sa(m, n) (Sb(m, n), Sc(m, n)) and m. As m increases to 50, H(1a) increases from 3.4146 to 5.1731, H(1b) increases from 3.2520 to 4.6932, H(1c) increases from 3.0390 to 4.2402. The smaller H(1) is, the better the consensus of the network is. Therefore, when n is fixed, the consensus of three networks get weaker with the increase of m. The consensus of Sa(m, n) is the worst, Sc(m, n) is the best. Further, when m is sufficiently large, the first-order coherence of three networks are close to the fixed value, and the consensus of three networks will not weaken with the increase of m.
FIGURE 2

Comparison of three networks H(1) with m.
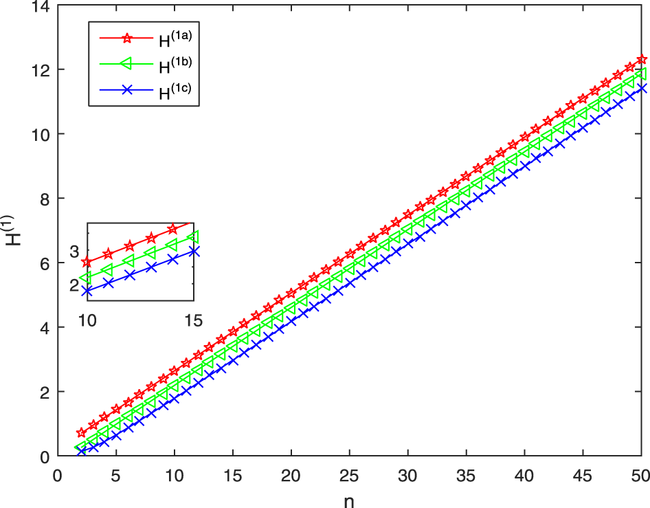
When m = 20, Figure 3 shows the relationships among the first-order coherence H(1a)(H(1b), H(1c)) and n. As n increases to 50, H(1a) monotonically increased from 0.702 to 12.3089, H(1b) monotonically increases from 0.2606 to 11.8569, H(1c) monotonically increases from 0.1368 to 11.3969. Therefore, when m is fixed, the consensus of three networks get weaker with the increase of m, and the consensus of Sa(m, n) is the worst, Sc(m, n) is the best.
FIGURE 3

Comparison of three networks H(1) with n.
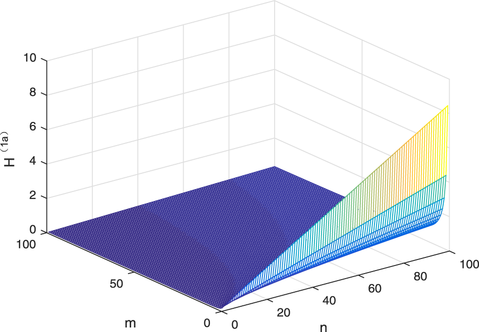
Figure 4 shows the relationships among the first-order coherence H(1a) of Sa(m, n) and the parameters m and n as a special case. When m and n increase to 100, the consensus of network continues to weaken. We find that the effect of n on consensus is much stronger than m.
FIGURE 4

The relationship among H(1a) and m, n.
5 Main Results
This paper studies the consensus of three kinds of symmetric star topology networks. Based on the relationships between Laplacian eigenvalues and characteristic polynomial coefficients, the specific expressions of three kinds of network coherence are calculated. Numerical simulation experiments verify the validity of the theoretical results. When the length of the path n in the symmetric star topology networks are fixed, with the increase of the number of branches m, the consensus of three kinds of networks first weaken and then remain unchanged, the consensus of Sa(m, n) is the worst, Sc(m, n) is the best. When the number of branches m in the networks are fixed, the consensus of the three kinds of networks become weaker with the increase of the length of the path n, the consensus of Sa(m, n) is the worst, Sc(m, n) is the best. When m and n change at the same time, the effect of n on consensus is much stronger than m.
Statements
Data availability statement
The original contributions presented in the study are included in the article/Supplementary Material, further inquiries can be directed to the corresponding author.
Author contributions
Conceptualization, HG and JZ; methodology, HG and JZ; software, LZ and XC; validation, HG, JZ, and XL; formal analysis, HG and XC; writing—original draft preparation, HG and JZ; writing—review and editing, XL; supervision, XL and XC; project administration, HG. All authors contributed to manuscript revision, read, and approved the submitted version.
Funding
This work was supported by the National Natural Science Foundation of China (no. 61802316) and the National Science Foundation of Xinjiang (NSFXJ) (no. 2021D01A65), the National Science Foundation of Xinjiang (NSFXJ) (no. 2021D01B35), Scientific Research Project of Xinjiang Institute of Engineering (no. 2012XGZ111312), School level project of Xinjiang institute of Light industry Technology (no. XJQG2022S16), National innovation and entrepreneurship training program for College Students (no. 202110994006).
Acknowledgments
We express our sincere gratitude to the persons who gave us valuable comments.
Conflict of interest
The authors declare that the research was conducted in the absence of any commercial or financial relationships that could be construed as a potential conflict of interest.
Publisher’s note
All claims expressed in this article are solely those of the authors and do not necessarily represent those of their affiliated organizations, or those of the publisher, the editors and the reviewers. Any product that may be evaluated in this article, or claim that may be made by its manufacturer, is not guaranteed or endorsed by the publisher.
References
1.
Parastesh F Azarnoush H Jafari S Hatef B Perc M Repnik R . Synchronizability of Two Neurons with Switching in the Coupling. Appl Maths Comput (2019) 350:217–23. 10.1016/j.amc.2019.01.011
2.
Bara A Ravasz E Schubert A . Evolution of the Social Network of Scientific Collaborations. Physica A-Statistical Mech Its Appl (2002) 311(3):590–614. 10.1016/s0378-4371(02)00736-7
3.
Bullmore E Sporns O . Complex Brain Networks: Graph Theoretical Analysis of Structural and Functional Systems. Nat Rev Neurosci (2009) 10:186–98. 10.1038/nrn2575
4.
Shang Y . Consensus and Clustering of Expressed and Private Opinions in Dynamical Networks against Attacks. IEEE Syst J (2020) 14(2):2078–84. 10.1109/jsyst.2019.2956116
5.
Qiang J Tang W . Consensus of Multi-Agents with Event-Based Nonlinear Coupling over Time-Varying Digraphs. IEEE Trans Circuits Syst Express Briefs (2018) 65(12):1969–73.
6.
Tian D Zhou J Sheng Z . An Adaptive Fusion Strategy for Distributed Information Estimation over Cooperative Multi-Agent Networks. IEEE Trans Inf Theor (2017) 63:3076–91. 10.1109/tit.2017.2674678
7.
Kim B Ahn H . Consensus-based Coordination and Control for Building Automation Systems. IEEE Trans Control Syst Tech (2014) 23(1):364–71.
8.
Yi Y Zhang Z Shan L Chen G . Robustness of First-And Second-Order Consensus Algorithms for a Noisy Scale-free Small-World Koch Network. IEEE Trans Control Syst Tech (2016) 25(1):342–50.
9.
Dai M He J Zong Y Ju T Sun Y Su W . Coherence Analysis of a Class of Weighted Networks. Chaos (2018) 28:043110. Article ID 043110. 10.1063/1.4997059
10.
Bai J Yu Y . Neural Networks Based Adaptive Consensus for a Class of Fractional-Order Uncertain Nonlinear Multiagent Systems. Complexity (2018) 2018:9014787. Article ID 9014787. 10.1155/2018/9014787
11.
Zong Y Dai M Wang X He J Zou J Su W . Network Coherence and Eigentime Identity on a Family of Weighted Fractal Networks. Chaos, Solitons & Fractals (2018) 109:184–94. 10.1016/j.chaos.2018.02.020
12.
Sun W Sun M Guan J Jia Q . Robustness of Coherence in Noisy Scale-free Networks and Applications to Identification of Influential Spreaders. IEEE Trans Circuits Syst Express Briefs (2019) 67(7):1274–8.
13.
Wang X Xu H Dai M . First-order Network Coherence in 5-rose Graphs. Physica A: Stat Mech its Appl (2019) 527. 10.1016/j.physa.2019.121129
14.
Huang D Zhu J Yu Z Jiang H . On Consensus index of Triplex star-like Networks: a Graph Spectra Approach. Symmetry (2021) 13(7):1248. Article ID 1248. 10.3390/sym13071248
15.
Yu Z Huang D Jiang H Hu C . Consensus of Second-Order Multi-Agent Systems with Nonlinear Dynamics via Edge-Based Distributed Adaptive Protocols. J Franklin Inst (2016) 353(18):4821–44. 10.1016/j.jfranklin.2016.09.015
16.
Jing T Yang L Sun W . Exact Calculations of Network Coherence in Weighted Ring-Trees Networks and Recursive Trees. Physica Scripta (2021) 96(8):085217. Article ID 085217. 10.1088/1402-4896/ac0277
17.
Su G Xiong Q Zhang Y . Intriguing Effects of Underlying star Topology in Schelling's Model with Blocks. Phys Rev E (2020) 102(1):012317. Article ID 012317. 10.1103/PhysRevE.102.012317
18.
Norton MM Tompkins N Blanc B Cambria MC Held J Fraden S . Dynamics of Reaction-Diffusion Oscillators in star and Other Networks with Cyclic Symmetries Exhibiting Multiple Clusters. Phys Rev Lett (2019) 123(14):148301. Article ID 148301. 10.1103/PhysRevLett.123.148301
19.
Mahesh T Khurana D Krithika V Sreejith G Kumar C . Star-topology Registers: NMR and Quantum Information Perspectives. J Phys Condensed Matter (2021) 33(38):383002. Article ID 383002. 10.1088/1361-648x/ac0dd3
20.
Jafarizadeh S Tofifigh F Lipman J Abolhasan M . Optimizing Synchronizability in Networks of Coupled Systems. Automatica (2020) 112:108711. Article ID 108711. 10.1016/j.automatica.2019.108711
21.
Patterson S Bamieh B . Consensus and Coherence in Fractal Networks. IEEE Trans Control Netw Syst (2014) 1(4):338–48. 10.1109/tcns.2014.2357552
22.
Chen J Li Y Sun W . Network Coherence in a Family of Bookgraphs. Front Phys (2020) 8:583603. Article ID 583603. 10.3389/fphy.2020.583603
23.
Huang D Bian J Jiang H Yu Z . Consensus Indices of Two Layered Multi-Star Networks: An Application of Laplacian Spectrum. Front Phys (2021) 9:803941. Article ID 803941. 10.3389/fphy.2021.803941
Summary
Keywords
symmetric star topology networks, first-order coherence, laplacian matrix, simulation experiment, consensus
Citation
Gao H, Zhu J, Chen X, Zhang L and Li X (2022) Coherence Analysis of Symmetric Star Topology Networks. Front. Phys. 10:876994. doi: 10.3389/fphy.2022.876994
Received
16 February 2022
Accepted
15 March 2022
Published
05 May 2022
Volume
10 - 2022
Edited by
José Tadeu Lunardi, Universidade Estadual de Ponta Grossa, Brazil
Reviewed by
Yilun Shang, Northumbria University, United Kingdom
Antonio Marcos Batista, Universidade Estadual de Ponta Grossa, Brazil
Updates
Copyright
© 2022 Gao, Zhu, Chen, Zhang and Li.
This is an open-access article distributed under the terms of the Creative Commons Attribution License (CC BY). The use, distribution or reproduction in other forums is permitted, provided the original author(s) and the copyright owner(s) are credited and that the original publication in this journal is cited, in accordance with accepted academic practice. No use, distribution or reproduction is permitted which does not comply with these terms.
*Correspondence: Jian Zhu, zj17@xjie.edu.cn
This article was submitted to Statistical and Computational Physics, a section of the journal Frontiers in Physics
Disclaimer
All claims expressed in this article are solely those of the authors and do not necessarily represent those of their affiliated organizations, or those of the publisher, the editors and the reviewers. Any product that may be evaluated in this article or claim that may be made by its manufacturer is not guaranteed or endorsed by the publisher.