Your new experience awaits. Try the new design now and help us make it even better

ORIGINAL RESEARCH article

Front. Phys., 29 August 2024

Sec. Condensed Matter Physics

Volume 12 - 2024 | https://doi.org/10.3389/fphy.2024.1440069

This article is part of the Research TopicExploring Transition Metal Dichalcogenides: Unveiling the New Era of 2D Material ScienceView all articles

Transition metal dichalcogenides: magneto-polarons and resonant Raman scattering

C. Trallero-Giner
C. Trallero-Giner1*D. G. Santiago-PrezD. G. Santiago-Pérez2D. V. TkachenkoD. V. Tkachenko3G. E. MarquesG. E. Marques1V. M. Fomin,V. M. Fomin4,5
  • 1Departamento de Física, Universidade Federal de São Carlos, São Carlos, São Paulo, Brazil
  • 2Departamento de Física, Centro de Investigación en Ciencias-IICBA, Universidad Autónoma del Estado de Morelos, Cuernavaca, Morelos, Mexico
  • 3Department of Physics and Mathematics, Pridnestrovian State University, Tiraspol, Moldova
  • 4Institute for Emerging Electronic Technologies (IET), Leibniz Institute for Solid State and Materials Research (IFW) Dresden, Dresden, Germany
  • 5Faculty of Physics and Engineering, Moldova State University, Chişinău, Moldova

Topological two-dimensional transition metal dichalcogenides (TMDs) have a wide range of promising applications and are the subject of intense basic scientific research. Due to the existence of a direct optical bandgap, nano-optics and nano-optoelectronics employing monolayer TMDs are at the center of the development of next-generation devices. Magneto-resonant Raman scattering (MRRS) is a non-destructive fundamental technique that enables the study of magneto-electronic levels for TMD semiconductor device applications and hitherto unexplored optical transitions. Raman intensity in a Faraday backscattering configuration as a function of the magnetic field B, laser energy, and the circular polarization of light reveals a set of incoming and outgoing resonances with particular spin orientations and magneto-optical interband transitions at the K- and K-valleys of the Brillouin zone. This fact unequivocally allows for a straightforward determination of the important band parameters of TMD materials. A generalization of the MRRS theory is performed for the description of the magneto-polaron (MP) effects in the first-order light scattering process. It shows how strongly the simultaneous presence of the conduction and valence bands modifies the MP energy spectrum. The resonant MP Raman intensity reveals three resonant splitting processes of double avoided-crossing levels reflecting the electron-hole pair energy spectrum. The scattering profile allows for quantifying the relative contribution of the conduction and valence bands in the formation of MPs. Many avoided-crossing points due to the electron–phonon interaction in the MP spectrum, a superposition of the electron and hole states in the excitation branches, and their impact on Raman scattering are exceptional features of monolayer TMDs. Based on this, the reported theoretical studies open a pathway toward MRRS and resonant MP Raman scattering characterization of two-dimensional materials.

1 Introduction

Application of a magnetic field B leads to sharp features and strong oscillations in the first-order magneto-resonant Raman scattering (MRRS) intensity. The scattering efficiency is enhanced whenever an interband magneto-optical transition between Landau levels occurs [1]. Magneto-resonant spectroscopy is a very efficient tool for describing the electronic structure, determining the mixing effect of the valence bands, the electron-hole correlation, and for evaluating the band non-parabolicity in bulk semiconductors [2]. Furthermore, by employing different scattering configurations, MRRS allows for a manipulation of the intermediate electron–hole pair (EHP) states and their symmetry properties, while the relative intensities can be controlled by tuning the field. Two-dimensional (2D) materials in the presence of an external field B possess Dirac δ-singularities in the density of states, reinforcing the physical properties of the systems. MRRS is a powerful non-destructive tool used to study the total quantization of the EHP energy in 2D transition metal dichalcogenide (TMD) semiconductors [3]. By adjusting the laser energy and B, MRRS spectroscopy is a unique tool allowing one to analyze the fundamental differences between bulk systems and various 2D structures. The variations of the MRRS intensity with B open a promising road to novel efficient magneto-optical devices such as sensors and optical switches [4].

In a monolayer (ML) TMD, the optical phonon modes at the Γ-point of the Brillouin zone (BZ) belong to the symmetry group D3h [5] with irreducible representations E, E, A1, and A2 [6]. The modes with E(LO, TO) symmetry correspond to longitudinal LO and transverse TO in-plane oscillations, while the irreducible representation A(ZO) is related to an out-of-plane ZO-phonon. The Raman tensors are written as [7].

E:d0d10d1d00000;A1:f0000f0000g0,(1)

where d0, d1, f0, and g0 are the Raman polarizabilities.

We are searching the MRRS in 2D TMDs at the points K or K of the Brillouin zone in the presence of the field B perpendicular to the plane (see Figure 1A). The first-order scattering process is a three-step process, represented in Figure 1B. First, the incoming light creates an EHP in the virtual state μ1 with quantum numbers (Ne,key;Nh,khy). Second, the EHP transition μ1=Ne,key;Nh,khyμ2=Ne,key;Nh,khy takes place after the emission of an optical phonon ωo by the electron or hole. Finally, the EHP is annihilated, emitting a photon of frequency ωs. A quantitative picture of the scattering efficiencies allows us to delineate the key factors involved in the interband magneto-optical transitions between the conduction and valence bands at the K- or K-points of the BZ, as well as to obtain valuable information about the fan plots of the Landau levels [2]. Having access to analytical models that can describe the MRRS in TMD materials becomes a necessity for understanding the Raman measurements. This allows for acquiring knowledge about the electron–phonon interaction and the band structure of the materials under study, as well as manipulating the Raman intensity through B and the laser energy.

Figure 1
www.frontiersin.org

Figure 1. (A) Scheme of the magneto-Raman scattering measurement in a ML TMD in the Faraday backscattering configurations Z̄(σ±,σ±)Z with the magnetic field Bez, σ±=ex±ey the polarization vector of the circularly polarized light, and ωl (ωs) the incident (scattered) photon frequency. (B) Resonant first-order scattering amplitude WFI. Full circles and a square represent the electron–radiation and electron–phonon interactions, correspondingly, ωo the optical phonon frequency with the phonon wave vector q, μ = (Ne,key;Nh,ky) the virtual EHP states with the electron (hole) Landau level Ne (Nh) and the wave vector key (khy) along the y-direction.

At high magnetic fields, the Landau levels in the conduction or valence bands can be coupled by the energy of one optical phonon. This resonance effect is due to the electron–phonon interaction (EPI), lifting the degeneracy between two Landau levels separated by an optical phonon; i.e., a resonant magneto-polaron (MP) coupling occurs. This effect was predicted in 1961 [8] and experimentally observed in the magneto-resistance of n-InSb [9]. MP effects have a huge impact on the transport properties [10], magneto-conductivity [11], cyclotron resonance [12], and magneto-optical properties [13]. Resonant magneto-polaron Raman scattering (RMPRS) measurements are useful to get accurate information on the band parameters in bulk semiconductors [14], phonon-impurity capture processes in Si [15], to describe the plasmon-LO–phonon interaction as a function of B [16], to study the quantum Hall effect and disorder in the graphene layers [17, 18]. A model describing RMPRS in III–IV bulk semiconductors was developed in [19, 20], where Raman intensities were reported for the scattering configurations, when an LO–phonon is emitted via intraband processes due to the Pekar-Fröhlich (PF) EPI or interband transitions owing to the deformation potential (DP) EPI. In the MP range, the intermediate EHP virtual states are renormalized by PF and DP interactions. MP resonances in graphene were addressed in the literature. The electronic states in a high field give rise to a series of discrete Landau levels, which couple to the E2g-phonon [18, 21, 22].

This paper presents a rigorous description of RMPRS in an ML TMD on the basis of Green’s function formalism. We find the peculiarities of the EHP MP spectrum that includes the coupling of the different Landau states for the electrons and holes with EPI in a systematic way. The MPRRS studies are required for characterizing TMD semiconductors [23] and for the study of disorder and doping in 2D materials [24, 25].

Our main objective is to describe the effects of a magnetic field on RRS in ML TMD semiconductors. For a better understanding and aiming at comparison of results, we split the study into processes with and without MP resonances. Section 2 describes general aspects of the first-order RSS in a magnetic field and magneto-Raman selection rules, and an explicit expression for the scattering efficiency via the A1-DP EPI is derived. Furthermore, an analysis of the incoming and outgoing resonances in different scattering configurations with circularly polarized light and its relationship to the symmetry of the band parameters (effective masses and EH g-factors) of ML TX2-family (T = Mo, W; X = S, Se, and Te) at the K- and K-valleys are discussed. In Section 2.4, by employing Green’s function formalism, a generalization of the results of Subsection 2.1 on RMPRS is performed including the MP effects on Raman scattering. Conclusion is listed in Section 3. The detailed calculations of Raman intensities and the procedure for obtaining the MP spectrum are summarized in the Supplementary Material.

2 One-phonon resonant Raman scattering in 2D TMD in a magnetic field

The differential Raman scattering cross-section 2σ/(Ωωs) per unit solid angle Ω and per unit scattered frequency ωs is related to the scattering amplitude WFI [26] from the initial state I of the system in the presence of an incident photon of frequency ωl to the final state F for Stokes scattering by an optical phonon ωo. It can be written as [27]

2σΩωsWFI2δωlωsωo.(2)

In resonance, the main contribution of the first-order MRRS amplitude WFI is represented by the Feynman diagram in Figure 1B; thus, it follows that

WFI=μ1,μ2FĤER+σ±Ψμ2Gμ20ωlωoΨμ2ĤEPΨμ1×Gμ10ωlΨμ1ĤERσ±I,(3)

where ĤER(±) and ĤEP are the electron–radiation and electron–phonon Hamiltonians, respectively; the summation in Eq. 3 is carried over all virtual intermediate EHP states Ψμi (i=1,2) with energy ϵμi; Gμi(0)(E)=[Eϵμi+iδ]1 the EHP unperturbed Green’s function at T=0 K; and δ a residual lifetime broadening. The electron–radiation matrix element for the dipole-allowed magneto-optical transitions (detailed in Supplementary Material Section S1) is cast as

Ψμ1|ĤERσ±|I=±e4πωη2atVδNe,Nhδkhy,keyκyδse,shσσ.(4)

The same result is obtained for the FĤER(+)(σ±)Ψμ2. From Eq. 4, the conservation of spins Δs=sesh=0 and Landau levels ΔN=NeNh=0 follows. Figure 2 schematically represents the band structure in the vicinity of the K- and K-valleys for a ML MoX2 (X=S, Se, and Te). The conduction and valence bands are spin-split due to a strong spin–orbit coupling. The sub-bands are indicated by C1, C2 and V1, and V2 for the conduction and valence bands, respectively, while the spin orientation is symbolized by red and blue colors for spin-up and spin-down, respectively [28]. In the vicinity of the K (K)-valley, the optical transition is dipole allowed for the σ (σ+) polarization. Selection rules preserving the spin orientation for the σ and σ+ light polarization are illustrated in Figure 2 by vertical arrows between the valence and conduction bands. In case of the MoX2 family, the σ polarization connects the V1C2 bands at the K- or K-points, while the σ+ polarization plugs V2C1 bands. For the tungsten-based structures, the order of the spin orientation in the conduction band is reverse. Hence, for the σ (σ+) polarization, the interband optical transitions occur between the valence band V1 (V2) and the conduction band C1 (C2) at the K (K)-valley. In general, the light polarizations σ± connect the V<->C Bloch states with the change in the total angular momentum ΔJ=±1 [29]. We assume that the laser excitation is well above the band gap (ωl>Eg), where the wave function of the EHP can be taken as that of the free particle. Under these conditions, the optical measurement is ruled by the Landau levels and the Zeeman splitting. If ωlEg, the diamagnetic shift for the excitons is observed in the magneto-optical spectra [30].

Figure 2
www.frontiersin.org

Figure 2. Scheme of the band structure of the ML MoX2 family at the K- and K-valleys. The conduction and valence sub-bands are denoted by Ci and Vi (i=1,2), respectively. The spin-up and spin-down orientations are symbolized by the red and blue arrows, and the allowed optical transitions, with the spin conservation, by the blue and red straight lines for σ and σ+ light polarization, correspondingly.

2.1 Scattering efficiency

In the Faraday backscattering configuration from the surface S of a ML at the parallel polarization Z̄(σs±,σl±)Z, as shown in Figure 1A, the components of the Raman tensors (Equation 1) allow two phonon modes with the symmetry E(LO) and A1′(ZO) via intra-valley EPI. For the in-plane longitudinal E(LO) mode, the first-order Raman scattering is mediated by the long-range PF interaction, while for the out-of-plane ZO-branch, it occurs due to the short-range DP coupling.

2.2 Long-range interaction

In the backscattering configuration Z̄(σ±,σ±)Z, the in-plane phonon wave vector is 0. Hence, from Eqs 3, 4; Supplementary Equation S12, the scattering amplitude follows to be

WFIDPμ1,μ2δN2e,N2hδs2e,s2hδμ1,μ2δμ1,μ2ωsϵμ2+iδωlϵμ1+iδδN1e,N1hδs1e,s1h.(5)

Consequently, for a ML TMD, it follows from Equation 5 that the contribution of the 2D long-range electric field (linked to the longitudinal optical phonon) to the Raman intensity, dIPF/dΩ, vanishes. As discussed in Ref. [31], a backscattering geometry with oblique incidence is necessary for enhancing the in-plane phonon wave vector, where the 2D PF one-phonon mechanism is allowed.

2.3 Deformation potential

Using Eqs 3, 4 and Supplementary Equation S10, we get

WFIDPlc2Nδqx,0δqx,0ElωcN+12EsωcN+12,(6)

where El(s)=ωl(s)EgμBB(gegh)ms+iδ; ωs=ωlωA1 and ms=±12 for spin-up and spin-down; gegh the EH g-factor; μB the Bohr magneton; and ωc the EH–cyclotron frequency with the reduced mass given by μEH1=me1+mh1. Upon inserting Eq. 6 into Eq. 2, the Raman scattering efficiency per unit solid angle dΩ takes the form

dIDPdΩ=I0lc4N1ElωcN+12EsωcN+122,(7)

where

I0=ωsωl2ηs2π4c4e4a4t42DcDv22ρmωA1.(8)

2.3.1 Band parameters

Employing the Z̄(σs±σl±)Z, configurations, we select different spin orientations and interband optical transitions ViCj (i,j=1,2). For a fixed laser energy ωl>Eg, the sets of the magnetic field values, for which the incoming, {BN(in)}, and outgoing, {BN(out)}, resonances occur, are given by

ωlEgViCj=μBgmsBNin+ωcViCjBNinN+12,(9)
ωlEgViCjωA1=μBgmsBNout+ωcViCjBNoutN+12,(10)

with the conditions BN(in)0 and BN(out)0. 9, 10, N = 0, 1, 2, … g=gegh, EgViCj, and ωc(ViCj) are the gap energy and the cyclotron frequency for the transition between the valence band Vi and the conduction band Cj (i, j = 1,2). The above relations allow for a straightforward determination of the important band parameters of the TMD materials.

For ML MoX2 materials in the Z̄(σs,σl)Z configuration, the main contribution corresponds to the transition between the V1 and C2 bands at the K-valley of the BZ. The input of the K-valley for the V1C2 transition is negligible for laser energies in the vicinity of the gap energy. Typical 2D TMD structures present a valence band spin-splitting ΔV1V2 ranging between 150 and 480 meV. In the Z̄(σ+,σ+)Z configuration, the situation is reverse; the direct optical transition is between the V2C1 bands (see Figure 2), and the contribution of the K-valley does not play a significant role. Employing the Faraday Z̄(σ±,σ±)Z configurations, we select different electron and hole effective masses, and spin orientation in the Raman spectra. The effective band parameters, phonon frequency, Landé g-factor, lattice constant, and EH-phonon DP coupling constant for MoX2 and WX2 families are summarized in Table 1. In the WX2 compounds, the spin sub-bands of the conduction band shown in Figure 2 are reversed; hence, there are the V1C1 and V2C2 allowed optical transitions for Z̄(σ,σ)Z and Z̄(σ+,σ+)Z, respectively. Figure 3 shows the resonant Raman profiles calculated according to Eq. 7 as a function of B in MoS2 and WS2. The blue (red) solid lines correspond to the backscattering configuration Z̄(σ,σ)Z (Z̄(σ+,σ+)Z). Following Eqs 9, 10, the incoming and outgoing resonances due to the interband magneto-optical transitions for different Landau N are indicated by olive and purple dashed lines, respectively. In evaluation of the Raman intensities, we assume a constant broadening (δ/ωA1 = 2) independent of the magnetic field and the Landau quantum number. From Figure 3, it is seen that the resonance profile increases as lc4B2 and the characteristic oscillatory behavior occurs due to a sequence of incoming and outgoing resonances as a function of the magnetic field. The resonance conditions are obtained for the magnetic fields satisfying Eqs 9, 10. For MoS2, the peaks of the magneto-Raman spectra for a given quantum number N are located at lower magnetic fields in the configuration Z̄(σ,σ)Z than in the configuration Z̄(σ+,σ+)Z. This fact reveals the dependence of the effective masses on the optical selection rules in MoX2 versus WX2 families, and the value of the reduced effective mass for the σ polarization is larger than that in the σ+ case (see Table 1). Therefore, ωc for the (-,-) configuration is larger than that for the (+,+) configuration, and the resonances appear at lower B values as follows from Eqs 9, 10. The same calculations were performed for MoSe2 and WSe2 (see Figure 4). When comparing the Raman spectra of the MoX2 versus WX2 families, it is clear that the peak positions for a given N are shifted in the molybdenum-based materials to a higher energy in comparison to the tungsten-based ones, reflecting the band structure and the inherent symmetry of each family.

Table 1
www.frontiersin.org

Table 1. Parameters employed for the evaluation of the Raman intensity. me(c1) (me(c2)) is the electron effective mass of the C1 (C2) conduction band, and mh(v1) (mh(v2)) is the hole effective mass of the V1 (V2) valence band. a is the lattice constant, ωA1 is the phonon frequency with the symmetry A1, gegh is the EH g-factor, αDP(EH) is the EH-phonon DP coupling constant, and Eg is the gap energy. m0 is the free electron mass.

Figure 3
www.frontiersin.org

Figure 3. Raman intensity in two scattering configurations Z̄(σ+,σ+)Z (red lines) and Z̄(σ,σ)Z (blue lines) for ML MoS2 and WS2 as a function of B at three values of the parameter Zl=(ωlEg)/ωA1= 2.1, 1.8, and 1.4 (laser energy ωl = 1.954, 1.939, and 1.919 eV and 2.095, 2.08, and 2.005 eV for MoS2 and WS2, respectively). Dashed lines label the incoming (olive) and outgoing (purple) resonances for the EHP Landau level N.

Figure 4
www.frontiersin.org

Figure 4. Same as Figure 3 for MoSe2 (ωl=1.652, 1.643, and 1.631 eV) and WSe2 (ωl= 1.823, 1.814, and 1.802a eV).

2.3.1.1 Electron–hole g-factor

In the (±,±) configurations, the electron–hole g-factor can be written as

gegh=4N+1/2B2+B1B2m0μV1C2B1m0μV2C1,(11)

with B1 and B2 being the field values, where the resonances occur (see Eqs 9, 10). From Eq. 11, it follows that the value of the gegh factor depends on the effective masses of the K- and K-valleys. Thus, observations of the incoming and outgoing resonances in the magneto-Raman spectrum can provide information on the band parameters of the ML TMDs as a function of the applied field B.

2.4 Polaron effects

MP effects on Raman scattering were investigated for a long time in nanostructures [32, 33]. The discrete nature of the Landau level transitions and their MP resonances in graphene were clearly identified by Raman spectroscopy. In a simple picture of two Landau levels, separated by the optical phonon energy, the MP resonance is split into two branches. This fact is not true in materials, where the magneto-optical transitions occur between the valence and conduction bands with similar effective masses. Generally, no part of the MP self-energy can be decoupled into two independent contributions originating from the conduction and valence bands: the overlap of the electron and hole Landau states must be taken into account. The self-energy, as displayed in Supplementary Equation S14, implies a summation over all Landau levels in the conduction and valences bands.

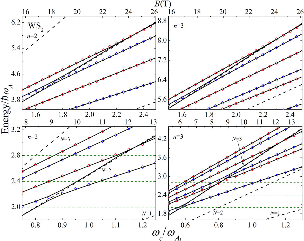
In the evaluation of the scattering efficiency shown in Figures 3, 4, the MP effects are not taken into account. In the first-order resonant Raman scattering, the impinging light and the scattered light lead to the creation and annihilation of electrons and holes simultaneously in the same quantum Landau state; therefore, at a certain laser energy and B, the MP resonances should be involved in the light scattering process. Hence, the free EHP states in a magnetic field embedded in the Green’s function G(0) are no longer a correct set of states valid for the description of resonant magneto-Raman scattering. In Eq. 3, the bare Green’s function Gμ(0)(E), that appears in Figure 1B, must be replaced by summing the subset of Feynman diagrams considering the interaction of the EHP Landau states with the optical phonons. The procedure leads to the renormalized Green’s function, G{μ}(E) = Gn(N)(E) [19, 20], where n(N) labels the MP states. The complex-valued function E(B), present in Supplementary Equation S21, provides the MP energy R{E} = ϵ̂n(N) (see Section 3 in Supplementary Material). For a fixed N value, the quantum number n labels the EHP quasi-particle states, i.e., the renormalized Landau state and the corresponding excited states as a function of B. The EHP MP spectra for the n=2 and 3 states of a ML MoSe2 and a ML WS2 are displayed in Figures 5, 6. For the calculation, we employed the materials and parameters listed in Table 1. In the figures, the bare excited states for electrons, ωe(exc)=ωA1+ωce(pe+1/2)+ωch(N+1/2), and for holes, ωh(exc)=ωA1+ωce(N+1/2)+ωch(ph+1/2), (pe, ph = 0,1,2,…,N-1), are symbolized by blue and red empty diamonds, respectively, while the uncoupled Landau levels N are symbolized by dashed lines. From the figures, the MP resonances due to the electron–phonon and hole–phonon interaction are clearly seen. For each EPH Landau level N, there are three branches. The anti-crossing points are sited at the cyclotron resonance transition energies ωci/ωA1 = 1/3,1/2 and 1 for the conduction (i=e) and valence (i=h) bands, respectively. In particular, for n=2, there are four avoided-crossing levels, and for n=3, there exist six such levels. In MoSe2 (WS2), the crossing points are at ωc/ωA1 = 0.61, 0.91, 1.81 (0.58, 0.87, 1.74) and 0.7, 1.1, 2.2 (0.78, 1.17, 2.34) for the electron and hole, respectively. Comparing spectra of Figures 5, 6, we find that the magnetic fields, where anti-crossings occur, are higher in MoSe2 than those in WS2, while the gap is also greater, reflecting the fact that the electron-deformation potential is smaller in the WX2 family than in the MoX2 one. For the hole at each anti-crossing point, there exists a superposition between the renormalized electron and hole excited states. This effect is due to the values of the deformation potential Dc and Dv (see Table 1; Supplementary Equation S22). The ratio Dv/Dc< 1 provokes a superposition of the electron and hole excited states at higher values of ωc/ωA1 (0.7, 1.1, 2.2 and 0.78, 1.17, 2.34 for MoSe2 and WS2, respectively). To visualize this effect, Figure 7 highlights the MP for n=2 as a function of the ratio R=Dc/Dv. If R>1, the anti-crossing takes place at the electron cyclotron frequency ωce/ωA1=1/2 (ωc/ωA1= 0.91), while for the hole cyclotron frequency ωch/ωA1=1/2 (ωc/ωA1= 1.1), a crossover occurs between the renormalized excited states of the electron and hole. For R<1, the situation is reversed, the gap opens at the hole cyclotron frequency, ωch/ωA1=1/2, and the electron–hole superposition occurs at ωce/ωA1=1/2. In the specific case of Dc=Dv, the MP quasi-particle is absent, and the undressed Landau level N = 2 is recovered.

Figure 5
www.frontiersin.org

Figure 5. MP energy (solid lines) as a function of the relative cyclotron frequency ωc/ωA1 in a ML MoSe2 for the states n= 2 and 3. The V1C2 optical transition is considered.

Figure 6
www.frontiersin.org

Figure 6. Same as Figure 5 for WS2. The V1C1 optical transition is considered.

Figure 7
www.frontiersin.org

Figure 7. MP energy ϵ̂2 as a function of B for MoSe2 at three values of Dc/Dv.

2.5 RMPRS efficiency

All of the previously discussed effects of the MP spectrum are reflected in the Raman intensity. Replacing the Green’s function Gμ(0) by the “dressed” Green’s function Gn(N) in Eq. 3, we derive the resonant MP Raman efficiency

dIDPdΩB2nN1ωlEgEnNBiδωlEgωA1EnNBiδ2,(12)

where En(N)=ϵ̂n(N)+iΓn(N) is the solution of the coupled Supplementary Equations S22, S23, and the sum for each n is over all MP states, i.e., the renormalized Landau level N and excited states with pe=0,1,N1 and ph = 1,…, N1. Eq. 12 is isomorphic to Eq. 7, with MP effects included. The main difference lies in the replacement of the bare Landau levels ωc(N+1/2) by the new set of the quasi-particle excitation energies En(N). As stated previously, the MP energies are the fundamental conceptual ingredient of the Raman scattering efficiency. By scanning the Raman intensity with the field B and different incident laser energies, we are able to study the EHP spectrum and the properties of the MP. Figures 8, 9 represent the resonant MP Raman efficiency profiles for a ML MoSe2 and a ML WS2. For the numerical evaluations, we employ the data in Table 1 for the scattering configuration Z̄(σ,σ)Z, assuming δ = 1 meV and disregarding the Zeeman splitting. The resonant profiles are evaluated for the relative laser energies Zl = 2.5, 2.8, 3.1 and 2.0, 2.4, 2.8 in MoSe2 and WS2, respectively. The positions of the resonance peaks occur at different values of the magnetic field values due to the A1-phonon energies, 29.4 meV versus 51 meV in MoSe2 and WS2, respectively. For a fixed value of the relative laser frequency, the resonances may or may not be close to the avoided-crossing point of certain excitation branches. In the range of the magnetic field values near anti-crossings, the Landau levels are strongly renormalized by the A1-EPI. For a better analysis of the results shown in Figures 8, 9, the values of Zl employed for the evaluation of the RMPRS intensity are indicated by green dotted lines in the MP spectra of MoSe2 and WS2 (Figures 5, 6). For example, the structure manifested in Figure 8 at Zl = 2.5 in the range 10 T <B< 12 T represents the incoming resonances for three excitation branches of the MP energy spectrum. From Figure 5, it follows that these branches are near the avoided-crossing point ωce/ωA1 = 1/2. The resonances correspond to the renormalized hole (B = 10.4 T) and electron (B = 10.6 T) excited states with ph,pe=0, next to the renormalized Landau level N = 2 (B = 11.7 T). As seen in the spectrum of Figure 5, there are no other contributions to the Raman profile, while for B < 9 T, the main contribution to dIDP/dΩ is provided by the n = 3 MP states. Namely, there exists a set of incoming resonances in the Raman profile for the N=3 Landau level at B = 7.69 T as well as the electron and hole renormalized excited states with pe=0,1,2 (B = 8.79, 6.73, 5.5 T) and ph=0,1,2 (B = 7.66, 6.29, 5.35 T). The maximum in Figure 8 corresponds to the contribution of the renormalized Landau energy N = 3 at B = 7.69 T and the hole excited state ph=0 at B = 7.66 T (see the MP spectrum in Figure 5). Interestingly, there are more contributions to the Raman intensity due to the states with n = 2 and pe=ph = 1 (B = 7.97, 8.3 T). The same analysis is performed for other materials and laser energies. Thus, for WS2 at Zl = 2.8, the maximum in the Raman profile corresponds to the renormalized Landau level N=2 (B = 11.68 T) and the excited states of the polaron quasi-particle ph = 0 (B = 11.55 T) (see the MP spectrum in Figure 6). Importantly, in the RMPRS, given by Eq. 12, there are also manifestations of the outgoing resonances. Therefore, there is the same set of MP states contributing to the Raman profile, but now shifted by the energy of an optical phonon. This is the case for the line shown in Figure 9 for Zl = 2.0 at B= 7.1 T, which is associated with the outgoing resonance of the N = 1 Landau dressed state.

Figure 8
www.frontiersin.org

Figure 8. MP Raman scattering efficiency (red solid line) as given by Eq. 12 for a ML MoSe2 in Z̄(σ,σ)Z backscattering configuration as a function of B at Zl = 2.5, 2.8, and 3.1 (ωl = 1.6635, 1.6723, and 1.6811 eV). Black solid lines show the Raman intensity without the MP effect. The incoming and outgoing resonances for the Landau level N are indicated by the green and violet arrows, respectively. In the calculation, the values of Dc = 5.2 eV [42] and Dv = 4.9 eV [43] are used.

Figure 9
www.frontiersin.org

Figure 9. Same as Figure 8 for WS2 at Zl = 2.0, 2.4, and 2.8 (ωl = 2.092, 2.1124, and 2.1328 eV). The values of Dc = 3.1 eV [42] and Dv = 2.3 eV [43] are employed.

3 Conclusion and outlook

We have calculated the one-phonon magneto-resonant light scattering due to the out-of-plane A1-phonon in ML TMD materials. The Raman efficiency in the backscattering configurations, Z̄(σ±,σ±)Z, represented by Eq. 7, provides a direct experimentally accessible information on the band structure. Processing the set of incoming and outgoing resonances that correspond to different interband magneto-optical transitions, as given by Eqs 9, 10 together with Eq. 11 for the EH g-factor, provides a powerful tool to extract the information of the principal band parameters at the K- and K-valleys as a function of B. It is shown that the Raman intensity increases as B2, exhibiting oscillations following the Landau transitions of the EHP. The theoretical model is extended onto the B range, where the MP effects play the main role in the formation of the Raman profile. The renormalized Landau levels are obtained by solving the equation for the self-energy operator due to the A1′—DP interaction. A compact mathematical expression for the MP quasi-particle energy (Supplementary Equation S22) and its lifetime broadening (Supplementary Equation S23), which are essential for the Raman intensity, is provided. We have further presented a theoretical analysis of the MP resonances in a ML MoSe2 and a ML WS2. The unique characteristics of the conduction and valence bands and their contributions in the formation of the MP quasi-particle are revealed (see Figures 5, 6). The relative contributions of the electron and hole to the MP formation depend on the optical DP values. An analytical equation for RMPRS intensity as a function of the magnetic field (Eq. 12) is provided, allowing for the analysis of the MP formation in different ranges of the field B and the incoming laser energy. A central result of the present paper is the proof that the magneto-Raman efficiency is a fingerprint of the 2D MP excitation branches (see Figures 8, 9). The fundamental findings of this paper are of key importance for emerging novel electronic, optoelectronic [34, 35] and photonic devices [36], gas sensors [37], quantum-mechanical tunneling devices [38], tuning photodetectors by the magnetic field [39, 40], and controlling radiative lifetimes in TMD materials by an applied magnetic field [41], among numerous potential applications. The observation of the RMPRS is a heuristically important starting point for further basic research on a wide range of the magneto-optical properties of TMDs. As desirable developments, there are extensions of the present formalism to bilayer and Moiré structures, MP effects in multi-phonon resonant Raman scattering, and magneto-hot-luminescence.

Data availability statement

The original contributions presented in the study are included in the article/Supplementary Material; further inquiries can be directed to the corresponding author.

Author contributions

CT-G: Conceptualization, Formal analysis, Investigation, Funding acquisition, Writing–original draft. DGS-P: Data curation, Formal analysis, Investigation, Writing–review and editing. DVT: Data curation, Formal analysis, Investigation, Writing–review and editing. GEM: Investigation, Writing–review and editing. VMF: Formal analysis, Investigation, Writing–review and editing.

Funding

The author(s) declare that financial support was received for the research, authorship, and/or publication of this article. GEM and CT-G declare partial financial support from Brazilian agencies, Fundação de Amparo a Pesquisa do Estado de São Paulo (FAPESP, Proc. 304404/2023-3, 2022/08825-8, and 2020/07255-8) and Conselho Nacional de Desenvolvimento Científico e Tecnológico (CNPq, Proc. 302007/2019-9).

Acknowledgments

CT-G acknowledges the Alexander von Humboldt Foundation for providing research fellowship and to the Leibniz Institute for Solid State and Materials Research Dresden for hospitality.

Conflict of interest

The authors declare that the research was conducted in the absence of any commercial or financial relationships that could be construed as a potential conflict of interest.

The author(s) declared that they were an editorial board member of Frontiers, at the time of submission. This had no impact on the peer review process and the final decision.

Publisher’s note

All claims expressed in this article are solely those of the authors and do not necessarily represent those of their affiliated organizations, or those of the publisher, the editors, and the reviewers. Any product that may be evaluated in this article, or claim that may be made by its manufacturer, is not guaranteed or endorsed by the publisher.

Supplementary material

The Supplementary Material for this article can be found online at: https://www.frontiersin.org/articles/10.3389/fphy.2024.1440069/full#supplementary-material

References

1. Ruf T, Phillips RT, Trallero-Giner C, Cardona M. Resonant magneto-Raman scattering in GaAs. Phys Rev B (1990) 41:3039–3047. doi:10.1103/PhysRevB.41.3039

PubMed Abstract | CrossRef Full Text | Google Scholar

2. Ruf T, Phillips RT, Cantarero A, Ambrazeviius G, Cardona M, Schmitz J, et al. Resonant Raman scattering and piezomodulated reflectivity of InP in high magnetic fields. Phys Rev B (1989) 39:13378–13388. doi:10.1103/PhysRevB.39.13378

PubMed Abstract | CrossRef Full Text | Google Scholar

3. McDonnell LP, Viner JJS, Ruiz-Tijerina DA, Rivera P, Xu X, Fal’ko VI, et al. Superposition of intra- and inter-layer excitons in twistronic MoSe2/WSe2 bilayers probed by resonant Raman scattering. 2D Mater (2021) 8:035009. doi:10.1088/2053-1583/abe778

CrossRef Full Text | Google Scholar

4. Ji J, Zhang A, Fan J, Li Y, Wang X, Zhang J, et al. Giant magneto-optical Raman effect in a layered transition metal compound. Proc Natl Acad Sci U S A (2016) 113:2349–2353. doi:10.1073/pnas.1601010113

PubMed Abstract | CrossRef Full Text | Google Scholar

5. Scheuschner N, Gillen R, Staiger M, Maultzsch J. Interlayer resonant Raman modes in few-layer MoS2. Phys Rev B (2015) 91:235409. doi:10.1103/PhysRevB.91.235409

CrossRef Full Text | Google Scholar

6. Trallero-Giner C, Menéndez-Proupin E, Morell ES, Pérez-Álvarez R, Santiago-Pérez DG. Phenomenological model for long-wavelength optical modes in transition metal dichalcogenide monolayer. Phys Rev B (2021) 103:235424. doi:10.1103/PhysRevB.103.235424

CrossRef Full Text | Google Scholar

7. Zhang X, Qiao X-F, Shi W, Wu J-B, Jiang D-S, Tan P-H. Phonon and Raman scattering of two-dimensional transition metal dichalcogenides from monolayer, multilayer to bulk material. Chem Soc Rev (2015) 44:2757–2785. doi:10.1039/C4CS00282B

PubMed Abstract | CrossRef Full Text | Google Scholar

8. Gurevich VL, Firsov YA. On the theory of the electrical conductivity of semiconductors in a magnetic field. i. Sov Phys JETP (1961) 13:137.

Google Scholar

9. Parfen’ev R, Shalyt S, Muzhdaba V. An experimental confirmation of magnetophonon resonance in n-type InSb. Soviet Phys JETP (1965) 20:294.

Google Scholar

10. Puri S, Geballe T. Thermomagnetic effects in the quantum region. Semiconductors and Semimetals (1966) 1:203–64. Elsevier.

CrossRef Full Text | Google Scholar

11. Eaves L, Guimaraes P, Portal J. Hot-electron magnetophonon spectroscopy on micron- and sub-micron-size n+nn+GaAs structures. J Phys C: Solid State Phys (1984) 17:6177–6190. doi:10.1088/0022-3719/17/34/018

CrossRef Full Text | Google Scholar

12. Dresselhaus G, Kip AF, Kittel C. Cyclotron resonance of electrons and holes in silicon and germanium crystals. Phys Rev (1955) 98:368–384. doi:10.1103/PhysRev.98.368

CrossRef Full Text | Google Scholar

13. Bass FG, Levinson IB. Cyclotron-phonon resonance in semiconductors. Sov Phys JETP (1965) 49:914–924.

Google Scholar

14. López V, Comas F, Trallero-Giner C, Ruf T, Cardona M. Resonant electron-phonon coupling: magnetopolarons in inp. Phys Rev B (1996) 54:10502. doi:10.1103/PhysRevB.54.10502

CrossRef Full Text | Google Scholar

15. Portal JC, Perrier P, Houlbert C, Askenazy S, Nicholas RJ, Stradling RA. Impurity-associated magnetophonon resonance in n-type silicon. J Phys C: Solid State Phys (1979) 12:5121–5143. doi:10.1088/0022-3719/12/23/02023/020

CrossRef Full Text | Google Scholar

16. Wysmołek A, Plantier D, Potemski M, Słupiński T, Żytkiewicz ZR. Coupled plasmon–LO-phonon modes at high-magnetic fields. Phys Rev B (2006) 74:165206. doi:10.1103/PhysRevB.74.165206

CrossRef Full Text | Google Scholar

17. Faugeras C, Amado M, Kossacki P, Orlita M, Kühne M, Nicolet AAL, et al. Magneto-Raman scattering of graphene on graphite: electronic and phonon excitations. Phys Rev Lett (2011) 107:036807. doi:10.1103/PhysRevLett.107.036807

PubMed Abstract | CrossRef Full Text | Google Scholar

18. Goler S, Yan J, Pellegrini V, Pinczuk A. Raman spectroscopy of magneto-phonon resonances in graphene and graphite. Solid State Commun (2012) 152:1289–1293. Exploring Graphene, Recent Research Advances. doi:10.1016/j.ssc.2012.04.020

CrossRef Full Text | Google Scholar

19. Belitsky VI, Trallero-Giner C, Cardona M. Magnetopolaron effect in one-phonon resonant Raman scattering from bulk semiconductors: deformation potential. Phys Rev B (1993) 48:17861. doi:10.1103/PhysRevB.48.17861

PubMed Abstract | CrossRef Full Text | Google Scholar

20. Belitsky VI, Trallero-Giner C, Cardona M. Magnetopolaron effect in one-phonon resonant Raman scattering from bulk semiconductors: fröhlich interaction. Phys Rev B (1994) 49:11016–11020. doi:10.1103/PhysRevB.49.11016

PubMed Abstract | CrossRef Full Text | Google Scholar

21. Faugeras C, Amado M, Kossacki P, Orlita M, Sprinkle M, Berger C, et al. Tuning the electron-phonon coupling in multilayer graphene with magnetic fields. Phys Rev Lett (2009) 103:186803. doi:10.1103/PhysRevLett.103.186803

PubMed Abstract | CrossRef Full Text | Google Scholar

22. Jia C, Jia D, Zhang H, Jiang D, Meng Y. Temperature dependence on energy-levels of surface-optical magnetopolaron in monolayer graphene on polar substrate under an external filed. Phys Lett A (2024) 509:129514. doi:10.1016/j.physleta.2024.129514

CrossRef Full Text | Google Scholar

23. Stier AV, McCreary KM, Jonker BT, Kono J, Crooker SA. Exciton diamagnetic shifts and valley Zeeman effects in monolayer WS2 and MoS2 to 65 Tesla. Nat Commun (2016) 7:10643. doi:10.1038/ncomms10643

PubMed Abstract | CrossRef Full Text | Google Scholar

24. Yan J, Henriksen EA, Kim P, Pinczuk A. Observation of anomalous phonon softening in bilayer graphene. Phys Rev Lett (2008) 101:136804. doi:10.1103/PhysRevLett.101.136804

PubMed Abstract | CrossRef Full Text | Google Scholar

25. Zhao L, He R, Rim KT, Schiros T, Kim KS, Zhou H, et al. Visualizing individual nitrogen dopants in monolayer graphene. Science (2011) 333:999–1003. doi:10.1126/science.1208759

PubMed Abstract | CrossRef Full Text | Google Scholar

26. Loudon R. The Raman effect in crystals. Adv Phys (1964) 13:423–482. doi:10.1080/00018736400101051

CrossRef Full Text | Google Scholar

27. Chamberlain MP, Trallero-Giner C, Cardona M. Theory of one-phonon Raman scattering in semiconductor microcrystallites. Phys Rev B (1995) 51:1680–1693. doi:10.1103/PhysRevB.51.1680

PubMed Abstract | CrossRef Full Text | Google Scholar

28. Kormányos A, Burkard G, Gmitra M, Fabian J, Zólyomi V, Drummond ND, et al. k p theory for two-dimensional transition metal dichalcogenide semiconductors. 2D Mater (2015) 2:022001. doi:10.1088/2053-1583/2/2/0220012/2/022001

CrossRef Full Text | Google Scholar

29. Glazov MM, Ivchenko EL. Valley orientation of electrons and excitons in atomically thin transition metal dichalcogenide monolayers (brief review). JETP Lett (2021) 113:7–17. doi:10.1134/S0021364021010033

CrossRef Full Text | Google Scholar

30. Tarucha S, Okamoto H, Iwasa Y, Miura N. Exciton binding energy in gaas quantum wells deduced from magneto-optical absorption measurement. Solid State Commun (1984) 52:815. doi:10.1016/0038-1098(84)90012-70038-1098(84)90012-7

CrossRef Full Text | Google Scholar

31. Trallero-Giner C, Santiago-Pérez DG, Vasilevskiy MI, Marques GE. Rydberg excitons and doubly resonant Raman scattering in transition-metal dichalcogenides. The J Phys Chem C (2024) 128:210. doi:10.1021/acs.jpcc.3c06303

CrossRef Full Text | Google Scholar

32. Wang YJ, Nickel HA, McCombe BD, Peeters FM, Shi JM, Hai GQ, et al. Resonant magnetopolaron effects due to interface phonons in GaAs/AlGaAS multiple quantum well structures. Phys Rev Lett (1997) 79:3226. doi:10.1103/PhysRevLett.79.3226

CrossRef Full Text | Google Scholar

33. Hameau S, Guldner Y, Verzelen O, Ferreira R, Bastard G, Zeman J, et al. Strong electron-phonon coupling regime in quantum dots: evidence for everlasting resonant polarons. Phys Rev Lett (1999) 83:4152. doi:10.1103/physrevlett.83.4152PhysRevLett.83.4152

CrossRef Full Text | Google Scholar

34. Wang QH, Kalantar-Zadeh K, Kis A, Coleman JN, Strano MS. Electronics and optoelectronics of two-dimensional transition metal dichalcogenides. Nat Nanotechnology (2012) 7:699–712. doi:10.1038/nnano.2012.193

PubMed Abstract | CrossRef Full Text | Google Scholar

35. Tian H, Chin ML, Najmaei S, Guo Q, Xia F, Wang H, et al. Optoelectronic devices based on two-dimensional transition metal dichalcogenides. Nano Res (2016) 9:1543–1560. doi:10.1007/s12274-016-1034-9

CrossRef Full Text | Google Scholar

36. McDonnell SJ, Wallace RM. Atomically-thin layered films for device applications based upon 2D TMDC materials. Thin Solid Films (2016) 616:482–501. doi:10.1016/j.tsf.2016.08.068

CrossRef Full Text | Google Scholar

37. Huo N, Yang S, Wei Z, Li S-S, Xia J-B, Li J. Photoresponsive and gas sensing field-effect transistors based on multilayer WS2 nanoflakes. Scientific Rep (2014) 4:5209. doi:10.1038/srep05209

PubMed Abstract | CrossRef Full Text | Google Scholar

38. Lu H, Seabaugh A. Tunnel field-effect transistors: state-of-the-art. IEEE J Electron Devices Soc (2014) 2:44. doi:10.1109/JEDS.2014.2326622

CrossRef Full Text | Google Scholar

39. Chang Y-H, Zhang W, Zhu Y, Han Y, Pu J, Chang J-K, et al. Monolayer MoSe2 grown by chemical vapor deposition for fast photodetection. ACS Nano (2014) 8:8582–8590. doi:10.1021/nn503287m

PubMed Abstract | CrossRef Full Text | Google Scholar

40. Lopez-Sanchez O, Lembke D, Kayci M, Radenovic A, Kis A. Ultrasensitive photodetectors based on monolayer MoS2. Nat Nanotechnology (2013) 8:497–501. doi:10.1038/nnano.2013.100

PubMed Abstract | CrossRef Full Text | Google Scholar

41. Mak KF, Shan J. Photonics and optoelectronics of 2d semiconductor transition metal dichalcogenides. Nat Photon (2016) 10:216–26. doi:10.1038/nphoton.2015.282

CrossRef Full Text | Google Scholar

42. Kaasbjerg K, Thygesen KS, Jacobsen KW. Phonon-limited mobility in n-type single-layer MoS2 from first principles. Phys Rev B (2012) 85:115317. doi:10.1103/PhysRevB.85.115317

CrossRef Full Text | Google Scholar

43. Jin Z, Li X, Mullen JT, Kim KW. Intrinsic transport properties of electrons and holes in monolayer transition-metal dichalcogenides. Phys Rev B (2014) 90:045422. doi:10.1103/PhysRevB.90.045422

CrossRef Full Text | Google Scholar

44. Koperski M, Molas MR, Arora A, Nogajewski K, Bartos M, Wyzula J, et al. Orbital, spin and valley contributions to Zeeman splitting of excitonic resonances in MoSe2, WSe2 and WS2 Monolayers. 2D Mater (2018) 6:015001. doi:10.1088/2053-1583/aae14b

CrossRef Full Text | Google Scholar

45. Deilmann T, Krüger P, Rohlfing M. Ab initio studies of exciton g factors: monolayer transition metal dichalcogenides in magnetic fields. Phys Rev Lett (2020) 124:226402. doi:10.1103/PhysRevLett.124.226402

PubMed Abstract | CrossRef Full Text | Google Scholar

46. Chen S-Y, Lu Z, Goldstein T, Tong J, Chaves A, Kunstmann J, et al. Luminescent emission of excited rydberg excitons from monolayer WSe2. Nano Lett (2019) 19:2464–2471. PMID: 30860854. doi:10.1021/acs.nanolett.9b00029

PubMed Abstract | CrossRef Full Text | Google Scholar

47. Huang Z, Zhang W, Zhang W. Computational search for two-dimensional MoSX2 semiconductors with possible high electron mobility at room temperature semiconductors with possible high electron mobility at room temperature. Materials (2016) 9:716. doi:10.3390/ma9090716

PubMed Abstract | CrossRef Full Text | Google Scholar

Keywords: Landau levels, magneto-polaron, Raman scattering, transition metal dichalcogenides, magneto-resonant Raman scattering

Citation: Trallero-Giner C, Santiago-Pérez DG, Tkachenko DV, Marques GE and Fomin VM (2024) Transition metal dichalcogenides: magneto-polarons and resonant Raman scattering. Front. Phys. 12:1440069. doi: 10.3389/fphy.2024.1440069

Received: 28 May 2024; Accepted: 15 July 2024;
Published: 29 August 2024.

Edited by:

Anna Palau, Spanish National Research Council (CSIC), Spain

Reviewed by:

Övgü Ceyda Yelgel, Recep Tayyip Erdoğan University, Türkiye
Kapildeb Dolui, University of Cambridge, United Kingdom

Copyright © 2024 Trallero-Giner, Santiago-Pérez, Tkachenko, Marques and Fomin. This is an open-access article distributed under the terms of the Creative Commons Attribution License (CC BY). The use, distribution or reproduction in other forums is permitted, provided the original author(s) and the copyright owner(s) are credited and that the original publication in this journal is cited, in accordance with accepted academic practice. No use, distribution or reproduction is permitted which does not comply with these terms.

*Correspondence: C. Trallero-Giner, dHJhbGxlcm9jYXJsb3NAZ21haWwuY29t

Disclaimer: All claims expressed in this article are solely those of the authors and do not necessarily represent those of their affiliated organizations, or those of the publisher, the editors and the reviewers. Any product that may be evaluated in this article or claim that may be made by its manufacturer is not guaranteed or endorsed by the publisher.