- 1Faculty of Athletics and Swimming, Chengdu Sports University, Chengdu, China
- 2Research Centre for Exercise Detoxification, College of Physical Education, Southwest University, Chongqing, China
This research examines the relationship between physical exercise and subjective well-being via the mediation of body image and self-esteem, thereby providing some suggestions on the improvement of subjective well-being in college students. A total of 671 college students from three universities of science and engineering in Sichuan, China voluntarily participated in the survey. Descriptive statistics, Pearson’s product-moment correlation, and mediation model analysis were conducted using the SPSS statistics 19.0. The results showed that (1) the physical exercise level was positively and significantly correlated with the subjective well-being level in each dimension (R = 0.12–0.64, p < 0.01) (2) college students with the medium and high level of exercise have higher subjective well-being than those with the low level of exercise, and (3) body image and self-esteem played a complete mediation role between physical exercise and subjective well-being. The mediation analysis revealed two paths: first, the single mediating path via self-esteem [indirect effect = 0.087, 95% CI: (0.037, 0.141)] and second, the serial mediating path via body image and self-esteem [indirect effect = 0.038, 95% CI: (0.021, 0.158)]. Some practical implications have been discussed on the physical exercise intervention for promoting the subjective well-being level in college students.
Introduction
Physical exercise is a physical activity with a certain intensity, frequency, and duration to improve health (Jiang et al., 2009). As an important means to promote mental health, people pay more and more attention to the role of physical exercise. So far, many researchers have conducted relevant research on the topics and confirmed the relationship between physical exercise and certain mental health indicators, such as emotion, personality, self-concept, and cognitive process (Li et al., 2003; Yin and Fu, 2004). Subjective well-being in the cognitive evaluation of people with their own life satisfaction according to their own standards is an important comprehensive psychological index to measure life quality, such as life satisfaction, positive emotions, or negative emotions (Suh et al., 1998). With the development of positive psychology, people realize that improving subjective well-being is an important way to promote health development (Gao et al., 2015). However, more recent studies showed that contemporary Chinese college students had a low level of subjective well-being (Wang et al., 2017a). Accordingly, this research hopes to clarify the relationship between physical exercise and subjective well-being and to provide a reference for promoting the mental health of college students.
Exercise psychology has confirmed that subjective well-being in college students is closely related to their exercise persistence (Diener, 2000). Chen and Yu (2015) pointed out that physical exercise can make individuals obtain physical and mental satisfaction, improve their subjective evaluation of satisfaction with the quality of life, promote pleasant and optimistic positive emotions, and enhance overall assessment of the quality of life of individuals. Empirical research also proves that joyful, smooth, and peak emotional effects are experienced by participating in physical exercise that can directly improve the subjective well-being of participants (Chen et al., 2013). Therefore, this study puts forward
Hypothesis H1: Physical exercise of college students is positively correlated with subjective well-being.
Body image refers to the image formed by an individual of his/her own body, which is the objective cognition and subjective evaluation of his/her own physical characteristics. It is composed of multiple dimensions, such as appearance, body shape, physical fitness, and health (Wang et al., 2017b). The previous survey showed that owing to many years of exam-oriented education, cognition of physical and mental health of Chinese college students is on the surface, and good self-concept training is ignored. About 54% of college students are not very satisfied with their weight and physical fitness (Wu and Zhang, 2003). Physical appearance has an important influence on first impressions, friendship, and other life issues (Cash, 2004), which suggest that body image may have an important contribution to subjective well-being. The findings by Zhang (2007) showed that among college students, physical self-perception is as important as academic self-perception for life satisfaction. At the same time, physical exercise has a good effect on the body image disorder of college students (Wu and Zhang, 2003). Studies have shown that the body image of individuals who exercise regularly can be corrected (Hausenblas and Fallon, 2006). Therefore, body image may be an important “bridge” for physical exercise to affect subjective happiness. Accordingly, this research proposes
Hypothesis H2: Body image plays a mediating role between physical exercise and the subjective well-being in college students.
Self-esteem is an emotional assessment of the positive or negative self-esteem of an individual and is an important factor predicting the implementation of healthy behaviors (Hu, 2017). Previous studies have shown that self-esteem can reduce depression (Li et al., 2015), improve interpersonal relationships (Murray et al., 2000), and life satisfaction (Diener, 2009). It shows that self-esteem is an important protective factor for individual well-being and one of the best indicators of subjective well-being. The research of Guo (2019) also pointed out that self-esteem reflects self-confidence of individuals in their own abilities, importance, sense of value, and sense of success, reflected the evaluation of the self of an individual, and can well predict subjective well-being. Moreover, researchers have reached a consensus that physical exercise, whether it is extracurricular physical exercise (Yan et al., 2019) or curricular activities (Zhu et al., 2010), can effectively improve the self-esteem of students. Accordingly, this research proposes
Hypothesis H3: Self-esteem plays a mediating role between physical exercise and the subjective well-being of college students.
Many studies have shown that the body image of college students is closely related to their self-esteem. Borges et al. (2010) pointed out that excessive attention of undergraduates to their body shape, coupled with the excessive publicity in media of their ideal body shape, will lead to the formation of low self-esteem. And a study (Ouyang et al., 2019) on 1,000 college students found that a positive body image among college students can enhance self-esteem and form a stable sense of it. Accordingly, this research proposes
Hypothesis H4: Body image and self-esteem play a serial mediating role between physical exercise and subjective well-being of college students.
In summary, physical exercise has a good effect on improving the body image and self-esteem of college students; students with positive body image tend to experience subjective well-being, and self-esteem is an important protective factor for individual well-being; and body image among college students can enhance self-esteem. It can be seen that body image and self-esteem are likely to play a mediating role between physical exercise and the subjective well-being of college students. However, few researchers in previous studies have explored the relationship between physical exercise, body image, self-esteem, and subjective well-being.
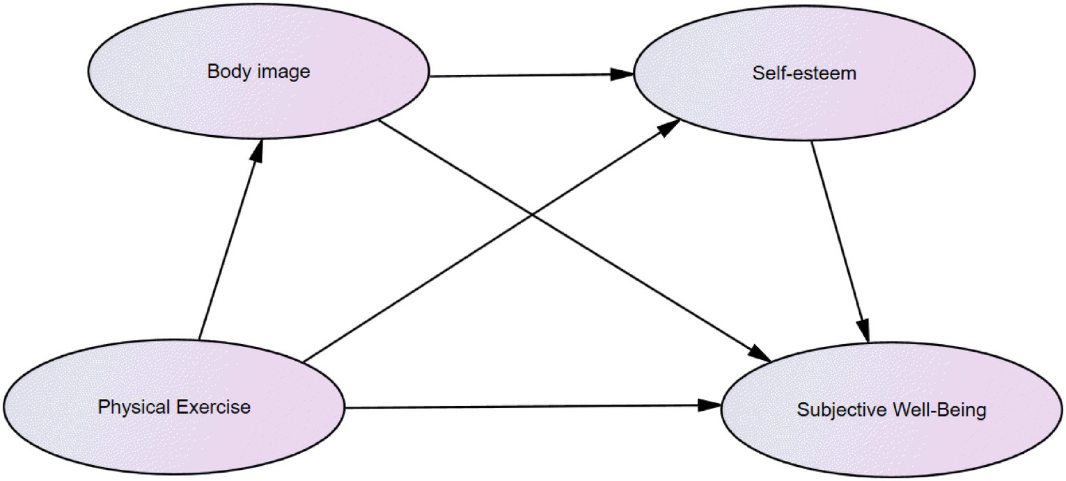
Particularly, there is a lack of in-depth studies on the serial mediating mechanism of “body image-self-esteem.” Based on this, this study intends to use Chinese college students as subjects to observe the relationship between physical exercise and subjective well-being of college students, and also the mediating effect of body image and self-esteem (Figure 1), to provide theoretical bases for further explaining the relationship between physical exercise and subjective well-being and to provide ideas for the improvement of subjective well-being in college students.
Materials and Methods
Participants
A sample of 688 undergraduate students from Sichuan in China was recruited in this study as participants by communicating with their counselors via email. The sample size is based on the rule of thumb. Each participant filled out the survey questionnaire online according to the instruction ahead of the scale and their counselor from December 12, 2019 to January 21, 2020. After completing the survey, the data preparation was carried out. Seventeen copies were incomplete or had missing data, which have been excluded. However, 671 copies were valid. The valid rate was 97.5%. For more information on the participants, refer to the sociodemographic information as listed in Table 1.
Procedure
We began the data collection process by sending emails to 12 counselors from three universities of science and engineering in Sichuan, China. The email detailed the study objectives and the terms of participation (voluntary, anonymous, and confidential). It also included a link to an online platform that contained the measurement instruments items, the instructions for responding to them, and a declaration of informed consent, in accordance with the ethical principles of the Ethics Committee at the Chengdu Sports University and the Declaration of Helsinki. We asked the counselors to distribute the information in the email to the undergraduate students. Thus, the study included those students who, after accepting the above conditions, responded to the questions via the online platform, with no time limit.
Instruments
The Personal Background Information
This component covers the basic background information on the gender, education level, and origin of the subject.
Physical Activity Rating Scale
The physical activity rating scale (PARS-3) was introduced and revised by Liang (1994) of Wuhan Sports University in China and was widely applied by researchers to measure the level of physical exercise (Liu, 2020). The amount of physical exercise is investigated from three aspects: the intensity of physical exercise, the time of one exercise, and the frequency of one exercise. The level of physical exercise is measured by the amount of physical exercise (Chen and Ji, 2006). A five-point Likert-type scale ranging from 1 to 5 was used. The following formula was used to obtain the total score: score of exercise intensity × (score of exercise time–1) × score of exercise frequency. The standard for the exercise volume was as follows: small exercise volume was ≤19 points; medium exercise volume was 20–42 points; and large exercise volume was ≥43 points. A study on 1,016 college students from China by Ding et al. (2016) showed that its Cronbach’s α coefficient was 0.856. This research showed that the Cronbach’s α coefficient was 0.83 for PARS-3.
General Well-Being Schedule
The general well-being schedule (GWB) was compiled by the National Center for Health Statistics of the United States and revised by Duan (1996), a Chinese researcher. The correlation between the single-item score and the total score of the modified scale was between 0.48 and 0.78, and the correlation between the subscale and the total scale was 0.56 and 0.88, and the test-retest consistency was 0.85 (Bao et al., 2010). Referring to the previous explanations of the concept of subjective well-being (Suh et al., 1998), this study selected nine items from three dimensions of GWB to measure subjective well-being of college students: satisfaction and interest in life, for example, “Is your life happy, contented, or enjoyable?”; melancholy or happy mood, for example, “Do you feel depressed and melancholy?”; and relaxation and tension, for example, “How relaxed or tense do you feel?” The total score of subjective well-being is the sum of the scores of nine items. The higher the score, the higher the subjective well-being level. The Cronbach’s α coefficient for the overall GWB was 0.73 (satisfaction and interest in life = 0.68, melancholy or happy mood = 0.68, and relaxation and tension = 0.62).
Multidimensional Body Self-Relations Questionnaire
Multidimensional body self-relations questionnaire (MBSRQ) was compiled by Cash et al. (1990) and revised by Song (2016), a Chinese researcher. The internal consistency of each dimension of the modified scale is between 0.7 and 0.8; The verification results of the measurement model were χ2/DF = 1.20, and the values of the comparative fit index (CFI), incremental fit index (IFI), goodness-of-fit index (GFI), and root mean square error of approximation (RMSEA) were 0.908, 0.917, 0.935, and 0.059, respectively. It showed that the scale structure had good validity. In this study, a total of 15 items from three dimensions related to appearance were selected to measure the physical intention of college students: weight concern, for example, “I am on a diet to lose weight”; appearance adaptation, for example, “I will specially organize my hair”; and appearance evaluation, for example, “I like my appearance.” The five-point Likert-type scale from 5 (completely consistent) to 1 (completely inconsistent) was applied. The higher the score, the more positive the body image. The Cronbach’s α coefficient was 0.86 for overall MBSRQ. For the subscales, the Cronbach’s α coefficient was 0.81 for weight concern, 0.91 for appearance evaluation, and 0.91 for appearance adaptation, respectively.
The Self-Esteem Scale
The self-esteem scale (SES) compiled by Rosenberg (Tian, 2006) was used to test the level of self-esteem of the college students. It contains a total of 10 items, including two dimensions: self-affirmation, for example, “I feel I have many good qualities” and self-denial, for example, “I am optimistic about myself.” The four-point Likert-type scale from 4 (completely agree) to 1 (completely disagree) was used. The 3rd, 5th, 8th, 9th, and 10th items were reverse coded items. The total score of self-esteem was the sum of all 10 items. Chinese researchers Ouyang et al. (2019) found that the internal consistency of the Cronbach α coefficients of each dimension of the scale was 0.78 and 0.74, respectively. The verification results of the measurement model were χ2/DF = 1.639, and the values of the adjusted goodness-of-fit index (AGFI), CFI, Tucker-Lewis index (TLI), incremental fit index (IFI), GFI, and root mean square error of approximation (RMSEA) were 0.943, 0.991, 0.980, 0.991, 0.979, and 0.051, respectively. It showed that the scale structure had good validity. This research showed that the Cronbach’s α coefficient was 0.74 for overall SES. For the subscales, the Cronbach’s α coefficient was 0.86 for self-affirmation, and 0.72 for self-denial, respectively.
Statistical Analyses
Collected data were analyzed using the SPSS 19.0 (IBM Corp., Armonk, NY, United States) and the PROCESS 3.5 macro program developed by Hayes (2013) from University of Calgary, Calgary, Alberta, Canada. First, according to the central limit theorem, data were considered approximately for normal distribution. Second, the internal consistency for each measure was checked by a reliability test using the Cronbach’s α coefficient. Third, the Pearson’s correlation analysis was conducted to examine the relationship between all variables. Fourth, the one-way ANOVA was used to test the difference in the subjective well-being of college students under different levels of physical exercise. Fifth, the regression analysis and process macro program were used for the mediation analysis. The significance level of all tests was set to α = 0.05.
Results
As shown in Table 2, physical exercise, body image, and self-esteem were significantly associated with all dimensions of subjective well-being (R = 0.12–0.64). Moreover, there was a significant correlation among physical exercise, body image, and self-esteem. The significant correlation between research variables provides a good foundation for subsequent research hypotheses and mediation testing.

Table 2. Descriptive statistics and the Pearson correlation coefficients across physical exercise, body image, self-esteem, and each dimension of subjective well-being in college students (N = 671).
In order to more clearly observe the impact of levels of physical activity on subjective well-being, the one-way ANOVA was used to test the difference in the subjective well-being of college students in each exercise group. The study passed the “single-factor homogeneity test” and can use the one-way ANOVA (p > 0.05). From the results shown in Table 3, it was found that the mean values of subjective well-being and its three dimensions in the medium and large exercise groups were significantly greater than those in the small exercise group (p < 0.01), and there was no significant difference in subjective well-being between large exercise volume group and medium exercise volume group (p > 0.05).

Table 3. The results of the variance analysis of the effect of physical exercise on the subjective well-being in college students.
As shown in Table 4, first, with physical exercise as an independent variable, body image as a dependent variable, the regression coefficient of physical exercise was statistically significant (β = 0.22, p < 0.001). Second, with physical exercise and body image as an independent variable, self-esteem as a dependent variable, both the regression coefficient of physical exercise (β = 0.14, p < 0.001) and body image (β = 0.28, p < 0.001) were statistically significant. Third, with physical exercise, body image, and self-esteem as the independent variable, subjective well-being and its various dimensions as the dependent variables, the regression coefficient of self-esteem was statistically significant (β = 0.63, p < 0.001), both the regression coefficient of physical exercise and subjective well-being were not statistically significant (p > 0.05).

Table 4. Regression analysis of physical exercise, body image, self-esteem, and subjective well-being in college students (N = 671).
As shown in Table 5, the PROCESS macro program was used for the mediation analysis, repeated sampling 5,000 times from the original data to calculate the 95% CI. If the 95% CI of the standardized path coefficient does not contain 0, it indicates that the mediating effect is significant. The direct effects of physical exercise on subjective well-being and its various dimensions all contain zero, indicating that physical exercise did not directly affect subjective well-being. From physical exercise through body image to subjective well-being, the mediating role of 95% CI was (−0.003, 0.028), the interval contains 0, which indicated that the mediating effect was not significant. From physical exercise through self-esteem to subjective well-being, the mediating role of 95% CI was (0.038, 0.141); and from physical exercise through body image, self-esteem to subjective well-being, the serial mediating role of 95% CI was (0.022, 0.058). The above two intervals did not contain 0, which indicated that the mediating effects were significant.
Discussion
The Relationship Between Physical Exercise and Subjective Well-Being in College Students
This study assumes that physical exercise is positively correlated with the subjective well-being of college students. Data analysis also supports this hypothesis, which is consistent with Li and Liu (2014). Thus, hypothesis H1 is established. Besides, the study further concludes that physical exercise is positively correlated with all dimensions of the subjective well-being of college students. A previous study has shown that moderate and high-intensity aerobic exercise done three or more times a week contributes to reductions in negative emotions intervention (Liu, 2020). Xiao et al. (2017) showed that depression scores of students with small levels of exercise were significantly higher than those of middle and large levels of exercise, as indexed with the PARS-3. The research by Jiang and Zhu (1997) also found that medium to heavy exercise can help college students produce better health effects. These also suggest that only when the amount of activity reaches a certain level then it can affect subjective well-being. This study found that the scores of subjective well-being and its dimensions of college students in the medium and large exercise groups were higher than those in the small exercise group. The result further supports the view that “mid-to-high levels of exercise has a more positive effect on the subjective well-being of college students.”
The Role of Body Image Between Physical Exercise and Subjective Well-Being in College Students
A positive body image is related to lower psychological problems, such as depression and social avoidance (Feng, 2005). Anxiety, depression, emotions, and interpersonal relationships are all important factors affecting subjective well-being (Chen et al., 2015). Therefore, researchers often use body image as the antecedent variable of negative emotions (Jing et al., 2016) and subjective well-being (Cash, 2004). As Borges et al. (2013) pointed out that the main predictors of happiness are appearance and physical satisfaction. Moreover, physical exercise can inhibit the formation of negative body image of college students. Furthermore, the Asci (2002) survey found that physical exercise and body image are significantly related, and people who take long-term physical exercise have better body image than those who do not exercise. Thus, this study deduces that the body image can play a mediating role between physical exercise and the subjective well-being of college students. However, the results showed that the mediating role of body image does not hold. Thus, hypothesis H2 is rejected.
The Role of Self-Esteem Between Physical Exercise and Subjective Well-Being in College Students
Self-esteem is an important indicator of mental health. In many studies investigating the psychological benefits of exercise, self-esteem was used as an important indicator to measure the psychological benefits after exercise (Fang and Chen, 2016). Previous studies have shown that physical activity has many effects on the body and mind of an individual. Some related studies tend to believe that physical exercise has a certain positive effect on the self-esteem of people (Edward et al., 1997; Zhong et al., 2006; Qasim et al., 2014). Yu and Mao (2013) inferred that physical exercise might be an important factor affecting the development of self-esteem of students. A study (Fang, 2008) on 939 college students found that as long as they insist on exercising, no matter what type of exercise they do, they will improve their self-esteem. Furthermore, self-esteem is one of the most reliable predictors of subjective well-being (Diener, 1984; Diener and Diener, 1995). It is not difficult to conclude that self-esteem plays a “bridge” role between physical exercise and subjective well-being through previous research. The effect of self-esteem on physical exercise and subjective well-being also has been studied. Chen and Ji (2006) took high school students as the research object and found that physical exercise can not only directly affect the subjective well-being of high school students but also influence the subjective well-being of high school students through intermediary variables such as self-esteem, interpersonal relationship, and personality. This is consistent with the conclusion of this study. Hence, self-esteem plays an intermediary role between physical exercise in college students and subjective well-being. Thus, hypothesis H3 is established.
The Role of Body Image and Self-Esteem Between Physical Exercise and Subjective Well-Being in College Students
Previous studies (Shin and Paik, 2003; Koronczai et al., 2013) affirmed the positive effect of body image on self-esteem, such as what Zeng and Huang (2001) pointed out in a review of body image: physical attributes of the human body like appearance, physical fitness, and health status. It is through the self-integration of the body into the overall self-concept. At the same time, this view is also evaluative. It will have a lasting impact on the self-esteem and self-confidence of people based on their social reference. This study further investigated the intermediary role of body image and self-esteem between physical exercise and the subjective well-being of college students. The results show that body image and self-esteem play a serial mediating role between physical exercise and the subjective well-being of college students. Thus, hypothesis H4 is established. And this result is understandable, people who take long-term physical exercise have better body image than those who do not exercise (Asci, 2002). It can be seen that physical exercise may contribute to the formation of positive body image of college students, and the positive cognition and evaluation of self-body may produce positive self-efficacy and high self-esteem (Guo et al., 2017), and then may affect their cognitive well-being and emotion such as satisfaction and interest in life, melancholy or happy mood, and relaxation and tension.
Implications
COVID-19, as a public health event with strong infectivity and fast spread, has caused a certain psychological burden to the public (Huang and Zhao, 2020). As a special social group, college students have not yet fully matured physically and mentally and are in a period of the high incidence of psychological problems. In the major epidemic and other social life stress events, their mental health should be paid close attention to. This study clarified the relationship between physical exercise, body image, self-esteem, and subjective well-being in Chinese college students, providing ideas for the intervention of mental health of college students.
The determination of the relationship between physical exercise and subjective well-being suggests that we should cultivate long-term awareness of physical exercise in college students and encourage them to exercise at a medium to a high level every week.
Kou (2017) believed that perspective-taking has the function of reducing negative body image in adolescent individuals. And some researchers suggested that group counseling can effectively improve the self-esteem of individuals (Lin and Hong, 2020). The support for a serial mediation role of body image and self-esteem between physical exercise and subjective well-being provides new ideas for the intervention of mental health of college students. Teachers can try to improve the efficiency of the intervention of subjective well-being of college students through the cultivation of long-term physical exercise awareness, the ability of perspective-taking, and the comprehensive use of group counseling methods.
Limitations and Future Research Directions
This study clarified the relationship between physical exercise, body image, self-esteem, and subjective well-being in Chinese college students, which had theoretical and practical implications. However, this study also has some limitations (1) owing to the use of cross-sectional studies, it was impossible to infer the causal relationship between variables. In the future, follow-up design and experimental studies can be used to test (2) Since the three universities selected in this study are all science and engineering universities, there are far more male college students than females in the sample obtained, so it failed to examine the influence of gender variables in the research variables. Future research should consider gender factors to make reasonable suggestions for college students of different genders.
Conclusion
The present study is unique in examining the relationship between physical exercise, body image, self-esteem, and subjective well-being in a sample of Chinese college students. This study finds that students with the medium and high level of physical exercise have a higher score of subjective well-being than those with the low-level exercise. Self-esteem is established as mediators of physical exercise and subjective well-being, and the combination of body image and self-esteem is also established as a serial intermediary role between physical exercise and subjective well-being in college students. The confirmation of the path related to physical exercise and subjective well-being provides evidence for clarifying the relationship between physical exercise and subjective well-being. It provides a reference for the intervention of mental health of college students.
Data Availability Statement
The original contributions presented in the study are included in the article/Supplementary Material, further inquiries can be directed to the corresponding author.
Ethics Statement
The studies involving human participants were reviewed and approved by the Ethics Committee at the Chengdu Sports University. The patients/participants provided their written informed consent to participate in this study.
Author Contributions
YS, S-YY, and H-DX: conceptualization, analysis, and writing—original draft preparation. YS and H-DX: methodology and software. YS and S-YY: resources and data curation. YS: writing—review and editing. All authors contributed to the article and approved the submitted version.
Conflict of Interest
The authors declare that the research was conducted in the absence of any commercial or financial relationships that could be construed as a potential conflict of interest.
Supplementary Material
The Supplementary Material for this article can be found online at: https://www.frontiersin.org/articles/10.3389/fpsyg.2021.658935/full#supplementary-material
References
Asci, F. H. (2002). The effects of step dance on physical self-perception of female and male university students. Int. J. Sport Psychol. 33, 431–442. doi: 10.1080/00207590244000124
Bao, X. L., Yang, J. M., and Zhang, J. Y. (2010). The intervention research on the influence of subjective well-being from different motivational climate in P.E among college and middle school students. J. Beijing Sport Univ. 33, 96–100. doi: 10.19582/j.cnki.11-3785/g8.2010.05.028
Borges, G., Benjet, C., Medina-Mora, M. E., and Miller, M. (2010). Body mass index and its relationship to mental disorders in the mexican adolescent mental health survey. Salud Publica Mex. 52, 103–110. doi: 10.1590/s0036-36342010000200001
Borges, A., Gaspar de Matos, M., and Diniz, J. (2013). Body image and subjective well-being in Portuguese adolescents. Span. J. Psychol. 16:E17. doi: 10.1017/sjp.2013.24
Cash, T. F. (2004). Body image: past, present, and future. Body Image 1, 1–5. doi: 10.1016/S1740-1445(03)00011-1
Cash, T. F., Counts, B., and Huffine, C. E. (1990). Current and vestigial effects of overweight among women: fear of fat, attitudinal body image, and eating behaviors. J. Psychopathol. Behav. Assess. 12, 157–167. doi: 10.1007/BF00960765
Chen, Z. S., and Ji, L. (2006). The effects of physical exercise on subjective well being of senior high school students and their psychological mechanism. Acta Psychol. Sin. 2006, 562–575. doi: 10.15942/j.jcsu.2013.10.003
Chen, K. M., Yang, J., Dong, L., and Xia, Q. B. (2013). Effect of physical exercise on adolescents’ psychological stress, coping styles and subjective well- being. J. Chengdu Sport Univ. 39, 75–79. doi: 10.15942/j.jcsu.2013.10.003
Chen, F. L., Yang, J., and Ji, L. (2015). Psychological effects of exercise research: content, development, mechanism and trend. J. Wuhan Inst. Phys. Educ. 49, 94–100. doi: 10.15930/j.cnki.wtxb.2015.06.016
Chen, Z. Y., and Yu, P. (2015). The influence of physical exercise on subjective well-being of college students: an intermediary effect of peer relationship. J. Capital Univ. Phys. Educ. Sport. 27, 165–171. doi: 10.14036/j.cnki.cn11-4513.2015.02.015
Diener, E. (1984). Subjective well-being. Psychol. Bull. 95, 542–575. doi: 10.1037/0033-2909.95.3.542
Diener, E. (2000). Subjective well-being. The science of happiness and a proposal for a national index. Am. Psychol. 55, 34–43. doi: 10.1037/0003-066X.55.1.34
Diener, Ed. (2009). [social indicators research series] culture and well-being volume 38 || cross-cultural correlates of life satisfaction and self-esteem (Chapter 4), 71–91. doi: 10.1007/978-90-481-2352-0
Diener, E., and Diener, M. (1995). Cross-cultural correlates of life satisfaction and self-esteem. J. Pers. Soc. Psychol. 68, 653–663. doi: 10.1037/0022-3514.68.4.653
Ding, S. Y., Xiao, R., and Zhang, Z. (2016). The relationship between college students’ sports and life-meaning. Chin. J. School Health 37, 445–448. doi: 10.16835/j.cnki.1000-9817.2016.03.037
Duan, J. H. (1996). Trial results and analysis of the general happiness scale among college students in our country. Chin. J. Clin. Psych. 1, 56–57.
Edward, M., Shannon, L. M., and Susan, M. B. (1997). Exercise and self-esteem in middle-aged adults: multidimensional relationships and physical fitness and self-efficacy influences. J. Behav. Med. 20, 67–83. doi: 10.1023/A:1025591214100
Fang, R. (2008). Discussion on the relationship between physical exercise time, frequency, intensity and self-esteem of college students. Chin. J. Sports Med. 6, 758–760. doi: 10.16038/j.1000-6710.2008.06.033
Fang, R., and Chen, R. H. (2016). Mediating effect of physical exercise level between SOC strategies of intentional self-regulation and self-esteem among college students. J. Tianjin Univ. Sport 31, 393–435. doi: 10.13297/j.cnki.issn1005-0000.2016.05.005
Feng, Q. Y. (2005). Body image and its relationship with depression, and social avoidance, & Anxiety among undergraduates. Master Thesis. Shanxi University. Available at: https://kns.cnki.net/KCMS/detail/detail.aspx?dbname=CMFD0506&filename=2005114285.nh (Accessed May 6, 2021).
Gao, S., Zhang, X. K., and Xu, X. L. (2015). A meta-analysis of the relationship between self-esteem and mental health: the sample of Chinese college students. Adv. Psychol. Sci. 23, 1499–1507. doi: 10.3724/SP.J.1042.2015.01499
Guo, C. H. (2019). The relationship between college students’ ego-centrism and subjective well-being: the mediating effect of self-esteem. Stud. Psychol. Behav. 17, 546–552. doi: 10.3969/j.issn.1672-0628.2019.04.014
Guo, Q. G., Luo, J., Sang, M. L., and Xie, H. D. (2017). Influence of self-esteem and body image on sports participation in students. J. Xi’an Phys. Educ. Univ. 34, 730–738. doi: 10.16063/j.cnki.issn1001-747x.2017.06.015
Hausenblas, H. A., and Fallon, E. A. (2006). Exercise and body image: a meta-analysis. Psychol. Health 21, 33–47. doi: 10.1080/14768320500105270
Hayes, A. (2013). Introduction to mediation, moderation, and conditional process analysis. J. Educ. Meas. 51, 335–337. doi: 10.1111/jedm.12050
Hu, H. F. (2017). Effect of body image and social physique anxiety on motor behavior in freshman. J. Chengdu Sport Univ. 43, 120–126. doi: 10.15942/j.jcsu.2017.02.021
Huang, Y., and Zhao, N. (2020). Generalized anxiety disorder, depressive symptoms and sleep qualityduring COVID-19 epidemic in China a web-based cross-sectional survey. Psychiatry Res. 258:112954. doi: 10.21203/rs.3.rs-17172/v1
Jiang, C. M., Zhang, Y. M., Zhang, Y. F., and Meng, Y. Z. (2009). Identification on evaluation of participating degree in physical exercise for both urban and rural residents in China. Chin. Sport Sci. 29, 24–39. doi: 10.16469/j.css.2009.05.003
Jiang, B. Y., and Zhu, P. L. (1997). The mental health of college and middle school students in shanghai and its relationship with physical exercise. J. Psychol. Sci. 3, 235–287. doi: 10.16719/j.cnki.1671-6981.1997.03.010
Jing, Y. M., Wu, X. Y., and Yu, L. (2016). On the relationship between body image and social anxiety of female college students in Normal universities. Party Build. Ideol. Educ. School. 15, 75–76.
Koronczai, B., Kökönyei, G., Róbert, U., Kun, B., Pápay, O., Nagygyörgy, K., et al. (2013). The mediating effect of self-esteem, depression and anxiety between satisfaction with body appearance and problematic internet use. Am. J. Drug Alcohol Abuse 39, 259–265. doi: 10.3109/00952990.2013.803111
Kou, M. J. (2017). Effect of perspective taking on adolescents’ negative physical self perception. Master Thesis. Northwest Normal University. Available at: https://kns.cnki.net/KCMS/detail/detail.aspx?dbname=CMFD201902&filename=1017203096.nh (Accessed May 6, 2021).
Li, J. B., Delvecchio, E., Di Riso, D., Salcuni, S., and Mazzeschi, C. (2015). Self-esteem and its association with depression among Chinese, Italian, and costa Rican adolescents: a cross-cultural study. Personal. Individ. Differ. 82, 20–25. doi: 10.1016/j.paid.2015.02.036
Li, J. L., and Liu, W. (2014). Research on dual effects of physical exercise on subjective and psychological happiness. Theory Pract. Educ. 34, 37–39.
Li, J. Z., Wang, W. Z., and Shi, J. N. (2003). Positive psychology: a new trend in psychology (in Chinese). Adv. Psychol. Sci. 11, 321–327. doi: 10.3969/j.issn.1671-3710.2003.03.014
Liang, D. Q. (1994). The relationship between stress level and exercise in college student (in Chinese). Chin. Ment. Health J. 8, 5–6.
Lin, M., and Hong, C. (2020). Intervention effect of group counseling on the self-esteem of impoverished undergraduates: a therapy based on acceptance and commitment therapy and music therapy. Chin. J. School Health 41, 73–77. doi: 10.16835/j.cnki.1000-9817.2020.01.020
Liu, Z. H. (2020). Effects of physical exercise on negative emotion for university students ——The mediating and moderating effects of self-efficacy and mental resilience. J. Phys. Educ. 27, 102–108. doi: 10.16237/j.cnki.cn44-1404/g8.2020.05.014
Murray, S. L., Holmes, J. G., and Griffin, D. W. (2000). Self-esteem and the quest for felt security: how perceived regard regulates attachment processes. J. Pers. Soc. Psychol. 78, 478–498. doi: 10.1037/0022-3514.78.3.478
Ouyang, Y. Y., Wang, K., Zhang, T. R., Peng, L., Song, G., and Luo, J. (2019). The influence of sports participation on body image, self-efficacy, and self-esteem in college students. Front. Psychol. 10:3039. doi: 10.3389/fpsyg.2019.03039
Qasim, S., Ravenscroft, J., and Sproule, J. (2014). The effect of karate practice on self-esteem in young adults with visual impairment: a case study. Aust. J. Educ. Dev. Psychol. 14, 167–185.
Shin, H. S., and Paik, S. N. (2003). Body image, self-esteem and depression in college female students: normal and overweight. Taehan Kanho Hakhoe Chi 33, 331–338. doi: 10.4040/jkan.2003.33.3.331
Song, J. X. (2016). The influence of body image and self-esteem on College Students’ Sports Participation. Master Thesis. Southwest University. Available at: https://kns.cnki.net/KCMS/detail/detail.aspx?dbname=CMFD201701&filename=1016766350.nh (Accessed May 6, 2021).
Suh, E., Diener, E., Oishi, S., and Triandis, H. C. (1998). The shifting basis of life satisfaction judgments across cultures: emotions versus norms. J. Pers. Soc. Psychol. 74, 482–493. doi: 10.1037/0022-3514.74.2.482
Tian, L. M. (2006). Shortcoming and merits of Chinese version of Rosenberg (1965) self-esteem scale. Psychol. Explor. 26, 88–91. doi: 10.3969/j.issn.1003-5184.2006.02.020
Wang, H. Z., Jiang, Q., and Hou, L. L. (2017a). The relationship between character strengths and subjective well-being among college students: the roles of strengths use and stressful life events. Psychol. Dev. Educ. 33, 95–104. doi: 10.16187/j.cnki.issn1001-4918.2017.01.11
Wang, Y. H., Xie, X. C., Chen, H., and Lei, L. (2017b). Body image disturbance among females: the influence mechanism of social network sites. Chin. J. Clin. Psychol. 25, 1079–1087. doi: 10.16128/j.cnki.1005-3611.2017.06.018
Wu, L. Z., and Zhang, L. J. (2003). The making of body-image evaluating questionnaire and the influence of aerobics on body-image deficiency in undergraduates. J. Beijing Sport Univ. 6, 861–862. doi: 10.19582/j.cnki.11-3785/g8.2003.06.051
Xiao, R., Wangxiu, Q. Z., and Zheng, Z. S. (2017). The relationship between physical activity and depression in college students: the influence of gender differences. Chin. J. Sport. Med. 36, 812–822. doi: 10.16038/j.1000-6710.2017.09.013
Yan, J., Li, Q., Zhang, Z. K., Wang, B. Y., and Zhu, F. S. (2019). The influence of extracurricular physical exercise on the physical self-esteem and self-confidence of elementary students. Sport. Sci. 40, 100–104. doi: 10.13598/j.issn1004-4590.2019.02.012
Yin, H. C., and Fu, X. L. (2004). Analysis and perspective on mental health effects of physical exercise. Chin. Sport Sci. 6, 37–44. doi: 10.16469/j.css.2004.06.011
Yu, T., and Mao, Z. X. (2013). Relationship among physical exercise, self-esteem and personality of teenager in Beijing. Chin. Sport Sci. 33, 49–55. doi: 10.16469/j.css.2013.03.007
Zeng, X., and Huang, X. T. (2001). Research on body self abroad. Adv. Psychol. Sci. 1, 41–46. doi: 10.3969/j.issn.1671-3710.2001.01.008
Zhang, L. W. (2007). Physical self and subjective well-being. J. Beijing Sport Univ. 8, 1011–1021. doi: 10.19582/j.cnki.11-3785/g8.2007.08.002
Zhong, B. G., Yao, G. Y., and Liu, H. (2006). Study of effects of physical exercise on physical self-concept of university students in Hongkong. J. Wuhan Inst. Phys. Educ. 1, 44–48. doi: 10.15930/j.cnki.wtxb.2006.01.012
Keywords: physical exercise, subjective well-being, body image, self-esteem, college students
Citation: Shang Y, Xie H-D and Yang S-Y (2021) The Relationship Between Physical Exercise and Subjective Well-Being in College Students: The Mediating Effect of Body Image and Self-Esteem. Front. Psychol. 12:658935. doi: 10.3389/fpsyg.2021.658935
Edited by:
Sergio Machado, Salgado de Oliveira University, BrazilReviewed by:
Alvaro Sanchez-Lopez, Complutense University of Madrid, SpainAnna Mulasso, University of Turin, Italy
Copyright © 2021 Shang, Xie and Yang. This is an open-access article distributed under the terms of the Creative Commons Attribution License (CC BY). The use, distribution or reproduction in other forums is permitted, provided the original author(s) and the copyright owner(s) are credited and that the original publication in this journal is cited, in accordance with accepted academic practice. No use, distribution or reproduction is permitted which does not comply with these terms.
*Correspondence: Yao Shang, NzQ3Mzc4NzA1QHFxLmNvbQ==