Abstract
The aim of the present study was to analyse the association of bullying and cyberbullying with deep learning, superficial learning, planning and decision making, as well as school procrastination. A total of 1,263 Spanish schoolchildren (51.39% girls) aged 10–16 years (13.23 ± 1.77) participated. The association between variables and the analysis of exposure risk was performed by analysis of covariance (ANCOVA) and binary logistic regression, respectively. All analyses were conducted separately for boys and girls and adjusted for age, body mass index, mother's education and average weekly physical activity. Results showed that girls who were victims of bullying and cyberbullying had significantly higher procrastination toward class tasks (7 and 16%, respectively). In addition, cyberbullying victims acquire more superficial learning (5.28%). In general, victims of bullying have almost twice the risk of having higher values of superficial learning and procrastination than non-victims. This risk is multiplied by 3 and 4, respectively, in the case of cyberbullying victims. On the other hand, bullying aggressors were also found to have high superficial learning (7.34%) and higher procrastination (17.45%). In the case of cyberbullying, aggressors also had more superficial learning (boys = 13.38% and girls = 9.56%), worse values in planning and decision making (boys = 3.82% and girls = 3.3%) and more procrastination (boys = 16.81% and girls = 20.48%). In both sexes, the risk of exposure to aggression toward the above variables is multiplied by 8, 2, and 10, respectively. All these findings reveal that bullying and cyberbullying can affect young people in key learning variables, beyond those of physical, psychological or socio-emotional aspects already known. Immediate and systematic actions are needed to monitor and prevent bullying and cyberbullying inside and outside the school context, creating safe spaces and providing counseling for both victims and aggressors.
1 Introduction
Bullying has been defined as a manifestation of mistreatment between students, characterized by acts of physical or mental violence and sustained over time (Nain et al., 2023). This behavior can be perpetrated by one or several individuals and is directed toward another subject or group that is in a situation of inability to defend itself (Nain et al., 2023; Olweus, 1978). This type of mistreatment generates episodes of aggression and victimization that provoke a hostile environment in the classroom and lead to consequences such as anxiety crises, isolation and a decrease in interest in learning (Cerezo, 2002; Rigby, 2000). It has been found that 32% of the adolescent population has experienced bullying by their peers at least once a month (UNESCO, 2019), however, these values could increase as bullying is adopting new forms such as cyberbullying (Makarova and Makarova, 2023).
Cyberbullying refers to the use of digital media such as social networks, messaging apps and websites with the intent to intentionally and repeatedly harass, threaten, humiliate or harm a person (Livazovi and Ham, 2019; Martínez-Soto and Ibabe, 2024). This modern bullying procedure is distinguished by its ability to transcend physical barriers as it allows aggressors to attack their victims anytime, anywhere (Ramadan, 2023). Characteristics of cyberbullying include spreading rumors, publishing personal information without consent, and creating fake profiles to damage someone's reputation (Palade and Pascal, 2023). This form of bullying has experienced a considerable rise internationally and has attracted significant attention from researchers in the last 5 years (Kumari et al., 2020). A relevant feature that differentiates this form of bullying from traditional bullying is the anonymity offered by the platforms as they allow bullies to act without fear of retaliation (Boichuk et al., 2023) and traditional bullying can occur in physical environments and cyberbullying through digital platforms (Ramadan, 2023). With regard to bullying roles, it has been observed that victims tend to manifest passive behavior, while bullies can be classified into two categories: active and passive (Laninga-Wijnen et al., 2023; Revuelta Domínguez et al., 2023; Santoyo and Frías, 2014). Bullies, unlike victims, demonstrate ostensible self-confidence (Laninga-Wijnen et al., 2023; Revuelta Domínguez et al., 2023; Santoyo and Frías, 2014), tend to lead groups (Santoyo and Frías, 2014) and report experiencing feelings of happiness or anger during the act of bullying (Pedditzi et al., 2022).
Despite the above differences, bullying and cyberbullying represent a common problem among students in educational institutions (Javed et al., 2023). This phenomenon has reported negative effects on physical (physical violence) (Tintori et al., 2021), psychological (verbal violence or insults) (Shi et al., 2024) or socio-emotional (isolation) aspects (Alotaibi, 2019; Fullchange and Furlong, 2016), but there are still few studies that analyse the direct effect on key aspects for comprehensive youth development such as learning. Some variables that have already begun to be studied in this line are the negative effects on the attitude toward education (de Benítez-Sillero et al., 2021), poor quality learning (Graham, 2023), or the inadequate study strategies it provokes in students involved in bullying (Aparisi et al., 2021).
In this context, learning-related variables have been assessed by monitoring the acquisition of learning through methods that differentiate between deep learning and superficial learning (Matton and Svensson, 1979). Deep learning is defined as an educational process by which students achieve comprehensive understanding by implementing cognitive strategies of analysis and inference (Çetín and Demirtaş, 2022) and is characterized by providing intrinsic motivation (Badawi, 2023). In contrast, superficial learning is identified by the student's inability to relate new knowledge to previously acquired information, favoring a passive approach focused on memorization and the application of basic cognitive strategies (Santrock, 2006). This extrinsically motivated category of knowledge acquisition is distinguished by a constant preoccupation with potential school failure (Entwistle and Ramsden, 1983).
On the other hand, other variables that determine effectiveness toward the acquisition of competences in students are planning and decision making toward classroom tasks. Planning is defined as the set of steps to be taken to achieve a specific goal, which involve the organization and recognition of the task (Baggetta and Alexander, 2016). Students with low perceived stress, high self-esteem and lower frustration have been found to have high levels of planning (Ibáñez et al., 2018; Valiente-Barroso et al., 2021). Moreover, bullying experiences may result in poor learning planning (McNaughton et al., 2023). Another relevant aspect is related to decision-making, characterized by following a complex process involving phases of problem identification and analysis, evaluation of personal decisions, and exploration of alternative solutions (Oliva et al., 2011; Pardos and María González Ruiz, 2018). Despite the above, planning, decision-making and task completion may be postponed for various reasons such as procrastination. Procrastination is described as the tendency of students to intentionally delay relevant tasks or decisions, opting instead for more pleasurable activities (Olleras et al., 2022). The main characteristic resulting from procrastination behavior is the heavy workload at the last minute (Kuftyak, 2022). As a result, the perpetuation of the procrastination cycle can lead to elevated levels of stress and anxiety (Mohammadi Bytamar et al., 2020), low self-esteem, lack of self-regulation and intrinsic motivation (Tan and Pang, 2023) and consequently low learning efficacy (Xu, 2023; Xu et al., 2023).
All of the above allows us to identify a complex relationship between bullying and learning variables that may be, in turn, affected by many other covariates. Specifically, it has been observed that bullying tends to occur mainly between students of the same sex (Bonet-Morro et al., 2022). In addition, bullied girls are at a higher risk of poor academic performance compared to boys (Riffle et al., 2021) and tend to seek outside help, while boys tend to respond at the time or later (Bonet-Morro et al., 2022). Another relevant variable, in the context of learning and bullying dynamics, is the inclusion of the mother's educational level due to its influence on attitudes, knowledge and practices related to parenting and child rearing (Masapanta-Andrade and Alvear-Arévalo, 2023; Montes Quiroz et al., 2023). Recent studies have reported the importance of analyzing the mother's educational level to control for effects and to obtain more accurate and reliable results in research related to adolescents' academic development and psychosocial wellbeing (Baharvand et al., 2021).
Finally, there are other variables that may affect many young people and also have a complex relationship with bullying (García-Hermoso et al., 2020; Lavay, 2015; Méndez et al., 2019). On the one hand, students who practiced physical activity at least four times a week show higher values of aggressiveness compared to students who practiced less frequently (Méndez et al., 2019). On the other hand, not meeting the recommended weekly physical activity guidelines seems to be associated with 14% more bullying victimization (García-Hermoso et al., 2020). In the educational context, bullying was one of the main reasons why students dropped out of Physical Education classes, with 11.1% of students experiencing physical bullying, 13.6% verbal bullying and 12.8% social bullying (Lavay, 2015). The relationship between physical activity, aggressiveness and victimization can be explained by the different roles that students assume in physical education. Those who practice more physical activity tend to occupy positions of dominance in competitive contexts, which may favor aggressive behaviors. On the other hand, those who are less active present lower motor competence and physical self-esteem, which makes them more vulnerable to exclusion and bullying. Thus, the level of physical practice is associated with both aggression and victimization, although by different mechanisms conditioned by the social and pedagogical context of the classroom (Rusillo-Magdaleno et al., 2024). Moreover, a high body mass index (BMI) is present in a large proportion of bullying-related cases (Bacchini et al., 2015; Cheng et al., 2022; Lian et al., 2018). Overweight young people were 26% more likely to experience bullying victimization than those of normal weight (Ganapathy et al., 2019; Lee et al., 2018; Pérez-de Corcho et al., 2023). In the case of cyberbullying, youth obesity is also present in 17.2% of cases (Sergentanis et al., 2021). However, other studies found no significant associations between obesity and cyberbullying (Lee et al., 2018; Wang et al., 2010). Age is also a possible confounding variable given its relevance in previous studies, where cognitive and emotional maturity have been found to significantly influence how individuals learn and interact with their environment (Zaatari and El Maalouf, 2022; Urruticoechea et al., 2021). Academic performance, mental health and IQ have also been found to be significantly associated with mothers' educational attainment (Baharvand et al., 2021).
The present research adopts an innovative approach by analyzing not only the repercussions of bullying on the victims, but also its the aggressors themselves. Likewise, the influence of bullying on academic performance and the learning process remains an area of study with limited quantification. To date, no precise metrics have been developed to assess the level of risk to which students involved in bullying situations are exposed, which makes it difficult to design preventive strategies based on empirical and quantifiable data. Based on the above, the aim of this study was to analyze the association between victims and perpetrators of bullying and cyberbullying with deep learning, superficial learning, planning and decision-making and procrastination in schoolchildren and adolescents of both sexes in the Spanish population, after adjusting for age, BMI, mother's level of education and average AFMV. The present study hypothesized that both young victims and perpetrators of bullying and cyberbullying have a poorer quality of learning and present a higher risk of superficial learning, low planning, difficulties in decision making and school procrastination than those who are not involved in bullying and cyberbullying situations.
2 Methods
2.1 Participants
A total of 1,263 primary and secondary school students aged 10–16 years (13.23 ± 1.76 years, 51.38% girls) participated in the present cross-sectional quantitative study. Data collection took place between February and May 2023. Students from seven schools in the autonomous community of Andalusia (Spain) were surveyed. Schools were selected by convenience and participants were selected randomly and proportionally to the total number of each class group. Anthropometric and sociodemographic characteristics are detailed in Table 1.
Table 1
| Variables | All ( n = 1,263) | Boy ( n = 614) | Girls ( n = 649) | p | |||
|---|---|---|---|---|---|---|---|
| Mean/ N | SD/% | Mean/ N | SD/% | Mean/ N | SD/% | ||
| Age (years) | 13.23 | 1.77 | 13.22 | 1.81 | 13.25 | 1.72 | 0.801 |
| Weight (kg) | 52.38 | 13.54 | 54.79 | 15.04 | 50.09 | 11.5 | < 0.001 |
| Size (m) | 1.59 | 0.11 | 1.61 | 0.13 | 1.57 | 0.08 | < 0.001 |
| Body mass index (kg/m2) | 20.52 | 4.02 | 20.81 | 3.96 | 20.24 | 4.06 | 0.012 |
| Mother's school level (%) | |||||||
| No studies | 4.80% | 4.60% | 4.90% | 0.02 | |||
| Elementary studies | 10.50% | 10.70% | 10.20% | ||||
| Secondary studies | 14.40% | 11.40% | 17.30% | ||||
| Professional training | 13.60% | 13.70% | 13.60% | ||||
| University studies | 35.40% | 32.60% | 38.10% | ||||
| N/C | 20.40% | 25.10% | 16% | ||||
| Mean MVPA | 4.01 | 1.76 | 4.3 | 1.81 | 3.73 | 1.67 | < 0.001 |
| Bullying victimization | |||||||
| Never | 192 | 15.2 | 110 | 17.9 | 82 | 12.6 | 0.058 |
| Once or twice | 668 | 52.9 | 309 | 50.3 | 359 | 55.3 | |
| Once or twice/month | 301 | 23.8 | 140 | 22.8 | 161 | 24.8 | |
| Once/week | 82 | 6.5 | 45 | 7.3 | 37 | 5.7 | |
| More than once/week | 20 | 1.6 | 10 | 1.6 | 10 | 1.5 | |
| Bullying aggression | |||||||
| Never | 352 | 27.9 | 158 | 25.7 | 194 | 29.9 | 0.02 |
| Once or twice | 716 | 56.7 | 344 | 56 | 372 | 57.3 | |
| Once or twice/month | 153 | 12.1 | 90 | 14.7 | 63 | 9.7 | |
| Once/week | 34 | 2.7 | 20 | 3.3 | 14 | 2.2 | |
| More than once/week | 8 | 0.6 | 2 | 0.3 | 6 | 0.9 | |
| Cyberbullying victimization | |||||||
| Never | 556 | 44 | 296 | 48.2 | 260 | 40.1 | 0.025 |
| Once or twice | 625 | 49.5 | 282 | 45.9 | 343 | 52.9 | |
| Once or twice/month | 61 | 4.8 | 26 | 4.2 | 35 | 5.4 | |
| Once/week | 19 | 1.5 | 8 | 1.3 | 11 | 1.7 | |
| More than once/week | 2 | 0.2 | 2 | 0.3 | 0 | 0 | |
| Cyberbullying aggression | |||||||
| Never | 718 | 56.8 | 346 | 56.4 | 372 | 57.3 | 0.389 |
| Once or twice | 485 | 38.4 | 235 | 38.3 | 250 | 38.5 | |
| Once or twice/month | 37 | 2.9 | 23 | 3.7 | 14 | 2.2 | |
| Once/week | 23 | 1.8 | 10 | 1.6 | 13 | 2 | |
| More than once/week | 0 | 0 | 0 | 0 | 0 | 0 | |
| Deep learning | 2.89 | 0.72 | 2.83 | 0.74 | 2.95 | 0.7 | 0.004 |
| Superficial learning | 2.73 | 0.76 | 2.84 | 0.76 | 2.62 | 0,.4 | < 0.001 |
| Planning and decision making | 5.46 | 0.97 | 5.35 | 1.04 | 5.56 | 0.88 | < 0.001 |
| Procrastination | 2.39 | 0.98 | 2.49 | 1.01 | 2.28 | 0.95 | < 0.001 |
Biometric and sociodemographic characteristics, bullying/cyberbullying (behaviors described during the last 2 months), learning and confounding variables in adolescents, segmented by sex.
2.2 Dependent variables
2.2.1 Attitudes toward study
The revised version of the “Revised study process questionnaire” (R-SPQ-2F) (Biggs et al., 2001) was used to measure attitudes toward study. This version included 20 items and was structured in two dimensions. Factor 1: Superficial learning (10 items, e.g., < < I learn some things by heart and repeat them, over and over again, even though I do not understand them>>) and Factor 2: Deep learning (10 items, e.g., < < I ask myself questions about subject topics to see if I have understood them clearly>>). Responses are scored on a Likert-type scale with values ranging from 1 = Almost always/always happens to me to 5 = Never or rarely happens to me. The reliability indices obtained using Cronbach's α-statistic were: α superficial learning = 0.790, α deep learning = 0.773.
2.2.2 Planning and decision-making
To analyze planning and decision making, the “Scale for the assessment of planning and decision making” (Darden et al., 1996) was used. The factor structure consists of a single factor including eight items (e.g., < < I think a lot in my head and analyze everything when I try to solve a problem>>). Responses are scored on a Likert-type scale ranging from 1 = Strongly Disagree to 7 = Strongly Agree. The reliability index obtained using Cronbach's α statistic was α = 0.818.
2.2.3 Procrastination
The “Academic procrastination scala-short form” (APS-SF) psychometrically validated by Yockey (2016) was used to assess participants' level of procrastination. The factor structure of this version is a single factor composed of five items (e.g., < < I leave homework or class assignments to the last minute>>). Responses are scored on a Likert-type scale with values ranging from 1 = Completely false to 5 = Completely true. The reliability index obtained in this dimension was carried out using Cronbach's α statistic and has a result of α = 0.839.
2.3 Predictor/independent variables
2.3.1 Bullying and cyberbullying
The level of bullying was assessed using the instrument “European bullying intervention project questionnaire” Spanish version of Ortega-Ruiz et al. (2016), 14 items, distributed in two dimensions: victimization (seven items) and aggression (seven items). Examples of items include: “Someone has hit or kicked me” and “I have insulted another colleague”. On the other hand, the Spanish version of the “European cyberbullying intervention project questionnaire” (ECIPQ; Del Rey et al., 2015) was used to assess cyberbullying, this instrument includes 22 items also divided into two dimensions: cyber-victimization (11 items) and cyber-aggression (11 items). Examples of items are: “Someone has spread rumors about me through the Internet” and “I have impersonated someone on social networks to make fun of him/her”. Reliability results are high for both bullying (Crombach's α victimization = 0.840 and Crombach's α aggression = 0.814) and cyberbullying (α cybervictimization = 0.872 and α cyberaggression = 0.877). Both questionnaires were administered individually and employ a Likert-type scale with a score ranging from 1 = Never to 5 = More than once a week. The items explore the frequency with which the described behaviors have occurred during the last 2 months and both require ~15 min to complete.
2.4 Confounding variables
2.4.1 Age, body mass index, mother's education, and weekly physical activity
The age and educational level of each participant's mother were recorded using a socio-demographic data questionnaire (Baharvand et al., 2021; Zaatari and El Maalouf, 2022). Moreover, BMI (Bacon and Lord, 2021) was calculated using the Quetelet formula: weight (kg)/height2 (m). A digital scale ASIMED® type B, class III and a portable measuring rod SECA® 214 (SECA Ltd., Hamburg, Germany) were used to obtain weight and height measurements. Both measurements were taken in light clothing and without shoes. Weekly physical activity level was assessed using the “PACE+ Adolescent physical activity measure physical” questionnaire (Prochaska et al., 2001). This consists of two items asking the number of days on which the participants have performed at least 60 min of physical activity at moderate or vigorous intensity during the last 7 days and during a typical week. The final score was obtained by averaging both responses: (P1 + P2)/2). Its reliability index was α = 0.739.
2.5 Procedure
Data recording was carried out during the academic year 2022/23. A verbal and written description of the nature and purpose of the study was given to students, parents and legal guardians. Permission was also obtained from the school management and physical education teachers. The names of the participating students were coded to ensure anonymity and confidentiality. Each student completed questionnaires on bullying, attitudes toward studying, planning and decision-making, procrastination and a socio-demographic information table. During the completion of the questionnaires and the weight and height measurements, a specialized researcher gave instructions and monitored the time, while two research assistants observed possible doubts and any possible disturbances (e.g., space separation to ensure confidentiality of answers, noise outside the classroom, confused students, operation of electronic tools or internet connection). The study was approved by the Bioethics Commission of the University of Jaén (Spain), reference NOV.22/2.PRY. The design took into account the current Spanish legal regulations governing clinical research in humans (Royal Decree 561/1993 on clinical trials), as well as the fundamental principles established in the Declaration of Helsinki (2013, Brazil).
2.6 Statistical analysis
Comparison of continuous and categorical variables for all students and between boys and girls was carried out using Student's t-tests and χ2 tests, respectively. The normality and homoscedasticity of the data were verified using the Kolmogorov-Smirnov and Levene tests, respectively. To study whether adolescents with high levels of bullying and cyberbullying victimization/aggression had worse learning levels than those participants with low levels, an analysis of covariance (ANCOVA) was performed. Deep learning, superficial learning, planning and decision making, and procrastination were used as dependent variable and bullying victimization, bullying aggression, cyberbullying victimization, and cyberbullying aggression were entered as fixed factor. The bullying and cyberbullying values were dichotomized so that participants who stated that they had never been a victim/offender of bullying and/or cyberbullying (questionnaire score = 1) were labeled as “Never” and those who had ever been a victim/offender (questionnaire score = 2–5) were labeled as “Sometimes.” Because many comparison groups had different sample sizes, effect sizes were calculated using Hedges' g, where 0.2 = small effect, 0.5 = medium effect, and 0.8 = large effect (Martínez-López et al., 2018). The percentage of difference between groups (victims/non-victims - aggressors/non-aggressors)was calculated as: [(Large-measurement - small-measurement)/small-measurement] × 100. To find out the level of risk of bullying victimization/aggression and cyberbullying toward lower values in deep learning, superficial learning, planning and decision-making, and procrastination, a binary logistic regression was carried out. For this, the dependent variables were dichotomized by taking the median as a reference (Kobel et al., 2022; Zhong et al., 2023). Each strategy was classified as High ≥ median (reference group) vs. Low < median (risk group). In all analyses, age, BMI, mother's educational attainment and weekly physical activity were used as covariates. All analyses were conducted separately for boys and girls. A 95% confidence level (p < 0.05) was used for all results. All calculations were performed with the statistical software SPSS, v. 25.0 for WINDOWS (SPSS Inc., Chicago).
3 Results
3.1 Analysis of covariance of bullying and cyberbullying victimization with respect to deep and superficial learning, planning and school procrastination
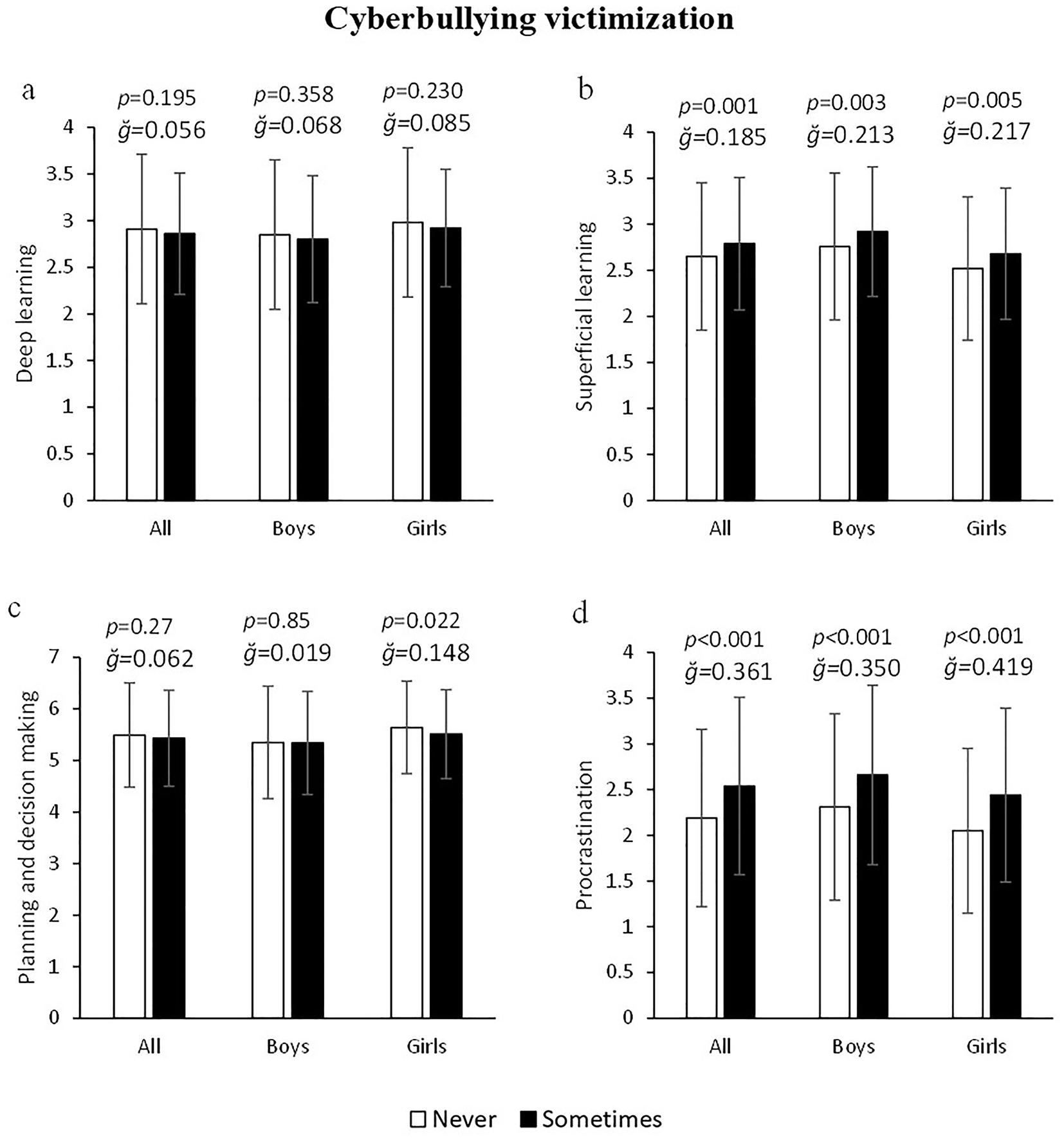
Overall, no significant differences were found in any learning variable as a function of bullying victimization (all p > 0.05; Figures 1a–d). Only, girls victimized by bullying showed higher procrastination toward class tasks (6.97%) than non-victimized girls (2.15 ± 1.03 vs. 2.3 ± 0.94 a.u.) F(1, 643) = 4.241, p = 0.04, g = 0.158, 1–β = 0.538 (Figure 1d). On the other hand, both all young victims of cyberbullying and segmented by sex showed higher values in superficial learning: 5.28% (2.65 ± 0.8 vs. 2.79 ± 0.72 a.u.) F(1, 1245) = 12.102, p = 0.001, g = 0.185, 1–β = 0.935 (Figure 2b) and procrastination: 15.98% (2.19 ± 0.97 vs. 2.54 ± 0.97 a.u.) F(1, 1245) = 45.275, p < 0.001, g = 0.361, 1–β = 0.998 (Figure 2d). In turn, the data also showed that planning and decision making was significantly lower in cyberbullying victimized girls: 2.36% (p = 0.022) but not in victimized boys (p > 0.05), Figure 2c. No significant differences in deep learning were found as a function of cyberbullying victimization in either boys or girls (all p > 0.05, Figure 2a).
Figure 1

Association of bullying victimization with deep and superficial learning, planning and school procrastination.
Figure 2

Association of cyberbullying victimization with deep and superficial learning, planning and school procrastination.
3.2 Analysis of covariance of aggression in bullying and cyberbullying with respect to deep and superficial learning, planning and school procrastination
Young bullying aggressors showed significantly lower deep learning: −3.5% (2.96 ± 0.76 vs. 2.86 ± 0.71 a.u.) F(1, 1245) = 6.977, p = 0.008, g = 0.138, 1–β = 0.752 (Figure 2a), higher superficial learning: 7.34% (2.59 ± 0.72 vs. 2.78 ± 0.76 a.u.) F(1, 1245) = 20.673, p < 0.001, g = 0.254, 1–β = 0.995 (Figure 2b), lower values in planning and decision making: −2.40% (5.55 ± 0.94 vs. 5.42 ± 0.98 a.u.) F(1, 1245) = 5.614, p = 0.018, g = 0.134, 1–β = 0.658 (Fiureg 2c) and high procrastination: 17.45% (2.12 ± 0.94 vs. 2.49 ± 0.98 a.u.) F(1, 1245) = 48.346, p < 0.001, g = 0.392, 1–β = 1.000, compared to non-aggressors. More specifically, aggressor girls had worse values in all learning variables: Deep learning: −3.78% (p = 0.031, Figure 3a), superficial learning: 7.66% (p = 0.001, Figure 3b), planning: −4.01% (p = 0.005, Figure 3c) and procrastination: 25.26% (p < 0.001, Figure 3d). In boys, significant differences were only found in superficial learning and procrastination, where offenders showed higher values: 6.25% (p = 0.007, Figure 3b) and 8.09% (p = 0.008, Figure 3c), respectively.
Figure 3

Association of bullying agression with deep and superficial learning, planning and school procrastination.
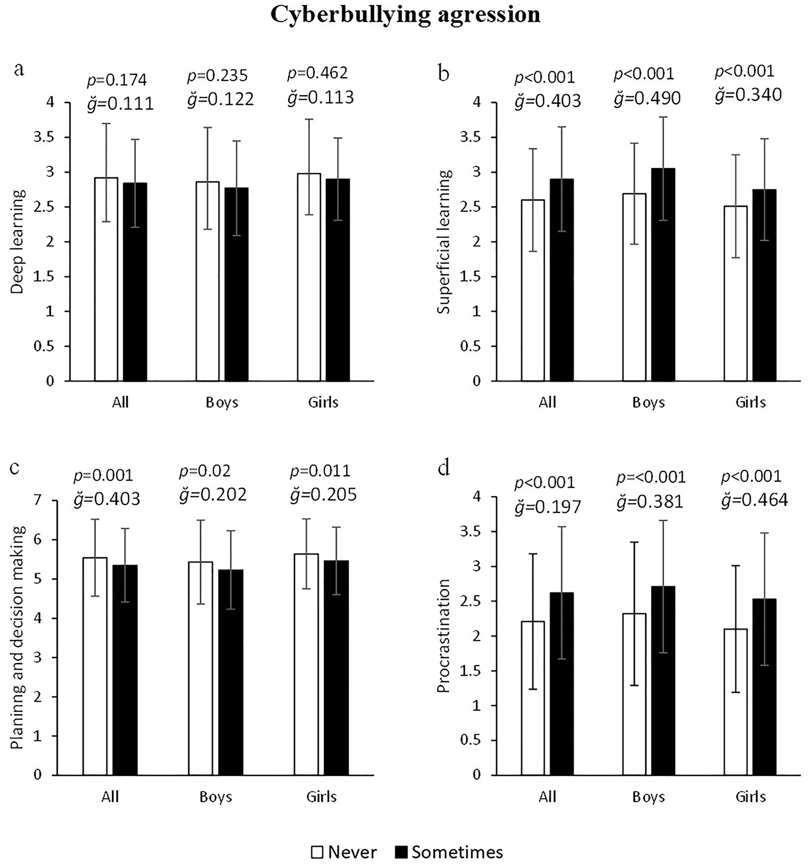
Similarly, cyberbullying aggressors had higher values of superficial learning: −11.54% (2.6 ± 0.74 vs. 2.9 ± 0.75 a.u.) F(1, 1245) = 44.154, p < 0.001, g = 0.403, 1–β = 1. 000 (Figure 4b) and procrastination toward class tasks: 18.55% (2.21 ± 0.97 vs. 2.62 ± 0.95) F(1, 1245) = 44.362, p < 0.001, g = 0.197, 1–β = 1.000 (Figure 4d), as well as lower planning: −3.55% (5.54 ± 0.98 vs. 5.35 ± 0.94 a.u.) F(1, 1245) = 11.477, p = 0.001, g = 0.403, 1–β = 0.923, than those who are not cyberbullying aggressors (Figure 4c). Sex segmented analysis indicated that, in both boys and girls, cyberbullying offenders had higher values of superficial learning (boys =13.38% and girls = 9.56%; both p < 0.001, Figure 4b), lower planning scores (boys = 3.82% and girls = 3.3%; both p < 0.020, Figure 4c) and higher procrastination toward class tasks (boys = 16.81% and girls = 20.48%; both p < 0.001, Figure 4d). No statistically significant differences were found overall, nor segmented by sex, in the deep learning variable as a function of cyberbullying aggression (all p > 0.05) (Figure 4a).
Figure 4

Association of cyberbullying agression with deep and superficial learning, planning and school procrastination.
3.3 Binary logistic regression on bullying and cyberbullying victimization and aggression with respect to deep and superficial learning, planning and school procrastination
Data showing the risk of exposure to bullying and cyberbullying victimization/aggression with respect to the learning variables are shown in Table 2. Victims of bullying were 1.5 and 1.9 times more likely, and thus at greater risk, than non-victims to have high values for superficial learning [Odds ratio(OR) = 1.500; p < 0.001] and procrastination toward class tasks (OR = 1.910, p < 0.001), respectively. Similar risk values were obtained for the two previous variables when the analysis was carried out separately for boys and girls (both OR >1.47; p < 0.001). On the other hand, cyberbullying victims were 3.6, 1.4, and 4.3 times more likely than non-victims to have high values of superficial learning, low planning and high procrastination (OR = 3.579, OR = 1.444, and OR = 4.335, respectively, all p < 0.008). Sex-differentiated results showed that boys and girls victims of cyberbullying had a similar risk of superficial learning (both OR > 3.6; p < 0.001) and procrastination (both OR > 4.2; p < 0.001). However, within cyberbullying victimization, the risk of poor planning was only significant in girls (OR =1.730, p = 0.006). Finally, the risk probability of low deep learning outcomes was not significant in any case (all p > 0.05).
Table 2
| All (1,251) | Boys (602) | Girls (649) | |||||||||||
|---|---|---|---|---|---|---|---|---|---|---|---|---|---|
| N | p | OR | 95% CI | N | p | OR | 95% CI | N | p | OR | 95% CI | ||
| Bullying victimization | |||||||||||||
| Deep learning | High | 606 | 1 | Referent | 260 | 1 | Referent | 346 | 1 | Referent | |||
| Low | 645 | 0.364 | 1.073 | 0.922–1.248 | 342 | 0.140 | 1.177 | 0.948–1.463 | 303 | 0.902 | 0.986 | 0.793–1.227 | |
| Superficial learning | Low | 628 | 1 | Referent | 262 | 1 | Referent | 366 | Referent | ||||
| High | 623 | < 0.001 | 1.50 | 1.28–1.747 | 340 | < 0.001 | 1.476 | 1.180–1.846 | 283 | 0.001 | 1.561 | 1.248–1.954 | |
| Planning and decision making | High | 600 | 1 | Referent | 264 | 1 | Referent | 336 | 1 | Referent | |||
| Low | 651 | 0.536 | 1.049 | 0.902–1.218 | 338 | 0.176 | 1.160 | 0.936–1.437 | 313 | 0.678 | 0.955 | 0.770–1.185 | |
| Procrastination | Low | 588 | 1 | Referent | 254 | 1 | Referent | 334 | Referent | ||||
| High | 663 | < 0.001 | 1.91 | 1.611–2.265 | 348 | < 0.001 | 1.59 | 1.261–2.013 | 315 | < 0.001 | 2.396 | 1.858–3.091 | |
| Bullying aggressor | |||||||||||||
| Deep learning | High | 606 | 1 | Referent | 260 | 1 | Referent | 346 | Referent | ||||
| Low | 645 | 0.079 | 1.101 | 0.969–1.582 | 342 | 0.147 | 1.236 | 0.928–1.647 | 303 | 0.097 | 1.263 | 0.958–1.664 | |
| Superficial learning | Low | 628 | 1 | Referent | 262 | 1 | Referent | 366 | Referent | ||||
| High | 623 | < 0.001 | 2.88 | 2.256–3.668 | 340 | < 0.001 | 2.524 | 1.807–3.526 | 283 | < 0.001 | 3.167 | 2.214–4.531 | |
| Planning and decision making | High | 600 | 1 | Referent | 264 | 1 | Referent | 336 | Referent | ||||
| Low | 651 | 0.004 | 1.331 | 1.094–1.620 | 338 | 0.175 | 1.211 | 0.918–1.596 | 313 | 0.024 | 1.386 | 1.044–1.840 | |
| Procrastination | Low | 588 | 1 | Referent | 254 | 1 | Referent | 334 | Referent | ||||
| High | 663 | < 0.001 | 3.468 | 2.650–4.538 | 348 | < 0.001 | 2.793 | 1.951–4.00 | 315 | < 0.001 | 4.213 | 2.789–6.365 | |
| Cyberbullying victimization | |||||||||||||
| Deep learning | High | 606 | 1 | Referent | 260 | 1 | Referent | 346 | Referent | ||||
| Low | 645 | 0.216 | 0.847 | 0.650–1.102 | 342 | 0.074 | 0.697 | 0.470–1.035 | 303 | 0.985 | 0.996 | 0.691–1.437 | |
| Superficial learning | High | 628 | 1 | Referent | 262 | 1 | Referent | 366 | Referent | ||||
| Low | 623 | < 0.001 | 3.579 | 2.498–5.128 | 340 | < 0.001 | 3.943 | 2.179–6.778 | 283 | < 0.001 | 3.557 | 2.217–5.707 | |
| Planning and decision making | High | 600 | 1 | Referent | 264 | 1 | Referent | 336 | Referent | ||||
| Low | 651 | 0.008 | 1.444 | 1.100–1.895 | 338 | 0.315 | 1.213 | 0.832–1.767 | 313 | 0.006 | 1.730 | 1.166–2.568 | |
| Procrastination | Low | 588 | 1 | Referent | 254 | 1 | 334 | Referent | |||||
| High | 663 | < 0.001 | 4.335 | 2.927–6.422 | 348 | < 0.001 | 4.768 | 2.587–8.787 | 315 | < 0.001 | 4.192 | 2.489–7.060 | |
| Cyberbullying aggressor | |||||||||||||
| Deep learning | High | 606 | 1 | Referent | 260 | 1 | Referent | 346 | Referent | ||||
| Low | 645 | 0.532 | 0.914 | 0.688–1.213 | 342 | 0.067 | 0.668 | 0.433–1.029 | 303 | 0.557 | 1.115 | 0.761–1.634 | |
| Superficial learning | Low | 628 | 1 | Referent | 262 | 1 | Referent | 366 | Referent | ||||
| High | 623 | < 0.001 | 7.636 | 4.460–13.073 | 340 | < 0.001 | 9.636 | 4.181–22.203 | 283 | < 0.001 | 6.174 | 3.061–12.453 | |
| Planning and decision making | High | 600 | 1 | Referent | 264 | 336 | Referent | ||||||
| Low | 651 | < 0.001 | 2.270 | 1.601–3.217 | 338 | < 0.010 | 1.886 | 1.164–3.056 | 313 | < 0.001 | 2.624 | 1.573–4.374 | |
| Procrastination | Low | 588 | 1 | Referent | 254 | 1 | Referent | 334 | Referent | ||||
| High | 663 | < 0.001 | 10.068 | 5.502–18.421 | 348 | < 0.001 | 12.226 | 4.935–30.288 | 315 | < 0.001 | < 0.0018.346 | 3.689–18.885 | |
OR and 95% CI for levels of victimization/aggression in bullying and cyberbullying according to learning indicators in schoolchildren and adolescents.
Deep learning, superficial learning, planning and procrastination were included in the logistic regression as a categorical variable (low vs. high). OR was adjusted for age, body mass index, mother's educational level and average weekly physical activity. OR, odds ratio; CI, confidence interval.
On the other hand, bullying aggressors were 2.9, 1.3, and 3.5 times more likely than non-aggressors to have high values of superficial learning, low planning and high procrastination (OR = 2.880, OR = 1.331 and OR = 3.468, respectively, all p < 0.004). Sex-differential analysis showed significant risk scores in aggressor girls but not in boys (superficial learning: OR = 3.167, p < 0.001; planning and decision making: OR = 1.386, p = 0.024 and procrastination: OR = 4.213, p < 0.001). In turn, cyberbullying aggressors were 7.6, 2.3, and 10.1 times more at risk than non-aggressors for high values of superficial learning, low planning and high procrastination (OR = 7.636, OR = 2.270, and OR = 10.068, respectively, all p < 0.001). Similar risk values were obtained for the above three variables when the analysis was conducted separately for boys and girls (all p < 0.001). Finally, the risk probability of low deep learning outcomes was not significant in any case (all p > 0.05).
4 Discussion
The aim of the present study was to analyze the association of bullying and cyberbullying victimization and aggression with different learning variables in schoolchildren and adolescents of both sexes, compared to those not involved in bullying and cyberbullying. In general, the results have shown that both victims and aggressors of bullying and cyberbullying present a more superficial learning, have lower values in planning and decision making and tend to delay class tasks than those not involved in acts of bullying and cyberbullying. Girls who are victims of bullying are affected more than boys and are twice as likely to procrastinate as non-victims. The data also show that cyberbullying is more negatively associated with learning variables than traditional bullying. This risk is multiplied × 3 and × 4 toward having high values of superficial learning and procrastination, respectively. In the case of cyberbullying, the negative effects suffered by aggressors on learning variables are even more pronounced. In both sexes, the risk of exposure to having high values of superficial learning, low planning and high procrastination is multiplied × 8, × 2, and × 10, respectively.
According to the present study, young people affected by bullying and cyberbullying, regardless of being a victim or aggressor, are not associated with any positive effect on the studied variables of deep learning, superficial learning, planning and procrastination toward class tasks. These findings coincide with Bergmann (2022), who found no significant associations between bullying and positive effects on student learning variables. Likewise, the results obtained in this work, coincide with previous research that attributed to students affected by bullying lower academic grades and a predominance of superficial learning (De Aroni and Corcuera, 2021; Rigby, 2003; Ruiz-Piñero and Ramírez-Cerezo, 2011), more time to plan and make decisions (Rivera, 2018) and greater academic procrastination (Hamidipour and Ezadian, 2023; Nwosu et al., 2020).
On the other hand, the negative effects of bullying and cyberbullying on learning are more harmful in girls than in boys. According to these findings, several research studies that associated bullying/cyberbullying with anxiety or depression variables converge in that girls are more susceptible to the negative consequences of bullying than boys (Carvalho et al., 2021; Eyuboglu et al., 2021; Islam et al., 2022). Within the educational field, recent studies have associated bullying behaviors with learning variables, with girls obtaining worse academic results compared to boys (Riffle et al., 2021; Halliday et al., 2021). Specifically, this study found that aggressor girls had worse values on all learning variables (deep learning, surface learning, planning and procrastination). According to this finding, Riffle et al. (2021) in his research study, associated bullying with grades, with the result that girls involved in bullying showed negative associations in their academic performance compared to boys. In contrast, another study that associated bullying with academic performance level did not show significant differences in terms of sex, but rather that variations in learning variables depended more on the role associated with the student (Obregón-Cuesta et al., 2022).
However, for other researchers, victims of bullying or cyberbullying obtained lower academic performance than non-victims, with no significant differences between boys and girls (Kim et al., 2020). The present study coincides with the current trend aimed at addressing bullying and cyberbullying as public health problems, with a special focus on protecting and supporting girls. The main value of the present research lies in providing quantitative results with risk calculation aimed at assessing the effect on learning variables, especially in girls, who seem to be at higher risk of suffering the adverse consequences of bullying and cyberbullying.
Another aspect that generates controversy is the possible differentiating role of victimization and aggression on learning variables. Our data have revealed that, similar to victims, young aggressors also present low values in most of the learning variables. For example, bullying aggressor girls showed lower values in deep learning, as well as in planning and decision making, in addition to acquiring more superficial learning and tending to procrastinate on class tasks. In line with these results, recent research has shown that the bullying climate, whether victim or aggressor is directly associated with student learning (Delprato et al., 2017; Huang, 2022). Specifically, several studies have found that bullying students have lower levels of deep learning and higher levels of superficial learning (AlBuhairan et al., 2017), low planning and responsible decision making (Llorent et al., 2021) and high procrastination (Rebetez et al., 2018).
Our data also revealed that both victimization and aggression, derived from cyberbullying, have a stronger negative association with learning variables than traditional bullying. Similarly, recent researchers have suggested that both victimization and aggression in cyberbullying turn out to be more harmful on learning variables compared to traditional bullying (Alotaibi, 2019; Graham, 2023; John et al., 2023). It appears that cyberbullying, due to its pervasive and anonymous nature, has a more profound and lasting impact on learning (Graham, 2023), negative consequences on students' academic performance (Alotaibi, 2019) and significant impact on emotional and mental wellbeing (John et al., 2023). However, other works argue that cyberbullying and traditional bullying negatively affect psychological symptoms and wellbeing, without clearly differentiating which of the two has a more severe impact on learning (Carvalho et al., 2021; Kim et al., 2022). Based on the information provided, a clear general trend is shown indicating that cyberbullying may have more severe consequences due to its invasive and persistent nature.
4.1 Limitations and strengths
The present study has some methodological and procedural limitations that should be pointed out. Among them, those inherent to the cross-sectional nature of the design, which does not allow establishing causal relationships and depends on the veracity with which the participants respond to the different measures applied. There is a possibility that some students may have provided responses oriented toward maintaining a positive self-image. Another limitation of the present study was that the sample was recruited exclusively in a specific region of Spain, which could limit the generalizability of the results to other geographical and sociocultural contexts. In addition, the sample was selected by convenience, which prevents it from being representative of the Spanish population. On the other hand, among the measures that underpin the robustness of our data are the use of coding techniques that guarantee the anonymity and confidentiality of the participants, the application of instruments of high reliability and proven internal validity, as well as rigorous data collection and exhaustive compliance with the procedure. Finally, the use of a large number of covariates (age, BMI, mother's educational level and average weekly physical activity) shows unprecedented results in the field of education.
5 Conclusions and practical applications
The present study allows us to conclude that boys and girls who are victims of bullying have almost twice the risk of having higher values of superficial learning and procrastination toward class tasks than non-victims. In the case of girls, procrastination toward class tasks increases by 7%. Victims of cyberbullying present 5.3% more superficial learning and 16% more procrastination toward class tasks than non-victims, multiplying the risk due to this exposure by 3 and 4, respectively. In general, bullying and cyberbullying aggressors have more negative learning values than non-aggressors. Young cyberbullying aggressors register lower values of deep learning (−11.5%) and acquire more superficial learning (boys = 13.4% and girls = 9.6%), plan worse (boys = 3.8% and girls = 3.3%) and tend to procrastinate on class tasks (boys = 16.8% and girls = 20.5%). In both sexes, the risk of exposure to having high values of superficial learning, low planning and high procrastination is multiplied × 8, × 2, and × 10, respectively.
This study underscores the need to develop specific intervention strategies to mitigate the effects of bullying and cyberbullying on learning. The identification of an increased risk of superficial learning, low planning and procrastination in victims and aggressors not only reinforces the evidence on the consequences of bullying, but also points to the urgency of implementing prevention programs aimed at improving the quality of learning in affected students.
From an educational perspective, the results suggest that schools should adopt multidimensional approaches that integrate psycho-pedagogical interventions aimed at improving academic self-regulation and decision-making in the classroom. In turn, teacher training in early identification and management of bullying, as well as the promotion of active methodologies that foster deep learning and strategic planning in students, may be key tools to counteract the negative effects observed. At the scientific level, these findings contribute to the understanding of the phenomenon of bullying beyond its emotional and social repercussions. In addition, the inclusion of covariates such as body mass index, maternal educational level and weekly physical activity allows for a more precise analysis applicable to diverse educational contexts, providing a framework for future research seeking to deepen the relationship between bullying and academic performance.
Statements
Data availability statement
The raw data supporting the conclusions of this article will be made available by the authors, without undue reservation.
Ethics statement
The study was conducted in accordance with the Declaration of Helsinki, and approved by the Ethics Committee of the University of Jaén (Spain) (protocol code: NOV.22/2.PRY approved on 13 January April 2023) for studies involving humans. Informed consent was obtained from all subjects and their guardians involved in the study. The studies were conducted in accordance with the local legislation and institutional requirements. Written informed consent for participation in this study was provided by the participants' legal guardians/next of kin.
Author contributions
AR-M: Conceptualization, Funding acquisition, Writing – original draft, Writing – review & editing. MdlT-C: Data curation, Funding acquisition, Writing – original draft, Writing – review & editing. TM-R: Data curation, Methodology, Writing – original draft. AR-A: Conceptualization, Methodology, Supervision, Writing – original draft.
Funding
The author(s) declare that financial support was received for the research and/or publication of this article. The authors disclosed receipt of the following financial support for the research, authorship, and/or publication of this article: This research was supported by funding from the Ministry of Science and Innovation of Spain (grant number PID2022-137432OB-I00). Support was also received from the University Teacher Training Program, implemented by the Ministry of Education, Culture and Sport of the Government of Spain (Reference: AP-2020-03217).
Acknowledgments
The authors would like to thank all participants and centers involved in this study.
Conflict of interest
The authors declare that the research was conducted in the absence of any commercial or financial relationships that could be construed as a potential conflict of interest.
The author(s) declared that they were an editorial board member of Frontiers, at the time of submission. This had no impact on the peer review process and the final decision.
Generative AI statement
The author(s) declare that no Gen AI was used in the creation of this manuscript.
Publisher’s note
All claims expressed in this article are solely those of the authors and do not necessarily represent those of their affiliated organizations, or those of the publisher, the editors and the reviewers. Any product that may be evaluated in this article, or claim that may be made by its manufacturer, is not guaranteed or endorsed by the publisher.
References
1
AlBuhairan F. Abbas O. A. Sayed D. Badri M. Alshahri S. de Vries N. (2017). The relationship of bullying and physical violence to mental health and academic performance. Int. J. Pediatr. Adolesc. Med. 4, 61–65. 10.1016/j.ijpam.2016.12.005
2
Alotaibi N. B. (2019). Cyber bullying and the expected consequences on the students' academic achievement. IEEE Access7, 153417–153431. 10.1109/ACCESS.2019.2947163
3
Aparisi D. Delgado B. Bo R. M. Martínez-Monteagudo M. C. (2021). Relationship between cyberbullying, motivation and learning strategies, academic performance, and the ability to adapt to university. Int. J. Environ. Res. Public Health18:646. 10.3390/ijerph182010646
4
Bacchini D. Licenziati M. R. Garrasi A. Corciulo N. Driul D. Tanas R. et al . (2015). Bullying and victimization in overweight and obese outpatient children and adolescents: an italian multicentric study. PLoS ONE10:e0142715. 10.1371/journal.pone.0142715
5
Bacon P. Lord R. N. (2021). The impact of physically active learning during the school day on children's physical activity levels, time on task and learning behaviours and academic outcomes. Health Educ. Res. 36, 362–373. 10.1093/her/cyab020
6
Badawi B. (2023). The influence of E-learning-based learning methods in midwifery courses on midwifery undergraduate students' learning motivation. Formosa J. Sci. Technol.2, 1981–1992. 10.55927/fjst.v2i8.5242
7
Baggetta P. Alexander P. A. (2016). Conceptualization and operationalization of executive function. Mind Brain Educ. 10, 10–33. 10.1111/mbe.12100
8
Baharvand P. Nejad E. B. Karami K. Amraei M. A. (2021). Review study of the role of socioeconomic status and its components in children's health. Global J. Med. Pharm. Biomed. Update16:9. 10.25259/GJMPBU_10_2021
9
Bergmann M. C. (2022). Comparing school-related risk factors of stereotypical bullying perpetration and cyberbullying perpetration. Eur. J. Criminol. 19, 77–97. 10.1177/1477370819887519
10
Biggs J. Kember D. Leung D. Y. P. (2001). The revised two-factor Study Process Questionnaire: R-SPQ-6042F. Br. J. Educ. Psychol. 71, 133–149. 10.1348/000709901158433
11
Boichuk O. Lyebyedyeva Y. Stadnyk M. Mishchuk A. Shcherbin L. (2023). Effectiveness of virtual space in the socialization process of teenagers (under martial law). Rev. Amazonia Investig.12, 266–276. 10.34069/AI/2023.63.03.25
12
Bonet-Morro A. Alguacil M. Escamilla-Fajardo P. Pérez-Campos C. (2022). Estudio comparativo de género sobre el acoso escolar: estrategias y acciones Gender comparative study on bullying: strategies and actions. Retos44, 45–52. 10.47197/retos.v44i0.88111
13
Carvalho M. Branquinho C. de Matos M. G. (2021). Cyberbullying and bullying: impact on psychological symptoms and well-being. Child Indic. Res. 14, 435–452. 10.1007/s12187-020-09756-2
14
Cerezo F. (2002). El bullying y su relación con las actitudes de socialización en una muestra de adolescentes. Rev. Electrón. Interuniv. Form. Profesorado 5.
15
Çetín F. Demirtaş Z. (2022). The relationship of lifelong learning competencies with learning approaches and self-efficacy. Sakarya Univ. J. Educ. 15, 748–768. 10.19126/suje.1158777
16
Cheng S. Kaminga A. C. Liu Q. Wu F. Wang Z. Wang X. et al . (2022). Association between weight status and bullying experiences among children and adolescents in schools: an updated meta-analysis. Child Abuse Negl.134:105833. 10.1016/j.chiabu.2022.105833
17
Darden C. A. Ginter E. J. Gazda G. M. (1996). Life-skills development scale – adolescent form: the theoretical and therapeutic relevance of life-skills. J. Ment. Health Couns. 18.
18
De Aroni S. A. B. Corcuera G. A. M. (2021). Bullying escolar y aprendizaje en los estudiantes del cuarto y quinto grado de secundaria, 2021. Ciencia Latina Rev. Cient. Multidiscipl.5, 14088–14103. 10.37811/cl_rcm.v5i6.1375
19
de Benítez-Sillero J. D. Corredor-Corredor D. Ortega-Ruiz R. Córdoba-Alcaide F. (2021). Behaviours involved in the role of victim and aggressor in bullying: relationship with physical fitness in adolescents. PLoS ONE16:0259087. 10.1371/journal.pone.0259087
20
Del Rey R. Casas J. A. Ortega-Ruiz R. Schultze-Krumbholz A. Scheithauer H. Smith P. et al . (2015). Structural validation and cross-cultural robustness of the European Cyberbullying Intervention Project Questionnaire. Comput. Human Behav. 50, 141–147. 10.1016/j.chb.2015.03.065
21
Delprato M. Akyeampong K. Dunne M. (2017). The impact of bullying on students' learning in Latin America: a matching approach for 15 countries. Int. J. Educ. Dev. 52, 37–57. 10.1016/j.ijedudev.2016.10.002
22
Entwistle N. Ramsden P. (1983). student engagement, no learning without it. Creat. Educ. 514, 1312–1326.
23
Eyuboglu M. Eyuboglu D. Pala S. C. Oktar D. Demirtas Z. Arslantas D. et al . (2021). Traditional school bullying and cyberbullying: Prevalence, the effect on mental health problems and self-harm behavior. Psychiatry Res. 297:113730. 10.1016/j.psychres.2021.113730
24
Fullchange A. Furlong M. J. (2016). An exploration of effects of bullying victimization from a complete mental health perspective. Sage Open4:6. 10.1177/2158244015623593
25
Ganapathy S. S. Tan L. A. Sooryanarayana R. Hashim M. H. Saminathan T. A. Ahmad F. H. et al . (2019). Body weight, body weight perception, and bullying among adolescents in Malaysia. Asia Pac. J. Public Health31, 38S–47S. 10.1177/1010539519879339
26
García-Hermoso A. Hormazábal-Aguayo I. Fernández-Vergara O. González-Calderón N. Russell-Guzmán J. Vicencio-Rojas F. et al . (2020). A before-school physical activity intervention to improve cognitive parameters in children: the Active-Start study. Scand. J. Med. Sci. Sports30, 108–116. 10.1111/sms.13537
27
Graham M. A. (2023). Traditional bullying and cyberbullying as main drivers of low mathematics achievement in South African schools: evidence from TIMSS 2019. Educ. Inq.1, 1–20. 10.1080/20004508.2023.2173122
28
Halliday S. Gregory T. Taylor A. Digenis C. Turnbull D. (2021). The impact of bullying victimization in early adolescence on subsequent psychosocial and academic outcomes across the adolescent period: a systematic review. J. Sch. Viol. 20, 351–373. 10.1080/15388220.2021.1913598
29
Hamidipour R. Ezadian E. (2023). Prediction of academic procrastination based on bullying victimization and family emotional behaviors in adolescents. J. Pouyesh Educ. and Consult.1402, 262–283.
30
Huang L. (2022). Exploring the relationship between school bullying and academic performance: the mediating role of students' sense of belonging at school. Educ. Stud.48, 216–232. 10.1080/03055698.2020.1749032
31
Ibáñez M. B. Franco P. Mustaca A. E. (2018). Intolerancia a la Frustración y Regulación Emocional en adolescentes. Rev. Conciencia EPG3, 12–33. 10.32654/CONCIENCIAEPG.3-2.2
32
Islam M. I. Khanam R. Kabir E. (2022). Depression and anxiety have a larger impact on bullied girls than on boys to experience self-harm and suicidality: a mediation analysis. J. Affect. Disord.297, 250–258. 10.1016/j.jad.2021.10.061
33
Javed K. Malik S. Younus W. Shahid A. (2023). Confronting the destructive impact of bullying: the harmful consequences and laws for anti-bullying initiatives. J. Soc. Sci. Rev.30, 666–675. 10.54183/jssr.v3i2.309
34
John A. Lee S. C. Puchades A. Del Pozo-Baños M. Morgan K. Page N. et al . (2023). S Self-harm, in-person bullying and cyberbullying in secondary school-aged children: a data linkage study in Wales. J. Adolesc. 95, 97–114. 10.1002/jad.12102
35
Kim J. Lee Y. Jennings W. G. A. (2022). Path from traditional bullying to cyberbullying in South Korea: examining the roles of self-control and deviant peer association in the different forms of bullying. J. Interpers. Viol.37, 5937–5957. 10.1177/08862605211067022
36
Kim Y. K. Sanders J. E. Makubuya T. Yu M. (2020). Risk factors of academic performance: experiences of school violence, school safety concerns, and depression by gender. Child Youth Care Forum49, 725–742. 10.1007/s10566-020-09552-7
37
Kobel S. Wartha O. Amberger J. Dreyhaupt J. Feather K. E. Steinacker M. et al . (2022). Is adherence to physical activity and screen media guidelines associated with a reduced risk of sick days among primary school children?J. Pediatr. Perinatol. Child Health6:123. 10.26502/jppch.74050123
38
Kuftyak E. (2022). “Procrastination, stress and academic performance in students,” in VII International Forum on Teacher Education (Pensoft Publishers), 965–974.
39
Kumari K. Singh J. P. Dwivedi Y. K. Rana N. P. (2020). Towards Cyberbullying-free social media in smart cities: a unified multi-modal approach. Soft Comput. 24, 11059–11070. 10.1007/s00500-019-04550-x
40
Laninga-Wijnen L. van den Berg Y. H. M. Garandeau C. F. Mulder S. de Castro B. O. (2023). Supplemental material for does being defended relate to decreases in victimization and improved psychosocial adjustment among victims?J. Educ. Psychol.115, 363–377. 10.1037/edu0000712
41
Lavay D. (2015). Positive Behavior Management in Physical Activity Settings. Human Kinetics.
42
Lee B. Jeong S. Roh M. (2018). Association between body mass index and health outcomes among adolescents: the mediating role of traditional and cyber bullying victimization. BMC Public Health30:18. 10.1186/s12889-018-5390-0
43
Lian Q. Su Q. Li R. Elgar F. J. Liu Z. Zheng D. et al . (2018). The association between chronic bullying victimization with weight status and body self-image: a cross-national study in 39 countries. PeerJ1:4330. 10.7717/peerj.4330
44
Livazovi,ć G. Ham E. (2019). Cyberbullying and emotional distress in adolescents: the importance of family, peers and school. Heliyon5:e01992. 10.1016/j.heliyon.2019.e01992
45
Llorent V. J. Diaz-Chaves A. Zych I. Twardowska-Staszek E. Marín-López I. (2021). Bullying and cyberbullying in Spain and Poland, and their relation to social, emotional and moral competencies. Sch. Ment. Health13, 535–547. 10.1007/s12310-021-09473-3
46
Makarova E. A. Makarova L. E. (2023). Cyber-victimization and its impact on victim's psychosomatic status. Int. J. Cogn. Res. Sci. Eng. Educ.11, 231–245. 10.23947/2334-8496-2023-11-2-231-245
47
Martínez-López E. J. de la Torre-Cruz M. J. Suárez-Manzano S. Ruiz-Ariza A. (2018). Analysis of the effect size of over weight in muscular strength test among adolescents: reference values according to sex, age, and body mass index. J. Strength Condit. Res.32, 1404–1414. 10.1519/JSC.0000000000001967
48
Martínez-Soto A. Ibabe I. (2024). Cyber dating abuse: conceptualization and meta-analysis of prevalence rates. Anuario Psicol. Juridica34, 133–144. 10.5093/apj2023a11
49
Masapanta-Andrade J. E. Alvear-Arévalo M. L. (2023). Educational strategies in the promotion of breastfeeding in new mothers. Salud Ciencia Tecnol. 1:3. 10.56294/saludcyt2023352
50
Matton F. Svensson L. (1979). Conceptions of Research in Student Learning.
51
McNaughton S. Rosedale N. A. Zhu T. Teng L. S. Jesson R. Oldehaver J. et al . (2023). A school-wide digital programme has context specific impacts on self-regulation but not social skills. E-Learn. Digital Media16, 157–176. 10.1177/20427530231156282
52
Méndez I. Ruiz-Esteban C. Ortega E. (2019). Impact of the physical activity on bullying. Front. Psychol. 10:1520. 10.3389/fpsyg.2019.01520
53
Mohammadi Bytamar J. Saed O. Khakpoor S. (2020). Emotion regulation difficulties and academic procrastination. Front. Psychol.4:11. 10.3389/fpsyg.2020.524588
54
Montes Quiroz A. Ruiz Bernés S. Leal Cortes E. Benítez Guerrero V. Ofelia Valle M. Ofelia Valle Solís M. et al . (2023). Nivel de conocimiento nutricional de mujeres de una comunidad rural de Nayarit, México: Level of nutritional Knowledge of women from a rural community in Nayarit, Mexico. CISA4, 83–98. 10.58299/cisa.v4i4.29
55
Nain A. Bohra N. S. Bansal M. Narang M. Scholar R. (2023). Persistent bullying in higher education institutions: a comprehensive research study. J. Propul. Technol. 44. 10.52783/tjjpt.v44.i3.293
56
Nwosu K. C. IKwuka D. O. Onyinyechi M. U. Unachukwu G. C. (2020). Does the association of social media use with problematic internet behaviours predict undergraduate students' academic procrastination?Can. J. Learn. Technol. 46:cjlt27890. 10.21432/cjlt27890
57
Obregón-Cuesta A. I. Mínguez-Mínguez L. A. León-del-Barco B. Mendo-Lázaro S. Fernández-Solana J. González-Bernal J. J. et al . (2022). Bullying in adolescents: differences between gender and school year and relationship with academic performance. Int. J. Environ. Res. Public Health. 19:59301. 10.3390/ijerph19159301
58
Oliva A. Antolin L. Pertegal M. A. Ríos M. Parra Á. Hernando A. et al . (2011). Instrumentos para la evaluación de la salud mental y el desarrollo positivo adolescente y los activos que lo promueven. Desarrollo positivo adolescente y los activos que lo promueven: un estudio en centros docentes andaluces.
59
Olleras J. C. Dagwayan M. A. Marie Dejacto A. P. Rose Mangay J. L. Ebarsabal M. T. Jean Diaz D. C. et al . (2022). The life of the laters: students procrastination in accomplishing academic deadlines in online learning. Psychol. Educ.2, 444–454.
60
Olweus D. (1978). Aggression in the Schools Bullies and Whipping Boys. Hemisphere.
61
Ortega-Ruiz R. Del Rey R. Casas J. A. (2016). Evaluar el bullying y el cyberbullying validación española del EBIP-Q y del ECIP-Q. Psicol Educ. 22, 71–79. 10.1016/j.pse.2016.01.004
62
Palade T. Pascal E. (2023). Reducing bullying through empathy training: the effect of teacher's passive presence. Behav. Sci. 13:216. 10.3390/bs13030216
63
Pardos A. María González Ruiz V. (2018). Intervención sobre las Funciones Ejecutivas (FE) desde el contexto educativo. Rev. Iberoam. Educ. 78:13269. 10.35362/rie7813269
64
Pedditzi M. L. Fadda R. Skoler T. S. Lucarelli L. (2022). Mentalizing emotions and social cognition in bullies and victims. Int. J. Environ. Res. Public Health1:19. 10.3390/ijerph19042410
65
Pérez-de Corcho Y. B. Williams-Serrano S. C. Ibert-Williams V. Mass-Sosa L. A. Chauvin-Oropesa J. Pardo-Marrero Y. (2023). Obesity and school bullying: its impact on sleep quality. MediSur21, 1085–1091.
66
Prochaska J. J. Sallis J. F. Long B. (2001). A physical activity screening measure for use with adolescents in primary care. Arch. Pediatr. Adolesc. Med. 155, 554–559. 10.1001/archpedi.155.5.554
67
Ramadan A. (2023). The relationship between social media use and depression symptoms in Jazan region in the point of view of the social work profession. Egypt. J. Soc. Work. 15, 39–56. 10.21608/ejsw.2023.185791.1175
68
Rebetez M. M. L. Rochat L. Barsics C. Van der Linden M. (2018). Procrastination as a self-regulation failure: the role of impulsivity and intrusive thoughts. Psychol. Rep. 121, 26–41. 10.1177/0033294117720695
69
Revuelta Domínguez F. I. Guerra-Antequera J. Antequera-Barroso J. A. Pedrera-Rodríguez M. I. (2023). Exploring the impact of the video game monité on exogenous factors and resilience against bullying in primary education students. Educ. Sci.1:13. 10.3390/educsci13080814
70
Riffle L. N. Kelly K. M. Demaray M. L. Malecki C. E. Santuzzi A. M. Rodriguez-Harris D. S. J. et al . (2021). Associations among bullying role behaviors and academic performance over the course of an academic year for boys and girls. J. Sch. Psychol. 86, 49–63. 10.1016/j.jsp.2021.03.002
71
Rigby K. (2000). Effects of peer victimization in schools and perceived social support on adolescent well-being. J. Adolesc.23, 57–68. 10.1006/jado.1999.0289
72
Rigby K. (2003). Consequences of bullying in schools. Rev. Can. J. Psychiatry48:904. 10.1177/070674370304800904
73
Rivera R. (2018). Executive functions and social cognition in aggressors, victims and bystanders in context of bullying. Rev. Psicol. 8, 39–66.
74
Ruiz-Piñero E. Ramírez-Cerezo F. (2011). Secundaria obligatoria de la Región de Murcia. Int. J. Dev. Educ. Psychol. 2.
75
Rusillo-Magdaleno A. Suárez-Manzano S. Moral-García J. E. Ruiz-Ariza A. (2024). Asociacion De La Practica De Actividad Fisica Semanal Con Bullying y cyberbulying en chicos y chicas de 10 a 16 años. Retos1, 759–766. 10.47197/retos.v59.107358
76
Santoyo D. Frías S. (2014). Acoso escolar en México: actores involucrados y sus características. Rev. Latinoam. Estud. Educ. 44, 13–41.
77
Santrock J. W. (2006). Estilos de Aprendizaje y de Pensamiento. McGraw Hill.
78
Sergentanis T. N. Bampalitsa S. D. Theofilou P. Panagouli E. Vlachopapadopoulou E. Michalacos S. et al . (2021). Cyberbullying and obesity in adolescents: prevalence and associations in seven european countries of the eu net adb survey. Children1:8. 10.3390/children8030235
79
Shi C. Chen W. Huang J. Ren Z. (2024). Cognitive fusion and experiential avoidance sequentially mediate the relationship between cyber victimization and depression in adolescents. J. Early Adolesc. 44, 517–537. 10.1177/02724316231186111
80
Tan S. H. Pang J. S. (2023). Test anxiety: an integration of the test anxiety and achievement motivation research traditions. Educ. Psychol. Rev. 35:13. 10.1007/s10648-023-09737-1
81
Tintori A. Ciancimino G. Giovanelli G. Cerbara L. (2021). Bullying and cyberbullying among Italian adolescents: the influence of psychosocial factors on violent behaviours. Int. J. Environ. Res. Public Health18, 1–11. 10.3390/ijerph18041558
82
UNESCO (2019). Behind the Numbers: Ending School Violence and Bullying.
83
Urruticoechea A. Oliveri A. Vernazza E. Giménez-Dasí M. Martínez-Arias R. Martín-Babarro J. et al . (2021). The relative age effects in educational development: a systematic review. Int. J. Environ. Res. Public Health18:8966. 10.3390/ijerph18178966
84
Valiente-Barroso C. Marcos-Sánchez R. Arguedas-Morales M. Martínez-Vicente M. (2021). Frustration tolerance, stress and self-esteem as predictors of planning and decision-making among adolescents. Rev. Estud. Investig. Psicol. Educ. 8, 1–19. 10.17979/reipe.2021.8.1.7077
85
Wang J. Iannotti R. J. Luk J. W. (2010). Bullying victimization among underweight and overweight U.S. youth: differential associations for boys and girls. J. Adolesc. Health47, 99–101. 10.1016/j.jadohealth.2009.12.007
86
Xu J. (2023). More than minutes: a person-centered approach to homework time, homework time management, and homework procrastination. Contemp. Educ. Psychol. 70:102087. 10.1016/j.cedpsych.2022.102087
87
Xu X. Wang Y. Lu Y. Zhu D. (2023). Relative deprivation and academic procrastination in higher vocational college students: a conditional process analysis. Asia Pac. Educ. Res.32, 341–352. 10.1007/s40299-022-00657-2
88
Yockey R. D. (2016). Validation of the short form of the academic procrastination scale. Psychol. Rep.118, 171–179. 10.1177/0033294115626825
89
Zaatari W. El Maalouf I. (2022). How the Bronfenbrenner bio-ecological system theory explains the development of students' sense of belonging to school?Sage Open12, 1–18. 10.1177/21582440221134089
90
Zhong Q. Zhou R. Huang Y. N. Chen H. W. Liu H. M. Huang Z. et al . (2023). The independent and joint association of accelerometer-measured physical activity and sedentary time with dementia: a cohort study in the UK biobank. Int. J. Behav. Nutr. Phys. Activity20:59. 10.1186/s12966-023-01464-8
Summary
Keywords
aggression, victimization, bullying, cyberbullying, teaching, learning, schoolchildren, decision-making
Citation
Rusillo-Magdaleno A, de la Torre-Cruz MJ, Martínez-Redecillas T and Ruiz-Ariza A (2025) Bullying and cyberbullying. A high risk, in boys and girls, of superficial learning, poor planning and academic procrastination. Front. Psychol. 16:1567523. doi: 10.3389/fpsyg.2025.1567523
Received
27 January 2025
Accepted
30 May 2025
Published
10 July 2025
Volume
16 - 2025
Edited by
Michelle F. Wright, Indiana State University, United States
Reviewed by
Renzo Abregú-Crespo, Instituto de Investigación Sanitaria Gregorio Marañón, Spain
Caner Cengiz, Ankara University, Türkiye
Updates
Copyright
© 2025 Rusillo-Magdaleno, de la Torre-Cruz, Martínez-Redecillas and Ruiz-Ariza.
This is an open-access article distributed under the terms of the Creative Commons Attribution License (CC BY). The use, distribution or reproduction in other forums is permitted, provided the original author(s) and the copyright owner(s) are credited and that the original publication in this journal is cited, in accordance with accepted academic practice. No use, distribution or reproduction is permitted which does not comply with these terms.
*Correspondence: Manuel J. de la Torre-Cruz majecruz@ujaen.es
Disclaimer
All claims expressed in this article are solely those of the authors and do not necessarily represent those of their affiliated organizations, or those of the publisher, the editors and the reviewers. Any product that may be evaluated in this article or claim that may be made by its manufacturer is not guaranteed or endorsed by the publisher.