Abstract
Background:
Maladaptive Internet use is defined as Internet addiction disorders (IAD), which can lead to psychological problems and sleep disorders. Although many studies on the correlation between Internet addiction, psychiatric symptom levels, and sleep disorders have been conducted in recent years, there is no meta-analysis to substantiate the connection between these variables.
Methods:
We systematically searched databases including Web of Science, PubMed, Embase, and the Cochrane Library to collect relevant studies using keywords associated with Internet addiction, psychological problems, and sleep disorders. All comparable studies that provided sufficient data (e.g., correlation coefficients) were included in our analysis.
Results:
41 studies were included, and the results indicated that IAD was associated with psychological problems and sleep quality at moderate to low levels (depression: r = 0.39, 95%CI = 0.34–0.45; SMD = 1.34, 95%CI = 0.81–1.86; OR = 0.86, 95%CI = 0.46–1.26; anxiety: r = 0.30, 95%CI = 0.23–0.37; OR = 0.90, 95%CI = 0.29–1.52; stress: r = 0.34, 95%CI = 0.29–0.38; OR = 1.76, 95%CI = 0.37–3.16; sleep problems: r = 0.26, 95%CI = 0.19–0.33).
Conclusion:
This meta-analysis reveals that IAD is positively associated with depression, anxiety, and sleep problems, which indicates that individuals with IAD have an increased risk of depression, anxiety, and sleep problems. Hence, high attention should be paid to Internet addictive behaviors, and preventive and treatment measures should be adopted timely.
Systematic review registration:
The publicly accessible registration record can be found at: https://www.crd.york.ac.uk/prospero/.
1 Introduction
Internet overuse has been linked to maladaptive behavior, “Internet addiction,” also known as “pathological Internet use,” “compulsive Internet use,” and “Internet overuse.” Internet addiction is defined as the behavior of using the Internet pathologically or compulsively, which disrupts the individual’s normal life (Kumar et al., 2018; Lozano-Blasco and Cortes-Pascual, 2020). Internet addiction has become a significant issue globally, particularly among adolescents and young adults, with a 20–30% prevalence rate (Azmi et al., 2019; Černja et al., 2019).
Excessive Internet use will lead to a range of physical and mental problems such as anxiety (Geng et al., 2021; Sayed et al., 2022), depression (Chi et al., 2019; Ge et al., 2023; Haand and Zhao, 2020; Yuan et al., 2021), and stress (Javaeed et al., 2019; Kayis, 2022). The link between Internet addiction and depression has been reported. For instance, previous studies have pointed out that there is a strong positive correlation between Internet addiction and depression (Liu et al., 2018; Suk-Hyun Hwang et al., 2015; Wong et al., 2020). People with symptoms of Internet addiction are more likely to experience depressive symptoms, and some people with depression may adopt maladaptive coping strategies (e.g., Internet addiction) to alleviate their symptoms. According to the Compensatory Internet Use Theory, individuals with depression and anxiety are more likely to use the Internet to escape from negative emotions in reality (Kumar and Kumar, 2024). However, overuse of the Internet can isolate individuals from their social relationships, leading to reduced social support and negative emotions (Laconi et al., 2016; Amamou et al., 2017; Dreier et al., 2017). As a result, depression and Internet addiction disorder (IAD) frequently occur simultaneously (Ostinelli et al., 2021). Meanwhile, several studies have reported significant correlations between Internet use and anxiety or stress. A previous study analyzed the relationship between anxiety and Internet addiction among Canadian young people aged 16–19 years. It was reported that 31% of young people were addicted to the Internet, showing a notable positive association between anxiety and Internet addiction (Lavoie et al., 2023). The higher the level of Internet addiction, the higher the degree of anxiety among adolescents (Lavoie et al., 2023; Gundogdu and Eroglu, 2022; Alimoradi et al., 2019), early adult students (Geng et al., 2021; Javaeed et al., 2019; Kayis, 2022) and mature adults (Deb and Roy, 2022; Fekih-Romdhane et al., 2023). Likewise, stress is also closely related to Internet addiction, and individuals with Internet addiction report higher levels of stress than those without Internet addiction (Lei et al., 2020).
In addition to the aforementioned adverse effects of Internet addiction on psychiatric symptoms, studies have also reported a link between Internet addiction and unsatisfactory quality of sleep. Sleep problems can adversely affect well-being and even lead to dysfunction (Awasthi et al., 2020), while impaired sleep quality is connected to a range of adverse outcomes, including impulsivity, depression, anxiety, and even suicidal behavior (Jiang et al., 2022). Internet addiction has an adverse impact on individuals’ sleep quality (Masaeli and Farhadi, 2021; Stankovic et al., 2021; Wang et al., 2021). For example, Gundogdu and Eroglu (2022) found that adolescents with higher Internet (Gundogdu and Eroglu, 2022) addiction scores, as measured by the Pittsburgh Sleep Quality Index (PSQI), were more likely to develop sleep disorders. A meta-analysis in 2019 found a negative correlation between internet addiction and sleep quality in all age groups (Alimoradi et al., 2019), but only sleep duration for sleep disorders has been estimated. The PSQI is a questionnaire used to diagnose sleep disorders, sleep insomnia, and other problems related to sleep quality. It can comprehensively assess the association between Internet addiction and sleep quality. Therefore, this meta-analysis aimed to explore the association between the scores of PSQI and Internet addiction.
Despite the rapid development of the Internet, there is no systematic review and meta-analysis of the correlation of Internet addiction with psychiatric symptom levels and sleep disorders. Furthermore, due to the COVID-19 outbreak, there has been an increase in psychological problems and more time spent using Internet (Deb and Roy, 2022; Zhao et al., 2023). Although there has been a previous meta-analysis (2009–2018) on the relationship between Internet addiction and sleep disorders (Alimoradi et al., 2019), it is unclear whether this association has changed in recent years. Our study could be helpful for future interventions with Internet addiction, psychiatric symptom levels, and sleep disorders.
2 Methods
This study was conducted according to the Preferred Reporting Items for Systematic Reviews and Meta-Analyses (PRISMA). This meta-analysis was registered in the International Prospective Register of Systematic Reviews (PROSPERO, CRD42023408958).
2.1 Search strategy
Relevant literature was searched in four databases, Web of Science, PubMed, Embase, and Cochrane Library, from January 2018 to June 2023, respectively. We combined the Medical Subject Headings (MeSH) and their free words as the search strategy. MeSH terms included “Internet addiction,” “Psychological distress,” “depression,” “anxiety” and “sleep disturbances.” The detailed search strategy is illustrated in Supplementary Table S1.
2.2 Inclusion and exclusion criteria
The inclusion criteria for this study were as follows: (a) studies assessing the association between Internet addiction and anxiety, depression, stress, or sleep quality; (b) studies reported in English; and (c) research guidelines, and studies published between January 2018 and June 2023.
The following studies were excluded: (a) conference abstracts, reviews/meta-analyses, guidelines, and letters; (b) publications with poor quality; and (c) studies with incomplete or erroneous data that could not be combined.
2.3 Study selection and data extraction
Two researchers (Yuanlin Sun and Zhen Wang) independently screened studies and extracted data. The retrieved studies were into EndNote 20 to eradicate duplicate publications. We then excluded studies that did not match the eligibility criteria after checking the titles and abstracts. The entire texts of the remaining studies were examined to identify eligible studies. Data extracted from eligible studies included first author, year of publication, geographic location, study design, sample size, average age and gender ratio of participants, and outcome measures such as instrumental coefficients measuring levels of anxiety, depression, impulsivity, and sleep quality. Disagreements were settled by discussion with a third researcher (Tianzhi Liu).
2.4 Quality assessment
Two researchers (Yuanlin Sun and Zhen Wang) independently evaluated the methodological quality of the included studies Using the Newcastle-Ottawa Scale (NOS) (Stang, 2010). The quality assessment involves the following domains: randomized sequence generation, allocation concealment, blinding of participants and researchers during the intervention, as well as the integrity of outcome data. The total NOS score ranges from 0 to 10. Typically, a score of greater than 5 indicates a high-quality study. The results were cross-checked, and any discrepancies were resolved through discussion with a third researcher (Tianzhi Liu).
2.5 Statistical analysis
The present study employed the inverse variance method to calculate the pooled Pearson’s correlation coefficients, odds ratios (ORs), and mean difference for the association of Internet addiction with anxiety, depression, stress, and sleep quality. According to the study by Zhang et al. (2021), variance-stabilized correlation coefficients were obtained by converting the Pearson correlation coefficients to Fisher Z-scores before pooling the estimates. Heterogeneity across the studies was assessed using the I2 statistics, where an I2 > 50% indicated substantial heterogeneity. If I2 < 50%, the pooled Pearson’s correlation coefficient was computed using the random-effects model. Otherwise, a fixed-effects model was employed. To identify the source of heterogeneity, sensitivity analysis and subgroup analyses were conducted. Sensitivity analysis was used to examine the reliability of the results, in which we assessed the effect of individual studies on the pooled correlation coefficients by excluding one study at a time. Subgroup analyses were performed by the geographic location of the studies, the mean age of participants, and the IAD measurement tool.
3 Results
3.1 Search results
The detailed process of study selection is shown in Figure 1. Initially, 29,912 potentially related papers were retrieved. After removing 1,209 duplicate articles, we screened the titles and abstracts and excluded 12,602 studies. Then, the full texts of the remaining 671 articles were examined, and 621 articles were removed because the data was unavailable, unusual measurement tools were used, or they were published before 2018. Finally, 48 studies were included.
Figure 1

The search process according to the PRISMA flowchart.
3.2 Characteristics of the included studies
It is noteworthy that during the data extraction process, baseline data from longitudinal studies were extracted to ensure the comparability, and therefore this study was considered as a cross-sectional study. The 48 eligible studies were published from 2018 to 2023. Among them, 20 studies were conducted in Asia, 10 in Europe, and 4 in South America. There were a total of 35,684 participants. The sample size ranged from 11 to 362, and the average age ranged from 50 to 72 years old. Almost all of the included studies had adequate sample sizes. One study in Singapore had the smallest sample size of 41 participants, while one study in China had the largest sample size of 7,985 participants. In addition, these studies were conducted in 19 countries, and most of them were conducted in China (n = 19), followed by Turkey (n = 6) and Iran or India (n = 3). Young’s Internet Addiction Test (IAT) was the most commonly used tool (n = 17) to assess IA status, while the Pittsburg Sleep Quality Index (PSQI) was the most commonly used tool to evaluate sleep problems (Table 1).
Table 1
| Author | Year | Nation | N | Age | Tools for measuring psychiatric symptom levels and sleep | Tools for measuring Internet addiction |
|---|---|---|---|---|---|---|
| Awasthi et al. | 2020 | Uttarakhand | 221 | ≥ 18 | PSQI | IAT |
| Azhari et al. | 2022 | Singapore | 41 | ≤ 18 | DASS-21 | SMD |
| Aziz et al. | 2018 | Klang Valley | 199 | ≤ 18 | DASS-21 | IAT |
| Bazrafshan et al. | 2019 | Iran | 119 | ≥ 18 | BDI | IAT |
| Bisen et al. | 2020 | India | 1,600 | ≥ 18 | BDI | IAT |
| Chi et al. | 2019 | China | 522 | ≤ 18 | CESD | IAT |
| Deb et al. | 2022 | India | 258 | ≥ 18 | DASS-21 | IAT |
| Dib et al. | 2021 | Lebanon | 1810 | ≤ 18 | ADRS | IAT |
| Fekih-Romdhane et al. | 2022 | Tunis | 114 | ≥ 18 | DASS-21 | IAT |
| Ge et al. | 2023 | Arab Emirates | 421 | ≤ 18 | CESD | SAS |
| Geng et al. | 2021 | China | 355 | ≥ 18 | DASS-21 | SAS |
| Gundogdu et al. | 2022 | Turkey | 244 | ≤ 18 | SCARED/PSQI | PIUS |
| Gupta et al. | 2021 | India | 292 | ≥ 18 | PHQ-9/PSQI | IAT |
| Haand et al. | 2020 | Afghanistan | 329 | ≥ 18 | CESD | IAT |
| Haddad et al. | 2021 | Lebanon | 1,103 | ≤ 18 | ADRS | IAT |
| Hsieh et al. | 2018 | Taiwan | 500 | ≥ 18 | BDI | IAT |
| Javaeed et al. | 2019 | Kashmir | 210 | ≥ 18 | DASS-21 | IAT |
| Jiang et al. | 2022 | China | 2,688 | ≥ 18 | SDS/PSQI | IAT |
| Karakose et al. | 2022 | Turkey | 332 | ≥ 18 | DASS-21 | IAT |
| Kayis et al. | 2022 | Turkey | 110 | ≥ 18 | DASS-21 | SAS |
| Kim et al. | 2019 | South Korea | 4,521 | ≤ 18 | BDI | IAT |
| Kożybska et al. | 2022 | Poland | 538 | ≥ 18 | BDI | IAT |
| Kumar et al. | 2018 | Indian | 384 | ≥ 18 | BDI | IAT |
| Lavoie et al. | 2023 | Canada | 2,883 | ≤ 18 | SCARED | IAT |
| Lebni et al. | 2020 | Iran | 166 | ≥ 18 | GHQ | IAT |
| Lee et al. | 2022 | South Korea | 1,155 | ≥ 18 | PHQ-9 | IAT |
| Lei et al. | 2020 | Malaysia | 574 | ≥ 18 | DASS-21 | SAS |
| Mamun et al. | 2019 | Bangladesh | 405 | ≥ 18 | DASS-21 | IAT |
| Mamun et al. | 2020 | Bangladesh | 605 | ≥ 18 | GHQ | IAT |
| Masaeli et al. | 2021 | Iran | 298 | ≥ 18 | PSQI | IAT |
| Paudel et al. | 2021 | Nepal | 494 | ≥ 18 | BDI | IAT |
| Peterka-Bonetta et al. | 2019 | China | 133 | ≥ 18 | BDI | IAT |
| Przepiorka et al. | 2019 | Poland | 718 | ≤ 18 | CESD | IAT |
| Saikia et al. | 2019 | Kamrup | 416 | ≤ 18 | DASS-21 | IAT |
| Sami et al. | 2018 | Israel | 631 | ≤ 18 | PHQ | IAT |
| Sayed et al. | 2022 | Egypt | 808 | ≥ 18 | DASS-21 | IAT |
| Stankovic et al. | 2021 | Germen | 92 | ≥ 18 | PSQI | IAT |
| Tian et al. | 2021 | China | 1,200 | ≤ 18 | CESD | IAT |
| Vally et al. | 2020 | Arab Emirates | 697 | ≥ 18 | CESD | PIUQ |
| Vally et al. | 2019 | China | 706 | ≥ 18 | CESD | PIUQ |
| Wang et al. | 2020 | China | 1,087 | ≤ 18 | CESD | GPIUS |
| Wang et al. | 2021 | China | 1,040 | ≥ 18 | PSQI | IAT |
| Yi et al. | 2021 | China | 1,545 | ≤ 18 | SDS | IAT |
| Yuan et al. | 2021 | China | 1809 | ≥ 18 | DASS-21 | IAT |
| Yücens et al. | 2018 | Turkish | 392 | ≥ 18 | BDI | IAT |
| Zhang et al. | 2021 | China | 734 | ≤ 18 | CESD | IAT |
| Zhao et al. | 2023 | China | 7,958 | ≤ 18 | SCARED/CESD | IAT |
| Zhao et al. | 2022 | China | 904 | ≤ 18 | CESD | YDQ |
The characteristics of studies included in this meta-analysis.
PSQI, Pittsburg Sleep Quality Index; DASS, The Depression Anxiety Stress Scale; BDI, Beck Depression Inventory; CESD, Center for Epidemiologic Studies Depression Scale; ADRS, Aphasic Depression Rating Scale; SCARED, The Screen for Child Anxiety Related Emotional Disorders; PHQ-9, Patient Health Questionnaire-9; SDS, Self-Rating Depression Scale; GHQ, General Health Questionnaire; IAT, Internet Addiction Test; SMD, Social Media Dependency Questionnaire; SAS, Smartphone Addiction Scale; GPIUS, Generalized Pathological Internet Use Scale; YDQ, Young’s Diagnostic Questionnaire.
3.3 Quality assessment
All 48 studies were of high quality (NOS scores greater than 5) according to the NOS scores. The objectives, variables and measurements were clearly defined, and well-established criteria were used in all studies.
3.4 Meta-analysis of the relationship between internet addiction and depression
The relationship between Internet addiction and depression was reported in 33 included studies (Geng et al., 2021; Sayed et al., 2022; Chi et al., 2019; Ge et al., 2023; Yuan et al., 2021; Javaeed et al., 2019; Kayis, 2022; Alimoradi et al., 2019; Deb and Roy, 2022; Fekih-Romdhane et al., 2023; Jiang et al., 2022; Bazrafshan et al., 2019; Gupta et al., 2021; Haddad et al., 2021; Karakose et al., 2022; Kim et al., 2019; Kożybska et al., 2022; Lebni et al., 2020; Lee and Shin, 2022; Peterka-Bonetta et al., 2019; Przepiorka et al., 2019; Sami et al., 2018; Tian et al., 2021; Vally, 2019; Vally et al., 2020; Wang et al., 2020; Yi and Li, 2021; Zhang et al., 2021; Zhao et al., 2022). Because of the substantial heterogeneity between studies (I2 = 94.3%), the data were pooled using a random-effects model. The results unraveled a significant association between Internet addiction and depression (r: 0.39, 95%CI: 0.34–0.45, p < 0.001, Figure 2). Three studies (Bisen and Deshpande, 2020; Paudel et al., 2021; Yücens and Üzer, 2018) reported the mean difference in depression scores between Internet addiction and non-Internet addiction groups, and significant differences were found (SMD = 1.34, 95%CI = 0.81–1.86, p < 0.001, Supplementary Figure S1). Five studies (Kumar et al., 2018; Aziz et al., 2018; Hsieh et al., 2018; Mamun et al., 2019; Saikia et al., 2019) estimated OR values, and the overall pooled OR was 0.86 (95%CI: 0.46–1.26, p < 0.001, Supplementary Figure S2). No publication bias was observed in the funnel plot (Supplementary Figure S3) and Egger’s test (p = 0.595).
Figure 2

Forest plot of the relationship between depression and Internet addiction.
Subgroup analyses revealed that geographic location and the measurement tool had a significant effect on the pooled correlation coefficients for the association between IAD and depression (Table 2). The association between IAD and depression was not significant in the Turkish (p = 0.109) and Irish (p = 0.163) populations as well as in studies using BDI (p = 0.378) and the GHQ (p = 0.314). However, age had no markedly impact on the association between IAD and depression.
Table 2
| Subgroup | Numbers of studies | r | 95%CI | p | I 2 |
|---|---|---|---|---|---|
| Age | |||||
| < 18 | 13 | 0.35 | 0.34–0.36 | 0.000 | 96.5% |
| ≥ 18 | 20 | 0.32 | 0.31–0.34 | 0.000 | 91.2% |
| Geographic location | |||||
| Arab Emirates | 2 | 0.17 | 0.11–0.22 | 0.000 | 98.0% |
| China | 13 | 0.38 | 0.36–0.39 | 0.000 | 91.8% |
| Poland | 2 | 0.42 | 0.37–0.48 | 0.010 | 85.0% |
| Turkey | 3 | 0.19 | 0.09–0.28 | 0.109 | 61.2% |
| Iran | 3 | 0.12 | 0.01–0.24 | 0.163 | 48.7% |
| South Korea | 2 | 0.44 | 0.24–0.65 | 0.000 | 97.4% |
| Lebanon | 2 | 0.13 | 0.10–0.17 | 0.000 | 98.4% |
| Questionnaires | |||||
| CESD | 10 | 0.39 | 0.38–0.41 | 0.000 | 94.5% |
| DASS-21 | 15 | 0.30 | 0.27–0.33 | 0.001 | 68.6% |
| BDI | 9 | 0.34 | 0.32–0.37 | 0.378 | 3.0% |
| PHQ | 3 | 0.47 | 0.43–0.51 | 0.000 | 91.7% |
| GHQ | 2 | 0.12 | 0.05–0.19 | 0.314 | 1.4% |
| ADRS | 2 | 0.13 | 0.10–0.17 | 0.000 | 98.4% |
| SDS | 2 | 0.33 | 0.30–0.36 | 0.000 | 94.4% |
The subgroup analyses revealed the summary correlation coefficient between IAD and depression.
PSQI, Pittsburg Sleep Quality Index; DASS, The Depression Anxiety Stress Scale; BDI, Beck Depression Inventory; CESD, Center for Epidemiologic Studies Depression Scale; ADRS, Aphasic Depression Rating Scale; SCARED, The Screen for Child Anxiety Related Emotional Disorders; PHQ-9, Patient Health Questionnaire-9; SDS, Self-Rating Depression Scale; GHQ, General Health Questionnaire.
3.5 Meta-analysis of the correlation between internet addiction and anxiety
Eleven studies (Geng et al., 2021; Sayed et al., 2022; Javaeed et al., 2019; Kayis, 2022; Lavoie et al., 2023; Gundogdu and Eroglu, 2022; Alimoradi et al., 2019; Deb and Roy, 2022; Fekih-Romdhane et al., 2023; Lei et al., 2020; Aziz et al., 2018) reported the association between Internet addiction and anxiety. The heterogeneity for anxiety was high (I2 = 89.4%, p < 0.001). The pooled r value was 0.30 (95%CI: 0.23–0.37, p < 0.001, Figure 3). Three studies reported OR values (Aziz et al., 2018; Mamun et al., 2019; Saikia et al., 2019), resulting in a pooled OR of 0.90 (95%CI = 0.29–1.52, p = 0.133, Supplementary Figure S4). The funnel plot (Supplementary Figure S5) and the Egger’s Test (p = 0.162) indicated no publication bias.
Figure 3

Forest plot of the relationship between anxiety and Internet addiction.
Subgroup analyses were conducted only based on participants’ age and measurement tools due to insufficient information. The findings of the subgroup analyses suggested that age and measurement tools did not obviously affect the association between Internet addiction and anxiety (I2 > 50%, Table 3).
Table 3
| Subgroup | Numbers of studies | r | 95%CI | p | I 2 |
|---|---|---|---|---|---|
| Age | |||||
| < 18 | 5 | 0.37 | 0.35–0.38 | 0.000 | 93.7% |
| ≥ 18 | 6 | 0.30 | 0.25–0.35 | 0.000 | 79.8% |
| Questionnaires | |||||
| DASS-21 | 8 | 0.32 | 0.28–0.36 | 0.000 | 74.1% |
| SCARED | 3 | 0.37 | 0.35–0.38 | 0.000 | 96.8% |
The subgroup analyses revealed the summary correlation coefficient between IAD and anxiety.
3.6 Meta-analysis of the correlation between internet addiction and stress
Six studies (Sayed et al., 2022; Javaeed et al., 2019; Kayis, 2022; Deb and Roy, 2022; Fekih-Romdhane et al., 2023; Lei et al., 2020) explored the correlation between Internet addiction and stress. The pooled r value was 0.34 (95%CI: 0.29–0.38, p = 0.088, I2 = 47.8%, Figure 4). Two studies reported OR values (Mamun et al., 2019; Saikia et al., 2019), and the pooled OR was 1.76 (95%CI: 0.37–3.16, p = 0.007, Figure 5). No publication bias was observed (Egger’s p = 0.778).
Figure 4

Forest plot of the relationship between stress and Internet addiction.
Figure 5

Forest plot of the pooled OR for the association between stress and Internet addiction.
3.7 Meta-analysis of the relation between internet addiction and sleep quality
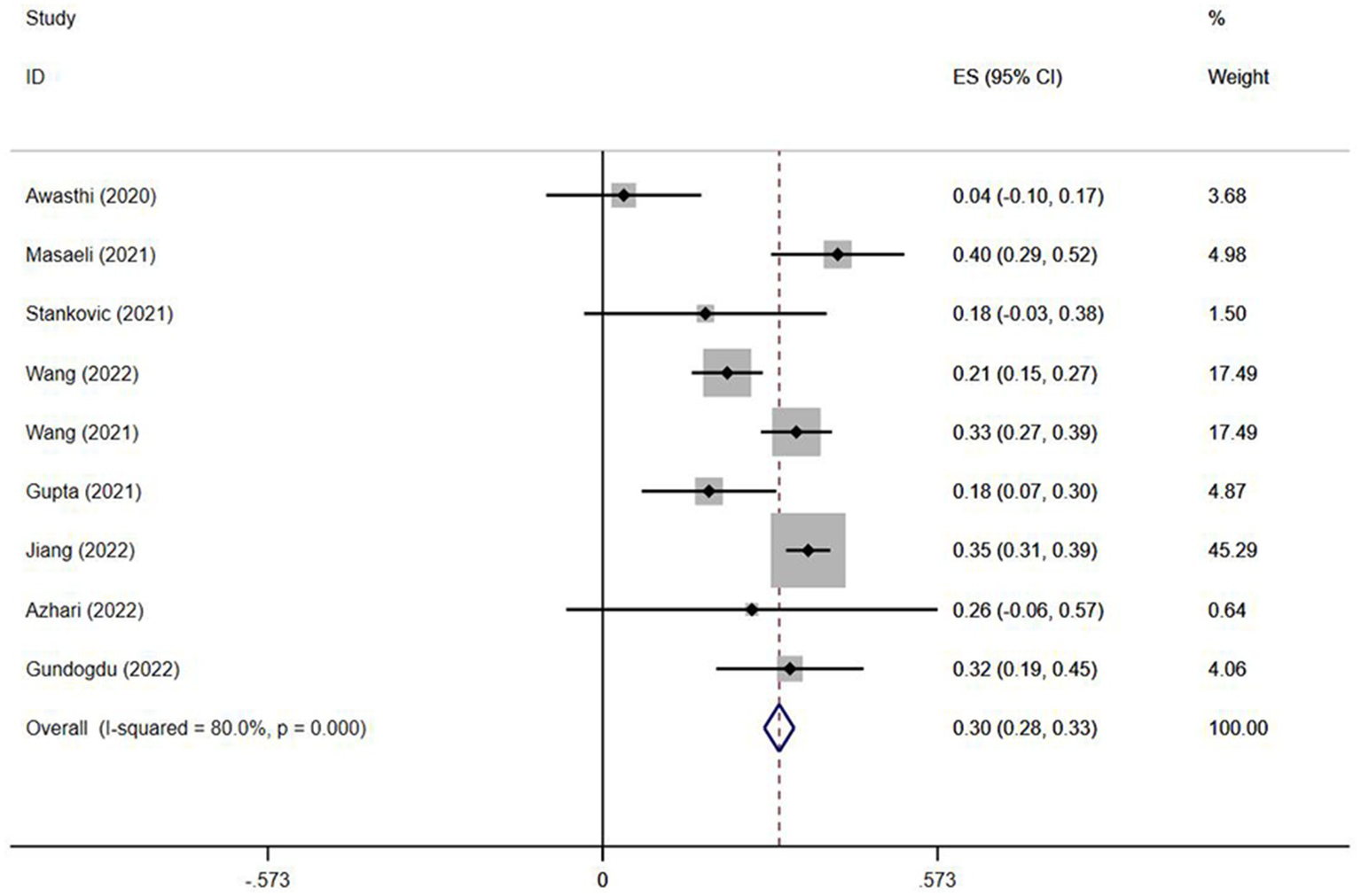
Nine studies (Gundogdu and Eroglu, 2022; Awasthi et al., 2020; Jiang et al., 2022; Masaeli and Farhadi, 2021; Stankovic et al., 2021; Wang et al., 2021; Gupta et al., 2021; Wang et al., 2020; Azhari et al., 2022) investigated the association between Internet addiction and sleep quality. The pooled r-value was 0.26 (95%CI: 0.19–0.33, p < 0.001, I2 = 80.0%). Moreover, the results of the subgroup analysis showed that age did not affect the correlation between IAD and sleep quality (Figure 6). The visual funnel plots (Supplementary Figure S6) and the Egger’s Test (p = 0.192) showed no publication bias.
Figure 6

Forest plot of the relationship between sleep quality and Internet addiction.
3.8 Sensitivity analyses
Sensitivity analyses were conducted to assess the reliability of the study results by systematically removing one individual study at a time and recalculating the pooled correlation coefficients. The sensitivity analyses for depression, anxiety, stress, and sleep quality showed minimal changes in the meta-analysis results, suggesting that our results were stable.
4 Discussion
This study investigated the association of IAD with depression, anxiety, sleep quality, and stress. The results of the meta-analyses showed that IAD was weakly to moderately positively correlated with depression, anxiety, sleep quality, and stress (r: 0.26–0.39, pooled OR: 0.86, 0.9, 1.76, respectively), and the mean difference in depression scores between Internet addiction and non-internet addiction groups was 1.34.
The results of the meta-analysis indicated a significant relationship between IAD and depression, which is consistent with previous findings (Bazrafshan et al., 2019; Lee and Shin, 2022). According to subgroup analyses, the relationship between Internet addiction and depression remained significant in the Arab Emirates, China, Poland, South Korea, and Lebanon, but not in Türkiye and Ireland. This difference may be caused by differences in culture and social rules among different countries. In countries with collectivist cultures such as the United Arab Emirates and China, young people reconstruct their identities through virtual spaces, turning the Internet into a “haven” from the pressure of reality. In countries undergoing social transition, such as Poland and South Korea, economic pressures and time poverty have led to “compensatory” dependence, so that virtual achievements become substitutes for real-world deficiencies. On the other hand, Catholic culture in Ireland strengthens behavioral self-discipline through rituals such as confession, and community activities provide offline meaning networks. Islamic culture in Türkiye turns technological tools into means of production, and traditional coffee-house culture maintains embodied social interactions, forming a natural immunity to Internet addiction. At the same time, it may also be due to diversified measurement instruments. No significant differences are observed between BDI and GHQ, which are mainly used in Irish and Turkish studies.
Similarly, there was a significant correlation between IAD and anxiety, consistent with a previous study (Sayed et al., 2022; Wong et al., 2020; Fekih-Romdhane et al., 2023; Lebni et al., 2020). Because of insufficient data, subgroup analyses were only performed according to age and measurement instruments. It was shown that age and measurement instruments did not affect the correlation between IAD and anxiety. However, there was no significant association between IAD and stress. This may be because, unlike anxiety and depression, individuals experiencing stress may adopt alternative stress relief strategies, which potentially reduce their susceptibility to developing Internet addiction.
The current study offered evidence that psychiatric symptom levels and Internet addiction were significantly interrelated before and during the outbreak of the COVID-19 pandemic. People who constantly use the Internet and become overly addicted to the virtual world are more likely to suffer from depression. After Internet addiction, they tend to become more isolated from reality and social relationships, leading to a vicious cycle. Therefore, if individuals can reduce their Internet addiction and increase real-world activities, their emotions may be more positive. The reverse is also true, if an individual’s psychological symptoms are reduced, their Internet addiction behavior may also be reduced. Therefore, in practical applications, a multi-dimensional approach can be adopted for the comorbidity of IAD and psychological problems.
Additionally, we explored the relationship between Internet addiction and sleep quality. The results indicate that there is indeed a correlation between Internet addiction and sleep quality. Subgroup analysis found that Internet addiction was significantly associated with sleep quality in both adults (age ≥ 18 years) and children (age ≤ 18 years). To the best of our knowledge, although an increasing number of studies investigated the relationship between Internet addiction and sleep (including duration and quality of sleep), the latest meta-analysis on IAD and sleep was published in 2019. Moreover, the epidemic of COVID-19 in recent years has transformed our lifestyles. The frequency of using the Internet has accordingly increased significantly; hence, the evidence in recent years needs to be summarized. Moreover, in 2019, a study on the relationship between sleep duration and Internet addiction found that factors such as sleep duration, dreaminess during sleep, and daytime mental state were also crucial in evaluating sleep quality. Nevertheless, no systematic review and meta-analysis has been conducted to summarize these findings. There are several explanations for the positive correlation between Internet addiction and sleep quality (Li et al., 2020). Psychologically, excessive use of the Internet before bedtime will lead to higher psychological arousal levels, which may compromise sleep quality. Physiologically, electronic screens emit electromagnetic fields that can impact the secretion of melatonin in the body, which in turn affects the quality of sleep. Subgroup analysis by age revealed significant differences in the association between IAD and sleep quality. In individuals above 18 years old, Internet addiction and sleep quality are significantly correlated, whereas in those below 18 years old, Internet addiction and sleep quality were not significantly correlated. These results indicate that age is the primary factor affecting the relationship between IAD and sleep quality. This may be because adolescents are often supervised by parents or schools, and the mandatory schedule may offset the direct effects of Internet addiction on sleep; adults are more likely to form bad habits such as “staying up late” by scheduling their time.
This study provides valuable evidence about the relationship between Internet addiction, psychiatric symptom levels, and sleep disorders. Nevertheless, there are several limitations. Firstly, most of the results are self-reported by the participants through questionnaires, and as such, may be affected by subjective factors. Secondly, there was a great degree of heterogeneity among the studies. However, due to the limited number of the included studies, the source of heterogeneity may not be fully explored. Thirdly, it is imperative to study the longitudinal association of Internet addiction with psychiatric symptom levels and sleep disorders. Inadequate literature currently restrains us from doing the analysis. Therefore, more high-quality studies are warranted to confirm our findings.
5 Conclusion
Our results reveal that Internet addiction is associated with depression, anxiety, and stress, and compromises the sleep quality of both adults and adolescents. However, further research is required to investigate the potential negative effects of internet addiction. Encouraging people to use the Internet in a controlled manner (for example, not to use the Internet so excessively to lose social interaction, or to reduce Internet use before bedtime) can help to alleviate negative consequences. Future research should investigate the direction of this association and determine whether Internet addiction has a greater impact on sleep in specific populations.
Statements
Data availability statement
The original contributions presented in the study are included in the article/Supplementary material, further inquiries can be directed to the corresponding author.
Author contributions
YS: Conceptualization, Data curation, Formal analysis, Investigation, Supervision, Writing – original draft, Writing – review & editing. ZW: Conceptualization, Formal analysis, Investigation, Methodology, Writing – review & editing. TL: Conceptualization, Data curation, Investigation, Writing – review & editing.
Funding
The author(s) declare that no financial support was received for the research and/or publication of this article.
Conflict of interest
The authors declare that the research was conducted in the absence of any commercial or financial relationships that could be construed as a potential conflict of interest.
Generative AI statement
The authors declare that no Gen AI was used in the creation of this manuscript.
Publisher’s note
All claims expressed in this article are solely those of the authors and do not necessarily represent those of their affiliated organizations, or those of the publisher, the editors and the reviewers. Any product that may be evaluated in this article, or claim that may be made by its manufacturer, is not guaranteed or endorsed by the publisher.
Supplementary material
The Supplementary material for this article can be found online at: https://www.frontiersin.org/articles/10.3389/fpsyg.2025.1573058/full#supplementary-material
References
1
Alimoradi Z. Lin C. Y. Imani V. Griffiths M. D. Pakpour A. H. (2019). Internet addiction and sleep problems: a systematic review andmeta-analysis. Sleep Med. Rev.47, 41–61. doi:doi: 10.1016/j.smrv.2019.06.004
2
Amamou B. Ben Hawala A. Mhalla A. Zaafrane F. Gaha L. (2017). Relationship between cyberaddiction and social anxiety among students in medicine: about 188 students. Eur. Neuropsychopharmacol.27, S1081–S1082. doi: 10.1016/S0924-977X(17)31881-3
3
Awasthi A. A. Taneja N. Maheshwari S. Gupta T. Bhavika . (2020). Prevalence of internet addiction, poor sleep quality, and depressive symptoms among medical students: a cross-sectional study. Osong. Public Health Res. Perspect.11, 303–308. doi: 10.24171/j.phrp.2020.11.5.06
4
Azhari A. Toms Z. Pavlopoulou G. Esposito G. Dimitriou D. (2022). Social media use in female adolescents: associations with anxiety, loneliness, and sleep disturbances. Acta Psychol.229:103706. doi: 10.1016/j.actpsy.2022.103706
5
Aziz M. A. Ismail W. S. W. Bahar N. Mahadevan R. Shah S. A. (2018). Internet addiction among secondary school students in Klang Valley, Malaysia: what is the association with depressive symptoms, anxiety symptoms, and self-esteem?Int. Med. J. Malaysia.17, 17–25. doi: 10.31436/imjm.v17i2.267
6
Azmi S. U. F. Robson N. Othman S. Guan N. C. Isa M. R. (2019). Prevalence and risk factors of internet addiction (IA) among National Primary School Children in Malaysia. Int. J. Ment. Health Addict.18, 1560–1571. doi: 10.1007/s11469-019-00077-2
7
Bazrafshan M. R. Jokar M. Rahmati M. Ahmadi S. Kavi E. Sookhak F. et al . (2019). The relationship between depression and internet addiction among paramedical students in Larestan, Iran. J. Clin. Diagn. Res.13, LC16–LC19. doi: 10.7860/JCDR/2019/36363.12742
8
Bisen S. S. Deshpande Y. (2020). Prevalence, predictors, psychological correlates of internet addiction among college students in India: a comprehensive study. Anadolu Psikiyatri Derg.21, 117–123. doi: 10.5455/apd.47328
9
Černja I. Vejmelka L. Rajter M. (2019). Internet addiction test: Croatian preliminary study. BMC Psychiatry19:388. doi: 10.1186/s12888-019-2366-2
10
Chi X. L. Liu X. F. Guo T. Y. Wu M. X. Chen X. C. (2019). Internet addiction and depression in Chinese adolescents: a moderated mediation model. Front. Psych.10:816. doi: 10.3389/fpsyt.2019.00816
11
Deb N. Roy P. (2022). Internet addiction, depression, anxiety and stress among first year medical students after COVID-19 lockdown: a cross sectional study in West Bengal, India. J. Family Med. Prim. Care11, 6402–6406. doi: 10.4103/jfmpc.jfmpc_809_22
12
Dreier M. Wölfling K. Duven E. Giralt S. Beutel M. E. Müller K. W. (2017). Free-to-play: about addicted whales, at risk dolphins and healthy minnows. Monetarization design and internet gaming disorder. Addict. Behav.64, 328–333. doi: 10.1016/j.addbeh.2016.03.008
13
Fekih-Romdhane F. Away R. Jahrami H. Cheour M. (2023). Internet addiction is associated with psychological distress in highly schizotypal students. Early Interv. Psychiatry17, 681–691. doi: 10.1111/eip.13362
14
Ge J. M. Liu Y. Cao W. J. Zhou S. Y. (2023). The relationship between anxiety and depression with smartphone addiction among college students: the mediating effect of executive dysfunction. Front. Psychol.13:1033304. doi: 10.3389/fpsyg.2022.1033304
15
Geng Y. Gu J. Wang J. Zhang R. (2021). Smartphone addiction and depression, anxiety: the role of bedtime procrastination and self-control. J. Affect. Disord.293, 415–421. doi: 10.1016/j.jad.2021.06.062
16
Gundogdu U. Eroglu M. (2022). The relationship between dissociation symptoms, sleep disturbances, problematic internet use and online gaming in adolescents. Psychol. Health Med.27, 686–697. doi: 10.1080/13548506.2021.1984542
17
Gupta R. Taneja N. Anand T. Gupta A. Gupta R. Jha D. et al . (2021). Internet addiction, sleep quality and depressive symptoms amongst medical students in Delhi, India. Community Ment. Health J.57, 771–776. doi: 10.1007/s10597-020-00697-2
18
Haand R. Zhao S. W. (2020). The relationship between social media addiction and depression: a quantitative study among university students in Khost, Afghanistan. Int. J. Adolesc. Youth25, 780–786. doi: 10.1080/02673843.2020.1741407
19
Haddad C. Malaeb D. Sacre H. Bou Khalil J. Khansa W. Al Hajj R. et al . (2021). Association of problematic internet use with depression, impulsivity, anger, aggression, and social anxiety: results of a national study among Lebanese adolescents. Pediatr. Investig.5, 255–264. doi: 10.1002/ped4.12299
20
Hsieh K. Y. Hsiao R. C. Yang Y. H. Liu T. L. Yen C. F. (2018). Predictive effects of sex, age, depression, and problematic behaviors on the incidence and remission of internet addiction in college students: a prospective study. Int. J. Environ. Res. Public Health15:2861. doi: 10.3390/ijerph15122861
21
Javaeed A. Zafar M. B. Iqbal M. Ghauri S. K. (2019). Correlation between internet addiction, depression, anxiety and stress among undergraduate medical students in Azad Kashmir. Pak. J. Med. Sci.35, 506–509. doi: 10.12669/pjms.35.2.169
22
Jiang M. M. Zhao Y. Wang J. Hua L. Chen Y. Yao Y. S. et al . (2022). Serial multiple mediation of the correlation between internet addiction and depression by social support and sleep quality of college students during the COVID-19 epidemic. Psychiatry Investig.19, 9–15. doi: 10.30773/pi.2021.0147
23
Karakose T. Yirci R. Papadakis S. (2022). Examining the associations between COVID-19-related psychological distress, social media addiction, COVID-19-related burnout, and depression among school principals and teachers through structural equation modeling. Int. J. Environ. Res. Public Health19:1951. doi: 10.3390/ijerph19041951
24
Kayis A. R. (2022). Mindfulness, impulsivity and psychological distress: the mediation role of smartphone addiction. Br. J. Guid. Counc.50, 791–804. doi: 10.1080/03069885.2022.2046255
25
Kim S. G. Park J. Kim H. T. Pan Z. H. Lee Y. McIntyre R. S. (2019). The relationship between smartphone addiction and symptoms of depression, anxiety, and attention-deficit/hyperactivity in south Korean adolescents. Ann. General Psychiatry18:1. doi: 10.1186/s12991-019-0224-8
26
Kożybska M. Kurpisz J. Radlińska I. Skwirczyńska E. Serwin N. Zabielska P. et al . (2022). Problematic internet use, health behaviors, depression and eating disorders: a cross-sectional study among polish medical school students. Ann. General Psychiatry21:5. doi: 10.1186/s12991-022-00384-4
27
Kumar S. Kumar S. (2024). Compulsive use of social media and unrestrained buying behavior: delineating the role of social comparison, fear of missing out and self esteem. J. Internet Commer.23, 503–532. doi: 10.1080/15332861.2024.2421731
28
Kumar S. Kumar A. Badiyani B. Singh S. K. Gupta A. Ismail M. B. (2018). Relationship of internet addiction with depression and academic performance in Indian dental students. Clujul Med.91, 300–306. doi: 10.15386/cjmed-796
29
Laconi S. Andréoletti A. Chauchard E. Rodgers R. F. Chabrol H. (2016). Problematic internet use, time spent online and personality traits. Encéphale42, 214–218. doi: 10.1016/j.encep.2015.12.017
30
Lavoie C. Dufour M. Berbiche D. Therriault D. Lane J. (2023). The relationship between problematic internet use and anxiety disorder symptoms in youth: specificity of the type of application and gender. Comput. Human Behav.140:107604. doi: 10.1016/j.chb.2022.107604
31
Lebni J. Y. Toghroli R. Abbas J. NeJhaddadgar N. Salahshoor M. R. Mansourian M. et al . (2020). A study of internet addiction and its effects on mental health: a study based on Iranian university students. J. Educ. Health Promot.9:205. doi: 10.4103/jehp.jehp_148_20
32
Lee J. J. Shin S. H. (2022). Associations between fear of COVID-19, depression, and internet addiction in south Korean adults. Healthcare (Basel)10:861. doi: 10.3390/healthcare10050861
33
Lei L. Y. Ismail M. A. Mohammad J. A. Yusoff M. S. B. (2020). The relationship of smartphone addiction with psychological distress and neuroticism among university medical students. BMC Psychol.8:97. doi: 10.1186/s40359-020-00466-6
34
Li Y. Li G. Liu L. Wu H. (2020). Correlations between mobile phone addiction and anxiety, depression, impulsivity, and poor sleep quality among college students: a systematic review and meta-analysis. J. Behav. Addict.9, 551–571. doi: 10.1556/2006.2020.00057
35
Liu L. Yao Y. W. Li C. S. R. Zhang J. T. Xia C. C. Lan J. et al . (2018). The comorbidity between internet gaming disorder and depression: interrelationship and neural mechanisms. Front. Psych.9:154. doi: 10.3389/fpsyt.2018.00154
36
Lozano-Blasco R. Cortes-Pascual A. (2020). Problematic internet uses and depression in adolescents: a meta-analysis. Comunicar.28, 109–120. doi: 10.3916/C63-2020-10
37
Mamun M. A. Hossain M. S. Siddique A. B. Sikder M. T. Kuss D. J. Griffiths M. D. (2019). Problematic internet use in Bangladeshi students: the role of socio-demographic factors, depression, anxiety, and stress. Asian J. Psychiatr.44, 48–54. doi: 10.1016/j.ajp.2019.07.005
38
Masaeli N. Farhadi H. (2021). Internet addiction and depression in Iran: investigating the mediating roles of loneliness and disordered sleep and moderating role of gender. Int. J. Adv. Couns.43, 407–423. doi: 10.1007/s10447-021-09447-9
39
Ostinelli E. G. Zangani C. Giordano B. Maestri D. Gambini O. D'Agostino A. et al . (2021). Depressive symptoms and depression in individuals with internet gaming disorder: a systematic review and meta-analysis. J. Affect. Disord.284, 136–142. doi: 10.1016/j.jad.2021.02.014
40
Paudel L. Sharma P. Kadel A. R. Lakhey K. Singh S. Khanal P. et al . (2021). Association between internet addiction, depression and sleep quality among undergraduate students of medical and allied sciences. J Nepal Health Res Counc19, 543–549. doi: 10.33314/jnhrc.v19i3.3599
41
Peterka-Bonetta J. Sindermann C. Sha P. Zhou M. Montag C. (2019). The relationship between internet use disorder, depression and burnout among Chinese and German college students. Addict. Behav.89, 188–199. doi: 10.1016/j.addbeh.2018.08.011
42
Przepiorka A. Blachnio A. Cudo A. (2019). The role of depression, personality, and future time perspective in internet addiction in adolescents and emerging adults. Psychiatry Res.272, 340–348. doi: 10.1016/j.psychres.2018.12.086
43
Saikia A. M. Das J. Barman P. Bharali M. D. (2019). Internet addiction and its relationships with depression, anxiety, and stress in urban adolescents of Kamrup District, Assam. J. Family Commun. Med.26, 108–112. doi: 10.4103/jfcm.JFCM_93_18
44
Sami H. Danielle L. Lihi D. Elena S. (2018). The effect of sleep disturbances and internet addiction on suicidal ideation among adolescents in the presence of depressive symptoms. Psychiatry Res.267, 327–332. doi: 10.1016/j.psychres.2018.03.067
45
Sayed M. Naiim C. M. Aboelsaad M. Ibrahim M. K. (2022). Internet addiction and relationships with depression, anxiety, stress and academic performance among Egypt pharmacy students: a cross-sectional designed study. BMC Public Health22:1826. doi: 10.1186/s12889-022-14140-6
46
Stang A. (2010). Critical evaluation of the Newcastle-Ottawa scale for the assessment of the quality of nonrandomized studies in meta-analyses. Eur. J. Epidemiol.25, 603–605. doi: 10.1007/s10654-010-9491-z
47
Stankovic M. Nesic M. Cicevic S. Shi Z. H. (2021). Association of smartphone use with depression, anxiety, stress, sleep quality, and internet addiction. Empirical evidence from a smartphone application. Pers. Individ. Dif.168:110342. doi: 10.1016/j.paid.2020.110342
48
Suk-Hyun Hwang S. Kim H. S. Lee H. C. Bhang S. Y. Choi S. W. Lee B. H. et al . (2015). Development and efficacy of the stepped tailored empowerment program (STEP) for assessment and treatment of internet addiction among teenagers. J. Behav. Addict.4:21.
49
Tian Y. Qin N. B. Cao S. Gao F. Q. (2021). Reciprocal associations between shyness, self-esteem, loneliness, depression and internet addiction in Chinese adolescents. Addict. Res. Theory29, 98–110. doi: 10.1080/16066359.2020.1755657
50
Vally Z. (2019). Generalized problematic internet use, depression, and explicit self-esteem: evidence from the United Arab Emirates. Neurol. Psychiatry Brain Res.33, 93–100. doi: 10.1016/j.npbr.2019.07.002
51
Vally Z. Laconi S. Kaliszewska-Czeremska K. (2020). Problematic internet use, psychopathology, defense mechanisms, and coping strategies: a cross-sectional study from the United Arab Emirates. Psychiatry Q.91, 587–602. doi: 10.1007/s11126-020-09719-4
52
Wang Q. Mati K. Cai Y. (2021). The link between problematic internet use, problematic gaming, and psychological distress: does sleep quality matter?BMC Psychiatry21:103. doi: 10.1186/s12888-021-03105-5
53
Wang P. Wang J. Yan Y. Si Y. Zhan X. Tian Y. (2020). Relationship between loneliness and depression among Chinese junior high school students: the serial mediating roles of internet gaming disorder, social network use, and generalized pathological internet use. Front. Psychol.11:529665. doi: 10.3389/fpsyg.2020.529665
54
Wong H. Y. Mo H. Y. Potenza M. N. Chan M. N. M. Lau W. M. Chui T. K. et al . (2020). Relationships between severity of internet gaming disorder, severity of problematic social media use, sleep quality and psychological distress. Int. J. Environ. Res. Public Health17:1879. doi: 10.3390/ijerph17061879
55
Yi X. Y. Li G. M. (2021). The longitudinal relationship between internet addiction and depressive symptoms in adolescents: a random-intercept cross-lagged panel model. Int. J. Environ. Res. Public Health18:12869. doi: 10.3390/ijerph182412869
56
Yuan G. Z. Elhai J. D. Hall B. J. (2021). The influence of depressive symptoms and fear of missing out on severity of problematic smartphone use and internet gaming disorder among Chinese young adults: a three-wave mediation model. Addict. Behav.112:106648. doi: 10.1016/j.addbeh.2020.106648
57
Yücens B. Üzer A. (2018). The relationship between internet addiction, social anxiety, impulsivity, self-esteem, and depression in a sample of Turkish undergraduate medical students. Psychiatry Res.267, 313–318. doi: 10.1016/j.psychres.2018.06.033
58
Zhang Y. Liu Z. Zhao Y. H. (2021). Impulsivity, social support and depression are associated with latent profiles of internet addiction among male college freshmen. Front. Psych.12:642914. doi: 10.3389/fpsyt.2021.642914
59
Zhao Q. L. Huang Y. C. Li C. N. (2022). Does adolescents' internet addiction trigger depressive symptoms and aggressive behavior, or vice versa? The moderating roles of peer relationships and gender. Comput. Human. Behav.129:107143. doi: 10.1016/j.chb.2021.107143
60
Zhao L. Li X. Yang Q. Peng Y. H. Jiang L. H. Jia P. et al . (2023). The longitudinal association between internet addiction and depressive and anxiety symptoms among Chinese adolescents before and during the COVID-19 pandemic. Front. Public Health10:1096660. doi: 10.3389/fpubh.2022.1096660
Summary
Keywords
meta-analysis, Internet addiction, depression, anxiety, stress, sleep disorders
Citation
Sun Y, Wang Z and Liu T (2025) Association of Internet addiction with psychiatric symptom levels and sleep disorders: a systematic review and meta-analysis. Front. Psychol. 16:1573058. doi: 10.3389/fpsyg.2025.1573058
Received
08 February 2025
Accepted
04 April 2025
Published
17 April 2025
Volume
16 - 2025
Edited by
Matteo Angelo Fabris, University of Turin, Italy
Reviewed by
Hailian Zhang, Yanbian University, China
Mahmoud Abdallat, The University of Jordan, Jordan
Didem Ayyildiz, Bursa Dörtçelik Children’s Hospital, Türkiye
Khiumajuliu Abonmai, Shree Guru Gobind Singh Tricentenary University, India
Updates
Copyright
© 2025 Sun, Wang and Liu.
This is an open-access article distributed under the terms of the Creative Commons Attribution License (CC BY). The use, distribution or reproduction in other forums is permitted, provided the original author(s) and the copyright owner(s) are credited and that the original publication in this journal is cited, in accordance with accepted academic practice. No use, distribution or reproduction is permitted which does not comply with these terms.
*Correspondence: Yuanlin Sun, 15100582571@163.com
Disclaimer
All claims expressed in this article are solely those of the authors and do not necessarily represent those of their affiliated organizations, or those of the publisher, the editors and the reviewers. Any product that may be evaluated in this article or claim that may be made by its manufacturer is not guaranteed or endorsed by the publisher.