Abstract
Introduction:
This study investigates the mediating roles of academic motivation and resilience in the relationship between perceived academic support and academic achievement among Ethiopian first-year university students, addressing a gap in understanding how these protective factors enhance academic achievement during a critical transitional period.
Methods:
A correlational design was employed, collecting data from first-year students at Injibara University. Instruments included the Perceived Academic Support Scale (Gutiérrez et al., validated by Reyes et al.), a revised 20-item Academic Resilience Scale (Cassidy, adapted by Cui, Wang, & Xu for collectivist contexts), and the Multidimensional Academic Motivation Scale (Vallerand et al., adapted by Orsini for university settings). Participants were selected via stratified random sampling, stratified by gender and college affiliation. Data collection occurred in two phases: a pilot study (n = 200; 158 male, 42 female) validated the instruments, followed by the main study (n = 503; 403 male, 100 female). Pearson correlation coefficients was used to analyze correlation among the variables. Besides structural equation modeling (SEM) was used to examine the direct and indirect effect of perceived academic support on achievement through the mediators of academic motivation and resilience.
Results:
Pearson correlations revealed significant positive associations among perceived academic support, academic motivation, academic resilience, and academic achievement (p < 0.05). Analysis from the structural equation modeling confirmed that academic motivation and resilience fully mediated the relationship between perceived academic support and academic achievement, with robust model fit indices.
Discussion:
These findings highlight the critical roles of motivation and resilience as mechanisms linking support to achievement, offering practical implications for educators to bolster student success in the first year. Limitations include the study's focus on a cross-sectional design and a single institution. Future research should explore longitudinal designs and diverse cultural contexts to enhance generalizability.
Introduction
The transition to university is a critical phase for first-year students, marked by academic, social, and emotional challenges that shape their educational trajectories. Global research underscores the importance of adaptive mechanisms for academic success, grounded in theoretical frameworks like Self-Determination Theory (SDT) of motivation, the Stress and Coping Theory's buffering model, and Cassidy's academic resilience model (Ryan and Deci, 2000; Cohen and Wills, 1985; Cassidy, 2016; Lakey and Cohen, 2000). SDT posits that intrinsic and extrinsic motivation, driven by autonomy, competence, and relatedness, enhances engagement and achievement (Ryan and Deci, 2000). However, stressors—separation from family, academic demands, and social maladjustment—threaten wellbeing and increase dropout risks (Chemers et al., 2001; Robotham, 2008). In Ethiopia's rapidly expanding higher education system, these challenges are pronounced. Kelemu and Sabanci (2018) report elevated dismissal rates, with Tamrat (2021) documenting a 36% attrition rate across seven public universities, peaking during the first-to-second-year transition. Audits at Hawassa and Dambi Dollo Universities reveal dropout rates of over 30% and 14%, respectively (Tamrat, 2021; Alemu et al., 2022), undermining institutional and national development goals.
Stress and Coping Theory's buffering model suggests that perceived academic support from peers, family, and instructors mitigates stress's adverse effects, fostering psychological wellbeing and achievement (Cohen and Wills, 1985; Awang et al., 2014). Academic support is defined as tangible and emotional assistance enhancing students' coping resources. Similarly, Cassidy's (2016) academic resilience model emphasizes adaptive responses—perseverance, reflecting, and help-seeking—that enable students to overcome academic adversity. Motivation, as per SDT, and resilience collectively buffer stressors, enhancing performance (Vallerand et al., 1992; Cassidy, 2016). Yet, Ethiopia-specific research on these constructs is limited. Studies like Niguse et al. (2019), Mekonnen (2018), and Mekonnen (2021) explore social support but fail to examine its mediating effects on first-year achievement through motivation and resilience. Debele (2020) and Amare (2014) analyze motivation using basic correlations, overlooking SDT-driven mediation pathways. This study integrates Self-Determination Theory (SDT), Stress and Coping Theory, and Cassidy's resilience model to provide a comprehensive framework for understanding how academic support influences achievement through academic motivation and resilience among first-year university students. By combining SDT's focus on intrinsic and extrinsic motivation, Stress and Coping Theory's emphasis on managing academic stressors, and Cassidy's resilience model's insights into adaptive coping strategies, the study addresses global challenges in educational psychology, such as enhancing student motivation and improving learning outcomes across diverse populations. Globally, this integrated model offers a scalable theoretical lens to design interventions that foster motivation and resilience in varied educational systems, accommodating cultural and socioeconomic differences. For instance, SDT's universal principles of autonomy, competence, and relatedness can guide global policies on student-centered learning, while Stress and Coping Theory and Cassidy's model inform strategies to mitigate universal stressors like academic transitions.
Context-specifically, the model provides evidence-based insights tailored to first-year students at Injibara University, Ethiopia, where resource constraints and cultural factors shape academic experiences. The findings highlight the role of targeted academic support (e.g., mentorship, peer programs) in boosting motivation and resilience in this under-resourced setting, addressing local challenges like high dropout rates and limited institutional support. By linking global theoretical constructs to context-specific interventions, the study contributes to the educational psychology literature with a versatile framework that informs both universal and localized practices, paving the way for future research to test its applicability across different cultural and educational contexts.
Conceptual framework
This study examines how perceived academic support influences academic achievement among first-year Ethiopian university students, with academic motivation and resilience as mediators. Grounded in Stress and Coping Theory-buffering model (Cohen and Wills, 1985), Self-Determination Theory (Deci and Ryan, 1985), and Cassidy's (2016) Academic Resilience model, we propose a conceptual framework that illustrates the interplay among these constructs. As shown in the Figure 1, perceived academic support may promote academic motivation, which enhances academic resilience, ultimately leading to better academic achievement.
Figure 1

Hypothesized conceptual framework of the study.
The following hypotheses are tested:
-
H1a: Perceived academic support directly impacts academic achievement.
-
H1b: Perceived academic support directly impacts academic motivation.
-
H1c: Perceived academic support directly impacts academic resilience.
-
H1d: Academic motivation mediates the relationship between perceived academic support and academic achievement.
-
H1e: Academic resilience mediates the relationship between perceived academic support and academic achievement.
-
H1f: Academic motivation via academic resilience mediates the relationship between perceived academic support and academic achievement.
-
H2: Academic motivation directly impacts academic achievement.
-
H3: Academic resilience directly impacts academic achievement.
This framework and hypotheses, analyzed via structural equation modeling (SEM), address gaps in Ethiopian higher education research, offering insights for supporting first-year success.
Methods and materials
Research design
This study utilized a correlational research design to measure associations among perceived academic support, academic motivation, academic resilience, and academic achievement via statistical correlation tests (Creswell, 2014). Data were collected using questionnaires, suitable for addressing quantitative research questions requiring numerical data.
Study population, sampling techniques, and sample size
Population of the study
The target population comprised first-year students at a public university in Ethiopia, selected for their unique challenges—family separation, new teaching methods, social connections, and career decisions—impacting wellbeing, motivation, resilience, and academic achievement (Tinto, 1993; Elnaem et al., 2024).
Sampling technique
Participants were purposefully selected using stratified and simple random sampling. The population was stratified by college (social science and natural science streams) and gender, with proportional allocation to ensure representativeness (Kothari, 2004). A random lottery method minimized sampling bias.
Sample size
From a total population of 1,014 first-year students (816 males, 198 females), 760 were sampled across pilot and main studies: 210 for the pilot (165 males, 45 females) and 550 for the main study (441 males, 109 females). The pilot sample followed Kline's (2011) guidelines for structural equation modeling (SEM), while the main study adhered to Sim et al.'s (2021) mean sample size for mediation model complexity, adjusted for a 10% non-response rate. The pilot study yielded complete data for 200 participants (158 males, 42 females; 95.2% completion rate), excluding 10 (4.8%) due to incomplete responses. The main study obtained complete data for 503 participants (403 males, 100 females; 91.5% completion rate), excluding 47 (8.5%) for similar reasons.
Variables of the study
Predictor variable
Perceived Academic Support (family, peer, and teacher support).
Mediator variables
Academic Motivation (intrinsic motivation to know, toward accomplishment, to experience stimulation; external, identified regulation, introjected regulation, and amotivation) and Academic Resilience (perseverance, self-reflection & adaptation, adaptive help-seeking, negative affect & emotional response).
Criterion variable
Academic Achievement (semester GPA).
Measurement instruments
Measures of perceived academic support
The Perceived Academic Support Scale (PASS; Gutiérrez et al., 2018), originally developed to assess support from family, peers, and teachers, was adapted and validated by Reyes et al. (2022). This study further adapted and validated it for the local context. The 12-item PASS includes subscales for family (e.g., “My parents help me perform well academically”), peers (e.g., “In my university, I have a friend who cares about my education”), and teachers (e.g., “In my university, there is a teacher who cares about my education”), rated on a 5-point scale (1 = strongly disagree, 5 = strongly agree). Prior studies (Gutiérrez et al., 2018; Reyes et al., 2022) and this research confirmed its reliability and validity.
Measures of academic motivation
The Multidimensional Academic Motivation Scale (AMS-28; Vallerand et al., 1992) was adapted and validated by Orsini (2016) for university settings. This study further adapted it locally to assess students' reasons for pursuing education. The 28-item scale, scored on a 5-point scale (1 = not at all corresponds, 5 = corresponds exactly), includes intrinsic motivation (12 items: to know, accomplishment, stimulation), extrinsic motivation (12 items: external, identified, introjected regulation), and amotivation (4 items). Higher scores indicate stronger motivation types. Reliability and validity were established previously (Vallerand et al., 1992; Orsini, 2016) and confirmed here.
Measures of academic resilience
The Academic Resilience Scale (ARS; Cassidy, 2016) was revised from 30 to 20 items by Cui et al. (2023) for collectivist contexts, with original author permission. This study adapted and validated it locally. The 20-item ARS, rated on a 5-point Likert scale (1 = unlikely, 5 = likely), comprises perseverance (6 items, e.g., “I would use the feedback given to improve my work”), self-reflection/adaptation (6 items, e.g., “I would try to think more about my strengths and weaknesses”), adaptive help-seeking (4 items, e.g., “I would seek encouragement from my family”), and negative affect/emotional response (4 items, e.g., “I would feel like everything was ruined”). Prior studies (Cassidy, 2016; Cui et al., 2023) and this research confirmed its psychometric properties.
Measures of academic achievement
Academic achievement was operationalized as students' semester grade point average (GPA), obtained from the university registrar's office.
Validation of instruments
Instruments were validated through Confirmatory Factor Analysis (CFA), reliability assessments, and convergent/discriminant validity evaluations, leveraging established theoretical frameworks (Byrne, 2016). Data were screened for accuracy, ensuring scores ranged from 1 to 5 with no missing values.
Confirmatory factor analysis (CFA)
Confirmatory factor analysis validated the instruments' local applicability, omitting exploratory factor analysis due to prior validation (Byrne, 2016). Model fit was assessed using chi-square (χ2/df < 3, p >0.05), GFI, NFI, CFI (> 0.90), and RMSEA (< 0.08) (Hu and Bentler, 1999; Collier, 2020; Hooper et al., 2008). Based on these criteria, the result of the pilot study are: Perceived academic support scale(χ2 = 72.2, df = 51, χ2/df = 1.42, GFI = 0.95, NFI = 0.94, CFI = 0.98, RMSEA = 0.046); Academic motivation scale (χ2 = 529.7, df = 278, χ2/df = 1.9, GFI = 0.924, NFI = 0.912, CFI = 0.975, RMSEA = 0.031); Academic resilience scale (χ2 = 215.1, df = 163, χ2/df = 1.32, GFI = 0.91, NFI = 0.94, CFI = 0.99, RMSEA = 0.040).
Moreover, the results of the main study are: Perceived academic support scale (χ2/df = 2.1, GFI = 1.00, NFI = 1.00, CFI = 1.00, RMSEA = 0.048); Academic motivation scale (χ2/df = 1.6, GFI = 0.93, NFI = 0.92, CFI = 0.97, RMSEA = 0.036); Academic resilience Scale (χ2/df = 2.0, GFI = 0.94, NFI = 0.94, CFI = 0.97, RMSEA = 0.046). These indices confirm robust fit of the models.
Reliability assessment
Reliability was assessed via Cronbach's alpha (>0.70; Nunnally, 1978; Collier, 2020). PASS subscales: family (α = 0.89), peers (α = 0.82), teachers (α = 0.82). AMS subscales: intrinsic to know (α = 0.89), other motivation/regulation (α = 0.77–0.84). ARS subscales: perseverance (α = 0.95), reflection/adaptation (α = 0.93), help-seeking (α = 0.92), affect/emotional response (α = 0.94). All exceeded thresholds, indicating high consistency (see Table 1).
Table 1
| Convergent validity | ||||
|---|---|---|---|---|
| Constructs | Items | Loading | AVE | Cronbach's Alpha |
| Perceived academic support | ||||
| Perceived family support | PASq1 | 0.78 | 0.75 | 0.89 |
| PASq2 | 0.75 | |||
| PASq3 | 0.82 | |||
| PASq4 | 0.84 | |||
| PASq5 | 0.74 | |||
| PASq6 | 0.67 | |||
| Perceived peer support | PASq7 | 0.67 | 0.76 | 0.82 |
| PASq8 | 0.84 | |||
| PASq9 | 0.82 | |||
| Perceived teacher support | PASq10 | 0.71 | 0.78 | 0.82 |
| PASq11 | 82 | |||
| PASq12 | 81 | |||
| Academic motivation | ||||
| Intrinsic motivation to know | AMq1 | 0.84 | 0.83 | 0.89 |
| AMq2 | 0.85 | |||
| AMq3 | 0.80 | |||
| AMq4 | 0.83 | |||
| Intrinsic motivation toward the accomplishment | AMq5 | 0.78 | 0.74 | 0.83 |
| AMq6 | 0.79 | |||
| AMq7 | 0.68 | |||
| AMq8 | 0.71 | |||
| Intrinsic motivation to experience stimulation | AMq9 | 0.66 | 0.71 | 0.79 |
| AMq10 | 0.72 | |||
| AMq11 | 0.77 | |||
| AMq12 | 0.68 | |||
| External regulation | AMq13 | 0.66 | 0.71 | 0.80 |
| AMq14 | 0.78 | |||
| AMq15 | 0.74 | |||
| AMq16 | 0.76 | |||
| Identified regulation | AMq17 | 0.75 | 0.70 | 0.77 |
| AMq18 | 0.68 | |||
| AMq19 | 0.72 | |||
| AMq20 | 0.69 | |||
| Introjected regulation | AMq21 | 0.69 | 0.72 | 0.81 |
| AMq22 | 0.75 | |||
| AMq23 | 0.72 | |||
| AMq24 | 0.71 | |||
| Amotivation | AMq25 | 0.75 | 0.75 | 0.84 |
| AMq26 | 0.71 | |||
| AMq27 | 0.79 | |||
| AMq28 | 0.75 | |||
| PASq11 | 0.84 | |||
| PASq12 | 0.85 | |||
| Academic resilience | ||||
| Perseverance | ARq1 | 0.92 | 0.87 | 0.95 |
| ARq2 | 0.86 | |||
| ARq3 | 0.86 | |||
| ARq4 | 0.87 | |||
| ARq5 | 0.88 | |||
| ARq6 | 0.85 | |||
| Self-reflection and adaptation | ARq7 | 0.86 | 0.83 | 0.93 |
| ARq8 | 0.83 | |||
| ARq9 | 0.86 | |||
| ARq10 | 0.82 | |||
| ARq11 | 0.76 | |||
| ARq12 | 0.86 | |||
| Adaptive help-seeking | ARq13 | 0.87 | 0.86 | 0.92 |
| ARq14 | 0.84 | |||
| ARq15 | 0.86 | |||
| ARq16 | 0.87 | |||
| Negative affect and emotional response | ARq17 | 0.90 | 0.89 | 0.94 |
| ARq18 | 0.89 | |||
| ARq19 | 0.92 | |||
| ARq20 | 0.86 | |||
Reliability and convergent validity assessment.
Convergent validity
Convergent validity was confirmed with factor loadings (> 0.70) and Average Variance Extracted (AVE > 0.50; Fornell and Larcker, 1981; Collier, 2020). Loadings ranged from 0.66–0.92 (e.g., family support = 0.84, perseverance = 0.92). AVE values: PASS (0.75–0.78), AMS (0.70–0.83), ARS (0.83–0.89), all exceeding 0.50 (see Table 1).
Discriminant validity
Discriminant validity was established as AVE square roots exceeded inter-construct correlations (e.g., peer-teacher r = 0.352, shared variance = 0.124 < AVE = 0.76, 0.78; perseverance-affect r = 0.549 < AVE = 0.89, 0.83) (Collier, 2020). No correlations exceeded 0.85, confirming distinctiveness (see Table 2).
Table 2
| Discriminant validity assessment | |||||||
|---|---|---|---|---|---|---|---|
| Perceived academic support | |||||||
| Correlation between constructs | 1 | 2 | 3 | ||||
| Perceived family support | 1 | ||||||
| Perceived peer support | 0.200** | 1 | |||||
| Perceived teacher support | 0.185** | 0.352** | 1 | ||||
| Academic motivation | |||||||
| Correlation between constructs | 1 | 2 | 3 | 4 | 5 | 6 | 7 |
| 1.Intrinsic motivation to know | 1 | ||||||
| 2.Intrinsic motivation toward the accomplishment | 0.652** | 1 | |||||
| 3.Intrinsic motivation to experience stimulation | 0.569** | 0.554** | 1 | ||||
| 4.External regulation | 0.270** | 0.279** | 0.321** | 1 | |||
| 5.Identified regulation | 0.325** | 0.292** | 0.287** | 0.404** | 1 | ||
| 6.Introjected regulation | 0.430** | 0.385** | 0.402** | 0.346** | 0.456** | 1 | |
| 7.Amotivation | −0.519** | −0.477** | −0.331** | −0.223** | −0.345** | −0.333** | 1 |
| Academic resilience | |||||||
| Correlation between constructs | 1 | 2 | 3 | 4 | |||
| 1.Perseverance | 1 | ||||||
| 2.Self-reflection and adaptation | 0.543** | 1 | |||||
| 3.Adaptive help-seeking | 0.584** | 0.447** | 1 | ||||
| 4.Negative affect and emotional response | 0.549** | 0.459** | 0.493** | 1 | |||
Discriminant validity assessment.
** P < 0.001.
Procedures of data collection and ethical considerations
Data collection procedures
Data collection involved two phases: a pilot study to validate adapted instruments and a main study for primary data. Instruments were first adapted to the local context, followed by a pilot test. The main study was conducted from July 24 to July 31, 2024. Questionnaires were administered in classrooms or separate rooms during students' free time to avoid disrupting academic schedules. The investigator and trained assistants provided guidance, with completion taking 25–30 min in both phases. Academic achievement data (GPA) were subsequently obtained from the university registrar.
Ethical considerations
Ethical approval was obtained from Bahir Dar University's College of Education Research Ethics Committee (Protocol No. 000723), adhering to institutional ethical standards. Participants were comprehensively informed about the study's objectives, methodology, procedures, and their rights to voluntarily participate, refuse, or withdraw without consequences. Verbal informed consent, aligned with university ethical protocols, was secured, ensuring full comprehension while prioritizing autonomy and confidentiality. Data privacy was guaranteed, with usage restricted to academic purposes, minimizing risks of unauthorized disclosure. This rigorous process enhanced transparency, cultivated trust, and promoted participant engagement, thereby strengthening data validity and reliability while upholding the highest standards of research integrity.
Preliminary analysis
Before analysis, data quality was assessed to address potential biases from a cross-sectional design, such as poorly worded questions, social desirability, respondent carelessness, or encoding errors. Of 550 main study questionnaires, 47 (8.5%) were excluded due to incompleteness, leaving 503 (91.5% response rate) for analysis. Data were entered into SPSS-24 and IBM SPSS AMOS-23. Responses to perceived academic support, academic motivation, and academic resilience scales were recorded as provided, with negatively worded academic resilience items (2, 17, 18, 19) reverse-scored. Amotivation subscale items were not reversed, aligning with study objectives. The database was reviewed for accuracy using frequency distributions, confirming all scores ranged from 1 to 5 with no missing values. Minimum and maximum scores aligned with expectations.
Statistical assumptions
Before to main data analysis, basic statistical assumptions univariate and multivariate outliers, normality, linearity, homoscedasticity, and multicollinearity were thoroughly assessed. Tukey's box plots showed no univariate outliers. Normality was confirmed with skewness (< 3) and kurtosis (< 10). Bivariate scatter plots indicated linear relationships. Mahalanobis distance values were below the critical threshold (20.515), indicating no multivariate outliers. Levene's test (p > 0.05) confirmed homoscedasticity. Tolerance and VIF statistics showed no multicollinearity issues. All assumptions were met, supporting the suitability of the data for analysis.
Data analysis
This study examined the mediating roles of academic motivation and academic resilience in the relationship between perceived academic support and academic achievement. Two analytical approaches were employed:
Pearson product-moment correlation
This assessed associations among predictor variables (perceived academic support, academic motivation, academic resilience) and their strength of relationship with academic achievement, providing an initial overview of variable overlap.
Structural equation modeling (SEM)
SEM, conducted via AMOS-23, tested direct and indirect effects of perceived academic support on academic achievement through academic motivation and resilience, addressing the study's mediation hypotheses.
Results
Correlational analysis
A Pearson product-moment correlation analysis was conducted on all independent, mediators, and dependent variables. The results of the correlation analysis between perceived academic support, academic motivation, academic resilience, and academic achievement are presented in Table 3.
Table 3
| Variables | 1 | 2 | 3 | 4 |
|---|---|---|---|---|
| 1. Perceived academic support | 1 | |||
| 2. Academic motivation | 0.324** | 1 | ||
| 3. Academic resilience | 0.343** | 0.552** | 1 | |
| 4. Academic achievement | 0.266** | 0.454** | 0.617** | 1 |
Inter-correlations between the variables of the study.
** p < 0.001.
The results of the Pearson product-moment correlation coefficient presented in Table 3 indicate that perceived academic support has a significant and positive correlation with academic motivation (r =0.324, p < 0.001), academic resilience (r = 0.343, p < 0.001), and academic achievement (r = 0.266, p < 0.001). In addition, academic motivation is also significantly and positively correlated with both academic resilience (r = 0.552, p < 0.001) and academic achievement (r = 0.454, p < 0.001). Furthermore, academic resilience shows a significant and positive relationship with academic achievement (r = 0.617, p < 0.001).
The serial mediating roles of academic motivation and academic resilience in the relationship between perceived academic support and academic achievement
To explore the direct and indirect effects of students' perceived academic support on their academic achievement, a path analysis was conducted. As shown in Figure 2, the analysis is sought to investigate how academic motivation and resilience mediate the relationship between perceived academic support and academic achievement. The mediating roles of academic motivation and resilience in this relationship are discussed below.
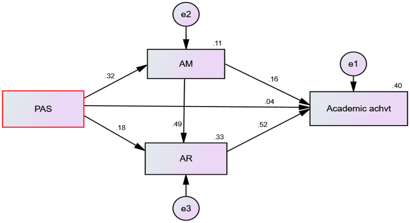
Figure 2

Path coefficients for predicting academic achievement from perceived academic support (PAS), academic motivation (AM), and academic resilience (AR) variables.
To estimate the predictive power of the model, it is essential to examine the coefficient of determination (R2) for the endogenous variable. A higher R2 value indicates greater explanatory power and improved predictions of endogenous constructs (Hair et al., 2019). For example, an R2 value of 0.75 indicates substantial predictive power, whereas values of 0.50 and 0.25 suggest moderate and weak predictive power, respectively.
As shown in Figure 2, the coefficient of determination (R2) for academic achievement is 0.40, meaning that the combination of the three latent variables such as perceived academic support, academic motivation, and academic resilience accounted for 40% of the variance in academic achievement. In addition, the coefficient of determination (R2) for academic resilience is 0.33, which means that the 33% of the variance in academic resilience is explained by both perceived academic support and academic motivation. Moreover, the coefficient of determination (R2) for academic motivation is 0.11, meaning that perceived academic support explains 11% of the variance in academic motivation.
The direct effects of perceived academic support on academic achievement
As we have seen in Table 4, perceived academic support has a direct effect on the variables of academic motivation and academic resilience, but not on academic achievement. Besides, the variables of academic motivation and academic resilience have a direct effect on academic achievement. Moreover, academic motivation has a direct effect on academic resilience.
Table 4
| Dependent variables | Path direction | Predictors | B estimate | β estimate | S.E | C.R | P |
|---|---|---|---|---|---|---|---|
| Academic motivation | < - | PAS | 0.507 | 0.324 | 0.066 | 7.680 | *** |
| Academic resilience | < - | PAS | 0.293 | 0.183 | 0.061 | 4.764 | *** |
| Academic resilience | < - | AM | 0.503 | 0.493 | 0.039 | 12.805 | *** |
| Academic achievement | < - | AM | 0.006 | 0.155 | 0.002 | 3.687 | *** |
| Academic achievement | < - | AR | 0.020 | 0.518 | 0.002 | 12.213 | *** |
| Academic achievement | < - | PAS | 0.002 | 0.038 | 0.002 | 1.027 | 0.304 |
The direct effect of perceived academic support on academic motivation, academic resilience, and academic achievement.
*** p < 0.001.
PAS, perceived academic support; AM, academic motivation; AR, academic resilience.
The standardized beta coefficients (β) in this path model illustrate the strength and direction of relationships between variables in standardized units. As shown in Table 4, the analysis of the standardized path coefficients revealed that perceived academic support has a statistically significant relationship with academic motivation (β = 0.32, p < 0.001) and academic resilience (β = 0.18, p < 0.001), these suggesting that for every 1 standard deviation increase in perceived academic support leads to increase of 0.32, and 0.18 standard deviations in academic motivation and academic resilience respectively.
In addition, academic motivation is significantly related to both academic resilience (β = 0.49, p < 0.001) and academic achievement (β = 0.16, p < 0.001), indicating a 1 standard deviation increase in academic motivation leads to increases of 0.49 and 0.16 standard deviations in academic resilience and academic achievement, respectively. Moreover, academic resilience significantly related to academic achievement (β = 0.52, p < 0.001), indicating a 1 standard deviation increase in academic resilience leads to increases of 0.52 standard deviations in academic achievement. However, the direct causal association of perceived academic support and academic achievement (β = 0.038, p = 0.304) was not found to be statistically significant at a 0.05 alpha level.
The indirect and total effects of perceived academic support on academic achievement
The study aimed to explore the indirect and total effects of perceived academic support (the causal variable) on academic achievement, with a focus on how academic motivation and academic resilience mediate this relationship. To achieve this, the researcher utilized user-defined estimated in AMOS-23 to assess both the indirect and total effects of perceived academic support on academic achievement.
As summarized in Table 5, the specific indirect effects of perceived academic support on academic achievement, mediated by academic motivation, academic resilience, and through academic motivation via academic resilience (serial mediation), were significant, with p-values of 0.002, 0.001, and 0.002, respectively. This indicates that perceived academic support significantly influences academic achievement through these three pathways. Furthermore, the overall indirect effect (also known as the total indirect effect) of perceived academic support on academic achievement through these three variables was significant at p=0.001. Additionally, the combined total effect (both direct and indirect) of perceived academic support on academic achievement was also significant, with a p-value of 0.002. The table below details the indirect and total effects of perceived academic support on academic achievement via academic motivation, academic resilience, and the interaction between academic motivation and academic resilience.
Table 5
| Parameters | Estimate | Lower bound | Upper bound | P | |
|---|---|---|---|---|---|
| Specific indirect effect of: | Mediators | ||||
| Perceived academic support | Via academic motivation | 0.003 | 0.001 | 0.006 | 0.002 |
| Perceived academic support | Via academic resilience | 0.006 | 0.003 | 0.009 | 0.001 |
| Perceived academic support | Via academic motivation through academic resilience | 0.005 | 0.004 | 0.007 | 0.002 |
| Total indirect effect of: | |||||
| Perceived academic support | Via academic motivation, via academic resilience, and academic motivation through academic resilience | 0.014 | 0.011 | 0.018 | 0.001 |
| Total effect of: | |||||
| Perceived academic support | (Direct effect + indirect effect) | 0.017 | 0.010 | 0.022 | 0.002 |
Indirect and total effects of perceived academic support on academic achievement via academic motivation, academic resilience, and academic motivation through academic resilience (user-defined results using AMOS).
The results presented in Table 5, indicate that all specific indirect effects, as well as the total indirect and total effects of perceived academic support on academic achievement, were statistically significant. This suggests that a better understanding of academic support enhances academic motivation, which in turn strengthens academic resilience, ultimately leading to improved academic achievement. Additionally, these findings highlight the critical role of perceived academic support in promoting both academic motivation and resilience, ultimately contributing to improved academic achievement.
However, the path analysis also revealed that the direct effects of perceived academic support on academic achievement were not significant, whereas, the indirect effect was significant, indicating that the relationship between perceived academic support and academic achievement is fully mediated by academic motivation and academic resilience.
Discussion and implications
The study investigated the mediating roles of academic motivation and academic resilience in the relationship between perceived academic support and academic achievement among first-year university students, assessing both direct and indirect effects.
Direct effect of perceived academic support on academic achievement
The analysis revealed that perceived academic support did not significantly predict academic achievement, consistent with prior studies (Tayfur and Ulupinar, 2016; Tinajero et al., 2020; Mackinnon, 2012; Nicpon et al., 2006). For instance, Mackinnon (2012) found total perceived support from family, peers, and academic sources insufficient to predict GPA, and Nicpon et al. (2006) noted negligible effects of social support on GPA. Plunkett et al. (2008) similarly reported that academic support from friends had minimal impact on academic success, with adolescents perceiving support from significant figures as less influential (Tinajero et al., 2020; Nicpon et al., 2006). This lack of direct effect may stem from sociocultural factors in Ethiopia, where collectivist norms prioritize communal over individual academic support, potentially diluting its direct impact on achievement (Hofstede, 2001). Additionally, students may rely more on intrinsic factors or informal support networks, such as extended family or community elders, not captured by standard measures (Yirdaw, 2016).
Conversely, some studies report positive correlations. Tinajero et al. (2020) found perceived support predictive of achievement, while De la Iglesia et al. (2014) noted higher social support, particularly among females, linked to better outcomes. Abdullah and Kong (2014) and Cheng et al. (2022) also identified positive relationships, especially with family support. These discrepancies may arise from methodological variations, differing support measures, or sample diversity.
Mediating roles of academic motivation and resilience
The model confirmed significant indirect effects of perceived academic support on academic achievement through academic motivation and resilience. Higher perceived support enhanced motivation, which bolstered resilience, leading to improved academic performance. This aligns with research showing perceived support positively influences motivation (Kiefer et al., 2015; Reyes et al., 2022) and resilience (Fang et al., 2020; Prabhu and Shekhar, 2017). Students with elevated motivation (Yarin et al., 2022; Awofala et al., 2020; Vallerand et al., 1992) and resilience (Karabiyik, 2020; Yang and Wang, 2022) achieve better outcomes. Fang et al. (2020) further demonstrated resilience's full mediating role between support and achievement, supported by praise from families, teachers, and peers enhancing coping mechanisms (Sanders et al., 2016).
Practical and policy implications
The findings of this study, which demonstrate that academic motivation and resilience fully mediate the relationship between perceived academic support and achievement among first-year university students, carry significant practical and policy implications for enhancing educational outcomes, particularly in the Ethiopian higher education context. The integration of Self-Determination Theory (SDT), Stress and Coping Theory, and Cassidy's resilience model underscores the pivotal role of motivation and resilience in transforming a non-significant direct effect of support into a significant indirect effect on achievement, offering actionable insights for institutional practices and policy development.
Practical implications
Universities can leverage these findings to implement structured interventions aimed at fostering academic motivation and resilience. Programs such as mentorship initiatives and goal-setting workshops, grounded in SDT's principles of autonomy, competence, and relatedness (Ryan and Deci, 2000), can enhance students' intrinsic motivation, thereby improving engagement and academic performance. Similarly, resilience-building interventions, such as peer support groups and stress management training, aligned with Stress and Coping Theory and Cassidy's resilience model, can equip students with adaptive coping strategies to navigate academic stressors, reducing attrition rates (Tamrat, 2021). Embedding these programs into first-year orientation and ongoing academic advising is critical to support the challenging transition to university, particularly in Ethiopia, where high dropout rates remain a pressing issue (Kelemu and Sabanci, 2018). These interventions should be tailored to the resource-constrained settings of institutions like Ethiopian Universities, utilizing cost-effective approaches such as peer-led initiatives to maximize impact.
Policy implications
At the institutional and national levels, policymakers should prioritize resource allocation for motivation and resilience-building programs within higher education frameworks. Integrating these evidence-based interventions into university policies, such as mandatory orientation programs or academic support services, can institutionalize support systems that address Ethiopia's educational challenges, including low retention and achievement rates. Furthermore, national education policies should encourage collaboration between universities and governmental bodies to scale these interventions across diverse Ethiopian institutions, ensuring equitable access to support. The study's findings also advocate for a broader policy shift toward student-centered learning environments, aligning with global educational psychology literature that emphasizes motivation and resilience as universal drivers of academic success.
By addressing both context-specific challenges in Ethiopia and contributing to global educational strategies, these practical and policy recommendations enhance the study's impact, offering a roadmap for universities and policymakers to foster student success through targeted, evidence-based interventions.
Conclusions
In summary, this study highlights that correlation analysis revealed significant positive correlations among perceived academic support, academic motivation, academic resilience, and academic achievement. Moreover, the structural equation modeling (SEM) analysis found that while the direct effects of perceived academic support on academic achievement were not statistically significant, the indirect effects, mediated by academic motivation and academic resilience, were significant. This suggests that the relationship between perceived academic support and academic achievement is fully mediated by academic motivation and academic resilience. The results indicate that academic motivation and academic resilience are promising areas for intervention to enhance students' academic achievement.
Limitations of the study and suggestions for future research
This study examined the mediating roles of academic motivation and resilience between perceived academic support and achievement among first-year university students. Key limitations include its cross-sectional design, which limits causal inference; a sample restricted to Injibara University with limited demographic diversity, reducing generalizability; reliance on self-report measures that may introduce bias; and the focus solely on university students. Future research should adopt longitudinal designs, include diverse samples from multiple institutions, utilize mixed-methods approaches for measurement, and explore these relationships across different educational levels to enhance validity and applicability.
Statements
Data availability statement
The raw data supporting the conclusions of this article will be made available by the authors, without undue reservation.
Ethics statement
The studies involving humans were approved by the Bahir Dar University's Research Ethics Committee. The studies were conducted in accordance with the local legislation and institutional requirements. Written informed consent for participation was not required from the participants or the participants' legal guardians/next of kin because in accordance with the local legislation. The study was deemed low-risk by the Research Ethics Committee at Bahir Dar University (Protocol No. 000723). It involved anonymous questionnaires collecting no sensitive personal data, posing minimal risk to participants. Verbal informed consent was used instead, which was obtained from all participants after they were informed about the study's purpose, objectives, and their rights to participate, decline, or withdraw. The committee approved this approach, considering it appropriate given the cultural context and logistical feasibility in an Ethiopian university setting. This ensured ethical compliance while maintaining participant autonomy and confidentiality.
Author contributions
BM: Data curation, Methodology, Validation, Formal analysis, Conceptualization, Project administration, Software, Writing – original draft, Writing – review & editing, Resources, Funding acquisition, Investigation, Visualization. RN: Conceptualization, Visualization, Writing – review & editing, Validation, Supervision. TT: Writing – review & editing, Conceptualization, Validation, Visualization, Supervision.
Funding
The author(s) declare that no financial support was received for the research and/or publication of this article.
Acknowledgments
The authors would like to extend their heartfelt gratitude and appreciation to this study's participants.
Conflict of interest
The authors declare that the research was conducted in the absence of any commercial or financial relationships that could be construed as a potential conflict of interest.
Generative AI statement
The author(s) declare that Gen AI was used in the creation of this manuscript. AI was used to improve language clarity and resolve issues.
Publisher’s note
All claims expressed in this article are solely those of the authors and do not necessarily represent those of their affiliated organizations, or those of the publisher, the editors and the reviewers. Any product that may be evaluated in this article, or claim that may be made by its manufacturer, is not guaranteed or endorsed by the publisher.
References
1
Abdullah K. Kong A. (2014). The relationship between social support and academic achievement: a study of Malaysian undergraduate students. Int. J. Busin. Soc.15, 224–238.
2
Alemu K. Dechasa M. Mohamed S. Beyene E. (2022). The economic factors that determine students' academic performance in Ethiopian higher education: Dambi Dollo University in focus. J. Posit. School Psychol.7117–32.
3
Amare T. (2014). Effects of self-efficacy and motivational orientations on academic achievement of freshman science students. Sci. Technol. Arts Res. J.3, 176–184. 10.4314/star.v3i3.29
4
Awang M. M. Kutty F. M. Ahmad A. R. (2014). Perceived social support and well-being: First-year student experience in university. Int. Educ. Stud.7, 261–270. 10.5539/ies.v7n13p261
5
Awofala A. O. Lawani A. O. Adeyemi O. A. (2020). Motivation to learning mathematics and gender as correlates of senior secondary school students' performance in mathematics. J. Educ. Sci.4, 318–33. 10.31258/jes.4.2.p.318-333
6
Byrne B. M. (2016). Structural Equation Modeling with AMOS: Basic Concepts, Applications, and Programming, 2nd ed. London: Routledge.
7
Cassidy S. (2016). The Academic Resilience Scale (ARS-30): A new multidimensional construct measure. Front. Psychol.7:1787. 10.3389/fpsyg.2016.01787
8
Chemers M. M. Hu L. Garcia B. F. (2001). Academic self-efficacy and first-year college student performance and adjustment. J. Educ. Psychol.93, 55–64. 10.1037/0022-0663.93.1.55
9
Cheng C. Y. Liu C. A. Wang M. F. (2022). The impact of family support and social support on academic achievement: A study of school students in Taiwan. J. Educ. Res. Pract.12, 11–24.
10
Cohen S. Wills T. A. (1985). Stress, social support, and the buffering hypothesis. Psychol. Bull.98, 310–357. 10.1037/0033-2909.98.2.310
11
Collier J. (2020). Applied Structural Equation Modeling Using AMOS: Basic to Advanced Techniques. London: Routledge.
12
Creswell J. W. (2014). Educational Research: Planning, Conducting, and Evaluating Quantitative and Qualitative Research, 4th ed. London: Pearson.
13
Cui T. Wang C. Xu J. (2023). Validation of academic resilience scales adapted in a collective culture. Front. Psychol.14:1114285. 10.3389/fpsyg.2023.1114285
14
De la Iglesia G. Stover J. B. Fernández Liporace M. (2014). Perceived social support and academic achievement in Argentinean college students. Europe's J. Psychol.10:777. 10.5964/ejop.v10i4.777
15
Debele M. (2020). Academic motivation, attitude and achievement in science education in Southern Oromia, Ethiopia. East Afric. J. Soc. Sci. Humanit.1, 221–229.
16
Deci E. L. Ryan R. M. (1985). “Conceptualizations of intrinsic motivation and self-determination,” in Intrinsic Motivation and Self-Determination in Human Behavior (Boston, MA: Springer US), 11–40.
17
Elnaem M. H. Salam W. N. A. A.W. Thabit A. K. Mubarak N. Abou Khatwa M. M. Ramatillah D. L. et al . (2024). Assessment of academic resilience and its associated factors among pharmacy students in twelve countries. Am. J. Pharm. Educ.88:100693. 10.1016/j.ajpe.2024.100693
18
Fang G. Chan P. W. K. Kalogeropoulos P. (2020). Social support and academic achievement of Chinese low-income children: a mediation effect of academic resilience. Int. J. Psychol. Res.13, 19–28. 10.21500/20112084.4480
19
Fornell C. Larcker D. F. (1981). Evaluating structural equation models with unobservable variables and measurement error. J. Market. Res.18, 39–50. 10.1177/002224378101800104
20
Gutiérrez J. Solla M. Castaño L. Martínez A. Fernández de Larrino J. (2018). Scale to measure perceived academic support in high school students: validation and factor structure. J. Psychoeduc. Assess.35, 147–158.
21
Hair J. F. Black W. C. Babin B. J. Anderson R. E. Tatham R. L. (2019). Multivariate Data Analysis (8th ed.). Cengage Learning.
22
Hofstede G. (2001). Culture's Consequences: Comparing Values, Behaviors, Institutions, and Organizations Across Nations (2nd ed.). Thousand Oaks, CA: Sage Publications.
23
Hooper D. Coughlan J. Mullen M. R. (2008). Structural equation modeling: Guidelines for determining model fit. Elect. J. Busin. Res. Methods 6, 53−60.
24
Hu L. Bentler P. M. (1999). Cutoff criteria for fit indexes in covariance structure analysis: Conventional criteria versus new alternatives. Struct. Equ. Model.6, 1–55. 10.1080/10705519909540118
25
Karabiyik C. (2020). Interaction between academic resilience and academic achievement of teacher trainees. Int. Online J. Educ. Teach. 7, 1585–601. Available online at: http://iojet.org/index.php/IOJET/article/view/1032
26
Kelemu Z. B. Sabanci A. (2018). Factors influencing university students' academic achievement and strategies taken to improve their achievement: Ethiopia as a sample. Inönü Üniversitesi Egitim Fakültesi Dergisi21, 1165–80. 10.17679/inuefd.559972
27
Kiefer S. M. Alley K. M. Ellerbrock C. R. (2015). Teacher and peer support for young adolescents' motivation, engagement, and school belonging. RMLE Online38, 1–18. 10.1080/19404476.2015.11641184
28
Kline R. B. (2011). Principles and Practice of Structural Equation Modeling, 3rd ed. New York, NY: Guilford Press.
29
Kothari C. R. (2004). Research Methodology: Methods and Techniques. Delhi: New Age International.
30
Lakey B. Cohen S. (2000). “Social support and theory,” in Social Support Measurement and Intervention: A Guide for Health and Social Scientists. Oxford: Oxford University Press, 29–49. 10.1093/med:psych/9780195126709.003.0002
31
Mackinnon S. P. (2012). Perceived social support and academic achievement: Cross-lagged panel and bivariate growth curve analyses. J. Youth Adolesc.41, 474–485. 10.1007/s10964-011-9691-1
32
Mekonnen M. (2018). Adjustment of first-year students, perceived social support, and generational status in Wolkite University [Unpublished master's thesis]. College of Education and Behavioral Studies, Addis Ababa University.
33
Mekonnen M. (2021). Adjustment of first-year students, perceived social support, and generational status in Wolkite University (Master's thesis). Addis Ababa: Addis Ababa University.
34
Nicpon M. F. Huser L. Blanks E. H. Sollenberger S. Befort C. Kurpius S. E. R. (2006). The relationship of loneliness and social support with college freshmen's academic performance and persistence. J. College Stud. Retent.8, 345–358. 10.2190/A465-356M-7652-783R
35
Niguse T. Element M. Sarma S. (2019). Perceived social support and academic achievement among undergraduate students: the case of Mekelle University, Ethiopia. J. Soc. Sci.11, 202–210.
36
Nunnally J. C. (1978). Psychometric Theory, 2nd ed. New York, NY: McGraw-Hill.
37
Orsini C. A. (2016). The Self-Determination Theory of Motivation in Dental Education: Testing a Model of Social Factors, Psychological Mediators, Academic Motivation, and Outcomes (Doctoral dissertation). University of Glasgow, Glasgow, Scotland.
38
Plunkett S. W. Henry C. S. Houltberg B. J. Sands T. Abarca-Mortensen S. (2008). Academic support by significant others and educational resilience in Mexican-origin ninth-grade students from intact families. J. Early Adolesc.28, 333–355. 10.1177/0272431608314660
39
Prabhu S. G. Shekhar R. (2017). Resilience and perceived social support among school-going adolescents in Mangaluru. Indian J. Soc. Psychiatry33, 359–364. 10.4103/ijsp.ijsp_108_16
40
Reyes B. Martínez-Gregorio S. Galiana L. Tomás J. M. De los Santos S. (2022). Validation of perceived academic support questionnaire (PASQ): a study using a sample of Dominican Republic high-school students. J. Child Fam. Stud.31, 3425–3434. 10.1007/s10826-022-02473-0
41
Robotham D. (2008). Stress among higher education students: towards a research agenda. Higher Educ.56, 735–746. 10.1007/s10734-008-9137-1
42
Ryan R. M. Deci E. L. (2000). Self-determination theory and the facilitation of intrinsic motivation, social development, and well-being. Am. Psychol.55, 68–78. 10.1037/0003-066X.55.1.68
43
Sanders J. Munford R. Liebenberg L. (2016). The role of teachers in building resilience of at-risk youth. Int. J. Educ. Res.80, 111–123. 10.1016/j.ijer.2016.10.002
44
Sim K. Kim D. Suh K. (2021). Sample size requirements for simple and complex mediation models. Educ. Psychol. Meas.82, 76–106. 10.1177/00131644211003261
45
Tamrat W. (2021). the indelible challenges of student retention in higher education: imperatives for a closer scrutiny. Higher Educ. Quart.74, 123–135. 10.21203/rs.3.rs-162412/v1
46
Tayfur C. Ulupinar S. (2016). The effect of perceived social support on the academic achievement of health college students. J. Psychiatr. Nurs.7, 1–6.
47
Tinajero C. Martínez-López Z. Rodríguez M. S. Páramo M. F. (2020). Perceived social support as a predictor of academic success in Spanish university students. Anales de Psicología36, 134–142. 10.6018/analesps.344141
48
Tinto V. (1993). Leaving College: Rethinking the Causes and Cures of Student Attrition. Chicago, IL: University of Chicago Press.
49
Vallerand R. J. Pelletier L. G. Blais M. R. Brière N. M. Senecal C. Vallières É. F. (1992). The academic motivation scale: a measure of intrinsic, extrinsic, and amotivation in education. Educ. Psychol. Meas.52, 1003–1017. 10.1177/0013164492052004025
50
Yang S. Wang W. (2022). The role of academic resilience, motivational intensity, and their relationship in EFL learners' academic achievement. Front. Psychol. 12:823537. 10.3389/fpsyg.2021.823537
51
Yarin A. J. Encalada I. A. Elias J. W. Surichaqui A. A. Sulca R. E. Pozo F. (2022). Relationship between motivation and academic performance in Peruvian undergraduate students in the subject mathematics. Educ. Res. Int.2022:3667076. 10.1155/2022/3667076
52
Yirdaw A. (2016). The role of community-based informal support in the academic success of Ethiopian university students. Ethiopian J. Educ.36, 45–67.
Summary
Keywords
academic achievement, academic motivation, academic resilience, perceived academic support, serial mediation model
Citation
Melaku BK, Negasi RD and Tolla TT (2025) Perceived academic support and academic achievement among Ethiopian first-year university students: the serial mediating roles of academic motivation and resilience. Front. Psychol. 16:1605550. doi: 10.3389/fpsyg.2025.1605550
Received
03 April 2025
Accepted
23 June 2025
Published
22 July 2025
Volume
16 - 2025
Edited by
Gudberg K. Jonsson, University of Iceland, Iceland
Reviewed by
Zainul Anwar, Universitas Muhammadiyah Malang, Indonesia
Zahida Aziz Sial, Bahauddin Zakariya University, Pakistan
Tahira Riaz, National University of Medical Sciences (NUMS), Pakistan
Anwar Julio Yarin Achachagua, Universidad Nacional Mayor de San Marcos, Peru
Eka Erawati, State University of Malang, Indonesia
Updates
Copyright
© 2025 Melaku, Negasi and Tolla.
This is an open-access article distributed under the terms of the Creative Commons Attribution License (CC BY). The use, distribution or reproduction in other forums is permitted, provided the original author(s) and the copyright owner(s) are credited and that the original publication in this journal is cited, in accordance with accepted academic practice. No use, distribution or reproduction is permitted which does not comply with these terms.
*Correspondence: Biniyam Kerebeh Melaku bnbt10@gmail.com
Disclaimer
All claims expressed in this article are solely those of the authors and do not necessarily represent those of their affiliated organizations, or those of the publisher, the editors and the reviewers. Any product that may be evaluated in this article or claim that may be made by its manufacturer is not guaranteed or endorsed by the publisher.