Your new experience awaits. Try the new design now and help us make it even better

BRIEF RESEARCH REPORT article

Front. Psychol., 03 October 2025

Sec. Psychology for Clinical Settings

Volume 16 - 2025 | https://doi.org/10.3389/fpsyg.2025.1637760

This article is part of the Research TopicThe Interaction between Self and Other in the Clinical Setting: The Role of Inter-SubjectivityView all 11 articles

Psychotherapists’ self-protective attachment strategies

  • 1Department of Psychology and Cognitive Sciences, University of Trento, Rovereto, Italy
  • 2Family Relations Institute, Black Mountain, NC, United States
  • 3Family Relations Institute, Reggio Emilia, Italy
  • 4Scuola Bolognese di Psicoterapia Cognitiva, Center for Cognitive Therapy, Forlì, Italy

Attachment describes how people use relationships to cope with exposure to danger. That function is central to psychotherapy. This study used the Adult Attachment Interview (DMM-AAI) to compare psychotherapists’ attachment strategies to those of patients in psychotherapy and adults drawn from the normative non-patient population. The central variables were attachment strategies (treated as dismissing of relationships Type A1-8, secure/balanced in relationships B1-5, and preoccupied with relationships Type C1-8, plus A/C combinations), psychological trauma and unresolved loss, extremes of arousal, and reorganization toward psychological balance and integration (i.e., conscious change toward B strategies). Differences based on professional training (psychodynamic, cognitive, and family systems) were explored for psychotherapists. The results indicated that non-patients demonstrated the lowest risk attachment strategies (i.e., A1-2, B1-5, and C1-2), whereas patients exhibited the highest risk and most extreme attachment strategies (i.e., A5-8, C5-8, and A5-8/C5-8), and the most psychological trauma, unresolved loss, and extreme arousal. Psychotherapists were not a homogeneous group: approximately 40% showed extreme attachment strategies, whereas the remainder demonstrated low-risk strategies. A higher proportion of psychotherapists (24.6%) showed reorganization toward B strategies than patients (6.8%); this replicates earlier work on British psychotherapy students and patients. Trauma and loss were significantly more frequent in both patients and psychotherapists than in non-patients. No differences were identified based on psychotherapists’ theory training. These findings suggest that more than half of Italian psychotherapists have the potential to establish intersubjectivity with their patients whereas almost half might face problems reaching beyond their personal perspective. Suggestions for improving training and supervision of psychotherapists are offered.

1 Introduction

Improving the effectiveness of psychotherapy, currently estimated at 40-50%s (Nemeroff, 2020; Cuijpers et al., 2021; Cuijpers et al., 2024; Zilcha-Mano, 2025), is crucial and might require a better understanding of psychotherapists’ contribution to the therapist-patient relationship. Strikingly, psychotherapist-related characteristics and common factors, such as therapeutic alliance, account for almost half of the variance in psychotherapy outcomes. In contrast, treatment technique, psychotherapists’ theory training and demographics contribute only minimally (Baldwin and Imel, 2013; Hill and Castonguay, 2017; Laska et al., 2014; Wampold and Imel, 2015); the relation of psychotherapists’ attachment to treatment outcomes has not been tested. Despite their relevance in shaping intersubjective processes in clinical settings, strategies for responding to danger have received relatively little attention among psychotherapist-related variables.

There is growing evidence that exposure to danger underlies patients’ psychological dysfunction (Felitti et al., 1998; Kessler et al., 1997; Zarei et al., 2021). The concept of psychotherapists as the ‘wounded profession’ (Jung, 1993) suggests that psychotherapists might be similar to patients in exposure to danger, with some evidence supporting this.

Psychotherapists frequently report exposure to negative family environments (Fussell and Bonney, 1990), including a higher prevalence of adverse childhood experiences (Essletzbichler et al., 2024) and psychological trauma (McBeath, 2019) than the general adult population. A particular concern is psychotherapists’ frequent history of child-adult role reversals (Cruciani et al., 2024) which might affect their role with patients.

We used attachment to address psychotherapists’ protective attachment strategies for coping with danger. Attachment is a multi-faceted variable that addresses response to danger as well as individual differences in current functioning that might affect psychotherapists’ work with patients (Crittenden et al., 2021a,b). Crucially, attachment is an interpersonal construct that is relevant to psychotherapists’ functioning with their patients. For everyone, protective attachment strategies can be used to protect the self or an attached person. In psychotherapy, therapists should function as transitional attachment figures, using their strategies to protect their patients until the patients are able to function adaptively and independently. This study compares the protective attachment strategies of psychotherapists, patients, and the normative population, exploring the similarities and differences among these three groups.

1.1 Individual differences in attachment

Understanding individual differences in attachment has changed greatly since Bowlby introduced the ideas of anxiety regarding uncertain danger, often leading to preoccupation with danger (Bowlby, 1979) and inhibition from loss, often leading to dismissing of danger and, sometimes, depression (Bowlby, 1980). Ainsworth’s work with infants (Ainsworth et al., 1978) led to three primary categories of individual differences in attachment: avoidant/dismissing (A), secure (B), ambivalent/preoccupied (C)1. Main and Solomon (1986) added a category called ‘disorganization’ (D), for excessive fear resulting from unresolved trauma or loss. In Main’s system, preoccupied (C) and dismissing (A) were risk categories and disorganization (D) was high risk. However, empirically disorganization greatly overlapped with preoccupied and was confused with B (Crittenden et al., 2021a,b). Eventually D was set aside as insufficiently valid by those who had published research using the category (Granqvist et al., 2017).

Concurrently, Crittenden defined a series of subtypes of A, B, and C, leading to a set of five subtypes of secure (B1-5), eight subtypes of dismissing (A1-8), and eight subtypes of preoccupied (C1-8), plus the combination of dismissing-and-preoccupied (Crittenden, 2016); this model was called the Dynamic-Maturational Model of Attachment and Adaptation (DMM). The ABC strategies represent a gradient between reliance on cognitive/logical information and affective arousal to organize behavior. The B strategies balance the use of cognitive logical information or affective arousal, with B3 being perfectly balanced, B1-2 leaning toward A and B4-5 leaning toward C. The A strategies emphasize cognition at the expense of feelings whereas the C strategies emphasize feelings at the expense of logic. The higher the number of the A or C strategy the greater the imbalance of cognition and affect. The DMM considers the attachment categories to be strategies for identifying and protecting the self from danger. In the DMM classificatory system, A1-2, B, and C1-2 are low risk categories, A3-6, C3-6, and A3-6/C3-6 are risk categories and A7-8, C7-8, and A7-8/C7-8 are high risk categories.

1.2 Assessment of adult attachment

The notion that individual differences in information processing underpinned differences in behavior (Bowlby, 1980) became the basis for the Adult Attachment Interview (AAI, George et al., 1985). The interpersonal quality of the AAI is particularly important for studying the therapeutic relationship because the AAI (a) asks about past protective relationships, (b) uses an interpersonal process with an interviewer to elicit the speaker’s enacted protective strategy, and (c) has the potential to suggest the strateg(ies) the speaker might use in other attachment relationships, such as therapeutic relationships. The AAI is a semi-structured interview that queries respondents about their childhood experiences; the questions probe particular aspects of information processing, e.g., semantic generalizations, episodes. The AAI has become the most widely and valid used instrument for assessing attachment in adulthood (Leak and Parsons, 2001).

There are two primary methods for analyzing the AAI: the Berkeley method (Main et al., 1984-2003) and the DMM adaptation of the Berkeley method (Crittenden and Landini, 2011). Both methods rely on discourse analysis to assign individuals to an attachment classification, but differ in the number of outcome classifications and use of rating scales. The Berkeley method has four outcome categories: dismissing (A), secure (B), preoccupied (C), and cannot classify (encompassing disorganization, unresolved trauma and loss, and dismissing/preoccupied combinations). For the Berkeley method, the discourse is coded, then rated on several scales in three memory systems (semantic, episodic, and integrative; Tulving, 1979) that yield a classification. The DMM method has added discourse markers to the Berkeley method and clustered these into six memory systems (procedural, imaged, and connotative being added; Tulving and Schacter, 1990). These yield a protective strategy; rating scales are not used. In addition, the DMM classifications can include interrupters, i.e., indicators of unresolved loss and psychological trauma; these were denoted when the past danger interrupted current strategic behavior. In some cases, the strategy as a whole is modified adversely by pervasive extremes of arousal: ‘depression’ for low arousal and ‘disorientation’ for high arousal. In addition, a strategy can be modified favorably by ‘reorganization’ toward B, that is, the speaker is aware of using a distorted strategy and of consciously changing it. A DMM classification, thus, has three parts: (a) a protective strategy – in all cases, (b) interrupters – or not, and (c) a modifier – or not. Interrupters and modifiers raise the risk associated with the strategy. Notably, every refinement of the 3-category method has reduced the proportion of B classifications, suggesting that ‘false Bs’ were more frequent in earlier classificatory methods.

1.3 Psychotherapists’ attachment organization

Only a few studies have formally assessed psychotherapists’ attachment with mixed outcomes regarding their classifications.

Using the Berkeley 3-category classificatory method (reduced to a secure/anxious dichotomy), a German study of 22 psychotherapists classified 64% as secure (Petrowski et al., 2013). Among the anxious group, patients’ attachment to their psychotherapists was found to reflect the psychotherapists’ own avoidance or preoccupation (Petrowski et al., 2013). Similarly, an Italian study of 50 psychodynamic psychotherapists classified 64% as “secure/autonomous,” 24% “dismissing” and 12% “preoccupied” (Talia et al., 2020). Among 31 German psychotherapists assessed using the 4-category Berkeley method, 61.3% were classified as secure, with 22.6% unresolved/disorganized (Schauenburg et al., 2010).

A Brief Report of 11 British psychotherapists-in-training and 15 patients collapsed the DMM subclassifications into three ABC categories (Hughes et al., 2000). The classifications of the primary coder (PMC) showed 36% B, 55% reorganizing from A to B, and 9% A/C for psychotherapists; the patients were distributed as 0% B, 13% reorganizing to B, 40% C, and 47% A/C (Crittenden, 1988). The patients were at all stages of therapy from beginning to closing. Notably, there was no correspondence between AAI classifications and classifications of transcribed therapy sessions (patients) or therapeutic interviews (psychotherapists), probably because the therapy questions primarily probed semantic memory without episodic comparisons (Crittenden, 1988). These data suggest that, although many psychotherapists and patients were reorganizing, more psychotherapists were in the process.

Moreover, based on AAI dimensional ratings derived from the Attachment Q-set (Kobak, 1989), an American study of 18 psychotherapists and their 27 clients found higher security in psychotherapists as compared to clients (Dozier et al., 1994). Another American study showed that complementary dismissing versus preoccupied psychotherapist/patient combinations had better outcomes (Tyrrell et al., 1999).

In spite of methodological heterogeneity and weaknesses, it appears that psychotherapists often had insecure attachment and that this might negatively influence psychotherapy (Degnan et al., 2016; Dinger et al., 2009).

1.4 Aims and hypotheses

The purpose of this study is to examine psychotherapists’ protective attachment strategies by comparing them with those of patients in psychotherapy and the normative non-patient adult population. We chose to use the DMM classificatory method because of its greater differentiation of individual differences and greater empirical validity, especially in clinical cases (Crittenden et al., 2021a,b).

1.4.1 Hypothesis 1: attachment strategy

Our main hypothesis was that psychotherapists, patients, and non-patients would differ in protective attachment strategies. We expected (H1a) to find a higher proportion of B strategies in the non-patient group and more frequent A/C strategies in the patient group. This analysis was intended to permit a rough comparison with 4-category results reported by others.Clustering the DMM strategies by risk (H1b), we expected the non-patient sample to show the lowest risk and the patient sample the highest (‘high-risk’). Based on clinical experience and the notion of psychotherapy as a ‘wounded profession’, we expected psychotherapists to show a bi-modal distribution, with both well-integrated (Type B) and distressed (high-numbered Types A and C) strategies.

Finally, we computed a quasi-continuous attachment risk variable (H1c) to confirm H1b. We expected a reduction in security from non-patients to psychotherapists, to patients. Significant differences were not expected between psychotherapists and non-patients.

1.4.2 Hypothesis 2: psychological trauma, unresolved loss, and modifiers

We expected that patients would have the highest rates of psychological trauma (H2a) and unresolved loss (H2b), and the non-patients the lowest. Patients would also show more frequent markers of extreme arousal (H2c) compared to the other groups.

1.4.3 Hypothesis 3: reorganization

We expected a higher proportion of psychotherapists to be reorganizing than either patients or non-patients.

1.4.4 Hypothesis 4: psychotherapists’ theoretical orientation

We did not expect psychotherapists’ theoretical backgrounds to be related to their attachment strategies, psychological trauma and extremes of arousal.

2 Method

We used a multi-group cross-sectional design comparing the DMM-AAI classifications of Italian psychotherapists, patients in psychotherapy and non-patients.

2.1 Participants

Participant data were obtained from the archives of the Family Relations Institute (FRI; Reggio Emilia, Italy). Patients (n = 133; 56% female) had clinically significant psychological distress or a formal psychiatric diagnosis (e.g., psychosis, personality disorders, mood or anxiety disorders, or sexual dysfunctions). The psychotherapists (n = 61; 60% female) had psychoanalytic (n = 20), cognitive-behavioral (N = 19), and family systems (n = 22) training. Normative, non-patient participants (n = 128; 66% female) did not report clinically significant psychological distress or any psychiatric diagnosis. There were no differences in age, but there were missing age data on 58.3% of the sample.

2.2 Procedure

Each participant was contacted twice, once to obtain consent and once for the AAI to be administered. The consent signed by the participant was retained by the interviewer who then passed to the research their statement that the participant had given permission for their AAI to be added to the FRI archive. Each statement included basic demographics.

The AAIs of patients and non-patients were delivered by 132 professionals taking the AAI course to meet the course requirement of learning to administer an Adult Attachment Interview. The AAIs of psychotherapists were gathered specifically for this study with informed consent from each psychotherapist. These AAIs of psychotherapists were delivered by 8 interviewers. Their AAIs were added to the FRI archive.

The recordings were transcribed verbatim with the transcriptions being classified by blinded and reliable Italian-speaking coders. The classifications included the speaker’s strategy (A1-8, B1-5, or C1-8, plus A/Cs), any psychological traumas or unresolved losses (12 defined types), or any modifiers (excessively high or low arousal and, separately, reorganization).

The study was conducted in accordance with the standards of the Helsinki Declaration.

2.3 Data analysis

The 22 DMM strategies were clustered into four main categories (A, B, C, and A/C) and level of risk (low, moderate, and high). In addition, following prior work in the field (Spieker et al., 2021; Giannotti et al., 2022), a quasi-continuous risk variable was calculated from (1) pattern of attachment (i.e., B3 = 1; B1-2 & B4-5 = 2; A1-2 & C1-2 = 3, A3-4 & C3-4 = 4, and so forth), and (2) the presence of psychological trauma or loss and/or extremes of arousal which increased the risk.

To test hypotheses H1a and H1b, we performed two chi-squared tests to examine potential group differences between psychotherapists, adult patients and normative adults on self-protective strategy both in terms of main classification (H1a) and severity of risk (H1b). We used the residuals method as post hoc analyses in order to detect significant cells (Sharpe, 2015). The adjusted standardized residuals were used to determine which cells might be of interest, based on a conservative alpha value of 0.01 (z value +/− 2.58). To test H1c, regarding the quasi-continuous attachment risk variable, a non-parametric Kruskal–Wallis test was performed. Dunn tests were used for pairwise comparisons and ad hoc results were corrected for multiple comparisons using Bonferroni adjustment.

A series of chi-squared tests were conducted to test group differences related to psychological traumas (H2a), unresolved losses (H2b) and arousal (H2c) and reorganization (H3).

Finally, to explore differences within the group of psychotherapists (H4), we replicated the analyses for each of the dependent variables on strategy, trauma and arousal comparing psychotherapists with different training.

To address missing data on participants’ age, we replicated the analyses using listwise deletion, thereby including only participants with complete data. The pattern of results remained consistent, supporting the validity of the main findings. Data were analyzed using Statistical Package for the Social Sciences; SPSS 25 (IBM Corp., 2017).

3 Results

The distributions of DMM-AAI attachment strategies among the participant group are shown in Figure 1. Notably, the psychotherapists’ distribution reflected both the low risk of the non-patient distribution and the extreme risk of the patient distribution.

Figure 1
Line graph comparing attachment strategies among patients, therapists, and non-patients. The y-axis represents percentages from zero to thirty, and the x-axis lists strategies A7-8 to A5-8/C5-8. Patients show a dashed line, therapists a dotted line, and non-patients a solid line with varying patterns of fluctuations.

Figure 1. Distribution of DMM attachment strategies among the participant group (N = 321). DMM, dynamic maturational model of attachment and adaptation.

Hypothesis 1a (group differences in A, B, C, A/C) was supported [x(6) = 56.419, p < 0.001, Cramer’s V = 0.29] indicating a medium effect (see Figure 2). Non-patients used significantly more B strategies than patients (29.9%, z = 5.4, p < 0.01), whereas psychotherapists showed a similar trend that did not reach statistical significance (23.3%, z = 1.6, p > 0.05).

Figure 2
Bar chart comparing AAI attachment strategy categories among patients, therapists, and non-patients. Categories A, B, C, and A/C are shown, with varying percentages and error bars. Notably, categories B and A/C include asterisks indicating statistical significance.

Figure 2. Distribution of A, B, C, and A/C categories across participant group (N = 321). AAI, adult attachment interview. ***p < 0.001; 95%, confidence intervals.

Patients showed significantly higher rates of A/C strategies (37.6%, z = 4.5, p < 0.01) than non-patients (11.8%, z = 4.3, p < 0.01), but not than psychotherapists (23%, z = −0.3, p > 0.05). There were no differences regarding A and C (see Figure 2). Notably, as shown in Figure 1, 14.8% of psychotherapists used an A3–4 attachment strategy, reflecting, respectively, compulsive caregiving or compliance.

Hypothesis 1b, regarding group differences in risk category, was supported [x2(4) = 94.00, p < 0.001; Cramer’s V = 0.38] indicating a medium effect. Patients showed high-risk (z = 8.7, p > 0.01) and fewer low-risk strategies (z = −8.0, p > 0.01) than non-patients; patients did not differ from psychotherapists. Only one patient used a low-risk strategy, whereas the majority (80.5%) showed a high-risk strategy. The hypothesis of a bi-modal distribution is only partially supported since psychotherapists mainly showed high-risk (41.0%) and moderate-risk and low risk attachment strategies in the same percentage (29.5% each). Non-patients showed the highest rate of low-risk strategies (43.3%, z = 7.0, p > 0.01) differing significantly from patients, but not from psychotherapists. There were no significant differences in moderate risk attachment strategies (see Figure 3).

Figure 3
Bar graph showing AAI categorical risk levels for patients, therapists, and non-patients. High-risk is highest for patients at nearly eighty percent. Moderate-risk has similar levels across groups. Low-risk is lowest for patients but higher for non-patients and therapists. Error bars indicate variability. Significant differences are marked with asterisks.

Figure 3. Distribution of attachment strategies by risk category and participant group (N = 321). AAI, adult attachment interview. ***p < 0.001; 95%, confidence intervals.

Hypothesis 1c, concerning quasi-linear risk dimension from non-patients through psychotherapists to patients was supported {Kruskal–Wallis test: [H(2): 56.49, p < 0.001, 𝜂2 = 0.171]} representing a large effect. The composite quasi-continuous risk variable showed higher values in patients (M = 6.45, SD = 1.91; range = 3–10) compared to therapists (M = 4.79, SD = 2.33; range = 1–10) and non-patients (M = 3.93, SD = 1.97; range = 1–9). Pairwise comparisons showed that the non-patients (p < 0.001) and psychotherapists (p < 0.001) had lower attachment risk scores than the patients. Differences were also found between psychotherapists and non-patients (p = 0.033), although this result did not remain statistically significant after post-hoc corrections (p = 0.088).

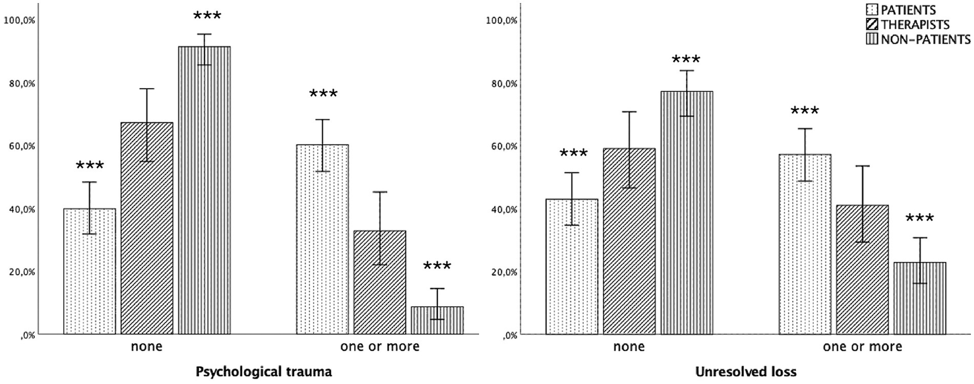
Hypotheses 2a and 2b, regarding psychological trauma and loss, were supported. Chi-squared results were significant for psychological trauma [x2(2) = 76.241, p < 0.001, Cramer’s V = 0.48], indicating a large effect, and unresolved loss [x2(2) = 31.740, p < 0.001, Cramer’s V = 0.31], representing a medium effect. Specifically, one or more psychological traumas were identified in 60.2% of patients (z = 8.1, p < 0.01), 32.8% of psychotherapists (z = 0.3%, p > 0.05) and only 8.7% of non-patients (z = −7.9, p < 0.01). The test comparing type of unresolved trauma (e.g., dismissed or preoccupied) was significant [x2(4) = 79.59, p < 0.001, Cramer’s V = 0.35] indicating a medium effect: patients (51.9%; z = −7.5, p < 0.01) exhibited more preoccupied unresolved trauma than non-patients (7.1%; z = −7.1, p < 0.01), but not psychotherapists (26.2%; z = −0.6, p > 0.05). There were no differences in dismissed traumas.

Similarly, unresolved loss was more frequent in patients (57.1%; z = 5.1, p < 0.01) than in non-patients (22.8%; z = −5.2, p < 0.01). Psychotherapists did not differ from the other groups (41%, z = 0.1, p > 0.05) (see Figure 4).

Figure 4
Bar graphs compare the prevalence of psychological trauma and unresolved loss among patients, therapists, and non-patients.

Figure 4. Distribution of psychological trauma (left) and unresolved loss (right) (N = 321). ***p < 0.001; 95%, confidence intervals.

Hypothesis 2c, regarding group differences in arousal, was supported [x2(6) = 46.02, p < 0.001, Cramer’s V = 0.26] representing a medium effect, with more depression among patients (26.3%; z = −5.2, p < 0.01) than non-patients (6.3%; z = −3.4, p < 0.01). Psychotherapists did not differ from either group (6.6%; z = −2.0, p > 0.05). Non-patients showed less disorientation (high arousal) (0%, z = 3.0, p < 0.01) compared to both psychotherapists (8.2%; z = 1.8, p > 0.05) and patients (6.0%; z = 1.5, p > 0.05).

Hypothesis 3, regarding reorganization among psychotherapists, was supported: a greater proportion of psychotherapists (24.6%; z = 3.3, p < 0.01) were reorganizing compared to patients (6.8%, z = −2.5, p < 0.05). There was no difference from non-patients (11.8%; z = −0.02, p > 0.05). Including reorganization suggests a tri-modal distribution of psychotherapists: those with low-risk strategies (24.6%), those reorganizing toward low risk (also 24.6%), and those using moderate- and high-risk strategies (50.8%).

Hypothesis 4, regarding psychotherapists’ theoretical orientation, did not yield significant differences on any variable (i.e., attachment, risk, unresolved trauma/loss and altered arousal).

4 Discussion

4.1 The main findings

This study compared protective attachment strategy, interrupters (psychological trauma and unresolved loss), modifiers (pervasive high or low arousal) and reorganization between Italian psychotherapists, patients, and non-patients. The findings showed that non-patients used low-risk protective strategies indicative of greater adaptation, and patients used more extreme strategies, with interrupters and modifiers, indicative of poor adaptation. Psychotherapists reflected three groups. Half used moderate- or high-risk protective attachment strategies, with active psychological traumas, unresolved losses, and depression; this group was similar to patients. A quarter used low-risk strategies. The remaining quarter was reorganizing from high- to low-risk strategies. Our data replicate the unpublished subcategory findings of Hughes et al. (2000) on a British sample 25 years earlier. The higher percentage of B and reorganizing toward B strategies in psychotherapists distinguishes them from patients, possibly reflecting the impact of psychotherapist training and personal therapy on their functioning (Moe and Thimm, 2021) or the therapeutic experience of being a therapist. Finally, there were no differences in the attachment variables for psychotherapists from different theoretical backgrounds.

4.2 Questions arising from our unexpected findings

Psychotherapy is a process of promoting adaptative change in patients who have sought such change by engaging in psychotherapy. Other studies indicate that this occurs successfully about 40% of the time (Cuijpers et al., 2021; Cuijpers et al., 2024). Our findings suggest some potential explanations for that low figure.

The most important issue is the impact on their patients of the psychotherapists using moderate- and high-risk strategies. Given the similarity of these psychotherapists’ strategies to patients’ strategies, one could ask whether these psychotherapists offer the benefit of personally informed and helpful compassion for their patients. Alternatively, is it a case of the blind leading the blind? Or, most concerning of all, do some psychotherapists’ strategies protect the therapist from the patient, at the expense of the patient? Of course, all three processes could occur, thus requiring case-by-case analysis. A related question is why there are many more psychotherapists reorganizing their strategies than patients in both our sample and Hughes’ British sample. If psychotherapy is a change process for patients, why did only 7 and 13% of patients show evidence of change while a quarter to a half of psychotherapists showed such change? Who is benefitting from psychotherapy – and how?

Although this is only one study, using a novel assessment, our findings and Hughes’ are consistent with a half century of evidence of the limited effectiveness of psychotherapy (British Psychological Society, Division of Clinical Psychology, 2013; Fonagy et al., 2015). Further, emerging data suggests possible detrimental effects of psychotherapy, with rates ranging from 10–25% (Davidson, 2004; Dimidjian and Hollon, 2010; Lambert and Ogles, 2004; Lilienfeld, 2007; Lohr et al., 2006; Stroebe et al., 2005), but extending as high as 44% in cases of loss and trauma therapy (Fortner, 2000; Kenardy, 2000). Our findings might suggest the processes that result in less therapeutic success than desired. For greater utility, our study should be replicated in different countries with paired psychotherapist-patient AAIs and outcome measures, to account for cultural variations that influence attachment organization.

4.3 Implications of these findings for clinical practice

Our findings suggest that therapists’ awareness of their own attachment strategies might be a crucial issue. About half of our psychotherapist sample appears to be strategically organized to avoid such awareness in favor of self-protective functioning when therapy becomes threatening for the therapist. Higher self-awareness in psychotherapists might be associated with greater inter-subjectivity (Sidis et al., 2023), reflective integration, and interpersonal sensitivity with patients (Safran and Muran, 2000). Our findings raise three questions: (1) do therapists using moderate- and high-risk strategies have the possibility of delivering effective therapy? and, if so, (2) do their shortcomings outweigh the advantages? Finally, (3) to what extent is psychotherapy training and psychotherapy practice used by psychotherapists to improve their own metal health? Psychotherapists’ active psychological reorganization might in some cases contribute to their therapeutic sensitivity and understanding of clients’ struggles with adverse events. Alternatively, the harmful conflation of psychotherapists’ problems with those of their patients (Norcross and Guy, 2007) might lead to enactments, countertransference burnout, and vicarious traumatization (Newcomb et al., 2015). Future studies could also explore whether psychotherapists’ reorganization makes it easier to relate to patients with less integrated attachment strategies or reflects psychotherapists’ personal benefit from the process of psychotherapy.

4.4 Limitations

Comparisons with previous research are challenging due to methodological differences, such as varying assessment tools, coding methods, and cultural background. Missing data on participants’ age constitutes a further limitation of the study. An additional drawback relates to the sample selection methods, because the normative and patient groups were recruited through snowball sampling as part of an AAI training program and the psychotherapists were recruited through psychotherapy training institutes. These methods could introduce potential systematic bias, reducing the generalizability of the results. Future studies should address gaps in the current study by using standardized formal attachment assessments (e.g., AAI) with larger samples of psychotherapists paired with their own patients to examine how psychotherapist and patient characteristics influence treatment processes and outcomes. Other limitations include the lack of data on psychotherapists’ personal therapy, psychotherapists’ experience of adverse events, interviewers’ inexperience with delivering the AAI, patients’ diagnoses, and patients’ stage of treatment, each of which might affect strategy reorganization.

4.5 Conclusion and recommendations

This study is unique in several ways. Importantly, we used an assessment tool, the DMM-AAI, that has a wide range of response categories covering the full range of possible adaptation rather than two-, three- or four-category methods that over-estimate security (B). Comparisons with patients and non-patients, using a large sample size, provide stable estimates of group functioning and permit better understanding of psychotherapists’ functioning.

Our finding that psychotherapists’ school of training made no difference in psychotherapists’ protective attachment strategies is consistent with previous evidence that treatment techniques and theory contribute only minimally to treatment outcomes. This suggests changing the way psychotherapists are educated. Because none of the theories has been invalidated, we agree with those who propose integrating the theories’ understanding of etiology and treatment of patients (Castonguay et al., 2015). But integrated approaches, too, seem insufficient to improve the efficacy of treatment. We think a critical idea is missing. Although theories provide frameworks to organize experience, existing models tend to overlook the role of exposure to danger in generating protective attachment strategies and the information processing that underlies them. This leads to several possible changes in training and practice.

Assessment of both incoming students and training curricula should reflect greater emphasis on the effects of danger on information processing. Specifically, the contribution of cognitive-logical and affective information to individuals’ protective strategies should be assessed. Because two-thirds of the experienced psychotherapists in our sample showed a lack of integration around danger and close relationships, this might be of great relevance to trainees. Both group settings and personal psychotherapy could emphasize observing one’s own and others’ protective functioning. The awareness of developmental aspects of brain maturation, both when the danger was experienced and at later ages when psychotherapy is offered or received, could further enhance the psychotherapists’ ability to work with patients and their families.

The high proportion of experienced psychotherapists using moderate- and high-risk protective strategies suggests that increasing psychotherapists’ awareness of their own strategies sufficiently to instigate reorganization toward greater balance might improve treatment efficacy. These psychotherapists, who were likely unchanged by their professional training, might be as limited as their patients in achieving the interpersonal attunement needed for joint problem resolution; supervision could highlight the need for active, experiential practice in interpersonal communication. Further, because these psychotherapists also might find it difficult to identify their patients’ zone of proximal development, thus reducing treatment effectiveness, attention should be directed to signals that patients aren’t engaged. These ‘intersubjective’ skills could reverse some of the negative effects on risk strategies on psychotherapy. Supervision might improve if supervisors were drawn from the low-risk group, especially those who had come from dangerous childhoods and “earned” balanced integration. Finally, self-aware psychotherapists might identify patients or clusters of patients who could benefit from referral to a psychotherapist whose psychological organization meshed more effectively with the patients.

Although disruptive science has dramatically declined (Kozlov, 2022; more than 90% from 1945 to 2010), we recognize that our ideas would mark a major shift in training and practice, constituting a potential bold, even disruptive, contribution. After a half-century of new treatments and theory expansion, possibly it is time for a radical change – beyond theory and new treatment techniques and toward understanding the effects of exposure to danger on both patients and, especially, psychotherapists.

Data availability statement

The datasets presented in this article are not readily available because the data were drawn from the international set of assessment data held by the Family Relations Institute (FRI). Requests to access the datasets should be directed to Patricia M. Crittenden, cG1jcml0dGVuZGVuQGdtYWlsLmNvbQ==.

Ethics statement

Ethical approval was not required for the studies involving humans because our research was conducted retrospectively and adheres to the Helsinki Declaration based on the exemption given to archival data that contained no personal or identifying information. The studies were conducted in accordance with the local legislation and institutional requirements. The participants provided their written informed consent to participate in this study.

Author contributions

MG: Validation, Formal analysis, Writing – review & editing, Writing – original draft, Data curation, Methodology, Visualization. PC: Resources, Writing – original draft, Visualization, Supervision, Conceptualization, Project administration, Validation, Methodology, Investigation, Data curation, Writing – review & editing. AL: Data curation, Methodology, Validation, Conceptualization, Supervision, Resources, Writing – review & editing, Writing – original draft. FL: Data curation, Validation, Investigation, Writing – review & editing.

Funding

The author(s) declare that no financial support was received for the research and/or publication of this article.

Acknowledgments

The authors wish to acknowledge all the participants who contributed to this study, Susan Spieker for her help with the analyses, and Alexandra Dupréz, Kenichi Mikami, and Oliver O’Mara, and Francesca Nuccini for comments on earlier drafts of this paper.

Conflict of interest

The authors declare that the research was conducted in the absence of any commercial or financial relationships that could be construed as a potential conflict of interest.

Generative AI statement

The authors declare that no Gen AI was used in the creation of this manuscript.

Any alternative text (alt text) provided alongside figures in this article has been generated by Frontiers with the support of artificial intelligence and reasonable efforts have been made to ensure accuracy, including review by the authors wherever possible. If you identify any issues, please contact us.

Publisher’s note

All claims expressed in this article are solely those of the authors and do not necessarily represent those of their affiliated organizations, or those of the publisher, the editors and the reviewers. Any product that may be evaluated in this article, or claim that may be made by its manufacturer, is not guaranteed or endorsed by the publisher.

Footnotes

1. ^Nomenclature is a complex topic in attachment work. Here we use the most basic terminology (secure B, dismissing A, and preoccupied C) because the differences in terminology are not relevant to the findings of the studies.

References

Ainsworth, M. D. S., Blehar, M. C., Waters, E., and Wall, S. (1978). Patterns of attachment: a psychological study of the strange situation. Hillsdale, NJ: L. Erlbaum Assoc.

Google Scholar

Baldwin, S. A., and Imel, Z. E. (2013). Therapist effects: Findings and methods. In Bergin and Garfield’s handbook of psychotherapy and behavior change. Ed. M. J. Lambert. (6th ed., pp. 258–297). New York, NY: Wiley.

Google Scholar

Bowlby, J. (1979). The making and breaking of affectional bonds. London: Tavistock Publ.

Google Scholar

Bowlby, J. (1980). Loss: Sadness and depression. 3 of Attachment and loss. New York: Basic Books.

Google Scholar

British Psychological Society, Division of Clinical Psychology. (2013). Division of clinical psychology position statement on the classification of behaviour and experience in relation to functional psychiatric diagnoses: time for a paradigm shift. Br. Psychol. Soc. Available online at: https://explore.bps.org.uk/content/report-guideline/bpsrep.2013.inf212 (Accessed May 25, 2025).

Google Scholar

Castonguay, L. G., Eubanks, C. F., Goldfried, M. R., Muran, J. C., and Lutz, W. (2015). Research on psychotherapy integration: building on the past, looking to the future. Psychother. Res. 25, 365–382. doi: 10.1080/10503307.2015.1014010

PubMed Abstract | Crossref Full Text | Google Scholar

Crittenden, P. M.. (1988). Personal communication from chart of data and diagnoses saved in 1988.

Google Scholar

Crittenden, P. M. (2016). Raising parents: attachment, representation, and treatment. 2nd Edn. London: Routledge.

Google Scholar

Crittenden, P. M., and Landini, A. (2011). Assessing adult attachment: a dynamic-maturational approach to discourse analysis. New York: W.W. Norton & Co.

Google Scholar

Crittenden, P. M., Landini, A., and Spieker, S. J. (2021a). Staying alive: a 21st century agenda for mental health, child protection, and forensic services. Hum. Syst.: Ther., Cult. Attach. 1, 1–23. doi: 10.1177/26344041211007831

Crossref Full Text | Google Scholar

Crittenden, P. M., Spieker, S., and Farnfield, S. (2021b). “Turning points in the assessment and clinical applications of individual differences in attachment” in Oxford bibliographies in psychology. ed. D. S. Dunn (Oxford: Oxford Univ. Press).

Google Scholar

Cruciani, G., Liotti, M., and Lingiardi, V. (2024). Motivations to become psychotherapists: beyond the concept of the wounded healer. Res. Psychother. 27:808. doi: 10.4081/ripppo.2024.808

PubMed Abstract | Crossref Full Text | Google Scholar

Cuijpers, P., Karyotaki, E., Ciharova, M., Miguel, C., Noma, H., and Furukawa, T. A. (2021). The effects of psychotherapies for depression on response, remission, reliable change, and deterioration: a meta-analysis. Acta Psychiatr. Scand. 144, 288–299. doi: 10.1111/acps.13335

PubMed Abstract | Crossref Full Text | Google Scholar

Cuijpers, P., Miguel, C., Ciharova, M., Harrer, M., Basic, D., Cristea, I. A., et al. (2024). Absolute and relative outcomes of psychotherapies for eight mental disorders: a systematic review and meta-analysis. World Psychiatry 23, 267–275. doi: 10.1002/wps.21203

PubMed Abstract | Crossref Full Text | Google Scholar

Davidson, J. R. T. (2004). Long-term treatment and prevention of posttraumatic stress disorder. J. Clin. Psychiatry 65, 44–48.

Google Scholar

Degnan, A., Seymour-Hyde, A., Harris, A., and Berry, K. (2016). The role of therapist attachment in alliance and outcome: a systematic literature review. Clin. Psychol. Psychother. 23, 47–65. doi: 10.1002/cpp.1937

PubMed Abstract | Crossref Full Text | Google Scholar

Dimidjian, S., and Hollon, S. D. (2010). How would we know if psychotherapy were harmful? Am. Psychol. 65, 21–33. doi: 10.1037/a0017299

PubMed Abstract | Crossref Full Text | Google Scholar

Dinger, U., Strack, M., Sachsse, T., and Schauenburg, H. (2009). Therapists’ attachment, patients’ interpersonal problems and alliance development over time in inpatient psychotherapy. Psychother. 46, 277–290. doi: 10.1037/a0016913

PubMed Abstract | Crossref Full Text | Google Scholar

Dozier, M., Cue, K. L., and Barnett, L. (1994). Clinicians as caregivers: role of attachment organization in treatment. J. Consult. Clin. Psychol. 62, 793–800. doi: 10.1037/0022-006X.62.4.793

PubMed Abstract | Crossref Full Text | Google Scholar

Essletzbichler, A. G., Sharp, R., and Swales, M. (2024). Experiences of mental health issues amongst dialectical behaviour therapists: an exploratory study. Cogn. Behav. Ther. 17:e22. doi: 10.1017/S1754470X24000254

PubMed Abstract | Crossref Full Text | Google Scholar

Felitti, V. J., Anda, R. F., Nordenberg, D., Williamson, D. F., Spitz, A. M., Edwards, V., et al. (1998). Relationship of childhood abuse and household dysfunction to many of the leading causes of death in adults: the adverse childhood experiences (ACE) study. Am. J. Prev. Med. 14, 245–258. doi: 10.1016/S0749-3797(98)00017-8

PubMed Abstract | Crossref Full Text | Google Scholar

Fonagy, P., Cottrell, D., Phillips, J., Bevington, D., Glaser, D., and Allison, E. (2015). What works for whom? A critical review of treatments for children and adolescents. 2nd Edn. New York: Guilford Press.

Google Scholar

Fortner, B. V. (2000). The effectiveness of grief counseling and therapy: a quantitative review. Dissert. Abstr. Int. Sect. B: Sci. Eng. 60:4221.

Google Scholar

Fussell, F. W., and Bonney, W. C. (1990). A comparative study of childhood experiences of psychotherapists and physicists: implications for clinical practice. Psychother. Theory Res. Pract. Train. 27, 505–512. doi: 10.1037/0033-3204.27.4.505

Crossref Full Text | Google Scholar

George, C., Kaplan, N., and Main, M. (1985). Adult attachment interview. Berkeley, CA: University of California.

Google Scholar

Giannotti, M., Bentenuto, A., Venuti, P., and De Falco, S. (2022). Explicit and implicit attachment representations in cognitively able school-age children with autism spectrum disorder: a window to their inner world. Clin. Child Psychol. Psychiatry 27, 1048–1064. doi: 10.1177/13591045221113390

PubMed Abstract | Crossref Full Text | Google Scholar

Granqvist, P., Sroufe, L. A., Dozier, M., Hesse, E., Steele, M., van Ijzendoorn, M., et al. (2017). Disorganized attachment in infancy: a review of the phenomenon and its implications for clinicians and policy-makers. Attach Hum. Dev. 19, 534–558. doi: 10.1080/14616734.2017.1345716

Crossref Full Text | Google Scholar

Hill, C. E., and Castonguay, L. G. (2017). “Therapist effects: integration and conclusions” in How and why are some therapists better than others? Understanding therapist effects. eds. L. G. Castonguay and C. E. Hill (Washington, DC: American Psychological Association), 325–341.

Google Scholar

Hughes, J., Hardy, G., and Kendrick, D. (2000). Assessing adult attachment status with clinically-orientated interviews: a brief report. Br. J. Med. Psychol. 73, 279–283. doi: 10.1348/000711200160372

PubMed Abstract | Crossref Full Text | Google Scholar

Jung, C. G. (1993) The practice of psychotherapy. Trans. Hull, R. F. C. London: Routledge.

Google Scholar

Kenardy, J. (2000). The current status of psychological debriefing. BMJ 321, 1032–1033. doi: 10.1136/bmj.321.7268.1032

PubMed Abstract | Crossref Full Text | Google Scholar

Kessler, R. C., Davis, C. G., and Kendler, K. S. (1997). Childhood adversity and adult psychiatric disorder in the US National Comorbidity Survey. Psychol. Med. 27, 1101–1119. doi: 10.1017/S0033291797005588

PubMed Abstract | Crossref Full Text | Google Scholar

Kobak, R. R. (1989) The attachment interview Q-set. Newark, DE.

Google Scholar

Kozlov, M. (2022). ‘Disruptive’ science has declined—even as papers proliferate. Nature 613:225. doi: 10.1038/d41586-022-04577-5

Crossref Full Text | Google Scholar

Lambert, M. J., and Ogles, B. M. (2004). “The efficacy and effectiveness of psychotherapy” in Bergin and Garfield’s handbook of psychotherapy and behavior change. ed. M. J. Lambert. 5th ed (New York: Wiley), 139–193.

Google Scholar

Laska, K. M., Gurman, A. S., and Wampold, B. E. (2014). Expanding the lens of evidence-based practice in psychotherapy: A common factors perspective. Psychother. 51, 467–481. doi: 10.1037/a0034332

Crossref Full Text | Google Scholar

Leak, G. K., and Parsons, C. J. (2001). The susceptibility of three attachment style measures to socially desirable responding. Soc. Behav. Pers. 29, 21–29. doi: 10.2224/sbp.2001.29.1.21

Crossref Full Text | Google Scholar

Lilienfeld, S. O. (2007). Psychological treatments that cause harm. Perspect. Psychol. Sci. 2, 53–70. doi: 10.1111/j.1745-6916.2007.00029.x

PubMed Abstract | Crossref Full Text | Google Scholar

Lohr, J. M., Devilly, G. J., Lilienfeld, S. O., and Olatunji, B. O. (2006). First do no harm, and then do some good: science and professional responsibility in the response to disaster and trauma. Behav. Ther. 29:131.

Google Scholar

Main, M., Goldwyn, R., and Hesse, E. (1984-2003). Adult attachment rating and classification systems. Berkeley, CA: University of California.

Google Scholar

Main, M., and Solomon, J. (1986). “Discovery of a new, insecure-disorganized/disoriented attachment pattern” in Affective development in infancy. eds. M. Yogman and T. B. Brazelton (Norwood, NJ: Ablex), 95–124.

Google Scholar

McBeath, A. (2019). The motivations of psychotherapists: an in-depth survey. Couns. Psychother. Res. 19, 377–387. doi: 10.1002/capr.12225

Crossref Full Text | Google Scholar

Moe, F. D., and Thimm, J. (2021). Personal therapy and the personal therapist. Nord. Psychol. 73, 3–28. doi: 10.1080/19012276.2020.1762713

Crossref Full Text | Google Scholar

Nemeroff, C. B. (2020). The state of our understanding of the pathophysiology and optimal treatment of depression: glass half full or half empty? Am. J. Psychiatry 177, 671–685. doi: 10.1176/appi.ajp.2020.20060845

PubMed Abstract | Crossref Full Text | Google Scholar

Newcomb, M., Burton, J., Edwards, N., and Hazelwood, Z. (2015). How Jung’s concept of the wounded healer can guide learning and teaching in social work and human services. Adv. Soc. Work Welf. Educ 17, 55–69. doi: 10.3316/informit.609973077524166

Crossref Full Text | Google Scholar

Norcross, J. C., and Guy, J. D. (2007). Leaving it at the office: A guide to psychotherapist self-care. New York, NY: Guilford Press.

Google Scholar

Petrowski, K., Pokorny, D., Nowacki, K., and Buchheim, A. (2013). The therapist's attachment representation and the patient's attachment to the therapist. Psychother. Res. 23, 25–34. doi: 10.1080/10503307.2012.717307

PubMed Abstract | Crossref Full Text | Google Scholar

Safran, J. D., and Muran, J. C. (2000). Resolving therapeutic alliance ruptures: diversity and integration. J. Clin. Psychol. 56, 233–243. doi: 10.1002/(SICI)1097-4679(200002)56:2<233::AID-JCLP9>3.0.CO;2-3

PubMed Abstract | Crossref Full Text | Google Scholar

Schauenburg, H., Buchheim, A., Beckh, K., Nolte, T., Brenk-Franz, K., Leichsenring, F., et al. (2010). The influence of psychodynamically oriented therapists' attachment representations on outcome and alliance in inpatient psychotherapy. Psychother. Res. 20, 193–202. doi: 10.1080/10503300903204043

PubMed Abstract | Crossref Full Text | Google Scholar

Sharpe, D. (2015). Your chi-square test is statistically significant: Now what? Pract. Assess. Res. Eval. 20, 1–10.

Google Scholar

Sidis, A. E., Moore, A., Pickard, J. A., and Deane, F. P. (2023). Conceptualisation and measurement of reflective process in psychotherapy: a systematic scoping review. J. Contemp. Psychother. 53, 99–107. doi: 10.1007/s10879-022-09568-1

Crossref Full Text | Google Scholar

Spieker, S. J., Crittenden, P. M., Landini, A., and Grey, B. (2021). Using parental attachment in family court proceedings: an empirical study of the DMM-AAI. Child Abuse Rev. 30, 550–561. doi: 10.1002/car.2731

Crossref Full Text | Google Scholar

Stroebe, W., Schut, H., and Stroebe, M. S. (2005). Grief work, disclosure and counseling: do they help the bereaved? Clin. Psychol. Rev. 25, 395–414. doi: 10.1016/j.cpr.2005.01.004

PubMed Abstract | Crossref Full Text | Google Scholar

Talia, A., Muzi, L., Lingiardi, V., and Taubner, S. (2020). How to be a secure base: therapists’ attachment representations and their link to attunement in psychotherapy. Attach Hum. Dev. 22, 189–206. doi: 10.1080/14616734.2018.1534247

PubMed Abstract | Crossref Full Text | Google Scholar

Tulving, E. (1979). “Memory research: what kind of progress?” in Perspectives on memory research: Essays in honor of Uppsala University's 500th anniversary. ed. L. G. Nilsson (Hillsdale, NJ: Erlbaum), 19–34.

Google Scholar

Tulving, E., and Schacter, D. L. (1990). Priming and human memory systems. Science 247, 301–306. doi: 10.1126/science.2296719

PubMed Abstract | Crossref Full Text | Google Scholar

Tyrrell, C. L., Dozier, M., Teague, G. B., and Fallot, R. D. (1999). Effective treatment relationships for persons with serious psychiatric disorders: The importance of attachment states of mind. J. Consult. Clin. Psychol. 67, 725–733. doi: 10.1037/0022-006X.67.5.725

Crossref Full Text | Google Scholar

Wampold, B. E., and Imel, Z. E. (2015). The great psychotherapy debate: the evidence for what makes psychotherapy work. 2nd Edn: Routledge.

Google Scholar

Zarei, K., Xu, G., Zimmerman, B., Giannotti, M., and Strathearn, L. (2021). Adverse childhood experiences predict common neurodevelopmental and behavioral health conditions among US children. Children 8:761. doi: 10.3390/children8090761

PubMed Abstract | Crossref Full Text | Google Scholar

Zilcha-Mano, S. (2025). Individual-specific animated profiles of mental health. Perspect. Psychol. Sci. 20, 787–805. doi: 10.1177/17456916231226308

PubMed Abstract | Crossref Full Text | Google Scholar

Keywords: attachment, psychotherapists, patients, trauma, unresolved loss, dynamic-maturational model, DMM

Citation: Giannotti M, Crittenden P, Landini A and Lambruschi F (2025) Psychotherapists’ self-protective attachment strategies. Front. Psychol. 16:1637760. doi: 10.3389/fpsyg.2025.1637760

Received: 29 May 2025; Accepted: 15 September 2025;
Published: 03 October 2025.

Edited by:

Cinzia Perlini, University of Verona, Italy

Reviewed by:

Alberto Olivero, University of Turin Medical School, Italy
Phil Willmot, University of Lincoln, United Kingdom

Copyright © 2025 Giannotti, Crittenden, Landini and Lambruschi. This is an open-access article distributed under the terms of the Creative Commons Attribution License (CC BY). The use, distribution or reproduction in other forums is permitted, provided the original author(s) and the copyright owner(s) are credited and that the original publication in this journal is cited, in accordance with accepted academic practice. No use, distribution or reproduction is permitted which does not comply with these terms.

*Correspondence: Michele Giannotti, bWljaGVsZS5naWFubm90dGlAdW5pdG4uaXQ=

Disclaimer: All claims expressed in this article are solely those of the authors and do not necessarily represent those of their affiliated organizations, or those of the publisher, the editors and the reviewers. Any product that may be evaluated in this article or claim that may be made by its manufacturer is not guaranteed or endorsed by the publisher.