- 1Faculty of Sport Sciences, Duzce University, Duzce, Türkiye
- 2Faculty of Education, Duzce University, Duzce, Türkiye
- 3Faculty of Sport Sciences, Abant Izzet Baysal University, Bolu, Türkiye
Introduction: The aim of this study was to investigate the effects of children’s yoga practices on attention levels and frontal EEG theta/beta power ratios in young athletes.
Methods: This research was conducted using a triple regulation design from mixed research methods. The participants were 20 female midi volleyball players (Mean = 11.45; SD = 0.49) with 3 years of volleyball experience from Düzce Volleyball Sports Club. They were randomly assigned to experimental and control groups. The experimental group participated in 24 sessions of children’s yoga, each lasting 40 minutes, at least 3 days per week for 8 weeks, including asanas (postures) and pranayama (breathing) techniques designed for children. The control group did not receive any intervention. Quantitative data were collected using the d2 attention test and Nexus 10 Mk II EEG device, while qualitative data were obtained through semi-structured interviews. Two-way repeated measures ANOVA was applied to the quantitative data, and thematic analysis was used for the qualitative data.
Results: The d2 attention test results indicated significant improvements in TN-E scores for the experimental group compared to the control group (Wilks’ λ = 0.226, F(1,18) = 61.74, p < 0.05). EEG analysis showed significant effects of yoga on frontal theta/beta power ratios: Fz (Wilks’ λ = 0.987, F(1,18) = 19.32, p < 0.05, η2 = 0.518), F7 (Wilks’ λ = 0.692, F(1,18) = 8.01, p < 0.05, η2 = 0.308), and F8 (Wilks’ λ = 0.605, F(1,18) = 11.74, p < 0.05, η2 = 0.395). Qualitative findings indicated that coaches observed higher focus and better responses to strategies among athletes in the yoga group.
Discussion: These findings suggest that children’s yoga practices have a significant impact on improving attention levels and frontal EEG theta/beta ratios, contributing to enhanced neurophysiological indicators of attention. Coaches also reported improvements in concentration and performance-related behaviors. Therefore, children’s yoga practices may be considered as a supportive training tool to enhance young athletes’ performance.
1 Introduction
Attentional control is a critical cognitive function that enables individuals to selectively focus on relevant stimuli while ignoring distractions. This ability is essential for a variety of higher-order cognitive processes, including learning, memory, and emotional regulation (Diamond, 2013; Shipstead et al., 2014). Inability to control attention is seen as a feature of important disorders affecting cognitive function in individuals (Eysenck et al., 2007; Paulus, 2015; Zainal and Newman, 2018; Kertz et al., 2016; Gagne et al., 2017). This important feature of attentional control requires measurement, but how to measure it most reliably is still a subject of research. Traditional methods have generally failed to produce consistent results. Therefore, innovative measurement tools are needed to accurately measure attentional control (Draheim et al., 2021).
The use of electroencephalography (EEG) to measure attentional control has become increasingly common in recent years. Research has pointed to the potential of spontaneous EEG to reflect attentional control processes without having to rely on specific measurement parameters (Wei et al., 2024). This approach suggests that the natural electrical activity of the brain provides important clues about individuals’ attentional processes (Putman et al., 2010). Electroencephalographic (EEG) signals reflect electrical fluctuations of brain activity (Nunez and Srinivasan, 2006). By monitoring the activity of brain waves, EEG provides information about individuals’ attention and mental focus levels. EEG signals can be analyzed by separating them between different frequency bands. Especially the ratio between theta (4–7 Hz) and beta (13–30 Hz) waves measured under resting conditions, the theta/beta ratio, provides important information about attention (Tzong-Shi et al., 2003; Pineda, 2005). The ratio of theta and beta waves provides important clues about the attention status and cognitive functions of individuals. Theta waves are associated with deep thinking, creativity and meditation state (Sürmeli, 2010) relaxation, introspection and creativity (Picken et al., 2019), while beta waves are more associated with attention, focus (Sürmeli, 2010), alertness and mental processing (Picken et al., 2019). In this context, theta/beta ratio analysis can be used as a useful marker for evaluating important clues about individuals’ cognitive processes (Cavanagh and Frank, 2014). It is suggested that attention control is controlled by two reciprocal systems. These are subcortical areas (amygdala, thalamus, pre singulate cortex) associated with the reception of stimuli and initiation of interaction (Bishop, 2008; Hermans et al., 2014) and the lateral prefrontal cortex mediating the task of maintaining attention (Fani et al., 2012; Gregoriou et al., 2014; Miller and Cohen, 2001). Anterior-frontal EEG measurements from the region that mediates attention maintenance and attentional control allow accurate monitoring of attention-related processes, as these processes directly reflect electrical activity in this region of the brain. Since the pre-frontal region plays a critical role especially in cognitive control and attention processes, EEG data obtained from this region provide high accuracy in understanding attention management. Studies show that there is an increase in the theta/beta ratio in individuals with attention deficit (Arns et al., 2013). In healthy individuals, an inverse relationship was found between stress-induced attention deficit, attentional orientation and attentional control and theta/beta ratio (Putman et al., 2010; Morillas-Romero et al., 2015; Angelidis et al., 2016). In Putman et al.’s studies, there is evidence that the theta/beta ratio may reflect attentional control in healthy individuals and that the frontal theta/beta ratio is related to executive control functions (Putman et al., 2010; Putman et al., 2014). Barry, Clarke, and Johnstone (Barry et al., 2003) stated that the increase in theta waves is related to attention and cognitive load and that high theta/beta ratio may lead to distraction and decreased cognitive performance. These findings reveal that the theta/beta ratio is an important electrophysiological marker that allows interpretation on attention control (Angelidis et al., 2016). This method allows direct and objective assessment of individuals’ attention levels.
In fast-paced and strategy-demanding branches in sports environments, lack of attention control can lead to negative consequences such as not being able to intervene in time, taking the wrong position and making strategic mistakes. Volleyball is a team sport that requires fast reflexes, strategic thinking and high attention. Although there are many factors affecting the performance of volleyball players, the level of attention control stands out as one of the most critical elements of success (Sheppard et al., 2009; Savelsbergh et al., 2002). The quality of athletes’ performance depends on many factors such as neuro motor abilities, effective cortical control, mental and motor memory, coordination, and attention (Gorman et al., 2015). In recent years, deficits in attention control have become a wide-spread problem among athletes. In this context, it is important to examine the effects on attention levels and neurophysiological responses of volleyball players in order to improve their performance. For this reason, various alternative methods have been adopted to improve athletes’ attention control. Among these methods, kids yoga attracts attention. Yoga is an inner journey that includes experience (Osho, 2022). Patanjali defined yoga in the Yoga Sutras as taking mind waves under control (Venkateswarlu and Begum, 2023). The main goal of yoga is to integrate consciousness (Büssing et al., 2012). Yoga positively affects cognitive functions such as attention by increasing concentration and focus with the pranayama (breathing techniques) and asana (poses) practices it contains (Nanthakumar, 2018; Hagen and Nayar, 2014; Eggleston, 2015). Yoga, which develops breath control and body awareness, stands out as an alternative practice that has positive effects on attention, motor skills, stress and anxiety (Nanthakumar, 2018; Manjunath and Telles, 2004; Gulati et al., 2019; Hagen and Nayar, 2014; Holt, 2016; Berger et al., 2009; Eggleston, 2015; James-Palmer et al., 2020; Lin et al., 2015; Nilsoge et al., 2016; Ghosh, 2023; Sibalis, 2017). Studies have shown that yoga practice provides better attention control by promoting focused attention and relaxation that can help balance theta and beta activities (Lin et al., 2015; Singh and Mutreja, 2020) and that regular yoga activities support kids emotional and psychosocial well-being and help them become mentally, spiritually and physically healthier (Bazzano et al., 2018; Peker and Olgan, 2022; Telles et al., 2013; Eggleston, 2015; Hariprasad et al., 2013; James-Palmer et al., 2020).
In summary, the present study was conducted to examine the effects of kids yoga practices on the attention control levels of volleyball players. The findings of the study provide important data about the usability of yoga practices as a new strategy that can be applied to increase attention control. The following hypotheses are proposed within the scope of this study.
H1: “Participation in kids yoga practices will significantly improve attention scores in volleyball players.”
H2: “Participation in kids yoga practices will result in a significant reduction in the frontal EEG theta/beta ratio.”
2 Method
2.1 Research model
This research was conducted using the combined design, which is one of the mixed research methods. The aim of this design is to explain similarities or differences by combining separately collected qualitative and quantitative results (Creswell, 2021). In the first stage of the mixed method research, qualitative data based on the coaches’ opinions on the attention levels of volleyball players were collected; in the second stage, quantitative data were obtained by taking the d2 attention test and frontal EEG recordings to determine the attention levels of the athletes. Participants were randomly assigned to the experimental and control groups using a computer-generated random number table. After random assignment, baseline equivalence between groups was assessed for pre-test scores. The in-dependent variable, children’s yoga treatments, was administered to the experimental group, while no treatment was administered to the control group. In this model, both pre-test and post-test data were collected from the experimental and control groups, and the effect of children’s yoga treatments was examined (Karasar, 2023; Büyüköztürk, 2014). After the experimental process, individual interviews were conducted with the coaches to evaluate the changes in the experimental group from the coach’s perspective. The qualitative and quantitative data were combined and interpreted.
2.2 Participants
A total of 20 participants (n = 20; Mage = 11.45; SD = 0.49) playing in the Duzce Volleyball Youth and Sports Club girls’ midi volleyball team were invited to participate in the study. Participants had 3 years of volleyball experience. Written consent was obtained from the families of all participants before the experimental application and they were informed that they had the right to withdraw from the research at any time. In the qualitative dimension of the research; 2 coaches (C1, C2) working in the Duzce Volleyball Sports Club Midi category were included in the study.
2.3 Data collection
2.3.1 d2 attention test
This test was developed by Brickenkamp in 1962 and can be applied to individuals between the ages of 9–60. There are 14 lines in the test form and 47 numbers in each line. There is a 20-s time limit for each line of the 14-line test. The test includes letters with 1, 2, 3 or 4 dots above or below them. In this test, letters can be found in 16 different ways depending on their number, the points they receive and their order. Participants are in-structed to identify the letter ‘d’ with exactly two dots, among similar distractor items. It was developed to measure the individual’s attention level, psychomotor speed, learning functions, selective attention and mental concentration. The test is evaluated using TN (total number of marked lines), E1 (number of digits skipped without being marked), E2 (number of letters marked incorrectly), CP (total number of marked lines), TN-E (test performance) and E% (error rate) scores. In this study, the TN-E score, which gives the total performance value of the test, was used. The reason for including the TN-E score, which represents the balance between psychomotor speed and selective attention, in the study is that the attention levels in the test battery are interpreted by looking at this score. In interpreting the test, the TN-E score calculations were made by following the instructions in the test battery (see Figure 1).
2.3.2 Nexus 10 Mk II neurofeedback/biofeedback and physiological imaging, evolution and feedback system
Within the scope of the study, EEG recordings were recorded with the Nexus 10 Mk II device as a neurophysiological marker to determine the attention levels of the athletes. When we look at the technical specifications of the device; EXG bandwidth DC-2KHz (ultra-wideband), EXG sampling rate 8,192 samples/s (max.), EXG dynamic range ±200,000 μV (pk-pk). The NeXus-10 Mark II records all EEG signals in a single recording. The system software records the activity of the whole brain and can display multiple analyses and components at the same time by applying different filters. The software offers all standardized waves such as Alpha, Beta, Delta, Gamma, Gamma, Theta, SMR and can be adjusted according to each frequency range when necessary, and also establishes mathematical and statistical relationships between these waves. For example, it provides data such as Theta/Beta, Alpha/Theta and their FFT data. The device uses BioTrace+ soft-ware. It enables the reduction of artefacts and noise when recording physiological signals at microvolt levels. The NeXus 10 Mk II uses automatic artifact removal algorithms in its software to eliminate involuntary signals such as eye blinks and muscle movements (NeXus 10 Mk II User Manuel). This is essential to obtain clean data, which is especially important when analysing EEG signals. The software automatically filters out noise and artifacts by measuring them and removing them from the total signal, so that the remaining signal is the real signal, free of noise and clean. With the help of sensors connected to the device, recording is made to the computer environment. During the recording, the practitioner can view the recorded data with the help of dual monitors (Mirifar et al., 2019). In the literature, it is seen that studies have been conducted using the NeXus 10 Mk II device. These studies show the effectiveness and usability of the device (Mirifar et al., 2019) and detailed information on artifact removal is included in the software and user manual of the device (NeXus 10 Mk II User Manual1; BioTrace+ software User Manual2) (see Figure 2).
2.3.3 Experimental procedure
After the participants’ preliminary measurements were taken, the experimental group was informed about the gym where the yoga practices would be held and a class schedule was created by determining the days they were available for participation.
Participants were asked to participate in practices lasting less than 40 min, at least 3 days a week for 8 weeks, for a total of 24 sessions.
Sample one-session children’s yoga program:
• Greetings and roll call: 3 min.
• Pranayama (10 fingers, 10 breaths): Get into a comfortable sitting position. Place your hands on your legs. Now bring your attention to the breaths coming in and out through your nose. Close one of your fingers after each exhalation. When the 10 breaths are over and both hands are clenched into its, start opening one of the fingers after each exhalation. Continue until the fingers of both hands are fully open: 2–3 min.
• Warm-up exercises to improve attention (Video watching): 5 min.
• Asanas: Sun Salutations and Shavasana (Corpse pose): 25 min.
• Activity card: 4 min.
In the kids yoga program, asanas (poses) and pranayama (breathing) techniques developed for children were used. The sessions ended with kids yoga games to support attention development. The applications were carried out by an expert who has received training in children’s yoga and holds an internationally valid certificate. The study was terminated after the post-measurements were taken.
After the pre-test measurements taken from participants randomly assigned to the control group, no action was taken within the scope of the research. They continued their normal lives during the 8-week application period. Post-test measurements were taken when the application process was completed.
2.3.4 Quantitative data collection
Data collection was scheduled on separate days to avoid potential mental fatigue from the d2 test interfering with the EEG results Therefore, to ensure the accuracy and reliability of the data, the independent and consistent data collection process was guaranteed.
2.3.4.1 Application of d2 attention test
The d2 attention test, which was used as a data collection tool within the scope of the re-search, was applied individually in a quiet environment based on the voluntary participation of the participants. Measurements lasted 5–8 min on average for each child. d2 attention test measurements were collected from children at the same time of the day. All d2 test sessions were scheduled at the same time of day (midday) to minimize the influence of circadian fluctuations on cognitive performance (Monk, 2005).
2.3.4.2 EEG data collection
For recording, the standard electrode placement point published by Jasper in 1958 and referred to in the literature as the international 10–20 system was used (Figure 3). Electroencephalogram (EEG) recording was taken from the frontal region; Fz, F7 and F8 electrode sites. While taking theta/beta recordings, the electrode was placed at the Fz point (F7 and F8 points, respectively) and the reference electrodes were placed on both earlobes (A1 and A2). The impedance was kept below 5 kΩ. Fz (Frontal Z) is located in the middle of the frontal lobe and is associated with cognitive processes, attention, emotional responses and motor control. EEG measurements at Fz generally follow theta and beta waves. F7 (Frontal 7) is close to the left frontal region and is related to cognitive processing, attention, memory and social cognitive functions. F7 is generally sensitive to alpha and theta waves. F8 (Frontal 8) is close to the right frontal region and is associated with emotional responses, cognitive control and attention. F8 generally follows theta and beta waves (Niedermeyer and Da Silva, 2004; Buzsáki and Draguhn, 2004; Cohen, 2017; Hughes and John, 1999). When previous studies are examined, it is seen that neural activity in the frontal region plays different roles in the attention control process (Putman et al., 2010, 2014; Angelidis et al., 2016; Angelidis et al., 2018; Van Son et al., 2018; Nitsche et al., 2012; Sari et al., 2016; Monk, 2005; Morillas-Romero et al., 2015). Ten-minute recordings were taken from each region (Fz, F7 and F8). According to the general EEG literature, it is generally recommended that the recording duration varies between 5–10 min in studies examining attention and cognitive processes (Posner and Petersen, 1990).

Figure 3. Electrode locations of international 10–20 system for encephalography recording (Jasper, 1958).
2.3.4.3 EEG signals
In this study, EEG data were collected in raw form and analysed by the Root Mean Square (RMS) method. RMS is calculated by taking the square root of the mean of the squares of the amplitude value of the signal and is generally used as a common method for power analysis of EEG data (Niedermeyer and Da Silva, 2004). This calculation was per-formed with a sampling rate of 256 SPS (samples per second). The power spectrum was calculated using the Fast Fourier Transform (FFT). FFT is a widely used method for analysing frequency components and is a standard technique for frequency analysis of EEG signals (Buzsáki, 2006). The FFT frequency range was set to 60 Hz. The epoch size was set to 1/4 refresh time (0.250 Hz) for each analysis window, which usually allows monitoring rapid changes in the EEG signal (Vanhatalo and Kaila, 2006). The peak-to-peak method was used to measure the EEG signal. This method determines the total signal amplitude by measuring the difference between the maximum and minimum amplitude values of the signal (Srinivasan et al., 2012). The automatic scaling option (Auto μV Range) was select-ed for minimum and maximum values per brain map, and a fixed scale (2–45 μV peak-to-peak) was also selected for all brain maps. In this study, theta (4–8 Hz) and beta (13–21 Hz) band power values of EEG were automatically calculated and averaged. The-ta/beta ratio is frequently used in the literature as an important parameter related to attention and cognitive processes (Cavanagh et al., 2011). In the spectral analysis, the power density in theta and beta bands was calculated at specific frequency ranges. This calculation was performed with a sampling rate of 32 SPS (samples per second). Theta band power is defined as 4–8 Hz and beta band power as 13–21 Hz, and these frequencies are generally associated with attention control and alertness (Laufs et al., 2003). The epoch size used in the analyses was determined as 2 s. This epoch length is ideal to ensure that the signal is examined at sufficient time intervals and temporal changes are observed (Nitsche et al., 2012).
2.3.5 Qualitative data collection
During the qualitative data collection phase of the study, semi-structured questions were prepared, and individual interviews were conducted with coaches. During the inter-views, the coaches’ opinions on the distracting factors observed in athletes and how they managed these situations were collected. After the study, the coaches were asked whether the kids yoga practice led to any changes in the athletes’ attention levels, and their responses were recorded. The two coaches included in the data collection process are individuals who have been working with the athletes for a long time and are experienced in observing the effects of attention levels on training performance. Both coaches have pedagogical formation and have previously received training on the concept of attention in sports. In this respect, they were evaluated as reliable data providers in terms of both their contextual knowledge and observational experience. The interview form was developed by obtaining expert opinions (reviewed by three experts with at least a doctorate degree in sports sciences) and evaluated in terms of conceptual validity. A trial interview was con-ducted to verify the comprehensibility of the questions. Necessary revisions were made in line with the suggestions of the experts and the form was finalized. Below are the questions used in the interview. Semi-structured interview questions pre-measurement;
1. Do you often encounter athletes being distracted during training and matches? In what situations is this more evident? Are there certain behaviours or signs?
2. Semi-structured interview questions were the final measurement;
3. Have you observed any changes in the attention levels of your athletes during training and matches after kids yoga practice?
4. What do you think about the effects of kids yoga practices on attention levels in the long term?
2.4 Analytical strategy
2.4.1 Analysis of qualitative data
Thematic analysis was used in the analysis of interviews with coaches and a deductive approach was adopted (Braun and Clarke, 2023; Finlay, 2021). Therefore, the stages of determining design issues and final themes, verification and use of the code were followed with a gradual coding and recoding process. In order to ensure the reliability of the re-search, the data were coded independently by 4 researchers who are experts in the field (Ekiz, 2020). In addition, the data collected under the themes determined by the researchers conducting the study were compared with two experts outside the study to reveal the numbers of agreements and disagreements, and then the reliability of the study was calculated using the Miles and Huberman (1994) formula.
2.4.2 Analysis of quantitative data
All data are presented as mean ± SD unless otherwise stated. All statistical analyses were completed using SPSS Statistics, version 27 (IBM, NY, USA). Data were tested for normality. Pre–Post test data were analysed using two-way ANOVA for mixed measurements. When the sphericity assumption was violated, the Greenhouse–Geisser correction was employed. Pairwise comparisons were assessed using the Bonferroni correction. Significance was set at 0.05 (2-tailed) for all analyses. The effect sizes obtained in the study were reported using partial eta squared (η2) values. These effect sizes were interpreted based on the classification proposed by Cohen (1988) as follows: η2 < 0.01, negligible effect; 0.01 ≤ η2 < 0.06, small effect; 0.06 ≤ η2 < 0.14, medium effect; η2 ≥ 0.14, large effect. This classification is meaningful in terms of indicating the proportion of variance explained. The obtained η2 values were interpreted by comparing them to these thresholds (Cohen, 1988).
3 Findings
3.1 Analysis of quantitative data
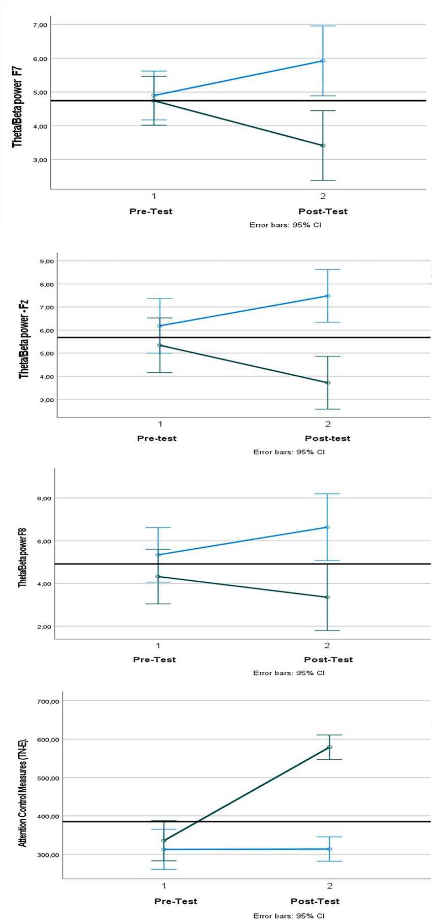
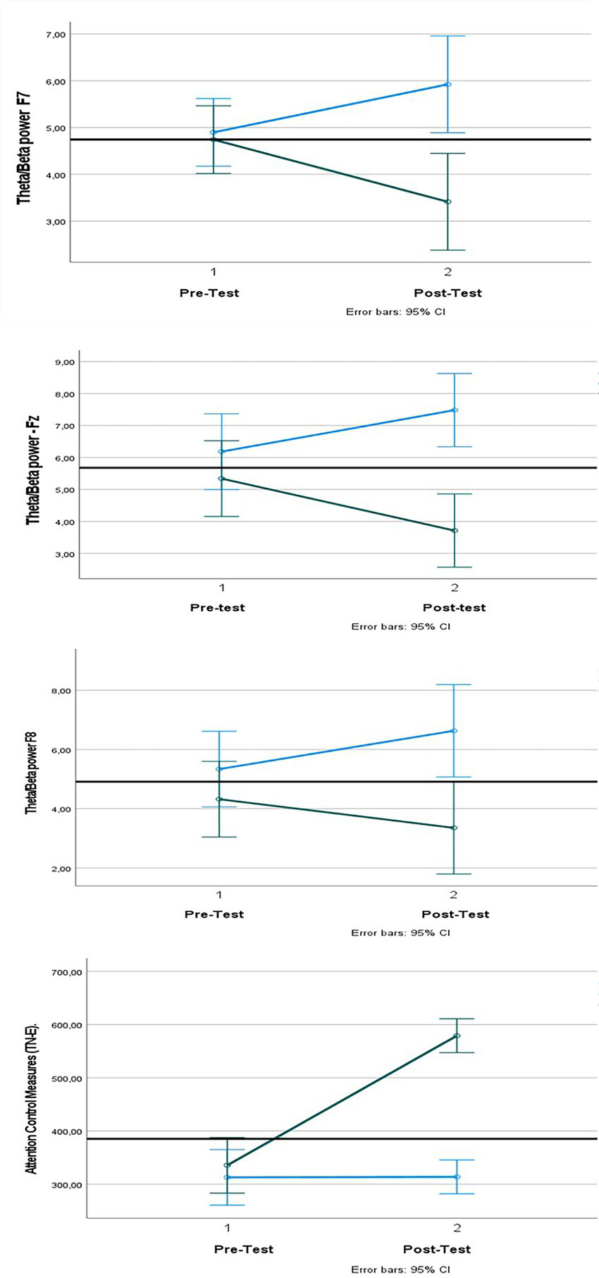
As shown in Table 1, the mean scores of theta/beta power ratios of the experimental group participating in kids yoga practices before the practice were Fz Mean = 5.34, F7 Mean = 4.32; F8 Mean = 4.74, while this value became Fz Mean = 3.71, F7 Mean = 3.35, F8 Mean = 3.41 after the practice. The mean scores of theta/beta power ratios of the control group, which did not receive any practice, in the pre-measurements were Fz Mean = 6.18, F7 Mean = 5.340; F8 Mean = 4.89, while this value became Fz Mean = 7.48, F7 Mean = 6.63, F8 Mean = 5.92 in the post-measurements. Considering the inverse relationship between theta/beta power ratio of the frontal region and attention level, the decrease in the pre-measurement scores of the experimental group in the post-measurement can be interpreted as an increase in attention control levels. In addition, while the TN-E value obtained from the d2 attention test before the application of the experimental group participating in kids yoga practices was 335.60; this value became 579.00 in the final measurement. While the TN-E value of the control group was 312.90 in the pre-measurement; this value became 313.80 in the final measurement. Accordingly, it is seen that there was an increase in the d2 attention test TN-E value in the post-test scores of the experimental group and there was no change in the control group.

Table 1. The mean (M) and standard deviation (SD) of EEG indicators: theta/beta power ratio and attentional test (TN-E).
The two-factor ANOVA results regarding whether the changes observed after the application compared to before the application in the experimental group that received kids yoga applications and the control group that received no application showed a significant difference are given in Tables 2, 3.
As shown in Table 2, it can be said that there was a significant difference between the pre-test and post-test scores in the frontal theta/beta power ratios of the athletes who participated in the experimental and control groups after the kids yoga applications, in other words, it can be said that the procedures applied in different groups created significant differences in the Fz, F7 and F8 electrode regions. In the Fz electrode region: Wilks’ λ: 0.987, F(1,18) = 19.32, p < 0.05, the significant difference seen (η2 = 0.518) has a large effect size; In the F7 electrode region: Wilks’ λ: 0.692, F(1,18) = 8.01, p < 0.05, the significant difference seen (η2 = 0.308) has a large effect size; In the F8 electrode region: Wilks’ λ: 0.605, F(1,18) = 11.74, p < 0.05, the significant difference seen (η2 = 0.395) has a large effect size. This finding shows that the kids yoga practice has an effect on the participants’ frontal theta/beta power ratios. In order to determine the source of the significant difference between the groups, the “Bonferonni compatible multiple comparisons” test was applied (Table 4). Furthermore, in order to control the potential Type I error risk arising from multiple comparisons regarding the significance of the group*measurement interaction, the Holm-Bonferroni correction was applied. Within the scope of this correction, the p-values were ranked in ascending order (Fz = 0.000, F8 = 0.003, F7 = 0.011) and each was compared with its corresponding threshold value calculated according to the Holm-Bonferroni method (Fz: 0.05 / 3 = 0.0167; F8: 0.05 / 2 = 0.025; F7: 0.05 / 1 = 0.05). As a result of these comparisons, all three p-values were found to be below their respective thresholds (Fz = 0.000 < 0.0167; F8 = 0.003 < 0.025; F7 = 0.011 < 0.05), and thus remained statistically significant after correction. These findings indicate that the changes observed over time in the EEG measurements of the experimental group (at Fz, F7, and F8 sites) were statistically significant compared to the control group. In other words, it can be concluded that the experimental intervention led to statistically significant and re-liable effects on EEG activity.

Table 4. Post-hoc pairwise comparisons (Bonferroni-adjusted) of pre-test and post-test frontal theta/beta power ratio scores between experimental and control groups.
As shown in Table 3, it is seen that there is a significant difference (Wilks’ λ: 0.226, F(1,18) = 61.74, p < 0.05) between the pre-test and post-test scores of the d2 attention test TN-E value of the athletes participating in the experimental and control groups after the kids yoga practices. When we examine the common effect created by the groups and measurements, it can be said that different applications made on the groups create a difference in TN-E values and the eta squared statistic value of this common effect (η2 = 0.774) has a strong effect size. In order to determine the source of the significant difference between the groups, the “Bonferonni compatible multiple comparisons” test was applied (Table 4).
When the results of the Bonferonni compatible pairwise comparison analysis per-formed to see which groups the significant difference in frontal theta/beta power ratios in the Fz, F7 and F8 electrode placement regions between the experimental and control groups came from was examined, it was seen that there was no significant difference between the control group pre-test mean scores (Fz Mean = 6.18; F7 Mean = 5.34; F8 Mean = 4.89) and the experimental group pre-test mean scores (Fz Mean = 5.34; F7 Mean = 4.32; F8 Mean = 4.74). The absence of significant difference in the pre-tests proves that the groups were distributed homogeneously before the experimental procedure. It was observed that there was a significant difference between the control group post-test mean scores (Fz Mean = 7.48; F7 Mean = 6.63; F8 Mean = 5.92) and the experimental group post-test mean scores (Fz Mean = 3.71; F7 Mean = 3.35; F8 Mean = 3.41). This finding can be interpreted as kids yoga practices having positive contributions on attention levels by decreasing theta/beta power ratio in the frontal region. When the results of Bonferonni compatible paired comparison analysis conducted to see which groups caused the significant difference in d2 attention test TN-E value between experimental and control groups are examined, it is seen that there is a significant difference between control group post-test mean scores (M = 313.80) and experimental group post-test mean scores (M = 579.00).
Figure 4 shows the comparison of the pre-test and post-test results of the frontal EEG theta/beta power ratios and d2 attention test TN-E values for the Fz, F7 and F8 electrode site of the experimental and control groups. It is seen that the frontal EEG theta/beta ratios of the experimental group participating in the eight-week yoga program decreased significantly compared to the control group, and the TN-E value increased significantly. This result can be interpreted as the yoga practices increased the attention levels of the experimental group participants and the balance between their psychomotor speed and selective attention increased. In this sense, it has been observed that kids yoga practices contribute positively to cognitive functions. The formula Δ% = [(pretest−posttest)/pretest]×100 was used to calculate the change between the pre-test and post-test scores of the kids yoga practices applied to the experimental group. It is seen that there is a change between the pre- test and post-test measurements of the experimental group for Fz electrode site as Δ% = 30.52, for F7 electrode site as Δ% = 22.45, for F8 electrode site as Δ% = 28.05, and for TN-E value as Δ% = 72.52.

Figure 4. Pre- and post-test assessment of EEG indicators: theta/beta power ratio (for Fz, F7, F8 electrode site) and attentional measures (TN-E). Hz, hertz. Values displayed as mean + SD.
3.2 Analyzing qualitative data
Table 5 presents the main themes and sub-themes from the coaches’ pre-measurement interviews. Two main themes were identified: ‘Factors causing distraction’ and ‘Observed dimension of distraction’ and seven sub-themes were identified: ‘Training Period’, ‘Match Period’, ‘Emotion and Motivation’, ‘Symptoms’ and ‘Signs’. Factors leading to distraction are listed as fatigue, monotony, personal problems, long training sessions and boring repetitions during the training period. During the match period, opponent performance, spectator effect, result pressure and individual mistakes contribute to distraction. Emotional effects, stress, anxiety, low motivation and internal pressures are also important factors in terms of emotions and motivation. Distraction can manifest itself with symptoms such as decreased concentration, poor communication and inattention, as well as signs such as not making eye contact and careless movements.

Table 5. Coaches’ opinions on the causes of distractions observed in the midi-volleyball girls’ team (pre-measurement).
Table 6 presents the main themes and sub-themes obtained from the final measurement interviews of the coaches. Coaches stated that kids yoga practices had positive effects on athletes’ attention levels. They observed that the athletes were more focused, responded better to strategies and had less distractions after yoga. He also stated that yoga practices improved intra-team communication and co-operation by increasing stress coping, mental endurance and attention span.

Table 6. Coaches’ opinions on the effect of kids yoga on attention development in midi-volleyball girls’ team (post-measurement).
In this direction, under the main theme of ‘The Effect of kids Yoga on Attention Development’, sub-themes such as short-term attention increase, long-term performance improvement, mental relaxation and endurance, intra-team communication and co-operation were formed. While short-term attention increase includes elements such as focusing during the moment-training, attention continuity in the match, and quick decision-making skills, long-term performance development refers to mental endurance and in-game performance increase. Mental relaxation and resilience include stress reduction and improving emotional balance, while clarity and co-operation in team communication are emphasized.
4 Discussion
The findings of this study show that 8 weeks of kids yoga interventions caused a significant increase in the attention levels of volleyball players in the experimental group. Comparisons with the control group revealed that this increase was statistically significant. This result is consistent with previous studies in the literature supporting the positive effects of kids yoga on attention development. Khalsa and Butzer (2016) reported that yoga practice increased children’s attention span and cognitive flexibility. Similarly, Metri (2018) found that children who followed a school-based yoga program showed significantly less anxiety and perceived stress compared to children who did not practice yoga. Petsche (2016) suggests that yoga can be used as a school-based intervention to improve the levels of task-oriented behavior of students with attention deficits. These findings support the potential of yoga practices to improve children’s attention levels. Attention is not only a cognitive process, but also related to emotional states. Brown and Ryan (2003) demonstrated the positive effects of mindfulness practices on attention and attention control.
The findings of the study are remarkable from a neurophysiological point of view. In the experimental group, 8 weeks of kids yoga led to a significant decrease in the frontal theta/beta power ratios of the participants. The change in frontal theta/beta ratios is associated with distractibility and it can be said that kids yoga has positive effects on attention by reducing this ratio. While frontal lobe is associated with attention and cognitive control, theta waves are associated with relaxation and distraction, and beta waves are associated with high attention and cognitive activities (Niedermeyer and Da Silva, 2004). In this context, kids yoga practices seem to be effective in increasing mental and physical aware-ness and attention balance (Kabat-Zinn, 2005). The increase in the theta/beta ratio observed in the control group may indicate an increase in distraction. Since the study was conducted during the summer (holiday) period, factors such as the absence of a school or sports program to keep children’s attention active, increased screen usage time during holiday periods, decreased physical activity levels and decreased educational activities that improve attention may have negatively affected the attention levels of the control group (Barutchu et al., 2019; Malatras et al., 2016; Turoman et al., 2021).
The relationship between yoga and EEG measurements, especially theta/beta ratio, is important. High theta/beta ratios indicate poor attention and executive function (Halawa et al., 2017). Studies have reported a decrease in the theta/beta ratio in healthy individuals after yoga practice. The group practicing yoga has been observed to have significant improvements in various cognitive functions such as increased performance, neural activity, attention and executive function (Nagendra et al., 2015). Another study indicating an in-crease in frontal theta/beta in states of mind wandering has shown that the decrease in the theta/beta ratio provides significant improvement in mind wandering attacks (van Son et al., 2019). Yoga may lead to changes in brain wave activity by promoting relaxation and reducing stress. Pal et al. stated that yoga practices can elevate alpha and beta activities by increasing parasympathetic state (Pal et al., 2014). Furthermore, Gaur et al. (2020) emphasized that yoga practices are linked to changes in brain wave dynamics, increased relaxation and improved cognitive function.
In summary, it appears that kids yoga has a beneficial effect on attention levels and may contribute to positive changes in the frontal EEG theta/beta ratio. Most types of yoga positively affect stress reduction in healthy individuals (Soriotulla, 2024) which may have a positive effect on stress-related distraction. It is suggested that yoga practices can be implemented in schools as a preventive measure for children’s mental health problems (Khunti et al., 2023). Yoga helps to reduce stress, improve sleep quality, support emotional and mental health, and reduce symptoms of depression. In addition, yoga improves balance and flexibility and supports strength and endurance (Çetinoğlu and Pehlivan, 2024). It is an expected result that all these benefits will reflect positively on the attention levels of athletes. It is thought that yoga practices will be useful in improving the performance of athletes. It is recommended to include yoga practices as a performance-supporting practice in sports environments.
4.1 Comparative discussion of quantitative and qualitative data
The statement of the coach coded C1, “We observed a significant increase in the attention levels of our athletes who participated in kids yoga practices during training and matches. After the practice, we noticed that the athletes acted in a more focused manner, responded better to the strategies in the game, and their distraction decreased. I observed that our athletes were able to remain more patient and concentrated, especially during long-term training or challenging matches, thanks to the mental relaxation brought by yoga” and the statement of coach C2, “It helped them lose less attention during the game and perform better at critical moments” emphasize the positive effects of yoga practices on attention and performance. The statements of the coaches show that kids yoga has positive effects on both mental and physical performance. The qualitative findings obtained within the scope of the study are parallel to the quantitative findings of the study. The findings, supported by both quantitative and qualitative data, are consistent with the literature. While challenging training and matches can create stress on young athletes, yoga helps them to be more patient and focused by reducing this stress. Khalsa et al. (2012) reported that yoga practice increases attention span and mental relaxation. In addition, yoga improves athlete’s performance by reducing anxiety (Weaver and Darragh, 2015). Kauts and Sharma (2009) reported that yoga practice helps students to be more attentive in their classes, which helps athletes make better decisions and reduces distraction. Neurophysiological findings also show that kids yoga is effective in increasing mental and physical awareness (Kabat-Zinn, 2005). In a study of school children (Gulati et al., 2019), the positive effects of yoga on punctuality, concentration and attention skills in children may explain the positive changes in the speed at which athletes read the game and respond strategically on the field. The decrease in theta/beta ratio after yoga practice may have helped athletes develop better attention control and strategic thinking skills during the game. This is especially advantageous in situations where quick decisions and strategic planning are critical.
These findings suggest that kids yoga should be more widely implemented in educational settings. It may be beneficial for educators to use yoga as a tool to increase academic achievement and improve children’s overall well-being. It is also important that education and sports policies encourage the integration of kids yoga (Khunti et al., 2023). In addition, an important limitation of this study is the relatively small sample size (n = 20). This may reduce statistical power and limit the generalizability of the findings. Therefore, the results obtained should be interpreted with caution. Future studies with larger and more diverse samples are needed to test the reproducibility of the findings on a larger group of participants and to increase their generalizability. Future research could examine the effects of kids yoga on attention development with larger age groups and samples. These findings will encourage further studies on how kids yoga can be expanded to different sports and age groups, strengthening its potential to improve athletes’ performance and mental health.
4.2 Conclusion and recommendations
This study revealed that 8 weeks of kids yoga practice led to a significant increase in the attention levels of volleyball players and that this increase was statistically significant. While the quantitative findings were supported by the increase in the scores obtained from the attention test and the decrease in the frontal EEG theta/beta ratio, the qualitative opinions of the coaches were also consistent with these findings. An inverse relationship was found between stress-induced attention deficit, attention orientation and attention control and theta/beta ratio in healthy individuals (Putman et al., 2014; Morillas-Romero et al., 2015; Angelidis et al., 2016). This inverse relationship is interpreted as the decrease in theta/beta ratio as positive effects develop in attention levels. Within the scope of this study, it can be said that the positive effects of yoga practices on attention levels are supported by the increase in the scores of the athletes in d2 attention tests and the decrease in the frontal theta/beta ratio. This result is consistent with previous studies. These findings were also supported by qualitative findings. The coaches included in the study reported that the volleyball players focused better during training and matches and responded better to strategies. They also emphasized that yoga improves stress coping skills and in-creases mental endurance.
4.2.1 Recommendations
1. Integration of Yoga Programs: Kids yoga practices should be included in athletes’ training programs. Regular yoga sessions are recommended especially for the attention development of young athletes.
2. Education and Awareness: Providing trainings on yoga and mindfulness to coaches and athletes can provide a better understanding of the benefits of these practices.
3. Long-Term Research: It is recommended that studies be conducted to examine the long-term effects of yoga practices by increasing the duration of the practice.
4. Individual Needs: Customized yoga programs should be created according to the individual need of each athlete, and attention development and stress management should be targeted with these programs.
5. Neurophysiological Studies: Studies investigating the neurophysiological effects of kid’s yoga should be continued, and the relationship between EEG measurements and yoga practices should be examined in depth.
6. Sample Size: It is recommended that similar protocols be repeated with larger and more representative samples in future studies.
7. Gender Differences: It is recommended that future studies include both male and female participants to examine possible gender differences and increase the generalizability of the findings.
8. Age Group: It is recommended that participants from a wider age range be included in future studies to assess whether the findings are valid across developmental stages.
9. Sports Branches: It is recommended that future studies be conducted in different sports branches to determine whether the observed effects are specific to volleyball or applicable to other sports branches.
10. Future studies may include task-based EEG protocols simulating volley-ball-specific cognitive and motor demands to better understand the neural correlates of sport-specific performance.
In conclusion, the findings of this study support that kid’s yoga is an effective intervention in increasing the attention levels of athletes. Yoga should be considered as an important tool to improve the mental and physical performance of athletes and should be included in sports training programs.
4.2.2 Limitations
1. An important limitation of this study is the relatively small sample size (n = 20).
2. One of the limitations of the study is that the generalizability of the findings is limited due to the inclusion of only female volleyball players.
3. One of the limitations of the study is that the participants were only from the young age group (Mage = 11.45); this limits the generalizability of the results to different age groups.
4. One of the limitations of the study is that only volleyball athletes were included; this limits the generalization of the findings to other sports.
5. Another limitation of this study is that EEG recordings were recorded at rest. Volleyball-specific task-based EEG was not evaluated.
Data availability statement
The raw data supporting the conclusions of this article will be made available by the authors, without undue reservation.
Ethics statement
The studies involving humans were approved by the Duzce University Scientific Research and Publication Ethics Committee (Number: E-78187535-050.04-426788). The studies were conducted in accordance with the local legislation and institutional requirements. Written informed consent for participation in this study was provided by the participants' legal guardians/next of kin.
Author contributions
HB: Writing – review & editing, Writing – original draft, Conceptualization. LG: Data curation, Visualization, Writing – review & editing. RA: Conceptualization, Writing – original draft. SA: Writing – review & editing, Supervision, Visualization. MK: Writing – review & editing, Formal analysis. AÇ: Writing – review & editing, Methodology. YE: Data curation, Writing – review & editing. ŞP: Data curation, Writing – review & editing.
Funding
The author(s) declare that no financial support was received for the research and/or publication of this article.
Conflict of interest
The authors declare that the research was conducted in the absence of any commercial or financial relationships that could be construed as a potential conflict of interest.
Generative AI statement
The authors declare that no Gen AI was used in the creation of this manuscript.
Any alternative text (alt text) provided alongside figures in this article has been generated by Frontiers with the support of artificial intelligence and reasonable efforts have been made to ensure accuracy, including review by the authors wherever possible. If you identify any issues, please contact us.
Publisher’s note
All claims expressed in this article are solely those of the authors and do not necessarily represent those of their affiliated organizations, or those of the publisher, the editors and the reviewers. Any product that may be evaluated in this article, or claim that may be made by its manufacturer, is not guaranteed or endorsed by the publisher.
Footnotes
1. ^https://help.mindmedia.com/en_US/articles/421001-nexus-10-mkii-user-manual (Accessed November 20, 2024).
2. ^https://help.mindmedia.com/en_US/articles/421067-biotrace-software-user-manual (Accessed April 21, 2025).
References
Angelidis, A., Hagenaars, M., Van Son, D., Van der Does, W., and Putman, P. (2018). Do not look away! Spontaneous frontal EEG theta/beta ratio as a marker for cognitive control over attention to mild and high threat. Biol. Psychol. 135, 8–17. doi: 10.1016/j.biopsycho.2018.03.001
Angelidis, A., Van der Does, W., Schakel, L., and Putman, P. (2016). Frontal EEG theta/beta ratio as an electrophysiological marker for attentional control and its test-retest reliability. Biol. Psychol. 121, 49–52. doi: 10.1016/j.biopsycho.2016.09.007
Arns, M., Conners, C. K., and Kraemer, H. C. (2013). A decade of EEG theta/beta ratio research in ADHD: a meta-analysis. J. Atten. Disord. 17, 374–383. doi: 10.1177/1087054712443425
Barry, R. J., Clarke, A. R., and Johnstone, S. J. (2003). A review of electrophysiology in attention deficit/hyperactivity disorder: qualitative and quantitative electroencephalography. Clin. Neurophysiol. 114, 171–183. doi: 10.1016/S1388-2457(02)00353-2
Barutchu, A., Toohey, S., Shivdasani, M. N., Fifer, J. M., Crewther, S. G., Grayden, D. B., et al. (2019). Multisensory perception and attention in school-age children. J. Exp. Child Psychol. 180, 141–155. doi: 10.1016/j.jecp.2018.11.003
Bazzano, A. N., Anderson, C. E., Hylton, C., and Gustat, J. (2018). Effect of mindfulness and yoga on quality of life for elementary school students and teachers: results of a randomized controlled school-based study. Psychol. Res. Behav. Manag. 11, 81–89. doi: 10.2147/PRBM.S180306
Berger, D. L., Silver, E. J., and Stein, R. E. K. (2009). Effects of yoga on inner-city children's well-being: a pilot study. Altern. Ther. Health Med. 15:36.
Bishop, S. J. (2008). Neural mechanisms underlying selective attention to threat. Ann. N. Y. Acad. Sci. 1129, 141–152. doi: 10.1196/annals.1417.022
Braun, V., and Clarke, V. (2023). Toward good practice in thematic analysis: avoiding common problems and becoming a knowing researcher. Int. J. Transgender Health 24, 1–6. doi: 10.1080/26895269.2023.2188756
Brown, K. W., and Ryan, R. M. (2003). The benefits of being present: mindfulness and its role in psychological well-being. J. Pers. Soc. Psychol. 84, 822–848. doi: 10.1037/0022-3514.84.4.822
Büssing, A., Khalsa, S. B. S., Michalsen, A., Sherman, K. J., and Telles, S. (2012). Yoga as a therapeutic intervention. Evid. Based Complement. Alternat. Med. 2012, 269–285. doi: 10.1155/2012/174291
Buzsáki, G., and Draguhn, A. (2004). Neuronal oscillations in cortical networks. Science 304, 1926–1929. doi: 10.1126/science.1097403
Cavanagh, J. F., Fong, C. M., Christina, M. F., and Frank, M. C. (2011). Frontal theta reflects uncertainty and unexpectedness during exploration and exploitation. Cereb. Cortex 22, 2575–2586. doi: 10.1093/cercor/bhr293
Cavanagh, J. F., and Frank, M. J. (2014). Frontal theta as a mechanism for cognitive control. Trends Cogn. Sci. 18, 394–401. doi: 10.1016/j.tics.2014.04.002
Çetinoğlu, G., and Pehlivan, E. (2024). The effect of yoga practices on health parameters: a review. Turk. J. Kinesiol. 10, 41–47. doi: 10.38098/tjk.2024.01.05
Cohen, J. (1988). Statistical power analysis for the behavioral sciences. 2nd Edn. Hillsdale, NJ: Lawrence Erlbaum Associates.
Diamond, A. (2013). Executive functions. Annu. Rev. Psychol. 64, 135–168. doi: 10.1146/annurev-psych-113011-143750
Draheim, C., Tsukahara, J., Martin, J., Mashburn, C., and Engle, R. (2021). A toolbox approach to improving the measurement of attention control. J. Exp. Psychol. Gen. 150, 242–275. doi: 10.1037/xge0000902
Eggleston, B. (2015). The benefits of yoga for children in schools. Int. J. Health Wellness Soc. 5:1. doi: 10.18848/2156-8960/CGP/v05i03/1-15
Ekiz, D. (2020). Bilimsel araştırma yöntemleri: Yaklaşım, yöntem ve teknikler. Ankara: Anı Yayıncılık.
Eysenck, M. W., Derakshan, N., Santos, R., and Calvo, M. G. (2007). Anxiety and cognitive performance: attentional control theory. Emotion 7, 336–353. doi: 10.1037/1528-3542.7.2.336
Fani, N., Jovanovic, T., Ely, T. D., Bradley, B., Gutman, D., Tone, E. B., et al. (2012). Neural correlates of attention bias to threat in post-traumatic stress disorder. Biol. Psychol. 90, 134–142. doi: 10.1016/j.biopsycho.2012.01.010
Finlay, L. (2021). Thematic analysis: the ‘good’, the ‘bad’, and the ‘ugly’. Eur. J. Qual. Res. Psychotherapy 11*, 103–116. doi: 10.2340/ejqr.2021.11.103
Gagne, J. R., O’Sullivan, D. L., Schmidt, N. L., Spann, C. A., and Goldsmith, H. H. (2017). The shared etiology of attentional control and anxiety: an adolescent twin study. J. Res. Adolesc. 27, 122–138. doi: 10.1111/jora.12260
Gaur, S., Panjwani, U., and Kumar, B. (2020). EEG brain wave dynamics: a systematic review and meta-analysis on the effect of yoga on mind relaxation. J. Biomed. Res. Environ. Sci. 1, 353–362. doi: 10.27632/jbres.2020.1.7.353
Ghosh, K. (2023). Study on complex attention between yoga and non-yoga female group. Int. J. Phys. Educ. Sports Health 10, 87–91. doi: 10.2340/ijpes.2023.10.6.87
Gorman, A. D., Abernethy, B., and Farrow, D. (2015). Evidence of different underlying processes in pattern recall and decision-making. Q. J. Exp. Psychol. 68, 1813–1831. doi: 10.1080/17470218.2015.1012603
Gregoriou, G. G., Rossi, A. F., Ungerleider, L. G., and Desimone, R. (2014). Lesions of prefrontal cortex reduce attentional modulation of neuronal responses and synchrony in V4. Nat. Neurosci. 17, 1003–1011. doi: 10.1038/nn.3752
Gulati, K., Sharma, S. K., Telles, S., and Balkrishna, A. (2019). Self-esteem and performance in attentional tasks in school children after 4½ months of yoga. Int. J. Yoga 12, 158–161. doi: 10.4103/ijoy.IJOY_60_18
Hagen, I., and Nayar, U. S. (2014). Yoga for children and young people’s mental health and well-being: research review and reflections on the mental health potentials of yoga. Front. Psych. 5:78. doi: 10.3389/fpsyt.2014.00078
Halawa, I., Sayed, B., Amin, O., Meguid, N., and Kader, A. (2017). Frontal theta/beta ratio changes during TOVA in Egyptian ADHD children. Neurosciences 22, 287–291. doi: 10.17712/nsj.2017.4.20170265
Hariprasad, V. R., Arasappa, R., Varambally, S., Srinath, S., and Gangadhar, B. N. (2013). Feasibility and efficacy of yoga as an add-on intervention in attention deficit-hyperactivity disorder: an exploratory study. Indian J. Psychiatry 55, S379–S384. doi: 10.4103/0019-5545.119745
Hermans, E. J., Henckens, M. J., Joels, M., and Fernandez, G. (2014). Dynamic adaptation of large-scale brain networks in response to acute stressors. Trends Neurosci. 37, 304–314. doi: 10.1016/j.tins.2014.03.006
Holt, T. E. (2016). Yoga: Effects on throwing performance, range of motion, strength, and flexibility in a NCAA division I softball team (Doctoral dissertation, Auburn University). doi: 10.32469/10315/34345
Hughes, J. R., and John, E. R. (1999). Consciousness, cognition, and the brain. Science 286, 236–240. doi: 10.1126/science.286.5445.236
James-Palmer, A., Anderson, E. Z., Zucker, L., Kofman, Y., and Daneault, J. F. (2020). Yoga as an intervention for the reduction of symptoms of anxiety and depression in children and adolescents: a systematic review. Front. Pediatr. 8:78. doi: 10.3389/fped.2020.00078
Jasper, H. H. (1958). Report of the committee on methods of clinical examination in electroencephalography. Electroencephalogr. Clin. Neurophysiol. 10, 370–375. doi: 10.1016/0013-4694(58)90053-1
Kabat-Zinn, J. (2005). Full catastrophe living: Using the wisdom of your body and mind to face stress, pain, and illness. 15th anniversary Edn. New York: Delta Trade Paperback/Bantam Dell.
Kauts, A., and Sharma, N. (2009). Effect of yoga on academic performance in relation to stress. Int. J. Yoga 2, 39–43. doi: 10.4103/0973-6131.45298
Kertz, S. J., Belden, A. C., Tillman, R., and Luby, J. (2016). Cognitive control deficits in shifting and inhibition in preschool age children are associated with increased depression and anxiety over 7.5 years of development. J. Abnorm. Child Psychol. 44, 1185–1196. doi: 10.1007/s10802-015-0101-0
Khalsa, S. B. S., and Butzer, B. (2016). Yoga in school settings: a research review. Ann. N. Y. Acad. Sci. 1373, 34–49. doi: 10.1111/nyas.12992
Khalsa, S. B., Hickey-Schultz, L., Cohen, D., Steiner, N., and Cope, S. (2012). Evaluation of the mental health benefits of yoga in a secondary school: a preliminary randomized controlled trial. J. Behav. Health Serv. Res. 39, 80–90. doi: 10.1007/s11414-011-9246-7
Khunti, K., Boniface, S., Norris, E., De Oliveira, C. M., and Shelton, N. (2023). The effects of yoga on mental health in school-aged children: a systematic review and narrative synthesis of randomized control trials. Clin. Child Psychol. Psychiatry 28, 1217–1238. doi: 10.1177/1359104523116119
Laufs, H., Kleinschmidt, A., Beyerle, A., Eger, E., Salek-Haddadi, A., Preibisch, C., et al. (2003). EEG-correlated fMRI of human alpha activity. NeuroImage 19, 1463–1476. doi: 10.1016/S1053-8119(03)00286-1
Lin, J., Chan, S. K., Lee, E. H., Chang, W. C., Tse, M., Su, W. W., et al. (2015). Aerobic exercise and yoga improve neurocognitive function in women with early psychosis. NPJ Schizophr. 1, 1–7. doi: 10.1038/s41537-015-0010-6
Malatras, J. W., Israel, A. C., Sokolowski, K. L., and Ryan, J. (2016). First things first: family activities and routines, time management, and attention. J. Appl. Dev. Psychol. 47, 23–29. doi: 10.1016/j.appdev.2016.05.002
Manjunath, N. K., and Telles, S. (2004). Spatial and verbal memory test scores following yoga and fine arts camps for school children. Indian J. Physiol. Pharmacol. 48, 353–356. doi: 10.4103/0019-5545.10670
Metri, K. (2018). School-based yoga program improves mental health and cognitive function in school children: a pilot, cross-sectional study. Ayurveda J. Health 16, 39–45. doi: 10.1016/j.bbii.2024.100102
Miles, M. B., and Huberman, A. M. (1994). Qualitative data analysis: An expanded sourcebook. Thousand Oaks, CA: Sage.
Miller, E. K., and Cohen, J. D. (2001). An integrative theory of prefrontal cortex function. Annu. Rev. Neurosci. 24, 167–202. doi: 10.1146/annurev.neuro.24.1.167
Mirifar, A., Keil, A., Beckmann, J., et al. (2019). No effects of neurofeedback of beta band components on reaction time performance. J. Cogn. Enhanc. 3, 251–260. doi: 10.1007/s41465-018-0093-0
Monk, T. H. (2005). Cognitive performance, sleepiness, and mood in the morning and afternoon. Sleep 28, 225–230. doi: 10.1093/sleep/28.2.225
Morillas-Romero, A., Tortella-Feliu, M., Bornas, X., and Putman, P. (2015). Spontaneous EEG theta/beta ratio and delta-beta coupling in relation to attentional network functioning and self-reported attentional control. Cognit. Affect. Behav. Neurosci. 15, 598–606. doi: 10.3758/s13415-015-0354-7
Nagendra, H., Kumar, V., and Mukherjee, S. (2015). Cognitive behavior evaluation based on physiological parameters among young healthy subjects with yoga as intervention. Comput. Math. Methods Med. 2015:821061. doi: 10.1155/2015/821061
Nanthakumar, C. (2018). The benefits of yoga in children. J. Integr. Med. 16, 14–19. doi: 10.1016/j.joim.2017.11.002
Niedermeyer, E., and Da Silva, F. L. (2004). Electroencephalography: Basic principles, clinical applications, and related fields. 4th Edn. Ambler: Lippincott Williams & Wilkins.
Nilsoge, D., Bagade, A., Tumbigeremutt, V., Kulkarni, P., Rao, S., Arpitha, M., et al. (2016). Evaluation of attention and verbal memory in yoga practicing pre-adolescents: a cross-sectional study. J. Restor. Med. 5, 3–13. doi: 10.1515/jrm-2016-0001
Nitsche, M. A., Koschack, J., Pohlers, H., Hullemann, S., Paulus, W., and Happe, S. (2012). Effects of frontal transcranial direct current stimulation on emotional state and processing in healthy humans. Front. Psychiatry 3:Article 58. doi: 10.3389/fpsyt.2012.00058
Nunez, P. L., and Srinivasan, R. (2006). Electric fields of the brain: The neurophysics of EEG. Oxford: Oxford University Press.
Pal, R., Singh, S., Chatterjee, A., and Saha, M. (2014). Age-related changes in cardiovascular system, autonomic functions, and levels of BDNF of healthy active males: role of yogic practice. Age 36, 1–9. doi: 10.1007/s11357-014-9689-0
Paulus, M. P. (2015). Cognitive control in depression and anxiety: out of control? Curr. Opin. Behav. Sci. 1, 113–120. doi: 10.1016/j.cobeha.2014.10.003
Peker, A., and Olgan, R. (2022). 3-14 yaş arasındaki çocuklara yönelik yoga uygulamalarının sistematik analizi. Yaşadıkça Eğitim 36, 358–383.
Petsche, A. (2016). The effect of yoga on attention in students diagnosed with ADHD (Doctoral dissertation). University of Connecticut.
Picken, C., Clarke, A. R., Barry, R. J., McCarthy, R., and Selikowitz, M. (2019). The theta/beta ratio as an index of cognitive processing in adults with the combined type of attention deficit hyperactivity disorder. Clin. EEG Neurosci. 51, 167–173. doi: 10.1177/1550059419895142
Pineda, J. A. (2005). The functional significance of mu rhythms: translating "seeing" and "hearing" into "doing". Brain Res. Rev. 50, 57–68. doi: 10.1016/j.brainresrev.2005.01.003
Posner, M. I., and Petersen, S. E. (1990). The attention system of the human brain. Annu. Rev. Neurosci. 13, 25–42. doi: 10.1146/annurev.neuro.13.1.25
Putman, P., Van Peer, J., Maimari, I., and Van der Werff, S. (2010). EEG theta/beta ratio in relation to fear-modulated response inhibition, attentional control, and affective traits. Biol. Psychol. 83, 73–78. doi: 10.1016/j.biopsycho.2009.10.008
Putman, P., Verkuil, B., Arias-Garcia, E., Pantazi, I., and Van Schie, C. (2014). EEG theta/beta ratio as a potential biomarker for attentional control and resilience against deleterious effects of stress on attention. Cogn. Affect. Behav. Neurosci. 14, 782–791. doi: 10.3758/s13415-014-0305-0
Sari, A., Koster, E. H., Pourtois, G., and Derakshan, N. (2016). Training working memory to improve attentional control in anxiety: a proof-of-principle study using behavioral and electrophysiological measures. Biol. Psychol. 121, 203–212. doi: 10.1016/j.biopsycho.2016.09.003
Savelsbergh, G. J., Williams, A. M., Van der Kamp, J., and Ward, P. (2002). Visual search, anticipation, and expertise in soccer goal-keepers. J. Sports Sci. 20, 279–287. doi: 10.1080/026404102317284748
Sheppard, J. M., Gabbett, T. J., and Stanganelli, L. C. (2009). An analysis of playing positions in elite men's volleyball: considerations for competition demands and physiologic characteristics. J. Strength Cond. Res. 23, 1858–1866. doi: 10.1519/JSC.0b013e3181b4e8fe
Shipstead, Z., Lindsey, D. R. B., Marshall, R. L., and Engle, R. W. (2014). The mechanisms of working memory capacity: primary memory, secondary memory, and attention control. J. Mem. Lang. 72, 116–141. doi: 10.1016/j.jml.2014.01.002
Sibalis, A. (2017). The impact of mindfulness training on theta and beta power in youth with ADHD: An EEG analysis and methodological considerations (Doctoral dissertation, Toronto Metropolitan University).
Singh, V., and Mutreja, V. (2020). Enhancing executive control: attention to balance, breath, and the speed versus accuracy tradeoff. Front. Psychol. 11:article 1234. doi: 10.3389/fpsyg.2020.01234
Soriotulla, S. K. (2024). Effectiveness of yoga as a stress management technique: a systematic review. National Seminar on integrating Indian knowledge systems into sports and physical education: A holistic approach, Berhampore, Murshidabad.
Srinivasan, R., et al. (2012). EEG source imaging: a practical review of the methodology. NeuroImage 58, 1386–1399. doi: 10.1016/j.neuroimage.2011.11.019
Telles, S., Singh, N., Bhardwaj, A. K., Kumar, A., and Balkrishna, A. (2013). Effect of yoga or physical exercise on physical, cognitive and emotional measures in children: a randomized controlled trial. Child and adolescent psychiatry and mental. Health 7:Article 16. doi: 10.1186/1753-2000-7-16
Turoman, N., Tivadar, R. I., Retsa, C., Maillard, A. M., Scerif, G., and Matusz, P. J. (2021). The development of attentional control mechanisms in multisensory environments. Dev. Cogn. Neurosci. 48:100930. doi: 10.1016/j.dcn.2021.100930
Tzong-Shi, W., Syu-Siang, W., Chang-Li, W., and Shi-Bing, W. (2003). Theta/beta ratio in EEG correlated with attentional capacity assessed by Conners continuous performance test in children with ADHD. Front. Psych. 114, 171–183. doi: 10.3389/fpsyt.2023.1305397
Van Son, D., Angelidis, A., Hagenaars, M. A., Van der Does, W., and Putman, P. (2018). Early and late dot-probe attentional bias to mild and high threat pictures: relations with EEG theta/beta ratio, self-reported trait attentional control, and trait anxiety. Psychophysiology 55:e13274. doi: 10.1111/psyp.13274
van Son, D., De Blasio, F. M., Fogarty, J. S., Angelidis, A., Barry, R. J., and Putman, P. (2019). Frontal EEG theta/beta ratio during mind wandering episodes. Biol. Psychol. 140, 19–27. doi: 10.1016/j.biopsycho.2018.11.003
Vanhatalo, S., and Kaila, K. (2006). Development of neonatal EEG activity: from phenomenology to physiology. Semin. Fetal Neonatal Med. 11, 471–478. doi: 10.1016/j.siny.2006.07.008
Venkateswarlu, C. H., and Begum, S. A. (2023). Impact of yoga practice on well-being among yoga practitioners. J. Re-Attach Therapy Dev. Diversities 6, 43–52. doi: 10.52783/jrtdd.v6i1s.214
Weaver, L. L., and Darragh, A. R. (2015). Systematic review of yoga interventions for anxiety reduction among children and adolescents. Am. J. Occup. Ther. 69, 6906180070p1–6906180070p9. doi: 10.5014/ajot.2015.015425
Wei, H., Chen, L., and Zhao, L. (2024). Can the spontaneous electroencephalography theta/beta power ratio and alpha oscillation measure individuals’ attentional control? Behav. Sci. 14:227. doi: 10.3390/bs14030227
Keywords: kid’s yoga, attention, EEG theta/beta ratio, volleyball athletes, cognitive performance
Citation: Baba Kaya H, Görün L, Alper R, Akpınar S, Koç M, Çelen A, Eroğlu Eskicioğlu Y and Pepe Ş (2025) The effect of kids yoga practices on attention levels and frontal EEG theta/beta ratio. Front. Psychol. 16:1650897. doi: 10.3389/fpsyg.2025.1650897
Edited by:
Miguel-Angel Gomez-Ruano, Universidad Politécnica de Madrid, SpainReviewed by:
R. K. Roshni Raj Lakshmi, Manipur University, IndiaShabnam Rangwala, ADAPT (Formerly The Spastics Society of India), India
Copyright © 2025 Baba Kaya, Görün, Alper, Akpınar, Koç, Çelen, Eroğlu Eskicioğlu and Pepe. This is an open-access article distributed under the terms of the Creative Commons Attribution License (CC BY). The use, distribution or reproduction in other forums is permitted, provided the original author(s) and the copyright owner(s) are credited and that the original publication in this journal is cited, in accordance with accepted academic practice. No use, distribution or reproduction is permitted which does not comply with these terms.
*Correspondence: Hande Baba Kaya, aGFuZGViYWJha2F5YUBkdXpjZS5lZHUudHI=
†Orcid: Hande Baba Kaya, https://orcid.org/0000-0002-9281-2588
Levent Görün, https://orcid.org/0000-0003-1142-3167