- 1Faculty of Sport Sciences, Tokat Gaziosmanpasa University, Tokat, Türkiye
- 2Hasan Dogan Faculty of Sports Sciences, Karabuk University, Karabuk, Türkiye
- 3Universidade Federal de São Paulo, São Paulo, Brazil
- 4Department for Life Quality Studies, University of Bologna, Bologna, Italy
The study compares the effects of different cognitive task durations to induce MF on 4-a-side small-sided soccer games (SSGs) in psychophysiological responses, kinematic profile, and technical performance. Sixteen young soccer players (age: 15.2 ± 0.4 years) randomly performed the mental fatigue (MF) conditions (30-, 45-, and 60-min Stroop Task) and CON sessions (30-, 45-, and 60-min documentary) immediately before a 4-a-side SSGs (4 × 4 min, and 4 min rest). Kinematic profiles were analysed with GPS. Heart rate (HR), the rating of perceived exertion (RPE), MF visual analogue scale, enjoyment, and technical performance were assessed during SSGs. The manipulation checks revealed that players experienced increased MF levels in all MF inducement durations compared with the CON [30-min, CI95%diff = 5.40 (3.20 to 7.50), p < 0.001; 45-min, CI95%diff = 8.30 (6.00 to 10.50), p < 0.001; and 60-min, CI95%diff = 12.3 (10.00 to 14.50); p < 0.001]. Technical performance varied with the duration of MF exposure. Successful pass presented higher values for the CON condition in the 30-min [CI95%diff = 0.68 (0.21 to 1.16); p = 0.035], but remained similar for the 45- [CI95%diff = −0.45 (−1.17 to 0.26); p = 0.523], and 60-min [CI95%diff = 0.67 (−0.08 to 1.43); p = 0.401]. For the unsuccessful pass the CON condition presented lower values in the 30-min [CI95%diff = −2.36 (−2.89 to −1.83); p < 0.001] and 60-min [CI95%diff = −2.80 (−3.63 to −1.97); p < 0.001], but remained similar for the 45- [CI95%diff = −0.47 (−1.03 to 0.09); p = 0.413]. Regarding the one-touch pass, the CON condition presented higher values in the 30- [CI95%diff = 0.63 (0.31 to 0.94); p < 0.001], 45- [CI95%diff = 2.21 (1.76 to 2.64); p < 0.001], and 60-min [CI95%diff = 1.73 (1.26 to 2.19); p < 0.001]. The findings of this study show that the different durations of cognitive tasks significantly affected several internal load metrics and technical performance, but not external load metrics. Understanding the effects of different cognitive task durations during SSGs allows coaches and sports scientists to customize training and recovery programs better, potentially improving player performance.
Introduction
Soccer, one of the most popular sports in the world, combines physicality, psychological, and mental skills (Clemente et al., 2022). Therefore, many coaches and soccer scientists have focused on training methods that simulate competition demands (Arslan et al., 2021). SSGs have transformed soccer training over the past two decades (Ortiz et al., 2023). SSGs are widely practiced to improve team performance behaviours, increase player interactions, while maintaining the game’s structure (Clemente et al., 2022; Silva et al., 2015). They are categorized as skill-based, game-based, or conditioning-based training approaches, reflecting the players’ or team’s requirements of physical, technical/tactical capacities (Hammami et al., 2018; Hill-Haas et al., 2011). In contrast to traditional training demands, SSGs provide movement patterns, technical-tactical awareness, and high-intensity activities in a more enjoyable, effective, and time-efficient manner (Los Arcos et al., 2015; Moran et al., 2019). However, psychophysiological factors, including coaching encouragement, task constraints, and different MF levels might affect SSGs performance and consequently its adaptations (Soylu et al., 2023b; Soylu et al., 2022; Younesi et al., 2021).
MF is a psychobiological state that arises during demanding cognitive tasks, resulting in an acute feeling of tiredness and/or a decreased performance capacity (Habay et al., 2021; Van Cutsem et al., 2017). Four categories affected by MF were identified: physical, technical and tactical, physiological, and perceptual–cognitive parameters (Smith et al., 2016). MF has already been studied within the context of soccer. Previous studies (Ferreira et al., 2024; de Fortes et al., 2023; Kunrath et al., 2020a; Ponce-Bordón et al., 2022) demonstrated that MF significantly impacted players’ decision-making abilities and visual search patterns and led to decreased accuracy, slower reaction times, and game-based technical performance, including shooting, passing, and ball CON. Therefore, understanding the impact of MF empowers coaches and practitioners to implement strategies that manage and mitigate its effects, ultimately optimizing performance on the field.
Recent studies have indicated the task-dependent nature of MF, with demanding cognitive tasks inducing high fatigue levels in a fraction of the time needed for less demanding ones (Boat et al., 2020; Brown et al., 2020). However, previous studies have mainly focused on a fixed duration (tasks requiring sustained attention, working memory, and response inhibition for 30 min) for cognitive tasks that trigger MF and ignored differences in players’ responses to different durations of cognitive effort (Pageaux and Lepers, 2018; Van Cutsem et al., 2017). Brown and Bray (2017) indicated a dose–response relationship between cognitive task duration and the severity of MF, leading to potential task incompletion. Moreover, the evidence regarding the dose–response relationship remains unclear; therefore, more research is needed (Dallaway et al., 2022). Given the evidence that MF can detrimentally affect players’ decision-making and physical performance, particularly during SSGs (González-Víllora et al., 2022; Kunrath et al., 2020a), investigating the differential cognitive duration becomes imperative for optimizing player performance and training strategies (Badin et al., 2016; Filipas et al., 2021a; Kunrath et al., 2020b; Soylu et al., 2022; Trecroci et al., 2020).
MF is known to impair sport performance, with its influence varying depending on task duration and cognitive demands (Van Cutsem et al., 2017). Early studies using long manipulations (≥30–90 min) such as Stroop or vigilance tasks consistently impaired endurance performance and suggested a 30-min threshold (Kunrath et al., 2020b). However, more recent work challenges this assumption, showing that short but demanding tasks can impair performance within 15–20 min (Brown et al., 2020; Dallaway et al., 2022) while some longer tasks produce similar effects (Bian et al., 2025b; Fortes et al., 2019; Marcora et al., 2009). Meta-analyses confirm that effect sizes range from small to moderate depending on task type, duration, and performance domain (Brown et al., 2020; Van Cutsem et al., 2017). In sport contexts, cognitive load has been shown to affect technical performance and decision-making in SSGs (Badin et al., 2016), suggesting that MF’s impact depends on both duration and task difficulty (O’Keeffe et al., 2020). Our study investigated this dose–response pattern by comparing 30, 45, and 60 min of Stroop tasks before SSGs to determine whether longer exposure increases performance decrements in young soccer players. Given the critical need to clarify the specific effects of varying fatigue durations on performance in SSGs, such insights would allow coaches and sports scientists to better tailor training and recovery programs, ultimately enhancing player performance and well-being. Therefore, this study aimed to examine the effects of three different durations of MF inducement (30, 45, and 60 min) on young soccer players’ psychophysiological, kinematic, and technical performance in SSGs.
Methods
Experimental approach
A randomized and counterbalanced crossover design with six experimental sessions assessed the effects of different cognitive task durations on the 4-a-side SSGs. The sessions comprised one familiarization, MF interventions (30-, 45-, and 60-min Stroop Task), and CON sessions (30-, 45-, and 60-min documentary) as seen in Figure 1. Players within a given SSGs bout were exposed to the same pre-SSGs condition (i.e., all fatigued or CON), ensuring that mentally fatigued players never competed against non-fatigued players. The design was a within-subjects crossover, with each participant experiencing all six conditions in balanced and counterbalanced order. Trials were conducted at least 72 h apart to allow recovery and minimize the potential negative effects of fatigue (Nedelec et al., 2012). Additionally, all SSGs performed mini-goals to simulate the physiological demands with offensive and defensive tactics used on the field. MF intervention and SSGs sessions were conducted on a natural grass pitch at a similar time to ensure the chronobiological characteristics (Drust et al., 2005). Before all sessions, players were instructed to avoid moderate- to high-intensity exercise, drink alcohol and caffeine for 24 h, and sleep 7–8 h.
Participants
We performed a priori power analysis using G*Power 3.1. Based on previous studies that have examined how MF affects the technical and physiological performance of soccer players (Badin et al., 2016). We determined that a sample size of n = 14 was necessary. Our study included 16 players, exceeding the required number, thereby ensuring adequate statistical power. Sixteen amateur young male soccer players (age: 15.2 ± 0.4 years, body height: 172 ± 4 cm, body mass: 58.43 ± 5.35 kg; body mass index: 19.69 ± 1.59; body fat % 11.54 ± 3.77) participated in this study during the 2023–2024 pre-season period. Participants were categorized as Tier 2 (trained/developmental) based on their weekly training and competition schedules following McKay et al. (2021) Classification Framework. As the inclusion criteria, each player should have a training workload of > 4 training units per week and have been involved in soccer training and league matches for more than 4 years. In case of injuries, players were excluded from the investigation. Before the beginning of the study, players were fully informed about the procedures and signed an informed consent form. The Tokat Gaziosmanpasa University Research Ethics Committee (26.12.2023/20-06) approved the study conducted in accordance with the Declaration of Helsinki.
Procedures
During the familiarization session, anthropometric values were measured using the bioelectrical impedance measurement (BC-418, Tanita, Tokyo, Japan). The Yo-Yo Intermittent Recovery Test Level-1, a reliable and acoustically CONled progressive test to assess players’ aerobic fitness, which comprises repeated 20 m runs back and forth between the starting, turning, and finishing lines (Bangsbo et al., 2008), was performed. Based on the distances covered in the test, the SSGs teams were ranked to avoid an imbalance in the aerobic fitness levels of the SSGs teams. Before the SSGs, players performed a 15-min warm-up, including jogging, dynamic stretching targeted at the upper and lower limbs, mobility and agility exercises, and soccer-specific ball actions. The game field was a 25 m x 32 m pitch, a familiar size commonly used in training sessions for all participating players. The SSGs were conducted under verbal encouragement and motivation from UEFA-licensed coaches, and balls were placed on the field side for a high play rhythm.
MF protocols
The MF intervention involved watching a documentary (30-, 45-, and 60-min) to induce cognitive fatigue, as demonstrated in previous studies (Faro et al., 2022; Filipas et al., 2021b). The athletes arrived at the club facilities and watched the documentary film prepared in the meeting room for training. Participants completed the cognitively demanding task in a CONled environment (quiet room) with consistent supervision from the same researchers. Neutral documentaries (Marcora et al., 2009; Moreira et al., 2018) are established CON stimuli for MF studies due to their minimal effect on cognition (L. S. Fortes et al., 2019; Lopes et al., 2020) and brain correlates (Franco-Alvarenga et al., 2019). To assess MF, a 100-mm visual analogue scale (VAS) was also reported by players after each SSGs bout. These highly validated and reliable scales were frequently used to measure the level of physical and MF according to previous studies (Faro et al., 2022; Soylu et al., 2022).
Randomization
Sequence generation, allocation concealment, and blinding
The participants were randomly and counterbalancedly assigned to six experimental conditions. They were randomized using a random number table. The allocation was concealed from the researcher who enrolled and assessed participants, and only after the baseline procedures the allocation took place. Blinded researchers performed baseline measurements, and researchers who supervised the SSGs were blinded to the conditions in which the participants were inserted.
SSGs sessions
Anthropometric values were measured using bioelectrical impedance measurements (BC-418; Tanita, Tokyo, Japan). The Yo-Yo Intermittent Recovery Test Level-1 (Yo-Yo IR1), a reliable progressive test for aerobic fitness assessment (Bangsbo et al., 2008), was conducted. Since external load and tempo in SSGs are closely related to aerobic conditioning, we balanced the teams according to Yo-Yo IR1 to minimize running-based imbalances. Therefore, deviations caused by the running capacity were reduced in the technical performance comparisons. In addition, to maintain technical-tactical balance, players were assigned similar roles/positions by the same coach. The players performed a standardized 15-min warm-up including jogging, dynamic stretching, mobility and agility drills, and soccer-specific ball actions before each SSGs. The SSGs (4-a-side with mini-goals) were performed on a natural grass outdoor pitch of 25 × 32 m (length × width), providing a relative playing area of ~ 100 m per player. This pitch dimension matches the formats commonly used in youth soccer training (Soylu et al., 2022). Each session comprised four 4-min bouts with 4-min passive recovery periods, totaling 16 min of play. Standard soccer rules were applied, with the exception of the no-offside rule. The coaches provided verbal encouragement without technical or tactical feedback (Skala and Zemková, 2023). Several balls were placed around the pitch for quick restart. The players were familiar with the SSGs format from their regular training programs.
External load
During experimental and CON sessions in SSGs, global positioning system (GPS) devices with a 10 Hz sampling rate (Catapult Vector S7, Catapult Sports, Australia) were utilized to monitor external loads and have been validated for reliability and accuracy (Crang et al., 2022), allowing for accurate monitoring of an athlete’s movements and calculation of distance covered based on changes in position over time. The metrics derived from each of the Catapult Vector S7 were total distance (m), moderate speed running (14.0–17.9 km·h−1), high speed running (18.0–20.9 km·h−1), and sprinting (above 21.0 km·h−1), total accelerations (>3 m·s−2), Playerload and metabolic power. PlayerloadTM, in arbitrary units (au), quantifies the total effort as the square root of the sum of the squared instantaneous changes in three vectors divided by 100. Metabolic Power (W/kg) estimates the equivalent energy cost of running on a flat surface as if on an inclined surface, considering the mechanical work required for acceleration, deceleration, or directional changes (Walker et al., 2016). The players wore the same GPS devices throughout all SSGs sessions, which were placed right between the players’ upper scapulae.
Internal load
The internal load parameters, including heart rate (HR), average HR (HRmean), the rating of perceived exertion (RPE), exercise enjoyment, and visual analogue scale for MF, were recorded during SSGs. During each SSGs intervention, players wore Bluetooth sensors (Polar H10, Kempele, Finland), recording HR data every 5 s and integrating with the GPS data. The RPE provides a valuable evaluation of the players’ subjective experience of the game’s intensity (Foster et al., 2021). RPE was familiarized to players before study commencement so they could assess their in-task RPE during each SSGs. The scale consists of a range from 6 to 20 to indicate a number on the scale that best represents their subjective rating or evaluation. Before initiating the study, every participant received comprehensive training on properly utilizing the RPE. Players’ subjective MF was evaluated using a 100-mm paper visual analogue scale with anchors. The players are typically presented with a horizontal scale or line, with the left terminus designated as zero (0) to indicate “no fatigue” or “absence of tiredness” and the right terminus labeled as one hundred (100) to represent “extreme fatigue” or “maximum tiredness.” The players were instructed to indicate a point on the line corresponding to their perceived MF level (Soylu et al., 2022). Enjoyment levels were determined by how much players enjoyed exercise during and immediately after SSGs that used the exercise enjoyment scale. Raedeke (2007) scale has eight items and is scored on a 7-point scale and is bipolar. Scale was included items such as ‘I enjoyed it—I hated it’ and ‘I disliked it—I liked it’, providing a validated multidimensional measure of enjoyment in exercise contexts. The highest score that can be obtained from the scale is 56, and the lowest score is 8. Soylu et al. (2023a) adapted the scale for the Turkish athletes. RPE, VAS, and enjoyment scores were systematically recorded immediately following each SSGs, within a 30 to 60-s interval after the final whistle.
Technical performance
Technical activities were recorded in 1080p quality using a Canon HF R806 video camera (Canon, Tokyo, Japan) in each SSGs. E-Analyze Digital Soccer Match Analysis Software was used (Espor Digital, Ankara, Türkiye). Technical performance were coded as follows: successful and unsuccessful pass, interception, and lost ball. The technical performance were assessed by a match and performance analysis coach with more than 3 years of experience.
Statistical analysis
The Generalized Mixed Models (GLzMM) analyzed the main effects and interaction between condition (i.e., CON x MF) and duration (i.e., 30-, 45-, 60-min) for all the analyzed variables. The GLzMM set up as follows: (a) subjects, condition, duration, and interaction were tested in the model as random effects; (b) duration as the within-subject variable; (c) Gamma or Gaussian distributions with identity link function for model type; (d) condition and duration as factors; (e) Akaike Information Criterion for the better-fit model; (f) Wald chi-square statistics as the model effects; (g) Holm post-hoc for pairwise comparisons; and (h) graphic analysis of the residuals (de Melo et al., 2022; Zeger and Liang, 1986). The analyses were made using JAMOVI v2.5.3.0.
Results
The participants completed all six conditions, and no adverse events were reported. The present study includes the effects of MF interventions with different durations on psychophysiological, kinematic, and technical performance in 4-a-side SSGs.
Manipulation check
Visual analogue scale
We found a condition [X2(1,45) = 169.1; p < 0.001] and interaction [X2(1,45) = 18.1; p < 0.001] effects. The main effect of duration [X2(2,45) = 1.7; p = 0.42] was not significant (Figure 2). The CON condition was different from MF in the 30- [CON 30 = 40.0 ± 4.0 mm; MF 30 = 46.0 ± 4.0 mm.; CI95%diff = 5.40 (3.20 to 7.50); p < 0.001], 45- [CON 45 = 40.0 ± 3.0 mm; MF 45 = 49.0 ± 8.0 a.u.; CI95%diff = 8.30 (6.00 to 10.50); p < 0.001], and 60-min [CON 60 = 39.0 ± 4.0 a.u.; MF 60 = 52.0 ± 5.0 a.u.; CI95%diff = 12.3 (10.00 to 14.50); p < 0.001].

Figure 2. Subjective mental fatigue. MF = mental fatigue; CON = control. # = main effect of condition; * different from CON.
Internal load
Rating of perceived exertion
A condition main effect was found [X2(1,45) = 46.5; p < 0.001]. However, the main effect of duration [X2(2,45) = 1.9; p = 0.39] and the interaction effect [X2(2,45) = 1.3; p = 0.52] were not significant (Figure 3a). The CON condition presented lower values compared to MF [CON = 4.0 ± 0.3 a.u.; MF = 4.9 ± 0.7 a.u.; CI95%diff = −0.69 (−0.90 to −0.50)].

Figure 3. Internal load. (a) Enjoyment; (b) RPE; (c) Heart rate. MF = mental fatigue; CON = control; RPE = rating of perceived exertion. # = main effect of condition.
Enjoyment
We found a condition main effect [X2(1,45) = 221.9; p < 0.001]. The main effect of duration [X2(2,45) = 0.2; p = 0.89] and the interaction effect [X2(2,45) = 0.1; p = 0.97] were not significant (Figure 3b). For this variable, the CON condition presented higher values compared to MF [CON = 49.1 ± 3.2 a.u.; MF = 43.7 ± 2.6 a.u.; CI95%diff = 5.30 (4.60 to 6.00)].
Heart rate
We found a condition main effect [X2(1,45) = 150.2; p < 0.001]. The main effect of duration [X2(2,45) = 2.0; p = 0.36] and the interaction effect [X2(2,45) = 2.5; p = 0.29] were not significant (Figure 3c). For heart rate, the CON condition presented lower values compared to MF [CON = 174.1 ± 2.0 bpm; MF = 178.7 ± 3.2 bpm; CI95%diff = −3.83 (−4.45 to −3.22)].
External load
Player load
No effects of condition [X2(1,45) = 0.1; p = 0.87], duration [X2(2,45) = 0.2; p = 0.91], or interaction [X2(2,45) = 0.8; p = 0.67] were found (Figure 4a).

Figure 4. External load. (a) Player load; (b) Velocity; (c) Acceleration; (d) Total distance; (e) MET. MF = mental fatigue; CON = control; MET = metabolic power. # = main effect of condition.
Velocity
No effects of condition [X2(1,45) = 0.5; p = 0.49], duration [X2(2,45) = 0.3; p = 0.84], or interaction [X2(2,45) = 1.3; p = 0.52] were found (Figure 4b).
Acceleration
No effects of condition [X2(1,45) = 2.4; p = 0.12], duration [X2(2,45) = 0.1; p = 0.95], or interaction [X2(2,45) = 0.1; p = 0.94] were found (Figure 4c).
Total distance
We found a condition main effect [X2(1,45) = 38.9; p < 0.001]. The main effect of duration [X2(2,45) = 2.1; p = 0.35] and the interaction effect [X2(2,45) = 2.0; p = 0.36] were not significant (Figure 4d). The CON condition presented higher values compared to MF [CON = 503.0 ± 25.5 m; MF = 488.0 ± 26.6 m; CI95%diff = 14.34 (9.83 to 18.85)].
Metabolic power
No effects of condition [X2(1,45) = 3.0; p = 0.08], duration [X2(2,45) = 1.0; p = 0.59], or interaction [X2(2,45) = 1.4; p = 0.49] were found (Figure 4e).
Technical performance
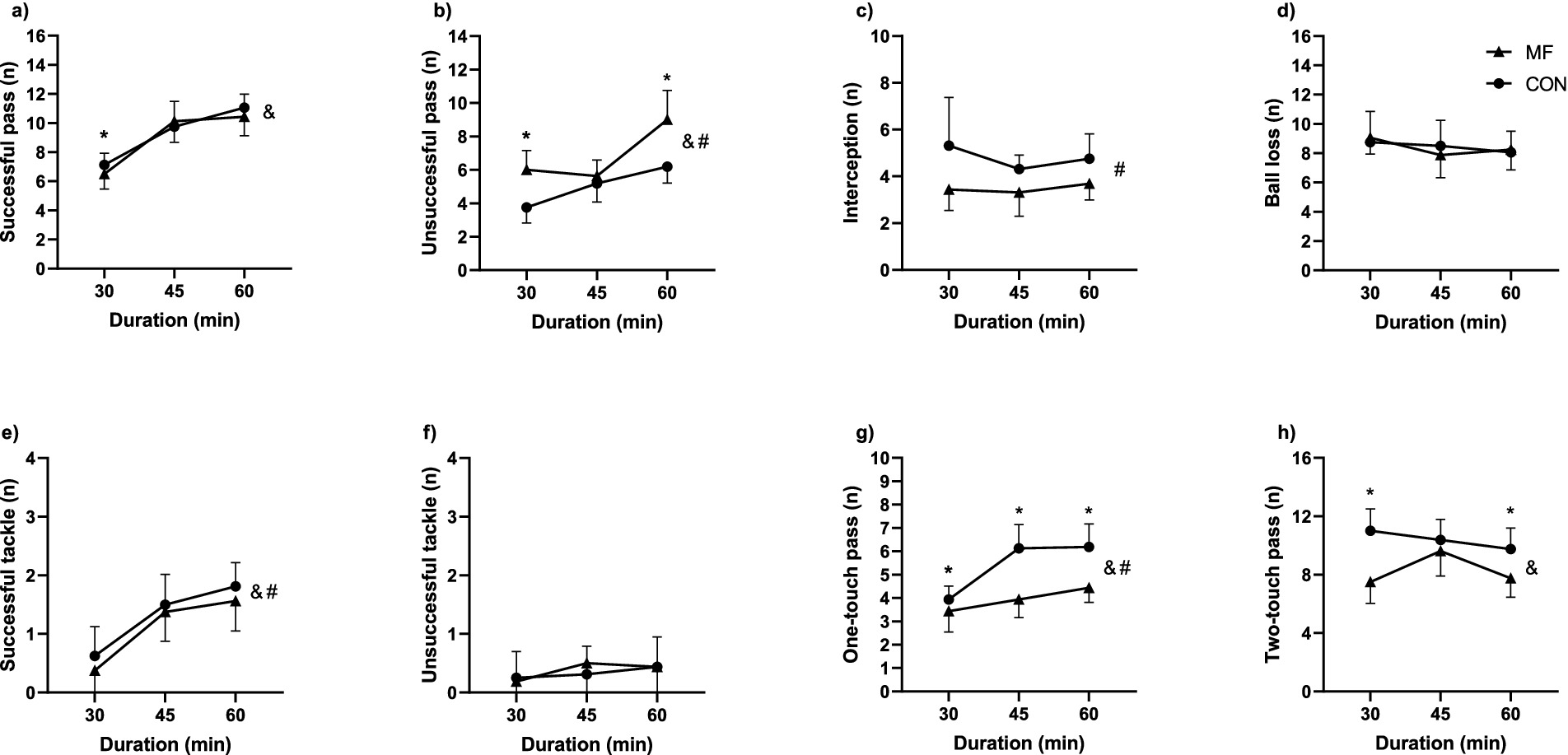
Successful pass
We found a duration [X2(2,45) = 81.3; p < 0.001] and interaction [X2(2,45) = 2.0; p = 0.14] effects, but a condition [X2(1,45) = 2.4; p = 0.12] effect was not found (Figure 5a). The CON condition presented higher values in the 30-min [CON 30 = 7.1 ± 0.8 n; MF 30 = 6.5 ± 1.0 n; CI95%diff = 0.68 (0.21 to 1.16); p = 0.035], but remained similar for the 45- [CON 45 = 9.8 ± 1.7 n; MF 45 = 10.1 ± 1.4 n; CI95%diff = −0.45 (−1.17 to 0.26); p = 0.523], and 60-min [CON 60 = 11.1 ± 0.9 n; MF 60 = 10.4 ± 1.3 n; CI95%diff = 0.67 (−0.08 to 1.43); p = 0.401].

Figure 5. Technical performance. (a) Successful pass; (b) Unsuccessful pass; (c) Interception; (d) Ball loss; (e) Successful tackle; (f) Unsuccessful tackle; (g) One-touch pass; (h) Two-touch pass. # = main effect of condition; & = main effect of duration; * = different from control.
Unsuccessful pass
We found a condition [X2(1,45) = 94.7; p < 0.001], duration [X2(2,45) = 49.1; p < 0.001] and interaction effect [X2(2,45) = 31.0; p < 0.001] (Figure 5b). The CON condition presented lower values in the 30-min [CON 30 = 3.7 ± 0.9 n; MF 30 = 6.0 ± 1.1 n; CI95%diff = −2.36 (−2.89 to −1.83); p < 0.001] and 60-min [CON 60 = 6.2 ± 0.9 n; MF 60 = 9.0 ± 1.7 n; CI95%diff = −2.80 (−3.63 to −1.97); p < 0.001], but remained similar for the 45- [CON 45 = 5.2 ± 1.1 n; MF 45 = 5.6 ± 0.9 n; CI95%diff = −0.47 (−1.03 to 0.09); p = 0.413].
Interception
We found a condition [X2(1,45) = 33.9; p < 0.001] effect, but not a duration [X2(1,45) = 3.4; p = 0.18] or interaction [X2(2,45) = 2.3; p = 0.32] effects (Figure 5c). The CON condition presented higher values compared to MF [CON = 4.8 ± 1.4 n; MF = 3.5 ± 0.9 n; CI95%diff = 1.33 (0.88 to 1.77)].
Ball loss
No effects of condition [X2(1,45) = 0.1; p = 0.87], duration [X2(2,45) = 1.6; p = 0.22], or interaction [X2(2,45) = 1.5; p = 0.24] were found (Figure 5d).
Successful tackle
We found a condition [X2(1,45) = 8.0; p = 0.007] and duration effect [X2(2,45) = 35.8; p < 0.001], but not an interaction effect [X2(2,45) = 0.3; p = 0.72] (Figure 5e). The CON condition presented higher values compared to MF [CON = 1.3 ± 0.7 n; MF = 1.1 ± 0.7 n; CI95%diff = 0.21 (0.06 to 0.35)] as well as the number of successful tackles augmented from 30- to 45- [30-min = 0.5 ± 0.5 n; 45-min = 1.4 ± 0.5 n; CI95%diff = 0.21 (0.06 to 0.35); p < 0.001] and 60-min [30-min = 0.5 ± 0.5 n; 60-min = 1.7 ± 0.4 n; CI95%diff = 0.21 (0.06 to 0.35); p < 0.001].
Unsuccessful tackle
No effects of condition [X2(1,45) = 0.1; p = 0.87], duration [X2(2,45) = 2.1; p = 0.35], or interaction [X2(2,45) = 0.7; p = 0.70] were found (Figure 5f).
One-touch pass
We found significant effects for condition [X2(1,45) = 156.5; p < 0.001], duration [X2(2,45) = 29.1; p < 0.001], and interaction [X2(2,45) = 36.9; p < 0.001] (Figure 5g). The CON condition presented higher values in the 30- [CON 30 = 3.9 ± 0.6 n; MF 30 = 3.4 ± 0.9 n; CI95%diff = 0.63 (0.31 to 0.94); p < 0.001], 45- [CON 45 = 6.1 ± 1.0 n; MF 45 = 3.9 ± 0.8 n; CI95%diff = 2.21 (1.76 to 2.64); p < 0.001], and 60-min [CON 60 = 6.2 ± 1.0 n; MF 60 = 4.4 ± 0.6 n; CI95%diff = 1.73 (1.26 to 2.19); p < 0.001].
Two-touch pass
We found significant effects for condition [X2(1,45) = 79.8; p < 0.001] and interaction [X2(2,45) = 21.4; p < 0.001], but not for duration [X2(2,45) = 4.7; p = 0.09] (Figure 5h). The CON condition presented higher values for the 30- [CON 30 = 11.0 ± 1.5 n; MF 30 = 7.5 ± 1.4 n; CI95%diff = 3.67 (2.83 to 4.51); p < 0.001] and 60-min [CON 60 = 9.8 ± 1.4 n; MF 60 = 7.8 ± 1.3 n; CI95%diff = 2.10 (1.31 to 2.88); p < 0.001], but not for the 45- [CON 45 = 10.4 ± 1.4 n; MF 45 = 9.6 ± 1.7 n; CI95%diff = 0.82 (−0.05 to 1.69); p = 0.33].
Discussion
Our study aimed to investigate the effects of MF on psychophysiological, kinematic, and technical performance in young soccer players exposed to different durations of cognitive interventions (30, 45, and 60 min). The technical performance results showed a statistically significant difference in unsuccessful and one-touch or two-touch passes between the MF and CON conditions. Although no significant changes occurred between 30 and 45 min, a notable decline in technical performance, particularly unsuccessful passes, was evident after 60 min of MF. Considerable variations were observed in the one-touch and two-touch passes at 45–60 min of MF. MF significantly increased the HR compared to that in the CON condition. However, exposure duration (30, 45, and 60 min) alone did not considerably affect HR. Although there was a slight increase in the HR as the duration increased, this change was not statistically significant. Additionally, no significant differences were found in the interaction between the MF and duration. For the manipulation check, visual analogue scale results indicated that MF experienced greater intensity at 60 min compared to 30 and 45 min. Similarly, the perception of effort was high in the MF condition, whereas enjoyment presented reduced levels. The results partially agree with our hypotheses.
Skala and Zemková (2023) reported that fatigue from SSGs in youth soccer players impaired agility, decision-making, and explosive strength, while these effects were not strongly reflected in load variables, indicating that sport-specific fatigue may not be quantified by traditional monitoring. This study revealed that internal and external loads affect MF and found differences between HR and distance. This means that when mentally fatigued, the soccer players ran a shorter distance, although they presented higher HR values. The specific result is uncommon in the literature (Penna et al., 2018; Smith et al., 2016), but it could be explained by the higher stress levels caused by a higher-than-normal perception of effort. In previous studies, physiological parameters such as HR, oxygen volume, and cardiac output remained similar between conditions (Marcora et al., 2009; Smith et al., 2016, 2017; Soylu et al., 2022). However, the tasks were until failure, meaning the dynamics are entirely different from SSGs. Our study and Kunrath et al. (2020a, 2020b) presented contradictory numbers regarding the distance covered. However, the authors explained that this might occur due to a lack of positioning and tactical aspects during a soccer match. In our study, our soccer players covered a shorter distance than the CON group when mentally fatigued, following findings from Smith et al. (2016) and Badin et al. (2016).
The technical performance follow the scientific literature. We found effects for pass and tackle, but not interception and ball loss. Throughout the years, we have observed negative MF effects on passing skills (Badin et al., 2016; Smith et al., 2016, 2017; Soylu et al., 2022). Smith et al. (2016) observed a reduced pass accuracy in the Loughborough passing test following the 30-min Stroop task. Similarly, the same group found impaired pass accuracy following a paper version of the Stroop task (Smith et al., 2017). In line with our findings that MF impaired technical performance but not external load variables, Coutinho et al. (2017) showed that MF in young soccer players reduced tactical synchronization and positioning behaviors while not affecting physical activity, indicating that cognitive fatigue primarily disrupts decision-making rather than locomotor demands. Unlike the previous studies, we analysed different types of passes, such as one- and two-touch passes, showing that more prolonged cognitive effort results in enlarged negative effects. As the impact of the task duration seems to impair only the technical performance of passing, we might speculate that the complexity and accuracy level required to perform a successful pass, different from intercepting and tackling, might require more cognitive resources, making it more susceptible to the negative effects of MF. Additionally, several studies (Badin et al., 2016; Soylu et al., 2022) have found reduced tackle success besides impaired accuracy after inducing MF in soccer players. It corroborates our findings, as we observed only a main effect of condition; the duration of the MF task might not alter the tackle results.
For the manipulation check, we noticed an increase in subjective MF and perception of effort. However, enjoyment levels were reduced in the state of MF. Our study follows the scientific literature, showing that prolonged cognitive tasks that induce MF increase the perception of effort (de Lima-Junior et al., 2024). It might be explained by the psychobiological model (de Morree and Marcora, 2015). Additionally, we observed decreased levels of enjoyment during exercise. Previous studies have investigated the association between MF and enjoyment (Gergelyfi et al., 2015; Sansone et al., 2019). Similarly, our study has demonstrated that an increase in perception of effort levels seems to cause a decrease in enjoyment of a task (Gergelyfi et al., 2015). It could be important mainly in amateur and recreational sports, in which adherence is moderated by enjoyment levels (Gergelyfi et al., 2015; Sansone et al., 2019). The reduction in enjoyment due to MF can be physiologically attributed to increased activation of the prefrontal cortex, which heightens perceived effort and diminishes motivational drive through dopaminergic pathways (de Morree and Marcora, 2015; Marcora et al., 2009). This imbalance between the perceived cost and reward results in decreased task enjoyment. Adolescents may be more susceptible to this effect because of the ongoing maturation of their prefrontal and reward systems (Casey et al., 2008).
Subjective measures such as RPE and enjoyment can be influenced by perceptual bias, this bias reflects the psychobiological impact of MF on motivational-affective responses (Pageaux and Lepers, 2018). It could be important mainly in the context of amateur and recreational aspects of sports, in which adherence is an important factor moderated by enjoyment levels (Gergelyfi et al., 2015; Sansone et al., 2019). Finally, it is important to highlight that more time spent on cognitive tasks might cause greater reduction in performance.
Our findings have practical implications for soccer practitioners. Cognitively demanding activities should be scheduled away from SSGs when technical precision is needed, as even short blocks of decision-heavy tasks, such as Footbonaut, can impair soccer skills despite minimal changes in cognitive measures. When training under cognitive stress, practitioners may use soccer-specific tests such as the Loughborough Soccer Passing Test, which effectively elicits MF. The cognitive dose should match session objectives, as task complexity, contextual interference, and adaptivity significantly influence fatigue. Coaches should use appropriate CON tasks and allow standardized recovery before SSGs to avoid confounding effects. Monitoring both subjective indices (RPE, visual analogue scale) and soccer-specific performance indicators provides a complete picture of player readiness.
Although we presented innovative findings that might help the decision-making of coaches and other soccer professionals, our study presents some limitations. Our participants were young male amateur soccer players, so the generalization to other populations should be made cautiously. We controlled the duration of the intervention but not the level of MF it caused individually, which could have altered the results. We lack motivation measurements, which might be an important covariate regarding MF. Then, future studies should explore different levels of athletes and how they react to different cognitive tasks, as well as how the performance is affected by different levels of MF. Our pre-SSGs manipulation used a Stroop task, providing internal CON, but less representativeness than soccer-specific protocols. Following recent studies (Bian et al., 2025a; Weiler et al., 2025), who used the Loughborough Soccer Passing Test and Footbonaut for ecological validity, future studies should employ sport-specific paradigms with CON tasks. While we tested 30-, 45-, and 60-min exposures under Stroop conditions, Bian et al. (2022) have noticed that duration alone may not reflect dose without considering task difficulty. Future studies should examine different durations with ecological inductions to establish the validity of soccer training.
Conclusion
The present findings demonstrated that varying conditions significantly influenced the participants, particularly concerning internal load and technical performance. Conversely, external loads remained relatively independent of these conditions. Our study demonstrated that the duration of cognitive tasks does not affect the technical aspects of passing in male amateur soccer players. Although we observed the effects of MF on the physical and technical performance of soccer, the impaired performance was observed only for the pass, one-touch pass, and two-touch pass. These results indicate that diverse conditions may modulate players’ cognitive and physical performances. However, the different MF durations did not substantially affect the external loading levels. In this context, assessing internal responses and technical proficiency is particularly important for optimizing players’ performance.
Data availability statement
The datasets presented in this study can be found in online repositories. The names of the repository/repositories and accession number(s) can be found in the article/supplementary material.
Ethics statement
The studies involving humans were approved by Tokat Gaziosmanpasa University Research Ethics Committee (26.12.2023/20-06). The studies were conducted in accordance with the local legislation and institutional requirements. The participants provided their written informed consent to participate in this study.
Author contributions
YS: Writing – review & editing, Conceptualization, Investigation, Writing – original draft, Data curation, Formal analysis, Methodology. EA: Writing – review & editing, Investigation, Data curation, Conceptualization. NA: Data curation, Methodology, Investigation, Writing – review & editing. MA: Investigation, Writing – review & editing, Data curation, Conceptualization. BK: Writing – review & editing, Methodology, Conceptualization, Investigation. TL: Formal analysis, Writing – review & editing, Data curation, Methodology. DL-J: Visualization, Formal analysis, Writing – original draft, Project administration, Data curation, Conceptualization, Methodology, Supervision, Writing – review & editing.
Funding
The author(s) declare that no financial support was received for the research and/or publication of this article.
Conflict of interest
The authors declare that the research was conducted in the absence of any commercial or financial relationships that could be construed as a potential conflict of interest.
The author(s) declared that they were an editorial board member of Frontiers, at the time of submission. This had no impact on the peer review process and the final decision.
Generative AI statement
The author(s) declare that no Gen AI was used in the creation of this manuscript.
Any alternative text (alt text) provided alongside figures in this article has been generated by Frontiers with the support of artificial intelligence and reasonable efforts have been made to ensure accuracy, including review by the authors wherever possible. If you identify any issues, please contact us.
Publisher’s note
All claims expressed in this article are solely those of the authors and do not necessarily represent those of their affiliated organizations, or those of the publisher, the editors and the reviewers. Any product that may be evaluated in this article, or claim that may be made by its manufacturer, is not guaranteed or endorsed by the publisher.
References
Arslan, E., Kilit, B., Clemente, F. M., Soylu, Y., Sögüt, M., Badicu, G., et al. (2021). The effects of exercise order on the psychophysiological responses, physical and technical performances of young soccer players: combined small-sided games and high-intensity interval training. Biology 10:1180. doi: 10.3390/biology10111180
Badin, O. O., Smith, M. R., Conte, D., and Coutts, A. J. (2016). Mental fatigue: impairment of technical performance in small-sided soccer games. Int. J. Sports Physiol. Perform. 11, 1100–1105. doi: 10.1123/ijspp.2015-0710
Bangsbo, J., Iaia, F. M., and Krustrup, P. (2008). The yo-yo intermittent recovery test. Sports Med. 38, 37–51. doi: 10.2165/00007256-200838010-00004
Bian, C., Ali, A., Nassis, G. P., and Li, Y. (2022). Repeated interval Loughborough soccer passing tests: an ecologically valid motor task to induce mental fatigue in soccer. Front. Physiol. 12:803528. doi: 10.3389/fphys.2021.803528
Bian, C., Russell, S., De Pauw, K., Habay, J., Bogataj, Š., and Roelands, B. (2025a). Understanding of mental fatigue in elite fencing sports: perspectives from Chinese national level fencers. Front. Psychol. 16:1512326. doi: 10.3389/fpsyg.2025.1512326
Bian, C., Russell, S., Mali, A., Lathouwers, E., De Pauw, K., Habay, J., et al. (2025b). Methodological considerations and effectiveness for ecologically valid mental fatigue inducement in sports: a systematic review. Sports Med. Open 11:82. doi: 10.1186/s40798-025-00891-0
Boat, R., Hunte, R., Welsh, E., Dunn, A., Treadwell, E., and Cooper, S. B. (2020). Manipulation of the duration of the initial self-control task within the sequential-task paradigm: effect on exercise performance. Front. Neurosci. 14:571312. doi: 10.3389/fnins.2020.571312
Brown, D. M. Y., and Bray, S. R. (2017). Graded increases in cognitive control exertion reveal a threshold effect on subsequent physical performance. Sport Exerc. Perform. Psychol. 6, 355–369. doi: 10.1037/spy0000091
Brown, D. M. Y., Graham, J. D., Innes, K. I., Harris, S., Flemington, A., and Bray, S. R. (2020). Effects of prior cognitive exertion on physical performance: a systematic review and Meta-analysis. Sports Med. 50, 497–529. doi: 10.1007/s40279-019-01204-8
Casey, B. J., Getz, S., and Galvan, A. (2008). The adolescent brain. Dev. Rev. 28, 62–77. doi: 10.1016/j.dr.2007.08.003
Clemente, F. M., Aquino, R., Praça, G. M., Rico-González, M., Oliveira, R., Silva, A. F., et al. (2022). Variability of internal and external loads and technical/tactical outcomes during small-sided soccer games: a systematic review. Biol. Sport 39, 647–672. doi: 10.5114/biolsport.2022.107016
Coutinho, D., Gonçalves, B., Travassos, B., Wong, D. P., Coutts, A. J., and Sampaio, J. E. (2017). Mental fatigue and spatial references impair soccer players’ physical and tactical performances. Front. Psychol. 8:1645. doi: 10.3389/fpsyg.2017.01645
Crang, Z. L., Duthie, G., Cole, M. H., Weakley, J., Hewitt, A., and Johnston, R. D. (2022). The inter-device reliability of global navigation satellite systems during team sport movement across multiple days. J. Sci. Med. Sport 25, 340–344. doi: 10.1016/j.jsams.2021.11.044
Dallaway, N., Lucas, S. J. E., and Ring, C. (2022). Cognitive tasks elicit mental fatigue and impair subsequent physical task endurance: effects of task duration and type. Psychophysiology 59:14126. doi: 10.1111/psyp.14126
de Fortes, L. S., Barbosa, B. T., Mortatti, A. L., Moreira, A., and Ferreira, M. E. C. (2023). Effect of mental fatigue on decision-making skill during simulated congested match schedule in professional soccer athletes. Curr. Psychol. 43:0123456789. doi: 10.1007/s12144-023-04437-z
de Lima-Junior, D., Gantois, P., Nakamura, F. Y., Marcora, S. M., Batista, G. R., Bartolomei, S., et al. (2024). Mental fatigue impairs the number of repetitions to muscular failure in the half back-squat exercise for low- and mid- but not high-intensity resistance exercise. Eur. J. Sport Sci. 24, 395–404. doi: 10.1002/ejsc.12029
de Melo, M. B., Daldegan-Bueno, D., Menezes Oliveira, M. G., and de Souza, A. L. (2022). Beyond ANOVA and MANOVA for repeated measures: advantages of generalized estimated equations and generalized linear mixed models and its use in neuroscience research. Eur. J. Neurosci. 56, 6089–6098. doi: 10.1111/ejn.15858
de Morree, H. M., and Marcora, S. M. (2015). “Psychobiology of perceived effort during physical tasks” in Handbook of biobehavioral approaches to self-regulation. eds. G. H. E. Gendolla, M. Tops, and S. L. Koole (New York: Springer), 255–270.
Drust, B., Waterhouse, J., Atkinson, G., Edwards, B., and Reilly, T. (2005). Circadian rhythms in sports performance—an update. Chronobiol. Int. 22, 21–44. doi: 10.1081/CBI-200041039
Faro, H., de Fortes, L. S., Lima-Junior, D., Barbosa, B. T., Ferreira, M. E. C., and Almeida, S. S. (2022). Sport-based video game causes mental fatigue and impairs visuomotor skill in male basketball players. Int. J. Sport Exerc. Psychol. 21, 1125–1139. doi: 10.1080/1612197X.2022.2109187
Ferreira, M. E. C., Lima-Junior, D., Faro, H., Roelands, B., and Fortes, L. S. (2024). Prolonged cognitive effort impairs inhibitory control and causes significant mental fatigue after an endurance session with an auditive distractor in professional soccer players. Psychol. Sport Exerc. 70:102533. doi: 10.1016/j.psychsport.2023.102533
Filipas, L., Borghi, S., La Torre, A., and Smith, M. R. (2021a). Effects of mental fatigue on soccer-specific performance in young players. Sci. Med. Footb. 5, 150–157. doi: 10.1080/24733938.2020.1823012
Filipas, L., Ferioli, D., Banfi, G., La Torre, A., and Vitale, J. A. (2021b). Single and combined effect of acute sleep restriction and mental fatigue on basketball free-throw performance. Int. J. Sports Physiol. Perform. 16, 415–420. doi: 10.1123/ijspp.2020-0142
Fortes, L. S., Lima-Junior, D., Nascimento-Júnior, J. R. A., Costa, E. C., Matta, M. O., and Ferreira, M. E. C. (2019). Effect of exposure time to smartphone apps on passing decision-making in male soccer athletes. Psychol. Sport Exerc. 44, 35–41. doi: 10.1016/j.psychsport.2019.05.001
Foster, C., Boullosa, D., McGuigan, M., Fusco, A., Cortis, C., Arney, B. E., et al. (2021). 25 years of session rating of perceived exertion: historical perspective and development. Int. J. Sports Physiol. Perform. 16, 612–621. doi: 10.1123/ijspp.2020-0599
Franco-Alvarenga, P. E., Brietzke, C., Canestri, R., Goethel, M. F., Hettinga, F., Santos, T. M., et al. (2019). Caffeine improved cycling trial performance in mentally fatigued cyclists, regardless of alterations in prefrontal cortex activation. Physiol. Behav. 204, 41–48. doi: 10.1016/j.physbeh.2019.02.009
Gergelyfi, M., Jacob, B., Olivier, E., and Zénon, A. (2015). Dissociation between mental fatigue and motivational state during prolonged mental activity. Front. Behav. Neurosci. 9, 1–15. doi: 10.3389/fnbeh.2015.00176
González-Víllora, S., Prieto-Ayuso, A., Cardoso, F., and Teoldo, I. (2022). The role of mental fatigue in soccer: a systematic review. Int. J. Sports Sci. Coach. 17, 903–916. doi: 10.1177/17479541211069536
Habay, J., Van Cutsem, J., Verschueren, J., De Bock, S., Proost, M., De Wachter, J., et al. (2021). Mental fatigue and sport-specific psychomotor performance: a systematic review. Sports Med. 51, 1527–1548. doi: 10.1007/s40279-021-01429-6
Hammami, A., Gabbett, T. J., Slimani, M., and Bouhlel, E. (2018). Does small-sided games training improve physical fitness and team-sport-specifc skills? A systematic review and meta-analysis. J. Sports Med. Phys. Fitness 58, 1446–1455. doi: 10.23736/S0022-4707.17.07420-5
Hill-Haas, S. V., Dawson, B., Impellizzeri, F. M., and Coutts, A. J. (2011). Physiology of small-sided games training in football a systematic review. Sports Med. 41, 199–220. doi: 10.2165/11539740-000000000-00000
Kunrath, C. A., Cardoso, F. d. S. L., Calvo, T. G., da Costa, I. T., García-Calvo, T., and Teoldo, I. (2020a). Mental fatigue in soccer: a systematic review. Rev. Bras. Med. Esporte 26, 172–178. doi: 10.1590/1517-869220202602208206
Kunrath, C. A., Nakamura, F. Y., Roca, A., Tessitore, A., and Teoldo Da Costa, I. (2020b). How does mental fatigue affect soccer performance during small-sided games? A cognitive, tactical and physical approach. J. Sports Sci. 38, 1818–1828. doi: 10.1080/02640414.2020.1756681
Lopes, T. R., Oliveira, D. M., Simurro, P. B., Akiba, H. T., Nakamura, F. Y., Okano, A. H., et al. (2020). No sex difference in mental fatigue effect on high-level runners’ aerobic performance. Med. Sci. Sports Exerc. 52, 2207–2216. doi: 10.1249/MSS.0000000000002346
Los Arcos, A., Vázquez, J. S., Martín, J., Lerga, J., Sánchez, F., Villagra, F., et al. (2015). Effects of small-sided games vs. interval training in aerobic fitness and physical enjoyment in young elite soccer players. PLoS One 10:e0137224. doi: 10.1371/journal.pone.0137224
Marcora, S. M., Staiano, W., and Manning, V. (2009). Mental fatigue impairs physical performance in humans. J. Appl. Physiol. 106, 857–864. doi: 10.1152/japplphysiol.91324.2008
McKay, A. K. A., Stellingwerff, T., Smith, E. S., Martin, D. T., Mujika, I., Goosey-Tolfrey, V. L., et al. (2021). Defining training and performance caliber: a participant classification framework.
Moran, J., Blagrove, R. C., Drury, B., Fernandes, J. F. T., Paxton, K., Chaabene, H., et al. (2019). Effects of small-sided games vs. conventional endurance training on endurance performance in male youth soccer players: a meta-analytical comparison. Sports Med. 49, 731–742. doi: 10.1007/s40279-019-01086-w
Moreira, A., Aoki, M. S., Franchini, E., da Silva Machado, D. G., Paludo, A. C., and Okano, A. H. (2018). Mental fatigue impairs technical performance and alters neuroendocrine and autonomic responses in elite young basketball players. Physiol. Behav. 196, 112–118. doi: 10.1016/j.physbeh.2018.08.015
Nedelec, M., Wisloff, U., McCall, A., Berthoin, S., and Dupont, G. (2012). Recovery after an intermittent test. Int. J. Sports Med. 34, 554–558. doi: 10.1055/s-0032-1316364
O’Keeffe, K., Hodder, S., and Lloyd, A. (2020). A comparison of methods used for inducing mental fatigue in performance research: individualised, dual-task and short duration cognitive tests are most effective. Ergonomics 63, 1–12. doi: 10.1080/00140139.2019.1687940
Ortiz, M., Meroño, L., Morales-Belando, M. T., Vaquero-Cristóbal, R., and González-Gálvez, N. (2023). Teaching games for understanding in game performance and psychosocial variables: systematic review and meta-analysis of randomized control trial. Children 10:573. doi: 10.3390/children10030573
Pageaux, B., and Lepers, R. (2018). “The effects of mental fatigue on sport-related performance” in Progress in brain research. Eds. S. Marcora and M. Sarkar. 1st ed (Elsevier B.V), 240, 291–315. doi: 10.1016/bs.pbr.2018.10.004
Penna, E. M., Filho, E., Wanner, S. P., Campos, B. T., Quinan, G. R., Mendes, T. T., et al. (2018). Mental fatigue impairs physical performance in young swimmers. Pediatr. Exerc. Sci. 30, 208–215. doi: 10.1123/pes.2017-0128
Ponce-Bordón, J. C., García-Calvo, T., López-Gajardo, M. A., Díaz-García, J., and González-Ponce, I. (2022). How does the manipulation of time pressure during soccer tasks influence physical load and mental fatigue? Psychol. Sport Exerc. 63:102253. doi: 10.1016/j.psychsport.2022.102253
Raedeke, T. D. (2007). The relationship between enjoyment and affective responses to exercise. J. Appl. Sport Psychol. 19, 105–115. doi: 10.1080/10413200601113638
Sansone, P., Tessitore, A., Lukonaitiene, I., Paulauskas, H., Tschan, H., and Conte, D. (2019). Technical-tactical profile, perceived exertion, mental demands and enjoyment of different tactical tasks and training regimes in basketball small-sided games. Biol. Sport 37, 15–23. doi: 10.5114/biolsport.2020.89937
Silva, P., Esteves, P., Correia, V., Davids, K., Araújo, D., and Garganta, J. (2015). Effects of manipulations of player numbers vs. field dimensions on inter-individual coordination during small-sided games in youth football. Int. J. Perform. Anal. Sport 15, 641–659. doi: 10.1080/24748668.2015.11868821
Skala, F., and Zemková, E. (2023). Neuromuscular and perceptual-cognitive response to 4v4 small-sided game in youth soccer players. Front. Physiol. 14:1260096. doi: 10.3389/fphys.2023.1260096
Smith, M. R., Coutts, A. J., Merlini, M., Deprez, D., Lenoir, M., and Marcora, S. M. (2016). Mental fatigue impairs soccer-specific physical and technical performance. Med. Sci. Sports Exerc. 48, 267–276. doi: 10.1249/MSS.0000000000000762
Smith, M. R., Fransen, J., Deprez, D., Lenoir, M., and Coutts, A. J. (2017). Impact of mental fatigue on speed and accuracy components of soccer-specific skills. Sci. Med. Footb. 1, 48–52. doi: 10.1080/02640414.2016.1252850
Soylu, Y., Arslan, E., and Kilit, B. (2023a). Exercise and enjoyment: a scale adaptation study for adolescents and adults athletes. SPORMETRE J. Phys. Educ. Sport Sci. 21, 93–104. doi: 10.33689/spormetre.1183236
Soylu, Y., Arslan, E., Kilit, B., and Lane, A. M. (2023b). Effects of coach encouragement on psychophysiological responses and technical actions in different small-sided soccer games. Int. J. Sport Exerc. Psychol. 22, 2169–2181. doi: 10.1080/1612197X.2023.2273274
Soylu, Y., Ramazanoglu, F., Arslan, E., and Clemente, F. (2022). Effects of mental fatigue on the psychophysiological responses, kinematic profiles, and technical performance in different small-sided soccer games. Biol. Sport 39, 965–972. doi: 10.5114/biolsport.2022.110746
Trecroci, A., Boccolini, G., Duca, M., Formenti, D., and Alberti, G. (2020). Mental fatigue impairs physical activity, technical and decision-making performance during small-sided games. PLoS One 15:e0238461. doi: 10.1371/journal.pone.0238461
Van Cutsem, J., Marcora, S., De Pauw, K., Bailey, S., Meeusen, R., and Roelands, B. (2017). The effects of mental fatigue on physical performance: a systematic review. Sports Med. 47, 1569–1588. doi: 10.1007/s40279-016-0672-0
Walker, E. J., McAinch, A. J., Sweeting, A., and Aughey, R. J. (2016). Inertial sensors to estimate the energy expenditure of team-sport athletes. J. Sci. Med. Sport 19, 177–181. doi: 10.1016/j.jsams.2015.01.013
Weiler, H., Ennigkeit, F., Spielmann, J., and Englert, C. (2025). Increasing ecological validity in mental fatigue research—a Footbonaut study. Front. Psychol. 16:1586944. doi: 10.3389/fpsyg.2025.1586944
Younesi, S., Rabbani, A., Manuel Clemente, F., Sarmento, H., and Figueiredo, A. (2021). Session-to-session variations of internal load during different small-sided games: a study in professional soccer players. Res. Sports Med. 29, 462–474. doi: 10.1080/15438627.2021.1888103
Keywords: mental fatigue, game-based training, cognitive fatigue, football, game skill, game manipulation
Citation: Soylu Y, Arslan E, Akçay N, Akgul MS, Kilit B, Lopes TR and de Lima-Junior D (2025) Effects of mental fatigue on psychophysiological responses, kinematic variables and technical actions in small-sided soccer games: a time course analysis. Front. Psychol. 16:1654701. doi: 10.3389/fpsyg.2025.1654701
Edited by:
Hongyou Liu, South China Normal University, ChinaReviewed by:
Chao Bian, Vrije University Brussels, BelgiumFilip Skala, Comenius University, Slovakia
Copyright © 2025 Soylu, Arslan, Akçay, Akgul, Kilit, Lopes and de Lima-Junior. This is an open-access article distributed under the terms of the Creative Commons Attribution License (CC BY). The use, distribution or reproduction in other forums is permitted, provided the original author(s) and the copyright owner(s) are credited and that the original publication in this journal is cited, in accordance with accepted academic practice. No use, distribution or reproduction is permitted which does not comply with these terms.
*Correspondence: Dalton de Lima-Junior, bGltYWp1bmlvci5kYWx0b25AZ21haWwuY29t