ORIGINAL RESEARCH article
Front. Psychol.
Sec. Personality and Social Psychology
This article is part of the Research TopicInvestigating the Integration of Family Functioning and Perinatal PsychiatryView all 3 articles
Personality masks of mothers of young children: Measure development and parenting behavior impact
Provisionally accepted- 1Shaoxing University School of Education and Psychology, Shaoxing, China
- 2Shaoxing University School of Medicine, Shaoxing, China
Select one of your emails
You have multiple emails registered with Frontiers:
Notify me on publication
Please enter your email address:
If you already have an account, please login
You don't have a Frontiers account ? You can register here
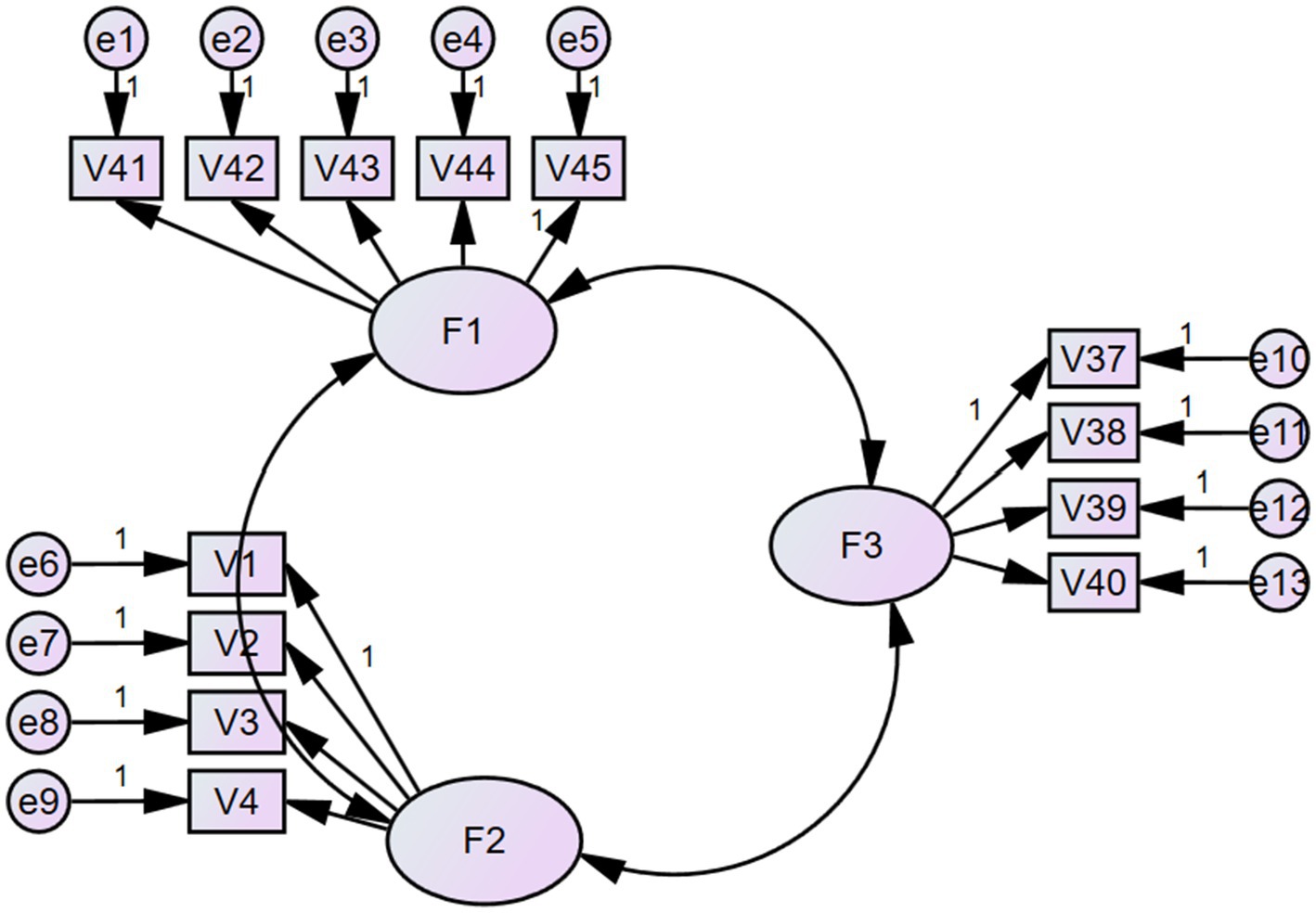
This study developed an instrument to assess the personality masks of mothers of young children and explore their relationship with parenting behaviors. Data were collected using questionnaires, implicit memory experiments, and factor analysis. The findings revealed that the structure of personality masks consists of collective ideals, personal ideals, and physical and mental qualities, with a balanced structure but differences between conscious and unconscious levels of expression. A correlation was also found between personality masks and parenting behaviors. Improving mothers' environmental adaptability and parenting skills while reducing role strain is crucial for children's development. These findings highlight the importance of understanding mothering roles and parenting behaviors, providing valuable insights for policymakers, healthcare professionals, and parents to create supportive environments and implement strategies that enhance child development and family well-being. This research has societal significance by promoting healthy parent–child relationships and fostering children's optimal growth and development.
Keywords: Mothers, Personality masks, Parenting behavior, Child Development, family well-being
Received: 28 Jul 2025; Accepted: 04 Nov 2025.
Copyright: © 2025 Li, Yan, Fang, Xu, Sun and Shen. This is an open-access article distributed under the terms of the Creative Commons Attribution License (CC BY). The use, distribution or reproduction in other forums is permitted, provided the original author(s) or licensor are credited and that the original publication in this journal is cited, in accordance with accepted academic practice. No use, distribution or reproduction is permitted which does not comply with these terms.
* Correspondence: Ruiqian Li, 390142078@qq.com
Disclaimer: All claims expressed in this article are solely those of the authors and do not necessarily represent those of their affiliated organizations, or those of the publisher, the editors and the reviewers. Any product that may be evaluated in this article or claim that may be made by its manufacturer is not guaranteed or endorsed by the publisher.
