BRIEF RESEARCH REPORT article
Front. Psychol.
Sec. Addictive Behaviors
This article is part of the Research TopicSimilarities and Differences Between Substance-Related and Non-Substance-Related Addictive BehaviorsView all 4 articles
Verbal memory dysfunction in substance use and gambling addictive disorders: a comparative analysis of performance accuracy and error typologies
Provisionally accepted- 1Department of Psychology, Catholic University of the Sacred Heart, Milano, Italy
- 2Aziende Socio Sanitarie Territoriale Fatebenefratelli Sacco, Milan, Italy
Select one of your emails
You have multiple emails registered with Frontiers:
Notify me on publication
Please enter your email address:
If you already have an account, please login
You don't have a Frontiers account ? You can register here
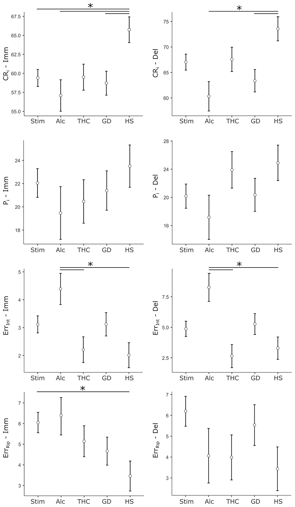
Addiction is increasingly recognized as a disorder involving not only reward dysregulation but also alterations in core cognitive processes, including learning and memory. Although various studies have documented memory impairments in substance-use and behavioural addictions, evidence remains inconsistent – particularly regarding verbal memory deficits and the diagnostic relevance of specific recall error types. This study investigated immediate and delayed verbal memory performance and error patterns in 515 individuals, including patients with stimulant use disorder, alcohol use disorder, cannabis use disorder, or gambling disorder, and a healthy control group. Participants completed a digitized neurocognitive screening battery, which provided not only global performance indices but also specific error metrics. ANCOVA models controlling for age and sex revealed significantly lower correct recall scores in stimulant, alcohol, and gambling disorder groups compared to controls, across immediate and delayed trials. Alcohol use disorder was associated with elevated intrusion errors – suggesting inhibitory and interference suppression deficits – while stimulant use was linked to increased repetition errors – suggesting impaired monitoring and impulsive retrieval. Gambling disorder mirrored the overall performance decline of substance-related disorders but did not exhibit elevated error rates, pointing to a partially distinct cognitive profile. These findings highlight the value of combining global performance measures with qualitative error analysis in the assessment of memory function in addiction. By differentiating between types of recall errors, clinicians may better identify disorder-specific cognitive signatures, supporting more refined diagnostics and intervention strategies. The results further support the applicability of advanced neurocognitive tools for neuropsychological assessment in psychiatry.
Keywords: substance use disorder, gambling disorder, Addiction, neurocognitive screening, Memory, Learning, error analysis
Received: 31 Jul 2025; Accepted: 15 Oct 2025.
Copyright: © 2025 Crivelli, Losasso, Riccardi, Scaramuzzino, Zita and Balconi. This is an open-access article distributed under the terms of the Creative Commons Attribution License (CC BY). The use, distribution or reproduction in other forums is permitted, provided the original author(s) or licensor are credited and that the original publication in this journal is cited, in accordance with accepted academic practice. No use, distribution or reproduction is permitted which does not comply with these terms.
* Correspondence: Davide Crivelli, davide.crivelli@unicatt.it
Disclaimer: All claims expressed in this article are solely those of the authors and do not necessarily represent those of their affiliated organizations, or those of the publisher, the editors and the reviewers. Any product that may be evaluated in this article or claim that may be made by its manufacturer is not guaranteed or endorsed by the publisher.
