ORIGINAL RESEARCH article
Front. Psychol.
Sec. Sport Psychology
This article is part of the Research TopicEmotional Intelligence in Youth Sports: Enhancing Performance, Coaching, and Well-BeingView all 8 articles
Association Between Soy Product Consumption, Duration of Physical Exercise, and Psychological Symptoms Among Tibetan College Students: A Cross-Sectional Study in High-Altitude Regions of China
Provisionally accepted- 1School of Life Science and Agricultural Engineering, Nanyang Normal University, Nanyang, China
- 2Nanyang Vocational College of Agriculture, Nanyang, China
- 3Nanyang Institute of Technology, Nanyang, China
Select one of your emails
You have multiple emails registered with Frontiers:
Notify me on publication
Please enter your email address:
If you already have an account, please login
You don't have a Frontiers account ? You can register here
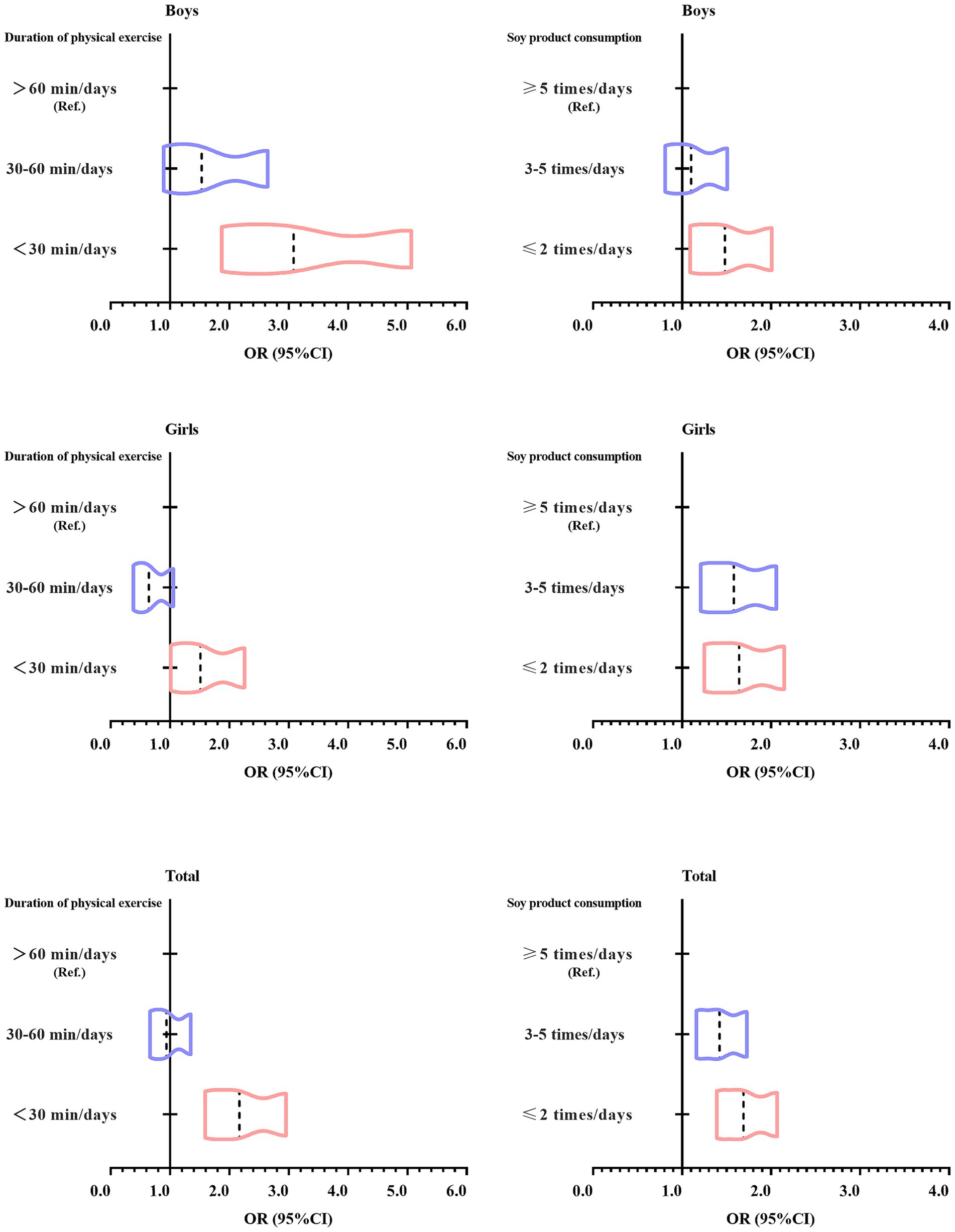
Background: The prevalence of psychological symptoms among college students continues to rise, becoming a significant public health issue worldwide. The occurrence of psychological symptoms is closely associated with dietary behaviors and physical exercise. However, few studies have examined the association between soy product consumption, duration of physical exercise, and psychological symptoms among Tibetan college students in high-altitude regions. Methods This study employed stratified cluster sampling to conduct a cross-sectional questionnaire survey on soy product consumption, duration of physical exercise, and psychological symptoms among 7,070 Tibetan college students aged 19-22 in China's high-altitude regions. Associations among these variables were analyzed using univariate analysis, binary logistic regression analysis, and generalized linear model-based binary logistic regression analysis. Results Among Tibetan college students in China's high-altitude regions, the proportions consuming soy products consumption ≤2 times/day, 3-5 times/day, and ≥5 times/day were 38.7%, 40.2%, and 21.1%, respectively. Duration of physical exercise was <30 min/day, 30-60 min/day, and >60 min/day in 74.2%, 17.9%, and 8.0% of participants, respectively. The prevalence of psychological symptoms among Tibetan college students in China's high-altitude regions was 16.6%. The prevalence of psychological symptoms was lower among boys (14.6%) than girls (18.2%), with a statistically significant difference (χ² = 16.622, P< 0.001). Adjusted binary logistic regression analysis using generalized linear models showed that, with the group consuming soy products consumption ≥5 times/day and duration of physical exercise >60 min/day as the reference group, the group with soy product consumption ≤2 times/day and duration of physical exercise <30 min/day had the highest risk of depressive symptoms (OR=4.32, 95% CI: 2.49–7.51) (P<0.001). Conclusions: There is an association between soy product consumption, duration of physical exercise, and psychological symptoms among Tibetan college students in China's high-altitude regions. Those with a higher frequency of soy product consumption and longer duration of physical exercise exhibit lower prevalence of psychological symptoms. Future prevention and intervention strategies for psychological symptoms should incorporate soy product consumption and duration of physical exercise as factors to better promote the mental health development of Tibetan college students.
Keywords: Soy product consumption, Duration of physical exercise, Psychological symptoms, Tibetan, High-altitude regions
Received: 02 Sep 2025; Accepted: 30 Oct 2025.
Copyright: © 2025 Zhang, Liu and Li. This is an open-access article distributed under the terms of the Creative Commons Attribution License (CC BY). The use, distribution or reproduction in other forums is permitted, provided the original author(s) or licensor are credited and that the original publication in this journal is cited, in accordance with accepted academic practice. No use, distribution or reproduction is permitted which does not comply with these terms.
* Correspondence: Yufeng Zhang, ojuistgh@163.com
Disclaimer: All claims expressed in this article are solely those of the authors and do not necessarily represent those of their affiliated organizations, or those of the publisher, the editors and the reviewers. Any product that may be evaluated in this article or claim that may be made by its manufacturer is not guaranteed or endorsed by the publisher.
