ORIGINAL RESEARCH article
Front. Psychol.
Sec. Performance Science
This article is part of the Research TopicThe Arts Combined: Cognitive, Neural, and Evolutionary Connections Among the ArtsView all 3 articles
Rainbows in my ears—Synesthetic color perception with partial-reduced and morphed musical instrument timbres
Provisionally accepted- 1University of Vienna, Vienna, Austria
- 2The University of Melbourne, Melbourne, Australia
- 3University of Sussex, Brighton, United Kingdom
Select one of your emails
You have multiple emails registered with Frontiers:
Notify me on publication
Please enter your email address:
If you already have an account, please login
You don't have a Frontiers account ? You can register here
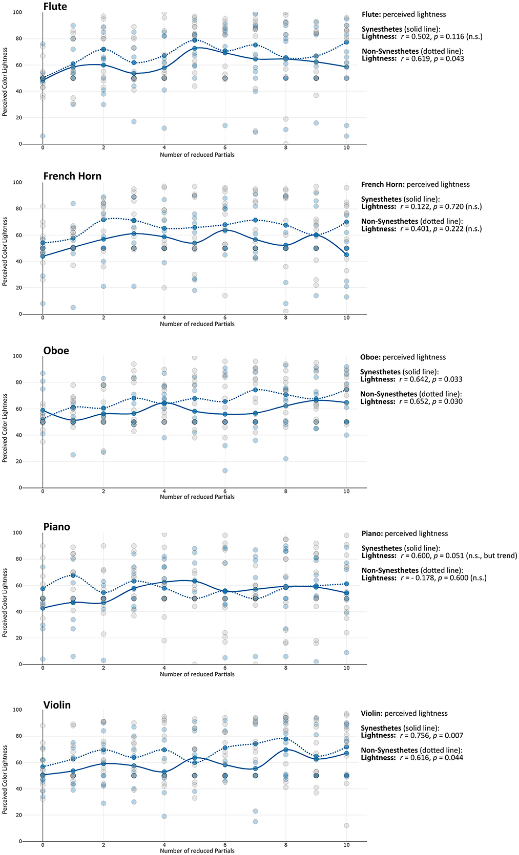
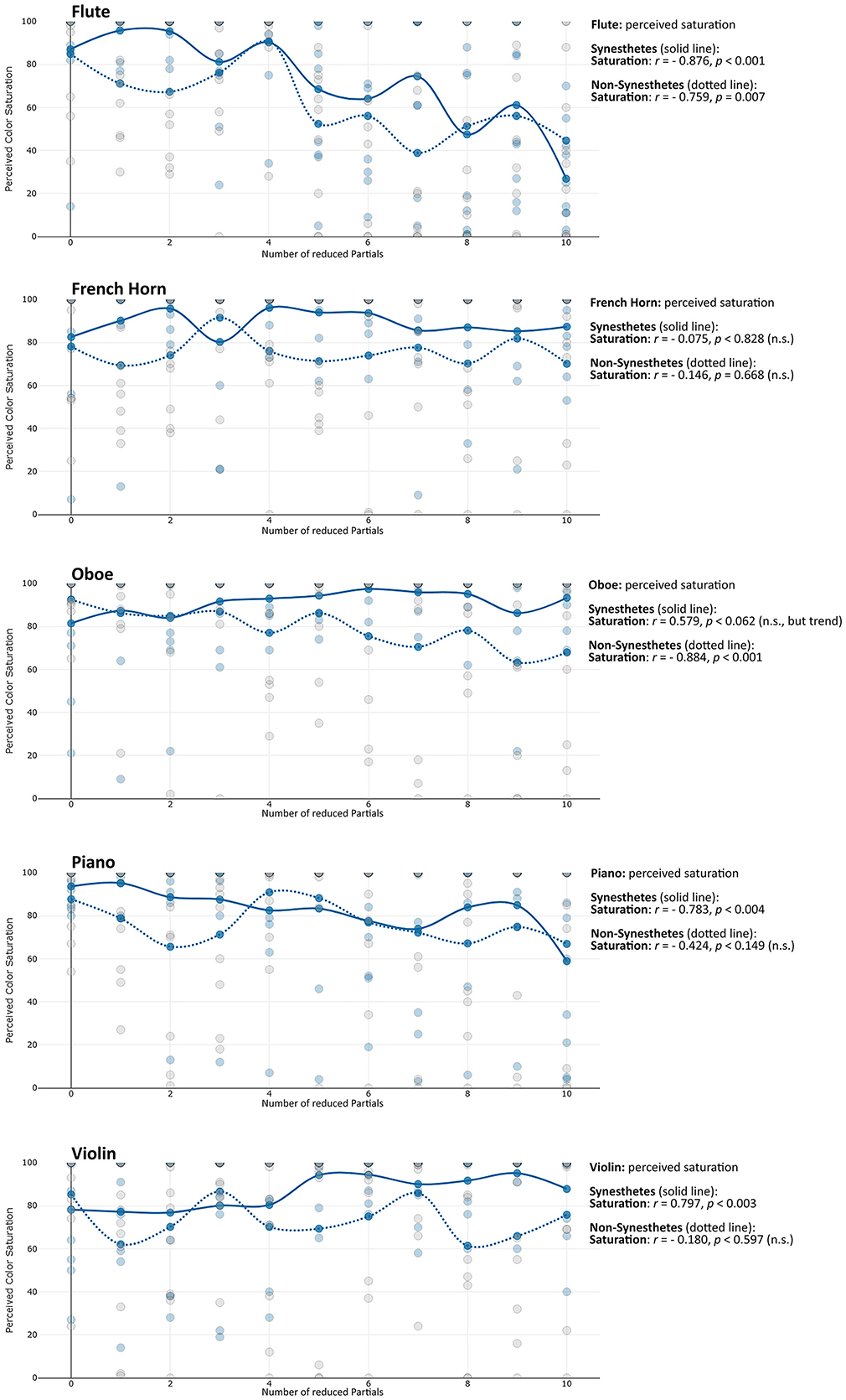
Abstract Background: Synesthesia is a perceptual phenomenon in which sensory inputs automatically elicit consistent additional sensations. Sound-color synesthesia, one of the most widely recognized forms, involves experiencing colors and shapes in response to auditory stimuli. Within this, timbre-color synesthesia, reported in 26% of music-color synesthetes, has rarely been studied in depth, particularly regarding how specific timbre manipulations influence color perception. Methods: This study investigated whether changes in timbre-induced color perception occur continuously or abruptly as sound parameters are altered, and whether generalizable patterns can be identified. For the first time, ΔE color similarity calculations were applied to objectively assess participants' timbre-color synesthesia. Participants listened to loudness-matched single tones (flute, oboe, French horn, violin, and piano) from the Vienna Symphonic Library, presented both in their original form and with manipulated timbres. Manipulations included partial reduction (removing partials from the first to the tenth) and morphing between instrument pairs across seven stages (from 100:0% to 0:100%). After each sound, participants described their color perception using a color selection field, generating RGB and HSL values of the chosen colors. Results: Findings revealed correlations between the individual color perceptions. Increasing partial reduction was associated with decreased saturation and increased lightness, particularly for flute, oboe, violin, and piano. Using audio features such as spectral centroid, harmonicity strength, and percussive loudness, generalizable rules for the perception of timbre-induced colors in timbre-color synesthetes could be observed. For morphed sounds, perceived colors shifted progressively from those associated with the initial instrument toward those associated with the target instrument across the morphing stages. Here, too, spectral centroid, harmonicity strength, and percussive loudness showed strong overall correlations between instrumental sounds and the colors they induce. Conclusion: This study demonstrates that manipulating musical instrument timbre through partial reduction and morphing induce clear but individual patterns of color perception in timbre-color synesthetes, which differ significantly from the responses of non-synesthetes.
Keywords: synesthesia, synaesthesia, timbre-induced color perception, Partials, soundmorphing, Audio signal analysis
Received: 02 Sep 2025; Accepted: 17 Oct 2025.
Copyright: © 2025 Reuter, Czedik-Eysenberg, Ambros, Siddiq, Glasser, Ward and Jewanski. This is an open-access article distributed under the terms of the Creative Commons Attribution License (CC BY). The use, distribution or reproduction in other forums is permitted, provided the original author(s) or licensor are credited and that the original publication in this journal is cited, in accordance with accepted academic practice. No use, distribution or reproduction is permitted which does not comply with these terms.
* Correspondence: Christoph Reuter, christoph.reuter@univie.ac.at
Disclaimer: All claims expressed in this article are solely those of the authors and do not necessarily represent those of their affiliated organizations, or those of the publisher, the editors and the reviewers. Any product that may be evaluated in this article or claim that may be made by its manufacturer is not guaranteed or endorsed by the publisher.
