BRIEF RESEARCH REPORT article
Front. Psychol.
Sec. Performance Science
This article is part of the Research TopicRefining Talent Identification and Development in SportsView all articles
Investigating Coaches' General Beliefs on Defining and Identifying Talent in Basketball
Provisionally accepted- Carl von Ossietzky Universitat Oldenburg, Oldenburg, Germany
 
Select one of your emails
You have multiple emails registered with Frontiers:
Notify me on publication
Please enter your email address:
If you already have an account, please login
You don't have a Frontiers account ? You can register here
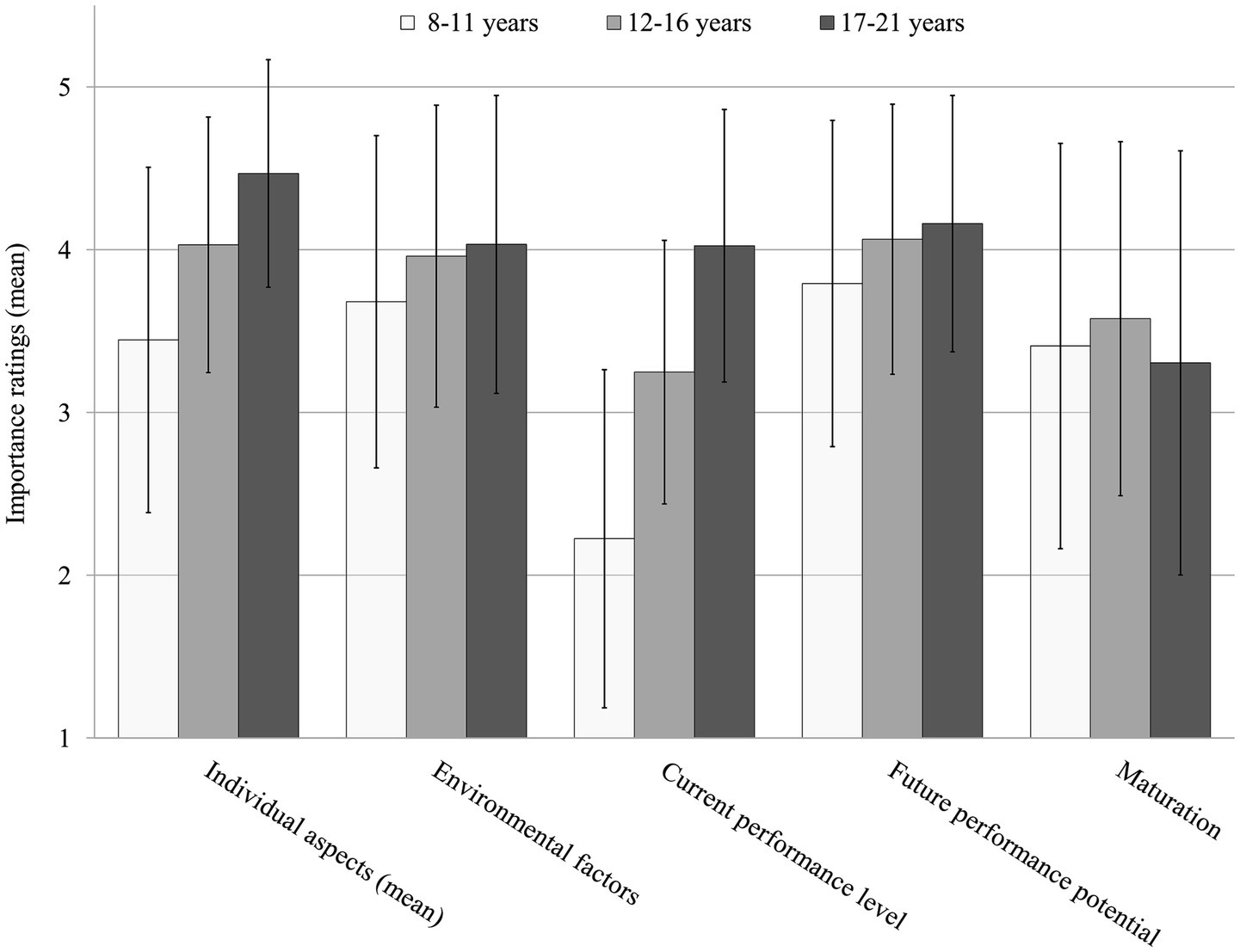
Coaches have various challenging tasks to handle, including athlete development and selection. Selection decisions are often based on the coach's eye. That is, coaches use their experience and intuition to generate holistic and subjective evaluations of athletes as the basis for selection decisions. In this context, both general beliefs regarding talent (in sports) and sport-specific aspects play an important role. Research investigating coaches' thought and decision-making processes underlying selection decisions is rare. Thus, the present study applied an online questionnaire with n = 125 basketball coaches to investigate coaches' general beliefs regarding talent (in basketball). Findings show four themes. First, coaches believe talent (in basketball) is identifiable, multidimensional, and compensatory. That is, it is defined by the interplay of multiple characteristics that can compensate for each other within a holistic athlete profile. Second, coaches reported that not only the importance of players' characteristics but also their own definition of talent (in basketball) change over time. Third, coaches show that both individual (e.g., anthropometry, technical skills) and environmental (e.g., family, training) factors are important for player selection. Fourth, coaches appear to include both objectively (e.g., lab-based tests) and subjectively (e.g., game observations) collected information within their decision-making, mainly relying upon the latter. In summary, this study highlights the continued importance of holistic, flexible, and developmental approaches to athlete evaluation. These findings should be included in reflective and evidence-informed coach development systems as coaches appear to remain the main decision-makers selecting athletes based on their coach's eye.
Keywords: Athlete development, Athlete identification, athlete selection, talent development, talent identification, talent selection, Youth Sports, coach's eye
Received: 08 Sep 2025; Accepted: 03 Nov 2025.
Copyright: © 2025 Koopmann, Chorengel and Schorer. This is an open-access article distributed under the terms of the Creative Commons Attribution License (CC BY). The use, distribution or reproduction in other forums is permitted, provided the original author(s) or licensor are credited and that the original publication in this journal is cited, in accordance with accepted academic practice. No use, distribution or reproduction is permitted which does not comply with these terms.
* Correspondence: Till  Koopmann, till.koopmann@uol.de
Disclaimer: All claims expressed in this article are solely those of the authors and do not necessarily represent those of their affiliated organizations, or those of the publisher, the editors and the reviewers. Any product that may be evaluated in this article or claim that may be made by its manufacturer is not guaranteed or endorsed by the publisher.
