Abstract
Glass transition is one of the most crucial physical properties for polymerical materials. As a typical complex polymerical material, the glass transition phenomenon in asphalt binder is directly related to their temperature-related properties. To investigate the glass transition characteristics, this study delves into the glass transition temperature of asphalt binder based on molecular dynamics simulations. It is found that the calculation range for the glass transition temperature sits between 100 and 400 K. The evolution of asphalt binder structure is influenced by different cooling rates, where lower cooling rates allow sufficient microstructural rearrangement, resulting in a smaller volume at the lower temperature. Model size is closely associated with the glass transition region. As the size increases, the transition region significantly expands. Increasing the model size also reduces volume fluctuations after isothermal relaxation, providing more stable volume changes. It is observed that higher cooling rates with a model size over 100 Å can well reproduce the glass transition process of asphalt binders. This work provides atomic-scale insights for the glass transition phenomenon in asphalt binder, which could be beneficial for the design of high-performance asphalt binder.
1 Introduction
The Nobel laureate in Physics, P.W. Aderson, proposed in 1995 that “the deepest and most interesting unresolved issue in solid-state theory may be the nature of glass and the glass transition” (Couzin, 2005). By lowering the temperature, polymers undergo a significant decrease in properties such as Young’s modulus and viscosity, while their structure remains largely unchanged (remaining in an amorphous state). The study of glass transition has a history of nearly 80 years. Despite a substantial amount of experimental, theoretical, and simulation research, the fundamental question regarding the nature of the glassy state remains unanswered (Anderson and Marasteanu, 1999; Zhang and Greenfield, 2007a; You et al., 2020; Khan et al., 2021; Cui B. et al., 2022; Cui W. et al., 2022; Lu et al., 2022; Liu et al., 2017). To date, no single theory has been able to explain all the phenomena associated with the glass transition, and existing theories only align with experimental or simulation results within certain specific ranges of supercooling and specific systems. In recent years, with a deepening understanding of the intrinsic relationship between material microstructures and properties, Molecular Dynamics (MD) simulations have played a crucial role in studying the glass transition phenomenon (Rigby and Roe, 1987), simulating the relationship between the specific volume and temperature of polymers during the cooling process can effectively uncover underlying mechanisms behind the glass transition. However, due to the femtosecond-scale timestep used in MD simulations, the cooling rate differs significantly from experiments, potentially by up to 1012 times (Bulacu and van der Giessen, 2007). Despite this challenge, research indicates that MD simulations are still able to effectively capture the glass transition phenomenon in polymers (Khan et al., 2021; Godey et al., 2018; Yao, et al., 2022; Berthier and Reichman, 2023; Lunkenheimer et al., 2023; Kang et al., 2019).
Based on the movement of constituent molecules, rheological behavior can be generally categorized into three states and two transitions, i.e., glassy state, glass transition, rubbery (high elasticity) state, flow transition, and flow state (Wang et al., 2020). Molecular dynamics simulation can provide motion details of asphalt molecules, clearly delineating the differences in movement between the glassy and rubbery states, capturing the transition of molecules from a free state to a “frozen” state. Some studies consider the critical temperature at which a system transitions from the rubbery state to the glass transition region as the glass transition temperature (He et al., 2020). Some studies consider the initial temperature at which a system enters the glassy state as the glass transition temperature (Kang et al., 2019; Liu et al., 2021). Currently, a large body of work selects the intermediate temperature within the glass transition region as the glass transition temperature (Godey et al., 2019; Khabaz and Khare, 2015; Ji and Zhang, 2019; Yao et al., 2016).
As a typical polymerical material, asphalt binder exhibits temperature-dependent performance in terms of cracking, rutting, and low durability. In winter and cold regions, asphalt binder requires a good low-temperature performance and relaxation capability to prevent damage (Debbarma et al., 2022; Tabatabaee et al., 2012; Kriz et al., 2011; Amoussou et al., 2016; Krishnan and Rajagopal, 2005; Hu et al., 2022). At high temperatures, asphalt transitions from a solid amorphous glassy state to a viscous isotropic liquid state. Upon cooling, the liquid asphalt gradually transitions to the glassy state. Clearly, the temperature that determines the transition of the asphalt’s mechanical state from viscoelastic to glassy affects its toughness, deformation, physical properties, and rheological behavior, thereby is crucial for their engineering applications. At the microscopic level, reflects the onset of motion of asphalt chains or molecules, with lower indicating higher energy required for asphalt molecules to transition from the glassy to the viscous flow state, thereby indicating better low-temperature performance.
Different calculation methods based on MD simulations have been developed to calculate . Some researchers perform cooling after heating the asphalt to 400 K (Luo et al., 2021; Sun et al., 2016), while others heat it to 500 or 600 K before cooling (Apostolidis et al., 2021; Zhang et al., 2022; Zheng et al., 2022), and defining as the intersection of the volume-temperature curve’s asymptotes at low and high temperatures. However, different studies delineate the region for the glass transition temperature differently. This discrepancy not only arises from the choice of experimental conditions but is also influenced by factors such as molecular types, molecular proportions, relaxation processes, and force field selection, leading to significant differences in calculated results and making effective comparisons between different calculations and models challenging. Additionally, some researchers utilize the coefficient of volume expansion or heat capacity curves to measure the glass transition region based on the observation of two plateau regions (Soenen et al., 2013). The diversity in calculation methods and choices poses additional challenge to compared the glass transition temperature. In this work, through in-depth analysis of the volume and energy changes during the simulation, a reasonable range for calculating the glass transition is determined by a data-driven fitting approach. The influence of cooling rate and model size on the glass transition temperature and region are systematically discussed.
2 Materials and methods
The selection of initial configurations is crucial for an in-depth study of the glassy state. In this work, we adopted a four-component asphalt molecule model proposed by Li and Greenfield (2014), as shown in Figure 1A. Using the Materials Studio software, we employed a random walk algorithm to establish the amorphous molecular model of asphalt, as depicted in Figure 1B. The initial density of the model was set to 1.0 g/cm3, and the initial temperature was set to 300 K. Asphalt molecules were randomly placed into a periodic cell with initial dimensions of 75 × 75 × 75 Å3 at fixed proportions, refer to our previous work for more details (Pang et al., 2023). The molecular structure of asphalt is quite complex, and during the modeling process, the relative positions of the molecules are irregular. The model was first optimized through energy minimization and relaxation processes. In this work, the Consistent Valence Force Field (CVFF) was utilized to describe the atomic interactions within the asphalt system. The long-range van der Waals interactions were represented using the Lennard-Jones (LJ) potential with a cutoff distance set to 12.5 Å. Additionally, the Particle-Particle-Particle-Mesh (PPPM) algorithm was employed to compute long-range electrostatic interactions, with an accuracy set to 10–4. A series of structural relaxation simulations were conducted on the model under canonical (NVT), isothermal-isobaric (NPT), and microcanonical (NVE) ensembles, each for relaxation periods of 0.5 ns, 1 ns, and 0.5 ns, respectively. During relaxation, the pressure was set to a constant 1 atm, and the temperature was maintained at 300 K. Following structural relaxation, the equilibrium density of the asphalt was approximately 0.96 g/cm3 (Zhang and Greenfield, 2007b), close to experimental data ranging from 0.95 to 1.05 g/cm3. Subsequently, under a pressure of 1 atm, a cooling cycle was applied to the asphalt model. Initially, the model was heated to 400 K in the NPT ensemble for 1 ns and then maintained at a constant temperature for 0.5 ns, followed by cooling to 100 K. The initial temperature cooling interval was set to 20 K. After 15 cooling cycles, the system temperature reached 100 K. With the decrease in temperature, the volume or density change curve of the sample was obtained to determine the glass transition temperature (Yao et al., 2022; Schawe, 2022). As the volume and density exhibit similar variation curves, this study chose the volume parameter to fit the glass transition temperature.
FIGURE 1

Schematic view of the simulation model. (A) Four representative molecules of the asphalt binder; (B) Molecular structure of asphalt binder.
3 Results and discussion
3.1 Glass transition temperature calculation
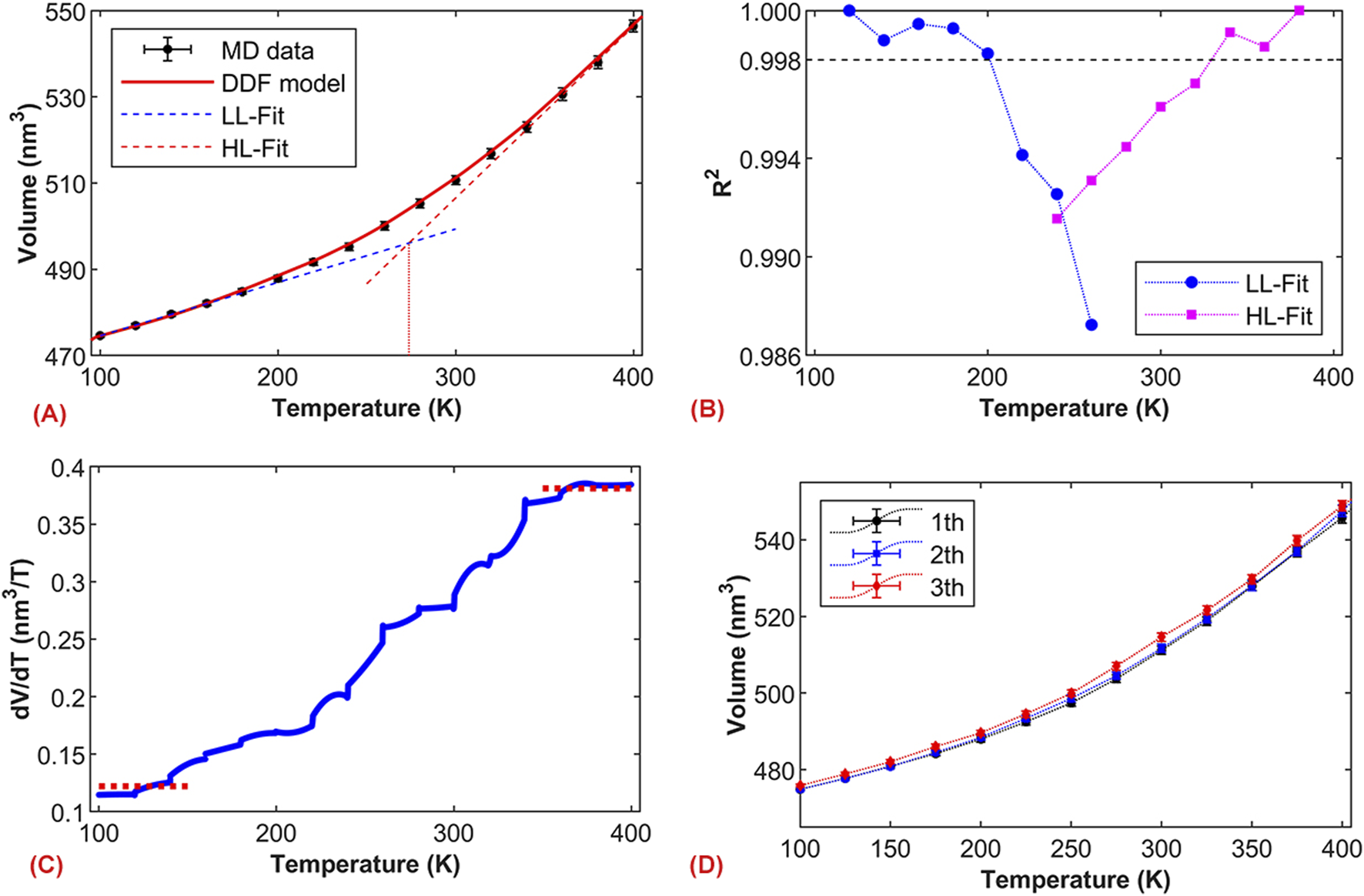
Figure 2A shows the volume change trend of the asphalt binder model during a stepwise cooling process. Considering a constant volume expansion coefficient for the model in the glassy and rubbery states (i.e., the volume changes linearly with temperature), the intersection temperature of the two fitted lines from the corresponding low-temperature and high-temperature regions (LL fit and HL fit) represents . Figure 2B illustrates the trend of the coefficient of determination for the linear fits as the selected data points vary. Here, and represent the data to be fitted and its mean value, represents the fitted data. According to Figure 2B, the coefficient of determination is greater than 0.998 in the temperature ranges of 100–200 K and 340–400 K. However, it exhibits a relatively large decrease in value for temperatures above 180 K or below 340 K. Therefore, the linear fitting range should be based on the aforementioned temperature ranges. Based on the fitting results from 100–160 K and 340–400 K, the intersection temperature of the asphalt binder model is approximately 271.10 K, consistent with the experimental data from the Strategic Highway Research Program (SHRP) at around 273.15 K (Khabaz and Khare, 2015).
FIGURE 2

Molecular dynamics simulation and calculation of glass transition temperature. (A) Volume-temperature relationship graph; (B) Comparison of the coefficient of determination R2 for linear fits, where LL-Fit and HL-Fit represent linear fits in the low-temperature and high-temperature regions, respectively; (C) Rate of change of volume with temperature based on the DDF model; (D) Volume-temperature relationship graphs under different simulation processes.
From Figure 2A, it is evident that the value of depends on the selected data points. In light of this, we further employ a data-driven fitting (DDF) analysis method. Based on a 10-fold cross-validation, the computed data is divided into ten parts, and the volume-temperature relationship is fitted using piecewise cubic Hermite interpolation polynomials. Since the data points in Figure 2A represent the averaged values of the model’s relaxation under the NPT ensemble, this can lead to local perturbations and overfitting when the number of data points is limited. To mitigate this overfitting issue, stability during relaxation can be addressed by randomly selecting 2-3 temperature-volume data points for DDF fitting. According to Figure 2A, the fitting model established by the DDF method aligns well with the original data. By differentiating the DDF fitting model, the rate of change of the model’s volume with temperature is obtained according to . From Figure 2C, it is evident that the values in the temperature ranges of 100–160 K and 360–400 K tend towards constants, indicating a linear change in volume with temperature, consistent with the coefficient of determination for linear fitting shown in Figure 2B. These results demonstrate that the DDF model can effectively analyze and determine the temperature range for linear fitting.
Due to the different motion characteristics of molecules during the cooling and heating processes, molecular systems typically exhibit hysteresis effects in their thermal and volumetric properties during the glassy state transition (Minisini and Soldera, 2023). Hence, it is necessary to explore the influence of the simulation process on . For such purpose, we reheat the model to 400 K under the NPT ensemble and then re-initiated the stepwise cooling simulation. Figure 2D compares the temperature-volume curves obtained from the three stepwise cooling simulations. It is evident from the figure that the third reheating process results in a noticeable upward shift in the system’s volume-temperature curve, while the volume-temperature curves from the first and second cycles are closely aligned. These results indicate that irreversible microstructural changes occur in the model during repeated heating and cooling processes, leading to an overall increase in the model’s volume. Through derivative analysis of the DDF fitting model, the value of in the temperature ranges of 100–160 K and 360–400 K remain constant, indicating a linear change in volume with temperature. Based on linear fitting, the value of exhibits a 6% fluctuation. Overall, the simulation process has an insignificant impact on the glassy state transition temperature.
The glass transition region of the system can be identified from the volume-temperature curve. Based on the results from Figure 2A, the deviation from linear behavior in the volume-temperature relationship occurs between 180 K and 340 K, corresponding to the beginning and end of the glassy state transition, respectively. This can be expressed as and , and the glass transition temperature threshold is defined as . In this study, the behavior of the system’s heat capacity with respect to temperature was further analyzed. Experimentally, it is common to define the glass transition region by scanning heat capacity. A change in the heat capacity-temperature curve indicates the beginning or end of the glassy state transition (Apostolidis et al., 2021; Soenen et al., 2013; Nikookar et al., 2022; Tayfun et al., 2015). To investigate whether this method is applicable to molecular dynamics simulation models, we conducted data sampling based on the aforementioned DDF model and the heat capacity is calculated according to , where represents the internal potential energy and T represents the temperature. The calculation yields the results shown in Figure 3, it can be observed that there are three temperature domains during the expansion process of the simulated system, which are consistent with experimental results. However, the glass transition region is wider in the simulation, measuring 180 K, compared to experimental findings. This discrepancy arises due to the cooling rate in the simulation being approximately 1012 times faster than the experimental rate. The glass transition is a gradual process, and during the rapid cooling process in the simulation, molecules may have frozen, but this may not be immediately reflected in the system’s heat capacity. Therefore, volume-temperature curve has been commonly employed to calculate the glassy state transition region in MD simulations and calculation of the glassy state transition region based on the volume-temperature curve. In conclusion, MD simulations can effectively represent the microscopic-scale glassy state transition phenomenon, albeit occurring over a broader temperature range.
FIGURE 3

System heat capacity variation based on the DDF model.
The above defines the transition range of the glassy state from a molecular thermodynamic perspective (volume and energy), and similarly, in molecular dynamics, it is possible to capture the differences between the asphalt glassy state and rubbery state. Figure 4 depicts the mean square displacement (MSD) plot from MD simulations under the NPT ensemble for asphalt components in the rubbery state (400 K) and glassy state (100 K) with a 0.5 ns timescale. It is evident that the motion of asphalt at the two temperatures is entirely different. At 400 K, the components of asphalt are nearly in a flowing state, especially the saturated components, which undergo extensive motion within the system. Conversely, at 100 K, the asphalt components are only engaged in localized vibrations. This demonstrates the transition of asphalt components from a free-flowing state to a “frozen state.”
FIGURE 4

Molecular motion simulation results of asphalt components. (A) Mean square displacement (MSD) at the rubbery state (400 K); (B) Mean square displacement (MSD) at the glassy state (100 K).
3.2 Cooling rate
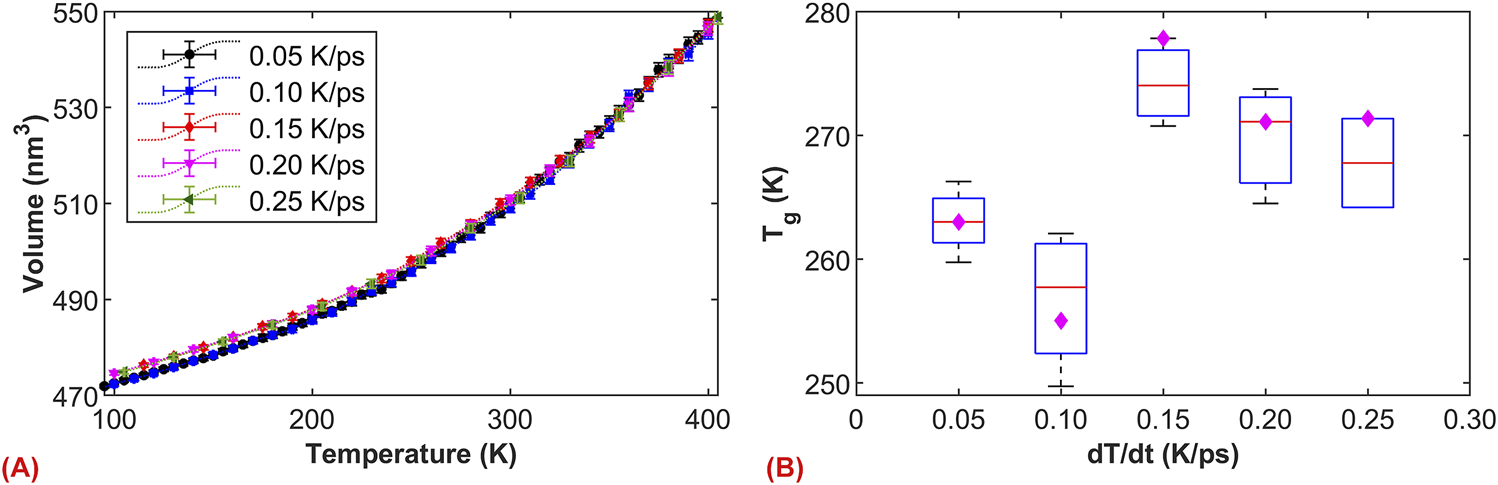
Since the glass transition phenomenon is directly related to molecular motion, and molecular motion is temperature-dependent, it is necessary to examine the effect of cooling rates on the glassy state transition. For macroscopic-scale experiments, the formation of the glassy state requires a relatively rapid cooling rate. Asphalt molecules, unable to rearrange slowly during cooling, consequently form the glassy state. Typically, the standard cooling rate for experiments is 20 K/min. In contrast, for different simulation systems, MD simulations currently employ cooling rates of 20 K or 25 K per cycle. Due to the disparity in time scales, the cooling rate in MD simulations differs by approximately 1012 orders of magnitude from experimental cooling rates. Considering that the simulated cooling time for each cycle in this study is 100 ps, the corresponding cooling rate is 0.2 K/ps. To further examine the potential impact of cooling rates, five different cooling rates were selected, including 0.05, 0.10, 0.15, 0.20, and 0.25 K/ps.
The volume-temperature relationships of asphalt at different cooling rates are compared in Figure 5A, and the nonlinear trends indicate the presence of the glass transition phenomenon. As expected, the cooling rate has a more pronounced effect on the volume at lower temperatures. Specifically, at cooling rates of 0.20 and 0.25 K/ps, the volumes almost overlap within the range of 100–400 K. However, when cooling rate below 0.15 K/ps, a significant decrease in volume is observed in the lower temperature region (under 250 K). This result suggests that when cooling rate below 0.15 K/ps, asphalt molecules undergo more thorough microstructural adjustments, leading to an overall decrease in volume. To compare the effects of different cooling rates, we statistically analyzed the fitted data within the low-temperature ranges of 100–140 K and 100–180 K (corresponding to the high-temperature ranges of 360–400 K and 320–400 K). As shown in Figure 5B, at around 270 K, the fittings under cooling rates of 0.20 and 0.25 K/ps maintain good consistency, while due to more thorough microstructural relaxation at lower cooling rates, the simulated system exhibits a slightly lower value. Based on five simulation calculations, the average is 266.33 K with a standard deviation of 6.65 K.
FIGURE 5

The effect of cooling rate on the glass transition. (A) Volume-temperature curves of asphalt under different cooling rates; (B) Relationship between glass transition temperature and cooling rate. The magenta diamonds represent the fitting at temperatures 100–160 K and 340–400 (K)
To investigate the influence of cooling rate on the structure of asphalt, we selected the same model and examined the aggregation of asphalt at 100 K under different cooling rates (0.05 and 0.25 K/ps). We define free volume as the sum of the regions within which each atom can move freely. According to the coordination number, we define the polyhedron for each atom, and the volume of this polyhedron represents the free movement region of the atom. Figure 6A shows the trend of free volume variation with temperature at different cooling rates, when the cooling rate was 0.20 K/ps, the decrease in free volume is slightly larger, confirming that slow cooling leads to more complete molecular rearrangement, resulting in more uniform system molecules. Figure 6B displays the x-y direction view of the model, from which it is observed that under slow cooling conditions, the asphalt has sufficient time to rearrange, forming larger aggregations and local voids, resulting in a relatively dense system. On the other hand, it illustrates that under rapid cooling conditions, the asphalt does not have enough time to rearrange, leading to a more dispersed system and consequently a relatively larger volume at low temperatures. This observation aligns with the previous volume calculation results.
FIGURE 6

The effect of cooling rate on the structure of asphalt.: (A) Curve of Free Volume with Temperature; (B) Asphalt structure at 100 K under two cooling rates of 0.20 and 0.25 K/ps.
3.3 Model size
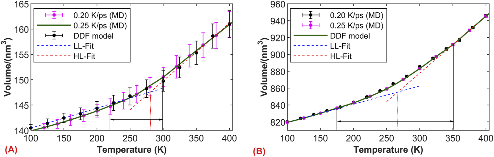
The transition of an amorphous solid (glass transition) is directly related to the motion of different molecules, and the model size affects the number of molecules, their aggregation, and kinetic behavior. To further investigate , we examined the cubic models with six different sizes, including 50 Å, 60 Å, 80 Å, 100 Å, 110 Å, and 130 Å, considering two cooling rates of 0.20 and 0.25 K/ps. In the process of modeling, we first set different box dimensions, then set the same density, to obtain models of different sizes. The proportions of different molecules within each model were kept consistent. To reduce calculation errors, we performed simulations for three initial models for each size with a relaxation time of 2 ns, 2.05 ns and 2.10 ns, respectively. The glass transition temperature was averaged from these three calculations. According to Figure 7, the glass transition temperature converges in general when the size increases. Convergence begins at a size of 100 Å, with a convergent value of approximately 266 K, close to the experimental value (Yang et al., 2020). This indicates that larger models can better reflect the volume variation with temperature, suggesting the use of models of 100 Å or larger for studying the performance of asphalt (Li et al., 2022).
FIGURE 7

The influence of model size on : Relationship between glass transition temperature and cooling rate. (A) Cooling rates of 0.25 K/ps and (B) cooling rate of 0.20 K/ps.
Based on the simulation results, we further investigated the influence of model size on the glass transition region. Figure 8A illustrates the volume-temperature curves for models of 50 Å under two cooling rates. Due to the relatively small model size, the sensitivity of volume to temperature increases (microscopic pressure and temperature control exhibit relatively large fluctuations), resulting in a relatively large standard deviation for each volume data point. As the model size increases to 50 Å, the fluctuation in volume during the relaxation phase notably decreases, as shown in Figure 8B. Apart from volume fluctuations, we observed a good consistency in the volume of the simulated systems under both cooling rates. The graph clearly demonstrates the close relationship between the glass transition region and the model size. Specifically, when the model size is 50 Å, the glass transition region is small, but it significantly widens when the size increases to 100 Å. This phenomenon is possibly due to the larger molecular weight in larger models, leading to more complex entanglement between molecules and longer relaxation times, thus resulting in a wider glass transition region.
FIGURE 8

Influence of temperature on the glass transition region. Volume-temperature curves under two cooling rates: (A) model size of 50 × 50 × 50 Å; (B) model size of 100 × 100 × 100 Å.
4 Conclusion
Based on molecular dynamics (MD) simulations, this study thoroughly explores the glass transition of asphalt binder. By selecting the intermediate temperature of the glass transition region as the glass transition temperature (). This paper extensively investigates the effects of model size, cooling rate, and other parameters on the glass transition. By examining the relationship between volume and temperature during the cooling process of asphalt, we reveal crucial information about the glass transition, suggesting that the temperature range of 100–400 K should be considered for calculating the glass transition temperature. Despite significant differences in time scales between MD simulations and experiments, the study demonstrates that MD can effectively capture the glass transition of asphalt systems based on volume change rates and heat capacity. Different cooling rates influence the structural evolution of the asphalt binder, with faster cooling rates producing a more linear volume-temperature curve, while slower rates allow for greater molecular rearrangement, resulting in a more distinct volume decrease at lower temperatures. Model size also plays a crucial role in the glass transition region. Smaller models exhibit narrower transition regions, while larger models show expanded transition regions. Additionally, larger models reduce volume fluctuations under isothermal conditions, contributing to more stable volume changes during cooling. Taken together, our findings highlight that larger model sizes (above 100 Å) and higher cooling rates can better simulate the glass transition of asphalt materials. These insights provide valuable guidance for the design of high-performance asphalt materials, optimizing their thermal and mechanical properties for practical applications. Due to the spatial and temporal scale difference between atomistic simulation and experiments (at macroscale), the absolute value of the glass transition temperature is usually different. In our future work, the consistency between simulations and experiments will be discussed in greater depth.
Statements
Data availability statement
The original contributions presented in the study are included in the article/supplementary material, further inquiries can be directed to the corresponding author.
Author contributions
YF: Conceptualization, Project administration, Writing–review and editing. YP: Writing–original draft, Writing–review and editing. JZ: Writing–review and editing. YN: Writing–review and editing. HL: Writing–review and editing.
Funding
The author(s) declare that financial support was received for the research, authorship, and/or publication of this article. This research was funded by the Zhejiang Hongtu Transportation Construction Co., Ltd., and the ZJU-ZCCC Institute of Collaborative Innovation (No. ZDJG2021003).
Acknowledgments
The authors acknowledge the support of ZheJiang University, YP, JZ, YN, Researchers Supporting Project number (ZDJG2021003).
Conflict of interest
Author YF was employed by Zhejiang Hongtu Traffic Construction Co., Ltd.
The remaining authors declare that the research was conducted in the absence of any commercial or financial relationships that could be construed as a potential conflict of interest.
The authors declare that this study received funding from Zhejiang Hongtu Transportation Construction Co., Ltd. The funder had the following involvement in the study: study design, analysis, and decision to publish.
Publisher’s note
All claims expressed in this article are solely those of the authors and do not necessarily represent those of their affiliated organizations, or those of the publisher, the editors and the reviewers. Any product that may be evaluated in this article, or claim that may be made by its manufacturer, is not guaranteed or endorsed by the publisher.
References
1
Amoussou R. I. H. D. T. Tanoue H. Sasaki M. Shigeishi M. (2016). Hydrothermal recovery of asphalt from asphalt concrete. Constr. Build. Mater.125, 1196–1204. 10.1016/j.conbuildmat.2016.07.129
2
Anderson D. A. Marasteanu M. O. (1999). Physical hardening of asphalt binders relative to their glass transition temperatures. Transp. Res. Rec. J. Transp. Res. Board1661, 27–34. 10.3141/1661-05
3
Apostolidis P. Elwardany M. Porot L. Vansteenkiste S. Chailleux E. (2021). Glass transitions in bituminous binders. Mater. Struct.54, 132. 10.1617/s11527-021-01726-6
4
Berthier L. Reichman D. R. (2023). Modern computational studies of the glass transition. Nat. Rev. Phys.5, 102–116. 10.1038/s42254-022-00548-x
5
Bulacu M. van der Giessen E. (2007). Molecular-dynamics simulation study of the glass transition in amorphous polymers with controlled chain stiffness. Phys. Rev. E76, 011807. 10.1103/PhysRevE.76.011807
6
Couzin J. (2005). How much can human life span Be extended?Science309, 83. 10.1126/science.309.5731.83
7
Cui B. Wang H. Gu X. Hu D. (2022). Study of the inter-diffusion characteristics and cracking resistance of virgin-aged asphalt binders using molecular dynamics simulation. Constr. Build. Mater.351, 128968. 10.1016/j.conbuildmat.2022.128968
8
Cui W. Huang W. Hassan H. M. Z. Cai X. Wu K. (2022). Study on the interfacial contact behavior of carbon nanotubes and asphalt binders and adhesion energy of modified asphalt on aggregate surface by using molecular dynamics simulation. Constr. Build. Mater.316, 125849. 10.1016/j.conbuildmat.2021.125849
9
Debbarma K. Debnath B. Sarkar P. P. (2022). A comprehensive review on the usage of nanomaterials in asphalt mixes. Constr. Build. Mater.361, 129634. 10.1016/j.conbuildmat.2022.129634
10
Godey F. Fleury A. Ghoufi A. Soldera A. (2018). The extent of the glass transition from molecular simulation revealing an overcrank effect. J. Comput. Chem.39, 255–261. 10.1002/jcc.25069
11
Godey F. Fleury A. Soldera A. (2019). Local dynamics within the glass transition domain. Sci. Rep.9, 9638. 10.1038/s41598-019-45933-2
12
He L. Li G. Lv S. Gao J. Kowalski K. J. Valentin J. et al (2020). Self-healing behavior of asphalt system based on molecular dynamics simulation. Constr. Build. Mater.254, 119225. 10.1016/j.conbuildmat.2020.119225
13
Hu D. Gu X. Wang G. Zhou Z. Sun L. Pei J. (2022). Performance and mechanism of lignin and quercetin as bio-based anti-aging agents for asphalt binder: a combined experimental and ab initio study. J. Mol. Liq.359, 119310. 10.1016/j.molliq.2022.119310
14
Ji W. M. Zhang L. W. (2019). Diamond nanothread reinforced polymer composites: ultra-high glass transition temperature and low density. Compos. Sci. Technol.183, 107789. 10.1016/j.compscitech.2019.107789
15
Kang Y. Zhou D. Wu Q. Liang R. Shangguan S. Liao Z. et al (2019). Molecular dynamics study on the glass forming process of asphalt. Constr. Build. Mater.214, 430–440. 10.1016/j.conbuildmat.2019.04.138
16
Khabaz F. Khare R. (2015). Glass transition and molecular mobility in styrene-butadiene rubber modified asphalt. J. Phys. Chem. B119, 14261–14269. 10.1021/acs.jpcb.5b06191
17
Khan R. A. A. Chen X. Qi H.-K. Huang J.-H. Luo M.-B. (2021). A novel shift in the glass transition temperature of polymer nanocomposites: a molecular dynamics simulation study. Phys. Chem. Chem. Phys.23, 12216–12225. 10.1039/d1cp00321f
18
Krishnan J. M. Rajagopal K. R. (2005). On the mechanical behavior of asphalt. Mech. Mater.37, 1085–1100. 10.1016/j.mechmat.2004.09.005
19
Kriz P. Stastna J. Zanzotto L. (2011). Glass transition and phase stability in asphalt binders. Road Mater. Pavement Des.9, 37–65. 10.1080/14680629.2008.9690158
20
Li D. D. Greenfield M. L. (2014). Chemical compositions of improved model asphalt systems for molecular simulations. Fuel115, 347–356. 10.1016/j.fuel.2013.07.012
21
Li G. Tan Y. Fu Y. Liu P. Fu C. Oeser M. (2022). Density, zero shear viscosity and microstructure analysis of asphalt binder using molecular dynamics simulation. Constr. Build. Mater.345, 128332. 10.1016/j.conbuildmat.2022.128332
22
Liu J. Liu Q. Wang S. Zhang X. Xiao C. Yu B. (2021). Molecular dynamics evaluation of activation mechanism of rejuvenator in reclaimed asphalt pavement (RAP) binder. Constr. Build. Mater.298, 123898. 10.1016/j.conbuildmat.2021.123898
23
Liu J. Sun Y. Wang W. Chen J. (2017). Using the viscoelastic parameters to estimate the glass transition temperature of asphalt binders. Constr. Build. Mater.153, 908–917. 10.1016/j.conbuildmat.2017.07.120
24
Lu P. Ma Y. Ye K. Huang S. (2022). Analysis of high-temperature performance of polymer-modified asphalts through molecular dynamics simulations and experiments. Constr. Build. Mater.350, 128903. 10.1016/j.conbuildmat.2022.128903
25
Lunkenheimer P. Loidl A. Riechers B. Zaccone A. Samwer K. (2023). Thermal expansion and the glass transition. Nat. Phys.19, 694–699. 10.1038/s41567-022-01920-5
26
Luo L. Chu L. Fwa T. F. (2021). Molecular dynamics analysis of oxidative aging effects on thermodynamic and interfacial bonding properties of asphalt mixtures. Constr. Build. Mater.269, 121299. 10.1016/j.conbuildmat.2020.121299
27
Minisini B. Soldera A. (2023). Volumetric and energetic properties of polystyrene and polyethylene oxide affected by thermal cycling. Macromol. theory simulations32, 2300008. 10.1002/mats.202300008
28
Nikookar M. Omidkhah M. R. Pazuki G. R. Mohammadi A. H. (2022). An insight into molecular weight distributions of asphaltene and asphalt using Gel Permeation Chromatography. J. Mol. Liq.362, 119736. 10.1016/j.molliq.2022.119736
29
Pang Y. Sun L. Zhan H. Zheng X. Zhang J. Bian C. et al (2023). Assessing the impact of ultra-thin diamond nanothreads on the glass transition temperature of a bituminous binder. Nanoscale Adv.5, 6724–6735. 10.1039/d3na00622k
30
Rigby D. Roe R. J. (1987). Molecular dynamics simulation of polymer liquid and glass. I. Glass transition. J. Chem. Phys.87, 7285–7292. 10.1063/1.453321
31
Schawe J. E. K. (2022). The influence of hydrogen bonds on the glass transition in amorphous binary systems. J. Mol. Liq.368, 120598. 10.1016/j.molliq.2022.120598
32
Soenen H. Besamusca J. Fischer H. R. Poulikakos L. D. Planche J.-P. Das P. K. et al (2013). Laboratory investigation of bitumen based on round robin DSC and AFM tests. Mater. Struct.47, 1205–1220. 10.1617/s11527-013-0123-4
33
Sun D. Lin T. Zhu X. Tian Y. Liu F. (2016). Indices for self-healing performance assessments based on molecular dynamics simulation of asphalt binders. Comput. Mater. Sci.114, 86–93. 10.1016/j.commatsci.2015.12.017
34
Tabatabaee H. A. Velasquez R. Bahia H. U. (2012). Predicting low temperature physical hardening in asphalt binders. Constr. Build. Mater.34, 162–169. 10.1016/j.conbuildmat.2012.02.039
35
Tayfun U. Kanbur Y. Abaci U. Guney H. Y. Bayramli E. (2015). Mechanical, flow and electrical properties of thermoplastic polyurethane/fullerene composites: effect of surface modification of fullerene. Compos. Part B Eng.80, 101–107. 10.1016/j.compositesb.2015.05.013
36
Wang D. Cannone Falchetto A. Riccardi C. Wistuba M. P. (2020). Investigation on the low temperature properties of asphalt binder: glass transition temperature and modulus shift factor. Constr. Build. Mater.245, 118351. 10.1016/j.conbuildmat.2020.118351
37
Yang L. Zhou D. Kang Y. (2020). Rheological properties of graphene modified asphalt binders. Nanomater. (Basel)10, 2197. 10.3390/nano10112197
38
Yao H. Dai Q. You Z. (2016). Molecular dynamics simulation of physicochemical properties of the asphalt model. Fuel164, 83–93. 10.1016/j.fuel.2015.09.045
39
Yao H. Liu J. Xu M. Ji J. Dai Q. You Z. (2022). Discussion on molecular dynamics (MD) simulations of the asphalt materials. Adv. Colloid Interface Sci.299, 102565. 10.1016/j.cis.2021.102565
40
You L. Spyriouni T. Dai Q. You Z. Khanal A. (2020). Experimental and molecular dynamics simulation study on thermal, transport, and rheological properties of asphalt. Constr. Build. Mater.265, 120358. 10.1016/j.conbuildmat.2020.120358
41
Zhang L. Greenfield M. L. (2007a). Analyzing properties of model asphalts using molecular simulation. Energy and Fuels21, 1712–1716. 10.1021/ef060658j
42
Zhang L. Greenfield M. L. (2007b). Relaxation time, diffusion, and viscosity analysis of model asphalt systems using molecular simulation. J. Chem. Phys.127, 194502. 10.1063/1.2799189
43
Zhang R. Du F. Jariyavidyanont K. Zhuravlev E. Schick C. Androsch R. (2022). Glass transition temperature of poly(d,l-lactic acid) of different molar mass. Thermochim. Acta718, 179387. 10.1016/j.tca.2022.179387
44
Zheng X. Xu W. Cao K. Li K. (2022). Self-healing behavior of recycled asphalt prepared by residue oil of straw liquefaction based on molecular dynamics simulation. Sci. Rep.12, 2718. 10.1038/s41598-022-06743-1
Summary
Keywords
asphalt binder, glass transition temperature, molecular dynamics simulation, data driven, cooling rate, model size
Citation
Fang Y, Pang Y, Zhang J, Nie Y and Lu H (2024) Glass transition temperature of asphalt binder based on atomistic scale simulation. Front. Mater. 11:1485669. doi: 10.3389/fmats.2024.1485669
Received
24 August 2024
Accepted
14 October 2024
Published
23 October 2024
Volume
11 - 2024
Edited by
Wenwu Xu, San Diego State University, United States
Reviewed by
Lei Lyu, Chang’an University, China
Han Liu, Sichuan University, China
Updates
Copyright
© 2024 Fang, Pang, Zhang, Nie and Lu.
This is an open-access article distributed under the terms of the Creative Commons Attribution License (CC BY). The use, distribution or reproduction in other forums is permitted, provided the original author(s) and the copyright owner(s) are credited and that the original publication in this journal is cited, in accordance with accepted academic practice. No use, distribution or reproduction is permitted which does not comply with these terms.
*Correspondence: Yingying Pang, yinger@zju.edu.cn
Disclaimer
All claims expressed in this article are solely those of the authors and do not necessarily represent those of their affiliated organizations, or those of the publisher, the editors and the reviewers. Any product that may be evaluated in this article or claim that may be made by its manufacturer is not guaranteed or endorsed by the publisher.