- 1Speech and Language Laboratory, Cognitive Neuroscience, National Brain Research Centre, Manesar, India
- 2Centre for Integrative Neuroscience and Neurodynamics, School of Psychology and Clinical Language Sciences, University of Reading, Reading, UK
In Indian classical music, ragas constitute specific combinations of tonic intervals potentially capable of evoking distinct emotions. A raga composition is typically presented in two modes, namely, alaap and gat. Alaap is the note by note delineation of a raga bound by a slow tempo, but not bound by a rhythmic cycle. Gat on the other hand is rendered at a faster tempo and follows a rhythmic cycle. Our primary objective was to (1) discriminate the emotions experienced across alaap and gat of ragas, (2) investigate the association of tonic intervals, tempo and rhythmic regularity with emotional response. 122 participants rated their experienced emotion across alaap and gat of 12 ragas. Analysis of the emotional responses revealed that (1) ragas elicit distinct emotions across the two presentation modes, and (2) specific tonic intervals are robust predictors of emotional response. Specifically, our results showed that the ‘minor second’ is a direct predictor of negative valence. (3) Tonality determines the emotion experienced for a raga where as rhythmic regularity and tempo modulate levels of arousal. Our findings provide new insights into the emotional response to Indian ragas and the impact of tempo, rhythmic regularity and tonality on it.
Introduction
While music has long been associated with emotions (Miller and Williams, 2008; Patel, 2010), it has also been a subject of interesting debate among philosophers. Consequently, the existence of emotions induced by music has been debated by believers and non-believers referred to as emotivists and cognitivists, respectively. The cognitivists argue that music does not generally evoke emotions in listeners, it merely expresses emotions that are perceived by listeners (Kivy, 1989). In other words, listeners refer to music as happy or sad because the music expresses happiness or sadness, not because the music makes them feel happy or sad. By contrast, emotivists suggest that music actually evokes or induces feelings in listeners (Scherer and Zentner, 2001). Recent studies that have focused on measures other than self reports, namely changes in arousal levels measured by changes in autonomic nervous system activity while listening to music (Krumhansl, 1997; Nyklíček et al., 1997), indicate that music does evoke emotions (for review refer to Sloboda and Juslin, 2010). As a result, many theories have been put forward to explain the mode of induction of emotions by music. Emotional reactions to music have been explained in terms of cognitive appraisals, which claim that emotions are elicited or differentiated on the basis of an individual’s subjective evaluation or appraisal (Scherer, 1999). More recently, Juslin and Västfjäll (2008) have argued that cognitive appraisals are only one of the ways in which emotions are induced, and have proposed six other mechanisms that explain how musical pieces induce emotions: (1) brain stem reflexes (e.g., reactions to dissonance), (2) conditioning (i.e., a particular music is associated with a positive or negative emotion), (3) contagion (i.e., listener perceives the emotional expression of music, and then “mimics” this expression internally), (4) visual imagery (i.e., images evoked by music act as cues to an emotion), (5) episodic memory (i.e., a piece is associated with a particular event, which, in turn, is associated with an emotion), and (6) expectancies that are fulfilled or denied (i.e., emotion is induced in a listener because a specific feature of the music violates, delays, or confirms the listener’s expectations about the continuation of the music).
In the research reported here, we used self-reports by participants as a measure to study the subjectively experienced feeling of emotion while listening to ragas of North Indian Classical music (NICM). NICM born out of a cultural synthesis of the Vedic chant tradition and traditional Persian music has been known to induce emotions (Kaufmann, 1965). The central notion in this system of music is that of a raga. The word ‘raga’ originates in Sanskrit and is defined as ‘the act of coloring or dyeing’ (the mind and mood/emotions in this context) and therefore refers metaphorically to ‘any feeling or passion especially love, affection, sympathy, desire, interest, motivation, joy, or delight.’ Thus, a raga composition comprises of a specific combination of notes which are used by the performer to create a mood (rasa) or atmosphere that is unique to the raga.
An extensive body of ancient Indian scripts belonging to the early centuries A.D. have documented the emotions associated with ragas (Bhatkhande, 1934; Natyashastra by Bharata translated by Vatsyayan, 1996). These are as follows – love, laughter, anger, compassion, disgust, horror, heroic, wonder, peace, and spiritual devotion. From a research perspective, Zentner et al. (2008) have incorporated the type of emotions elicited while listening to music into a scale – the Geneva Emotional Scale (GEMS) which are labeled as wonder, transcendence, tenderness, peacefulness, nostalgia, power, joyful entertainment, tension, and sadness. We used a combination of these two sources in order to arrive at the emotion labels used for this study, namely, happy, romantic, devotional, calm/soothed, angry, longing/yearning, tensed/restless, and sad.
The basic set of tones and tone-relationships used in NICM from which ragas are derived are the 12-tone octave divisions (Castellano et al., 1984; Bowling et al., 2012). Each interval is a tone defined by the ratio of its fundamental frequency with the tonic, or ‘root’ note and is termed as tonic interval. The “major” intervals are the shuddh swaras or the natural notes namely, second, third, sixth, and seventh while the “minor” intervals are the komal swaras (flat) positions of the same tones. (Tonic interval names used in NICM, frequency ratios, sizes in cents in Just intonation and 12-tone equal temperament (12-TET) tunings and the corresponding interval name in the Western chromatic scale are provided in Table 1). Apart from the 12 tones mentioned in Table 1, there exist a set of 10 more intermittent tones which comprise the 22 sruti system in Indian classical music (Loy, 2011). Sruti refers to subtle intervals produced because of oscillations in pitch. This occurs when a note is subjected to a slow shake or an exaggerated vibrato, either as a decoration or as a functional feature of a raga. However, the prevalence of the 22 srutis in the modern period is a subject of much discussion and debate. A recent analysis of srutis by Serra et al. (2011) has shown that Hindustani classical music has equal-tempered influences as compared to Carnatic music which emphasizes on ornamentation (Koduri et al., 2012) and follows the Just-Intonation system. Consequently, we used the 12-tone classification in Equal temperament scale for evaluating the tonality of ragas.
A raga uses a set of five or more notes from the fixed scale of seven notes, to construct a melody. However, it is not enough to define a raga in terms of mode or scale alone, as a number of ragas have the same notes, yet each maintains its own musical identity. For instance, both ragas Miyan ki Malhar and Bahar contain the same notes (Sa, Re, ga, Ma, Pa, Dha, ni, Ni) and yet sound quite different because of the way the notes in the scale are approached and combined. As described by Jairazbhoy (1995) when different performances of the same raga are examined we find that allowing for divergence of tradition and the possibility of experimentation, not only are the same notes consistently used, but also particular figurations or patterns of notes occur frequently. The most characteristic patterns of notes in a raga are described as ‘pakar,’ a catch phrase by which the raga can be easily recognized. These patterns of notes for a raga can be described in terms of their melodic movements, ascending (aaroh) and descending (avroh) lines of a raga. Ragas can have different rules of ascent and descent (for example, in raga Desh the ascent is a step by step pentatonic movement (Sa, Re, Ma Pa, Ni Sa’) while the descent is hepatonic (Sa’ ni Dha Pa, Dha Ma Ga, Re Ga Sa). Moreover, in a raga, in theory, two notes are given greater importance than the others. These notes are called the vadi – sonant, and the samvadi – consonant. The vadi is the most important note in the characteristic phrase (pakar) of that raga and is superabundant in that raga. On the other hand as compared to the vadi, the samvadi is described as the note that is less frequent but more than the other notes in the raga. The vadi and samvadi could naturally fluctuate, depending on whether the ascending or descending disjunct segments are being emphasized. For instance, in raga Yaman, Ga and Ni would qualify as the two most important notes in the ascent (ni Re Ga and ma Dha Ni) where as Pa and Re would be the two most important notes in the descent (Sa’ Ni Dha Pa and Pa Ma Ga Re).
A raga composition is typically presented as a specific sequence of events, namely the alaap followed by the gat. Alaap is the note by note delineation of a raga bound by a slow tempo, but not bound by any rhythmic cycle. Gat is the composition rendered at a faster tempo with accompaniment of a percussion instrument that provides a rhythmic cycle. The rhythmic cycle is measured in terms of time units or beats. These rhythmic structures can vary in the degree of pulse clarity. Pulse clarity is the estimate, on a large time scale, of how clearly the underlying pulsation in music is perceivable and is regarded as a measure for the underlying periodicity of the music (Lartillot et al., 2008). Thus, pulse clarity provides a measure of rhythmic regularity. Besides features such as pulse clarity, tempo is an important factor contributing to the perception of rhythm, which can be estimated as the number of notes presented per second. For the purpose of this study, rhythmic regularity was determined by estimating pulse clarity while tempo was determined in terms of note density of raga excerpts.
A review of the literature indicates that a few studies have investigated the proposal that different ragas express emotions that are perceived by the listener’s (Balkwill and Thompson, 1999; Chordia and Rae, 2008; Wieczorkowska et al., 2010). The earliest of these was conducted by Balkwill and Thompson (1999) where they asked 30 Western listeners to judge the expression of 12 Hindustani ragas intended to express anger, joy, peace, and sadness. They found that despite being culturally unfamiliar, listeners were sensitive to the intended expression of the ragas. A similar study was conducted by Chordia and Rae (2008) in which they studied emotional responses to five ragas on a scale of six emotions – happy, peaceful, sad, longing, tense, and romantic. While their results also suggested that ragas do consistently elicit specific emotions that are associated with musical properties, they also indicated that the primary predictors of emotion of ragas are pitch-class distribution, pitch-class dyad entropy, overall sensory dissonance, and note density. The multiple regression analysis conducted to determine the most important factors and their total predictive value revealed that these features in combination explained between 11% (peaceful) and 33% (happy) of response variance. However, none of the studies have elucidated the role of any specific tonic interval. To summarize, while the studies described above have clearly confirmed that distinct ragas elicit distinct emotions, they have used as stimuli the introductory section of ragas namely, the alaap. None of them have investigated the emotions experienced during the gat of ragas. Consequently, there is little information about the complex interplay of rhythmic regularity and tempo in predicting the emotion experienced for gat of ragas.
The current study builds on this past research and extends it to address new questions. The specific objectives of this study were to (1) discriminate the emotion experienced by alaap and gat for various ragas (2) investigate the effects of (a) rhythmic regularity, (b) tempo and (c) tonality, on the emotions experienced. Listener responses were sought from a diverse population, for which a website (http://emotion-in-music.nbrc.ac.in/p1/) was developed and the study was conducted online. After analyzing the emotional responses, a label of emotion experienced was assigned to each raga. Three musical features, namely, pulse clarity, tempo, and tonality were estimated for each raga composition. Our specific hypotheses were the following (1) distinct emotional responses would be associated with alaap and gat of a raga; (2) rhythmic regularity and tempo would both modulate emotional response. (3) Since the emotion associated with a raga is believed to be an attribute of the tonic intervals from which it is derived, tonality would influence the emotional response.
Materials and Methods
Three minute instrumental renditions of 12 ragas were played by a professional musician on sarod (a stringed instrument) and digitally recorded in both alaap and gat. Participants were permitted to provide emotion ratings only after listening to the composition for at least 1 min. This had two advantages: (a) it ruled out random responses, and (b) it gave each participant the flexibility to listen to the composition as per their choice between 1 and 3 min. The list of the ragas played and scale used by the artist are given in Table 2. All the pieces in gat were provided similar rhythmic accompaniment on tabla in teen taal, a rhythm symmetrical in structure having sixteen beats in four equal divisions. One-minute sample in both alaap and gat are given as supplementary files (see Supplementary audio clips S1, S2, S3, and S4). A short cartoon film was shown to the participants in an attempt to ensure that all the participants began the survey in a pleasant mood. Participants were instructed to listen to raga excerpts for a minimum of 1 min and rate each raga on all the following emotions on a 0–4 Likert scale (with 0 being ‘not at all felt’ to 4 being ‘felt the most’). The emotion labels were; happy, romantic, devotional, calm/soothed, angry, longing/yearning, tensed/restless, and sad. The emotion labels in the response form were also presented in Hindi and transliterated to Hindi (for example, Happy – , khush). The ragas were presented in alternating alaap and gat blocks. The experiment consisted of four such blocks with each block consisting of six ragas. The presentation of alaap or gat as the first block was counterbalanced across subjects. The order of presentation of ragas within each block was randomized across participants. The participants were given an option to opt out of the survey after rating atleast two blocks (i.e., 12 ragas – six alaap and six gat). The survey was presented in English.

TABLE 2. The table lists the ragas used in the study and the scale used by the artist to play the raga.
Participant Details
Participants were recruited through word of mouth and social media platforms. Since the study was conducted online participants from across the world participated in the study. In view of the primary objectives of the study as described earlier, the analysis presented in this study focuses only on data from Indian participants who completed atleast half the survey [i.e., rated at least six alaap excerpts (out of 12) and six gat excerpts (out of 12)]. Thus, ratings from 122 participants (F = 66, M = 56) were considered for analysis presented herewith. Their ages were distributed as follows – below 20 years (12%), 20–40 years (59%), 40–60 years (26%), and above 60 years (2%). Participants also rated their familiarity with NICM on a scale of 0–4 (0 not at all, 1 a little, 2 somewhat, 3 very, and 4 expert). Analysis of demographic details showed that 42% of the participants reported themselves as not at all or a little familiar with NICM and 56% of participants considered themselves as somewhat, very familiar or expert in NICM. Two participants (2%) did not give their familiarity details. The Institutional Human Ethics Committee of the National Brain Research Centre, India, approved the study.
Data Analysis
Analysis was conducted at three levels (1) behavioral analysis of emotional response, (2) extraction of musical features of ragas and (3) correlation and regression analysis to investigate the relationship between musical features and emotional response.
The results of the survey were analyzed using SPSS v. 20 as described below.
Behavioral Analysis
Median ratings for each emotion were computed to assign an emotion label to a raga. The emotion with the highest median rating for a given raga was assigned as the typical emotion elicited by that raga.
Assessment of Musical Structure
Tempo, Rhythmic Regularity and Tonality
As per the objectives of this study, the effect of three musical structures namely tempo, rhythm and tonality on emotional response were assessed.
Tempo was estimated in terms of number of notes presented per second and was measured in terms of note density. Rhythmic regularity was measured in terms of time units or beats and was calculated in terms of pulse clarity. Matlab-based toolbox (MIR v.1.5) developed by Lartillot et al. (2008) was used to estimate both note density and pulse clarity. To estimate the note density, the mireventdensity function was used which estimates the average frequency of events (note onsets per second) for an excerpt. Similarly, pulse clarity was estimated by using mirpulseclarity function in terms of the Shannon entropy of the fluctuation spectrum of a particular musical composition (Pampalk et al., 2002). Music with easily perceived beats has a distinct and regular fluctuation spectrum and consequently has a low fluctuation entropy and high pulse clarity.
The third musical structure, namely tonality, is a central organizing principle in many different kinds of music and pitches are heard in relation to a tonic pitch (Chordia and Rae, 2008). It was calculated by estimating the mean frequency of occurrence of different tonic intervals as described by Bowling et al. (2012).
Tonic interval is the difference in cents between the fundamental frequencies of the note being compared with the tonic. The pitch was extracted using Melodia- Melody extraction toolbox for every 30 ms window for all ragas (Salamon and Gómez, 2012) and converted into cents using the following formula (refer to equation no. 1, f1 is the frequency of the note in Hz and f0 is the frequency of the tonic in Hz).
An important point for consideration here was bin size. As pointed out in the introduction, apart from the 12 tones mentioned in Table 1, there exist a set of 10 intermittent tones which comprise the 22 sruti system in Indian classical music (Loy, 2011). Consequently, a smaller bin size would be considered more suitable to faithfully capture all the tonic intervals. However, recent work by (Koduri et al., 2012) has shown that Hindustani music uses the equi-tempered scale as compared to Carnatic music and has primarily equal-tempered influences. It is therefore sufficient to use the 12-tone classification in Equal temperament scale for evaluating the tonality of ragas. As seen from Table 1, a bin size of 100 cents would be sufficient. Accordingly, to estimate tonality, the corresponding interval size data was collated in 100 cent bins spanning three octaves (labeled from -1200 to 2400 cents). The mean frequency of occurrence of tonic intervals was calculated for each bin. Three octaves were then folded into one by adding the mean frequency of occurrence of the notes in each of the corresponding bins across the three octaves. For instance, the mean frequency of occurrence of komal re would be the additive mean frequency of occurrence in -1100, 100, and 1100 cent bins [refer to Supplementary Figure S1 (Image1)].
Relationship Between Musical Structure and Emotional Response
To assess whether there were statistically significant differences in rhythmic regularity (pulse clarity) and tempo (note density) among the ragas with different experienced emotions one-way ANOVAs were conducted. The values of pulse clarity and note density for both alaap and gat of ragas were taken as dependent variables and the emotions experienced were taken as the independent variable.
To study the effect of tonality on emotional response, correlation analysis was conducted. Correlations were calculated between the average rating of an emotion and the mean frequency of occurrence of tonic intervals across the 12 ragas played in gat. To characterize which of these tonic intervals were the best predictors of the emotional response stepwise linear regression analysis was conducted. In the regression analysis, the vector containing average ratings for an emotion across the 12 ragas was taken as the dependent variable and the mean frequency of occurrence of the 12 tonic intervals was taken as the independent variable.
Results
Behavior
In order to assign an emotion label to a raga median ratings for each emotion were computed. Shapiro–Wilk normality test were conducted to assess the normality of the data. The normality tests conducted on the ratings of each emotion for all the ragas were significant (p < 0.001) indicating non-normal distributions of ratings. Consequently, non-parametric statistical tests were used to compare the median ratings of emotions for each raga. To evaluate differences in the medians of ratings of the eight emotions for each raga, Friedman one-way ANOVA by rank tests were conducted (refer to Supplementary Tables S1 and S2). The results of Friedman ANOVA were significant at p < 0.001. To further assess the highest experienced emotion post hoc Wilcoxon tests were conducted. For each raga, seven post-hoc Wilcoxon tests were conducted, wherein the median of the highest rated emotion was compared with other seven emotions. In the post hoc test, emotions whose median ratings did not differ significantly from each other [marked with an asterisk (∗) in Supplementary Tables S1 and S2] were considered as the highest experienced emotions by the participants for that particular raga. On this basis, the highest experienced emotion was determined and emotion label was assigned to each raga. The highest experienced emotions were, ‘calm’ and ‘sad’ for the arrhythmic phase (alaap) of ragas and ‘happy,’ ‘tensed,’ and ‘longing’ for the rhythmic phase (gat) of ragas. The ragas with emotion labels of calm/happy were Hansdhwani, Tilak Kamod, Desh, Yaman, Ragesree, Jog while ragas with emotion labels of sad/longing/tensed were Malkauns, Shree, Marwa, Miyan ki Todi, Basant Mukhari, Lalit.
Response matrices representing the median ratings of experienced emotions by the participants were plotted for alaap and gat (refer to Figure 1). The median ratings of emotion are color coded where the intensity of color represents the strength of the emotional response. The highest median rating for ragas rated as ‘calm/soothing’ during ‘alaap’ shifted to ‘happy’ when played in gat. On the other hand, the highest median rating for ragas rated as ‘sad’ shifted to ‘longing/yearning’ or ‘tensed/restless’ during gat. ‘Angry’ remained the lowest rated emotion for both categories of ragas.

FIGURE 1. The response matrices represent the median ratings for ragas across the two presentation modes (A) alaap and (B) gat. The median ratings of emotion are color coded: red represents ragas associated with ‘calm’ or ‘happy’ emotional response while blue represents ragas associated with ‘sad,’ ‘longing,’ or ‘tensed’ emotional response. The intensity of color in the color bar represents the valence of the ratings. The numbers below each matrix are representative of the following ragas: (1) Hamsadhwani, (2) Tilak kamod, (3) Desh, (4) Rageshree, (5) Jog, (6) Yaman, (7) Malkauns, (8) Marwa, (9) Basant Mukhari, (10) Lalit, (11) Shree, (12) Miyan ki Todi.
Musical Structure
Rhythmic Regularity and Tempo
The average note density was higher in gat than in alaap of ragas (refer to Figure 2A). A paired sample t-test was conducted to compare the note density in alaap and gat of ragas. There was a significant difference in note density across alaap (M = 0.76, SD = 0.06) and gat (M = 1.23, SD = 0.13); t(11) = -13.98, p < 0.001. The pulse clarity was also significantly higher in gat as compared to alaap (refer to Figure 2B). A paired sample t-test conducted to compare the pulse clarity across alaap (M = 0.04, SD = 0. 01) and gat (M = 0. 43, SD = 0.04) was significant; t(11) = -34.76, p < 0.001.

FIGURE 2. Tempo and Rhythmic regularity. The figure shows the average value of note density (estimate of tempo) estimated as the number of note onsets per second (A) and pulse clarity (estimate of rhythmic regularity) estimated as the level of rhythmic periodicities (B) across alaap and gat of ragas. Note: The paired sample t-tests showed that note density and pulse clarity were significantly higher for gat of ragas as compared to alaap at p < 0.001 (marked with an asterisk (∗)).
Thus tempo (measured in terms of note density) and rhythmic regularity (measured in terms of pulse clarity) were both significantly higher for gat as compared to alaap of a raga.
Tonality
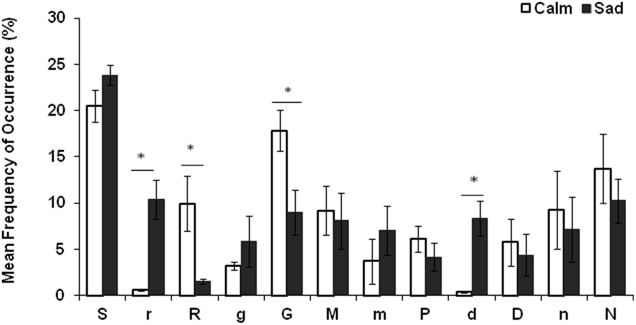
The percent mean frequency of occurrence of tonic intervals were averaged across alaap of ragas for which emotional response was ‘calm’ and ‘sad’ (Figure 3). The analysis of tonic intervals revealed that ragas that were rated for ‘calm’ were characterized primarily by major intervals (shuddh swaras) while those rated for ‘sad’ were characterized by minor intervals (komal swaras). Two-tailed Mann–Whitney U-test was conducted to assess the statistical significance of the differences in the mean frequency of occurrence of major and minor intervals. The results revealed that (a) the mean frequency of occurrence of the major second [shuddh Re (z = -1.92, p ≤ 0.05)] and major third [shuddh Ga (z = -2.24, p < 0.05)] was significantly higher in ragas with ‘calm’ emotional response. (b) The mean frequency of occurrence of minor second [komal re (z = -2.88, p < 0.05)] and minor sixth [komal dha (z = -2.88, p < 0.05)] was significantly higher for ragas with ‘sad’ emotional response (for complete statistics of the texts refer to Supplementary Table S3). The results remained consistent for gat of ragas [see Supplementary Figure S2 (Image2)].

FIGURE 3. The tonic intervals of ragas. The percent mean frequency of occurrence of tonic intervals averaged across alaap of ragas for which experienced emotion was ‘calm’ and ‘sad.’ Note: Two-tailed Mann Whitney U-test showed that percent mean frequency of occurrence of komal re and komal dha were significantly higher for ragas with ‘sad’ emotional response at p < 0.05 (marked with an asterisk (∗)). In addition, percent mean frequency of occurrence of shuddh Re and shuddh Ga were significantly higher for ragas with ‘calm’ emotional response at p < 0.05 (marked with an asterisk (∗)).
Relationship Between Musical Structure and Emotional Response
Effect of Rhythmic Regularity and Tempo
The next analysis focused on investigating the relationship between emotional response and musical structure. Two separate ANOVA’s were conducted. In the first ANOVA, pulse clarity was taken as the dependent variable while the emotions experienced across ragas (calm, happy, sad, and tensed) were treated as the independent variable. In the second ANOVA, note density was the dependent variable, while the emotions experienced was the independent variable. The results of the two ANOVAs are summarized in Table 3.

TABLE 3. Results of One way Analysis of Variance (ANOVA) conducted separately to investigate whether ragas with different experienced emotions differ in rhythmic regularity (pulse clarity) and tempo (note density) are listed below.
There were no outliers and the data for note density and pulse clarity was normally distributed for each group, as assessed by boxplot and Shapiro–Wilk test (p < 0.05), respectively. Since, homogeneity of variances, as assessed by Levene’s Test of Homogeneity of Variance was violated for both note density (p = 0.003) and pulse clarity (p = 0.02), the results of Welch ANOVA and post hoc Games-Howell test for multiple comparisons are reported.
The results of one-way ANOVA indicate that there were statistically significant differences in note densities, depending on the experienced emotion [Welch’s F(3,8.78) = 59.11, p < 0.0005). The note density was higher for gat of ragas rated as happy (M = 1.28, SD = 0.13) as compared to calm (M = 0.78, SD = 0.08) and for tensed (M = 1.18, SD = 0.11) as compared to sad (M = 0.73, SD = 0.02). Games-Howell post hoc analysis revealed that the mean increase of note density from alaap of ragas rated as ‘calm’ to gat of ragas rated as ‘happy’ [0.50, 95% CI (0.31,0.70)] was statistically significant (p < 0.005). Similarly, the increase from alaap of ragas rated as ‘sad’ to gat of ragas rated as ‘tensed’ [0.45, 95% CI (0.28,0.62), p = 0.001] was statistically significant (p < 0.005).
The results of one-way ANOVA for pulse clarity showed similar results, [Welch’s F(3,9.89) = 486.68, p < 0.0005]. The pulse clarity for gat of ragas rated as happy (M = 0.42, SD = 0.05) or tensed (M = 0.44, SD = 0.03) was higher as compared to alaap of ragas rated as calm (M = 0.04, SD = 0.01) or sad (M = 0.04, SD = 0.01). Games-Howell post hoc analysis revealed that the mean increase of pulse clarity from alaap of ragas rated as ‘calm’ to gat of ragas rated as ‘happy’ [0.38, 95% CI (0.31,0.45)] was statistically significant (p < 0.005). Similarly, the increase from alaap of ragas rated as ‘sad’ to gat of ragas rated as ‘tensed’ [0.40, 95% CI (0.31,0.45)] was statistically significant, (p < 0.005).
In summary, both tempo and rhythmic regularity of a raga modulate emotional response and high arousal emotions (happy and tensed) are associated with faster rhythm.
Effect of Tonality
To study the effect of tonality on emotional response, correlation and stepwise linear regression analysis was conducted. Since, listeners of gat of ragas experienced high arousal emotions; analysis was conducted only for gat.
To assess the influence of minor and major intervals on happy and tensed ratings, the ratio of mean frequency of occurrence of minor to major intervals was estimated and correlated with average ratings of ‘happy’ and ‘tensed’ emotion. The correlation plot of average ‘happy’ and ‘tensed’ ratings with the ratio of mean frequency of occurrence of minor to major tonic intervals is shown in Figure 4. The plot indicates that minor/major tonic interval frequency ratio is negatively correlated with happy ratings (r = -0.59, p < 0.05) and positively correlated with tensed ratings (r = 0.65, p < 0.05). This indicates that an increase in mean frequency of occurrence of minor intervals is associated with tense emotion, whereas an increase in mean frequency of occurrence of major intervals is associated with happy emotion.

FIGURE 4. Correlation plot between the ratio of mean frequency of occurrence of minor to major tonic intervals and average happy and tensed ratings across gat of ragas. The correlation coefficients (r) marked with asterisk (∗) are significant at p < 0.05.
Further, correlations were calculated between the average rating of an emotion and mean frequency of occurrence of each of the tonic intervals across the twelve ragas (refer to Table 4). The results of the correlation analysis indicate that the mean frequency of occurrence komal re, shuddh Re, and komal dha have significant correlations. To characterize which of these tonic intervals are the best subset for predicting the emotional response stepwise linear regression analysis was conducted. In the regression analysis, the vector containing average ratings for an emotion across the 12 ragas was taken as the dependent variable and the mean frequency of occurrence of the 12 tonic intervals were taken as the independent variables. The assumptions of linearity, independence of errors, homoscedasticity and normality of residuals were met. The results of regression analysis are reported in Table 5. The percent mean frequency of occurrence of the minor second (komal re, re) explained 58% of the variance for ratings of ‘happy’ emotion [R2 = 0.58, F(1,10) = 16.48, p < 0.05] and 89% of the variance for ratings of ‘tensed’ emotion [R2 = 0.89, F(1,10) = 44.46, p < 0.001]. The mean frequency of occurrence of komal re was significantly negatively correlated with ‘happy’ (β = -0.79, p < 0.05) and positively correlated with ‘tensed’ (β = 0.91, p < 0.001) emotion ratings.

TABLE 4. The table lists the correlation coefficients of correlations between the average emotion ratings and mean frequency of occurrence of each tonic interval across the 12 ragas.

TABLE 5. Results of Stepwise multiple linear regressions performed in order to determine the variance of the emotional responses explained by the tonic intervals in gat of ragas.
Discussion and Conclusion
This study reports for the first time emotional responses of North Indian Classical ragas when rendered in two distinct presentation modes, namely, alaap and gat. Specifically, we found that (1) distinct emotional responses are associated with alaap and gat of a raga. (2) Pulse clarity and tempo significantly influenced the emotion experienced in terms of arousal. (3) Major intervals (shuddh swaras) are predictive of reported positive valence while minor intervals (komal swaras) are predictive of reported negative valence. (4) The minor second is a significant predictor of negative valenced emotional response. We discuss below the implications of these results.
Ragas and Emotional Response
The key finding of our study was the experimental verification of the hypothesis that distinct emotional responses would be associated with alaap and gat of a raga. During the arrhythmic phase (alaap), an artist introduces the notes of the raga and the exposition is focused on setting the scale and the key structure of the melody. The rhythmic phase (gat) on the other hand, is faster and rhythmic and a percussionist accompanies the artist. As a consequence, the alaap of raga is believed to set the mood of raga, while gat enhances perception of emotion for that raga (Chib, 2004; Juslin and Sloboda, 2011).
Our results indicate that ragas evoke a gamut of responses that range from ‘happy’ and ‘calm’ to ‘tensed’ and ‘sad’ (as shown by results in Figure 1, Supplementary Tables S1 and S2). In particular, the emotional response to ragas (like Desh and Tilak Kamod) shifts from ‘calm/soothing’ in the slower arrhythmic alaap to ‘happy’ in the faster rhythmic gat. In parallel, the emotional response of ‘sad’ in the slower arrhythmic phase shifts to‘tensed’ in the faster rhythmic phase (e.g., Shree and Miyan ki Todi; Figures 1A,B). An interesting feature was the fact that all ragas universally generated a calming effect and anger remained the lowest rated emotion category. This is in consensus with research on Western music which shows that negative emotions like anger which are regularly experienced in everyday life are only rarely experienced in response to music (Juslin and Laukka, 2004; Laukka, 2006). However, anger relates to irritation, which is most likely to arise when people are exposed to music they fail to understand, dislike, or even abhor (Zentner et al., 2008), or when the music is unwanted/too loud and thus considered annoying, i.e., noise.
Role of Musical Structure in Emotion Experienced
The results revealed that pulse clarity (estimate of rhythmic regularity) and note density (estimate of tempo) differ among ragas with different experienced emotions, where high arousal emotions (happy/tensed) are associated with a faster rhythm. In addition, tonality significantly influenced the emotion experienced as the increase in mean frequency of occurrence of minor intervals was associated with ‘tensed’ emotion whereas increase in mean frequency of occurrence of major intervals was associated with ‘happy’ emotion (refer to Figure 4). Thus, our results indicated that the tonal distribution patterns determine the underlying mood (rasa) of a raga and the presence of rhythm changes the level of arousal of emotions experienced.
These results appear to be universal across musical genres. For instance, in a study conducted by Husain et al. (2002), participants were asked to listen to four versions of Mozart sonata (fast-major, fast-minor, slow-major, and slow-minor) and rate their affective state on adjectives on vigor-activity subscale describing high arousal (lively, active, energetic, full of pep, and vigorous) and depression-dejection subscale describing negative mood (sad, unworthy, discouraged, lonely, and gloomy). They found that the music manipulations were associated with changes in arousal and mood. The fast-tempo versions were accompanied by increases in listeners’ levels of arousal, whereas the slow-tempo versions caused decreases in arousal. By contrast, the mode of the piece was associated with listeners moods. Those who heard the major mode became more positive in mood, whereas the minor mode caused negative shifts in mood. Thus, tempo and mode were relatively separable in this regard. Another study by Laukka and Gabrielsson (2000) showed that rhythm alone can convey emotions. This tested the idea that drumbeats could express emotions by playing clips of drum performances and found that listeners could accurately indicate which emotions the drummers were attempting to express even though the drummers were limited in the instruments and rhythms they could utilize. While our results clearly support the idea that rhythm plays a significant role in emotional response to music, with the existing design we are unable to separate the specific roles played by tempo and rhythmic regularity and merit further research.
Tonality analysis of ragas revealed that ragas with positive valence (for e.g., calm and happy) have a greater mean frequency of occurrence of major intervals (shuddh swaras) where as ragas with negative valence (for e.g., sad or tensed) are characterized by an increased frequency of minor intervals (Komal swaras; Figure 3). Within the subset of ragas used in this study, there was a significant difference in the mean frequency of occurrence of minor second (komal re), major second (shuddh Re), major third (shuddh Ga), and minor sixth (komal dha; refer to Figure 3). The mean frequency of occurrence of minor second shows significant negative correlation with‘happy,’ ‘romantic,’ and ‘calm’ experienced emotions which suggests that its absence plays an important role in the rating of a raga as positive. On the other hand, it shows significant positive correlation with ‘sad’ and ‘tensed’ experienced emotions (refer to Table 4). In addition, the minor second appears as a significant positive predictor of ‘tensed’ emotion for gat of ragas and explains 89% of variance in ratings of ‘tensed’ emotion (refer to Table 5). Tonality, by definition, creates a hierarchical system in which the ‘minor second’ is a significant ‘pointer’ to the tonic, a ‘leading note.’ In tonal music therefore, the minor second holds a position as an ‘upper leading note’ (Moore, 2014). However, it is a dissonant interval, since the semitone overtone relationship is 16/15 (Table 1). By definition, for a consonant interval, the interval between two notes is a simple numerical ratio of frequencies in terms of the harmonic overtone series (Plomp and Levelt, 1965). Based on structure and composition, all ragas are tonal and the tonic is the reference point. As suggested by Moore, the ‘minor second’ with its tension and high ‘yearning’ toward the tonic, may build a narrative of hope or fear, the resolution of which brings associations of tension, yearning and a release of energy. The results of this study encourage us to hypothesize that minor second in NICM plays an important role in conveying tension and further studies should attempt to investigate its role in detail.
At the same time, the present study is characterized by certain limitations which restrict the generalizability of these findings. The first of these is with regard to the concept of sruti in NICM. The 12-tone semitone system of western music is clearly at odds with the 22 sruti system since some semitones are composed of one sruti while others of two or more. However, the sruti system still cannot account for the minute deviations from the norm, many of which are unconsciously presented by the artist. Thus for the purposes of this study, we were obliged to use the twelve semitone system, while making allowances for minor variations which is a limitation of this study. Secondly, to arrive at an emotion label for a raga, we should ideally have multiple excerpts of the same raga, played on different instruments by different performers (in alaap or gat) and then rated by listeners. When responses across different performers and different intruments all emerge with the same label, we would then have truly assigned an emotion label to a raga. Hopefully, further studies conducted on a large scale can address this question. Finally, we used self-reports to assess participants emotional responses. It can therefore not be ruled out that at least some of the participants rated expressed emotion instead of experienced emotion.
Nevertheless, our study provides new evidence that ragas evoke distinct emotional responses across distinct presentation modes (alaap and gat). This opens up the possibility of using different ragas as robust mood-inducing stimuli, which is relevant for studies on emotion. We also found that rhythmic regularity and tempo influence emotion experienced. Finally, one of the most interesting findings of our study was the association of the minor second with ‘tensed’ emotion. This is distinct from past work in Western classical music that has shown an association for the minor third with sadness in Western music (Curtis and Bharucha, 2010). Future work will attempt to extend these findings to larger population in order to delineate influences of culture, familiarity and musical training on emotion experienced.
Conflict of Interest Statement
The authors declare that the research was conducted in the absence of any commercial or financial relationships that could be construed as a potential conflict of interest.
Acknowledgments
Funding for this work was provided by National Brain Research Centre, India. We thank Pt. Mukesh Sharma for playing the ragas for the study. We thank Mahesh Prasad, Chaitra Rao, and Arkoprovo Paul for helpful discussions and assistance in experimental design. We also acknowledge the volunteers for their participation in the survey. Finally, we acknowledge three anonymous reviewers for their insightful critiques of the manuscript.
Supplementary Material
The Supplementary Material for this article can be found online at: http://journal.frontiersin.org/article/10.3389/fpsyg.2015.00513/abstract
References
Balkwill, L.-L., and Thompson, W. F. (1999). A cross-cultural investigation of the perception of emotion in music: psychophysical and cultural cues. Music Percept. 17, 43–64. doi: 10.2307/40285811
Bhatkhande, V. N. (1934). A Short Historical Survey of the Music of Upper India. Hathras: Sangeet Karyalaya.
Bowling, D. L., Sundararajan, J., Han, S., and Purves, D. (2012). Expression of emotion in Eastern and Western music mirrors vocalization. PLoS ONE 7:e31942. doi: 10.1371/journal.pone.0031942
PubMed Abstract | Full Text | CrossRef Full Text | Google Scholar
Castellano, M. A., Bharucha, J. J., and Krumhansl, C. L. (1984). Tonal hierarchies in the music of north India. J. Exp. Psychol. Gen. 113, 394–412. doi: 10.1037/0096-3445.113.3.394
PubMed Abstract | Full Text | CrossRef Full Text | Google Scholar
Chib, S. K. (2004). Companion to North Indian Classical Music. New Delhi: Munshiram Manoharlal Publishers Pvt. Ltd.
Chordia, P., and Rae, A. (2008). “Understanding emotion in raag: an empirical study of listener responses,” in Proceedings of International Symposium on Computer Music Modeling and Retrieval, Sense of Sounds, ed. D. Swaminathan (Berlin: Springer), 110–124. doi: 10.1007/978-3-540-85035-9_7
Curtis, M. E., and Bharucha, J. J. (2010). The minor third communicates sadness in speech, mirroring its use in music. Emotion 10, 335–348. doi: 10.1037/a0017928
PubMed Abstract | Full Text | CrossRef Full Text | Google Scholar
Husain, G., Thompson, W. F., and Schellenberg, E. G. (2002). Effects of musical tempo and mode on arousal, mood, and spatial abilities. Music Percept. 20, 151–171. doi: 10.1525/mp.2002.20.2.151
Jairazbhoy, N. A. (1995). The Rāgs of North Indian Music: Their Structure and Evolution. Bombay: Popular Press Pvt. Ltd.
Juslin, P. N., and Laukka, P. (2004). Expression, perception, and induction of musical emotions: a review and a Questionnaire study of everyday listening. J. New Music Res. 33, 217–238. doi: 10.1080/0929821042000317813
Juslin, P. N., and Sloboda, J. (2011). Handbook of Music and Emotion: Theory, Research, Applications. Oxford: Oxford University Press.
Juslin, P. N., and Västfjäll, D. (2008). Emotional responses to music: the need to consider underlying mechanisms. Behav. Brain Sci. 31, 559–575. doi: 10.1017/S0140525X08005293
PubMed Abstract | Full Text | CrossRef Full Text | Google Scholar
Kaufmann, W. (1965). Rasa, rāga-mālā and performance times in North Indian râgas. Ethnomusicology 9, 272–291.
Kivy, P. (1989). Sound Sentiment: An Essay on the Memotions, Including the Complete Text of the Cshell. Philadelphia: Temple University Press.
Koduri, G. K., Serra, J., and Serra, X. (2012). “Characterization of intonation in carnatic music by parametrizing pitch histograms,” in Proceedings of the 13th International Society for Music Information Retrieval Conference (ISMIR), Porto: FEUP Ediçoes, 199–204.
Krumhansl, C. L. (1997). An exploratory study of musical emotions and psychophysiology. Can. J. Exp. Psychol. 51, 336–353. doi: 10.1037/1196-1961.51.4.336
Lartillot, O., Toiviainen, P., and Eerola, T. (2008). “A matlab toolbox for music information retrieval,” in Data Analysis, Machine Learning and A, eds C. Preisach, H. Burkhardt, L. Schmidt-Thieme, and R. Decker (Berlin: Springer-Verlag), 261–268.
Laukka, P. (2006). Uses of music and psychological well-being among the elderly. J. Happiness Stud. 8, 215–241. doi: 10.1007/s10902-006-9024-3
Laukka, P., and Gabrielsson, A. (2000). Emotional expression in drumming performance. Psychol. Music 28, 181–189. doi: 10.1177/0305735600282007
Loy, G. (2011). Musimathics: The Mathematical Foundations of Music, Vol. 1. Massachusetts: MIT Press.
Miller, T. E., and Williams, S. (2008). The Garland Handbook of Southeast Asian Music. New York, NY: Routledge.
Moore, S. (2014). The Other Leading Note: A Comparative Study of the Flat Second Pitch Degree in North Indian Classical, Ottoman or Arabian Influenced, Western, Heavy Metal and Film Musics Ph.D. thesis, University of Sheffield. (Doctoral dissertation, University of Sheffield).
Nyklíček, I., Thayer, J. F., and Van Doornen, L. J. P. (1997). Cardiorespiratory differentiation of musically-induced emotions. J. Psychophysiol. 11, 304–321.
Pampalk, E., Rauber, A., and Merkl, D. (2002). “Content-based organization and visualization of music archives,” in Proceedings of the Tenth ACM International Conference on Multimedia (ACM), New York, NY: ACM Multimedia, 570–579. doi: 10.1145/641007.641121
Plomp, R., and Levelt, W. J. M. (1965). Tonal consonance and critical bandwidth. J. Acoust. Soc. Am. 38, 548–560. doi: 10.1121/1.1909741
PubMed Abstract | Full Text | CrossRef Full Text | Google Scholar
Salamon, J., and Gómez, E. (2012). Melody extraction from polyphonic music signals using pitch contour characteristics. Audio Speech Lang. Process. IEEE Trans. 20, 1759–1770. doi: 10.1109/TASL.2012.2188515
Scherer, K. R. (1999). “Appraisal theory,” in Handbook of Cognition and Emotion, eds T. Dalgleish and M. J. Power (Chichester: Wiley), 637–663.
Scherer, K. R., and Zentner, M. R. (2001). “Emotional effects of music: Production rules,” in Music and Emotion: Theory and Research, eds P. Juslin and J. Sloboda (Oxford: Oxford University Press), 361–392.
Serra, J., Koduri, G. K., Miron, M., and Serra, X. (2011). “Assessing the tuning of sung Indian classical music,” in Proceedings of International Society for Music Information Retrieval (ISMIR), New York, NY: ISMIR, 157–162.
Sloboda, J. A., and Juslin, P. N., (2010). “At the interface between the inner and outer world,” in Handbook of Music and E: Theory, Research, and Applications, eds P. N. Juslin and J. A. Sloboda (Oxford: Oxford University Press), 73–98.
Wieczorkowska, A. A., Datta, A. K., and Sengupta, R. (2010). “On search for emotion in hindusthani vocal music,” in Advances in Music Information Retrieval, eds Z. W. Ras and A. A. Wieczorkowska (Berlin: Springer), 285–304, doi: 10.1007/978-3-642-11674-2
Zentner, M., Grandjean, D., and Scherer, K. R. (2008). Emotions evoked by the sound of music: characterization, classification, and measurement. Emotion 8, 494–521. doi: 10.1037/1528-3542.8.4.494
PubMed Abstract | Full Text | CrossRef Full Text | Google Scholar
Keywords: music, emotion, ragas, rhythmic regularity, tempo, tonality
Citation: Mathur A, Vijayakumar SH, Chakrabarti B and Singh NC (2015) Emotional responses to Hindustani raga music: the role of musical structure. Front. Psychol. 6:513. doi: 10.3389/fpsyg.2015.00513
Received: 24 September 2014; Accepted: 10 April 2015;
Published online: 30 April 2015.
Edited by:
Petri Laukka, Stockholm University, SwedenReviewed by:
Swathi Swaminathan, University of Toronto, CanadaTuomas Eerola, Durham University, UK
Alicja Wieczorkowska, Polish-Japanese Institute of Information Technology, Poland
Copyright © 2015 Mathur, Vijayakumar, Chakrabarti and Singh. This is an open-access article distributed under the terms of the Creative Commons Attribution License (CC BY). The use, distribution or reproduction in other forums is permitted, provided the original author(s) or licensor are credited and that the original publication in this journal is cited, in accordance with accepted academic practice. No use, distribution or reproduction is permitted which does not comply with these terms.
*Correspondence: Nandini C. Singh, Speech and Language Laboratory, Cognitive Neuroscience, National Brain Research Centre, Nainwal Mode, Manesar, 122 050 Haryana, India,bmFuZGluaUBuYnJjLmFjLmlu