Abstract
This study aimed to investigate the common predictive factors between social media addiction (SMA) and eating disorder symptoms (EDS), in a group of Chinese female college students. A total of 216 students completed the behavioral assessments of cognitive flexibility and sustained attention, as well as the questionnaires on anxiety, social media dependence, and eating disorders. The results indicate that SMA is significantly correlated with EDS. Structural equation modeling was used to test the model in which state anxiety, cognitive flexibility, and sustained attention predicted social gain and EDS. Additionally, the results confirmed the mediating role of cognitive flexibility and sustained attention between state anxiety and SMA/EDS in the participants. The findings revealed that in the sample group, state anxiety was related to SMA and EDS through cognitive flexibility and sustained attention. These proposals reflect the significance of improving cognitive flexibility/sustained attention and reducing state anxiety to prevent EDS and SMA in female college students.
Introduction
In modern society, social media has become an indispensable part of the daily lives of people. Compulsive social media use has repercussions on the social, psychological, professional, and personal lives of the users (Abbasi, 2018). Its widespread use has increased the ease of interpersonal communication between individuals and socialization processes; yet, it has also led to social media addiction (SMA) emerging as a problem (Kumpasolu et al., 2021). When individuals are so engaged in social media that they feel distressed when they are unable to use it, such misuse is widely referred to as SMA (Hou et al., 2019; Hussain and Starcevic, 2020). Most social media users constitute young adults at the age of 18–24 years (Ramesh-Masthi et al., 2018). SMA is particularly prominent in college students, due to early contact and widespread usage (Zendle and Bowden-Jones, 2019).
Online social media behaviors (e.g., viewing and commenting) have been significantly correlated with a drive for thinness (DT) among female undergraduate students (Ji and Chock, 2015). Eating disorder symptoms (EDS), especially among young adults, have become a worldwide concern (Alpaslan et al., 2015). Many social, cultural, and psychological factors are associated with eating attitudes and behaviors. Social media sites, such as Weibo, are among the most widespread and used online communication networks (Navithasulthana and Shanmugam, 2021). Previous studies found that people who use Facebook more were less satisfied with their appearance (Stronge et al., 2015) and reported more eating disorders (Mabe et al., 2014). Conversely, women with EDS also come in contact with social media and continue perpetuating the disorder, believing that EDS are a lifestyle rather than a mental health condition (Eikey, 2017). Positive correlations have also been observed between social networking site (SNS) usage and disordered eating levels in young adults (Mabe et al., 2014; Hummel and Smith, 2015). In developing countries, mass media exposure has a significant impact on eating attitudes and behaviors (Eapen et al., 2006; Musaiger et al., 2013).
Interestingly, SMA has been associated with decreased life satisfaction and increased anxiety in young adults (O’Day and Heimberg, 2021). Social media and food cues have been shown to activate the same brain regions, such as the orbitofrontal cortex, nucleus accumbens, the amygdala, anterior cingulate, striatum, and medial frontal cortex (Dagher, 2009; Gearhardt et al., 2011). Given the rapid growth of SNS usage and the potential associations between SMA and EDS, research on common predictive factors of the two is needed.
Among all the factors, anxiety is often inextricably linked with and SMA/EDS. Because the symptoms of anxiety may precede EDS, predict poor outcome, and persist even after an individual has recovered from the disorder, it is important to identify factors that, in interaction with anxiety, are associated with eating disorders (Fitzsimmons and Bardone-Cone, 2011). People with high anxiety levels reported a preference for online interaction. For instance, socially anxious individuals, who were briefly able to chat with an individual online before meeting them in person, experienced reduced anxiety (Caplan, 2007; Markovitzky et al., 2012). This may especially hold true for those who use disordered eating behaviors and social media as a response to anxiety. Accordingly, points of intervention should focus on relieving anxiety or on identifying whether certain factors associated with anxiety could lessen its effect on poor outcomes (e.g., addictive SNS usage and disordered eating) and examining potential mediating factors of the relationship between anxiety and those negative consequences.
The ability to concentrate on, choose, and accomplish a primary target is largely based on a series of cognitive functions, termed executive functions (EFs; Sheridan et al., 2012). Overall, EFs involve flexible switching between strategies, the inhibition of interference disturbance, organizing, and planning strategies (Robbins, 1996). The importance of cognitive flexibility as a fundamental aspect of health, as well as in the field of EDs (Smith et al., 2018), has gained widespread emphasis in recent years (Rutten et al., 2013). As with food and drug addiction (Albein-Urios et al., 2012; Christopher et al., 2018), EF likely plays key roles in SMA and EDS. For instance, subjects with internet addiction disorder engage more in attention shifting, as well as show impaired cognitive flexibilities, than healthy controls (Dong et al., 2014). Significant differences exist in the flexibility of people with and without EDs (Dahlgren et al., 2019).
Schmeichel and Baumeister (2010) defined sustained attention as “focusing attention on a stimulus or activity for an extended period of time” (Schmeichel and Baumeister, 2010). Sustained attention has been found to be one of the major variables inducing behavioral problems (Barker et al., 2009). Multiple studies have shown that inattention fosters binge eating (Cortese et al., 2007; Reinblatt, 2015). In such cases, insufficient sustained attention might result in continual social media use, especially when there are push notifications or voice reminders (Witkiewitz and Villarroel, 2009).
Studies have also shown that a negative affective state greatly influences and alters EFs, which is reflected in different tasks such as the planning test, sustained attention tasks, and cognitive flexibility tasks (Holmes and Pizzagalli, 2007; He and Yin, 2016). Anxiety has also been shown to affect EF performance in other psychiatric populations (Wu et al., 2011; Demetriou et al., 2020). For EF, women who performed poorly were likely to have reported higher levels of state anxiety (Billingsley-Marshall et al., 2013). In addition, one report suggests that at least one type of EF, i.e., cognitive flexible switching, is diminished in anxious women with EDS (Roberts et al., 2010).
Internet use is the highest among adolescents and young adults (Alpaslan et al., 2015). Young adults primarily use social media for communication, entertainment, and professional development, making it indispensable for university students (Mohammadbeigi et al., 2011). Life habits are usually formed during young adulthood (Çelik et al., 2015). College students are, thus, at risk of disordered eating attitudes due to the elevated mental and physical demands of higher education (Rianna et al., 2021).
Therefore, disordered eating is a significant problem in college individuals, especially female undergraduate students. EDS affect 13% of females and contribute to functional impairment and mortality (Eric et al., 2020). Young women increasingly spend considerable time on social media (Eckler et al., 2016). More time spent on Facebook relates to the more frequent body and weight comparisons, more attention to the physical appearances of others, and more negative feelings about their own bodies (Kim and Park, 2016). For women who want to lose weight, more time on social media relates to more disordered eating symptoms (Eckler et al., 2016). Additionally, previous studies showed a positive relationship between experiencing negative emotions and eating disorder psychopathology in women (Magel and Ranson, 2021).
Social media has changed and challenged the way we interact with each other (Hilsen and Helvik, 2014). Because social gain (SG) was considered an outcome, which would be the most likely potential pathway from social media use to EDS risk, we chose SG of SMA (SMA-SG) as the main object for research. In this study, SMA-SG refers to the improvement of interpersonal relationships, which college students experience through mobile social media use. Considering the correlations between the performance of emotionally interfered EF and risk behaviors associated with health (Galindo et al., 2019; Lozano-Madrid et al., 2020) and the impact of anxiety on EFs (Demetriou et al., 2020; Warren et al., 2021), we speculated on the mediating roles of cognitive flexibility and sustained attention among anxiety, SMA-SG, and EDS outcomes.
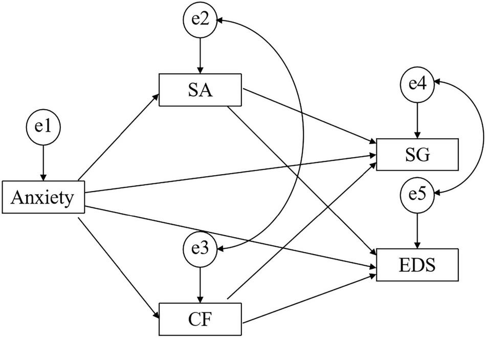
Based on our proposed mediation model (Figure 1), we expected to find: (a) direct associations between both state anxiety, and SMA-SG and EDS; (b) direct associations between state anxiety and sustained attention/cognitive flexibility; (c) direct associations between sustained attention, cognitive flexibility and SMA-SG, and EDS; and (d) indirect, mediated paths from state anxiety through cognitive flexibility/sustained attention to SMA-SG and EDS. Because we considered sustained attention and cognitive flexibility to be two processes linking anxiety with SMA-SG and EDS, we hypothesized that partial mediation would be present, indicating that the effects of state anxiety on SMA-SG and EDS remain significant in a model that accounts for mediation by sustained attention and cognitive flexibility.
FIGURE 1

A theoretical model relating state anxiety (Anxiety) to social gain (SG) and eating disorder symptoms (EDS). CF, Cognitive Flexibility; SA, Sustained Attention.
Materials and Methods
Participants
The sample consisted of 216 female undergraduate students including sophomores (21.06%), juniors (49.12%), and seniors (29.82%) (mean age = 19.8 years; age range = 19–22 years) who signed informed consent forms. The mean body mass index (BMI) (kg/m2) was 20.78 and ranged from 17.00 to 25.04. A total of 216 Chinese female undergraduates were recruited from Xi’an of Shaanxi province through advertisements at local universities. All procedures performed in studies involving human participants were in accordance with the ethical standards of the Biomedical Ethics Committee of the Medical Department of Xi’an Jiaotong University. Inclusion criteria were those with no reported significant medical impairments or physical/mental problems. These were verified via questionnaire items, stating that the female undergraduates have never been diagnosed with eating disorders at the time of joining the study, nor have they undergone pharmacological treatment and/or participated in individual or group psychotherapy due to mental problems (e.g., learning disabilities, diagnosed eating disorders, and anxiety disorders), and are not visibly handicapped or physically deformed. All the female undergraduates met the inclusion criteria and completed the behavioral experiments and questionnaires (detailed below). Every participant received monetary compensation (¥ 80) for their time and effort on the completion of the tasks.
Procedure
The participants individually accepted tests in a quiet room. They completed tasks in the following fixed order: the Trail Making Test (TMT), Letter Cancel Test (LCT), State-Trait Anxiety Inventory (STAI), the Social Media Dependence Questionnaire—Social Gain subscale, and the Eating Disorder Inventory. Each measure is described in detail in the section “Measures.” The complete procedure took about 15–25 min.
Measures
Cognitive Flexibility
The TMT was used to measure the cognitive flexibility of participants (Sarsour et al., 2011) and was administered in two parts. TMT Part A is a visual-scanning task in which the participant was required to quickly draw lines sequentially connecting consecutive numbered circles (1–25 circles randomly arranged on a page). TMT Part B added a measure of cognitive flexibility by asking the participant to connect the same number of circles in an alternating sequence of numbers and letters (e.g., 1, A, 2, B). Both parts of the tests were timed. For this analysis, we used a difference score defined as △TMT [(Part B)-(Part A)]. The △TMT score is used to control the effect of motor speed on TMT performance and is considered a more accurate measure of cognitive flexibility than Part B (Corrigan and Hinkeldey, 1987; Lezak, 1995). Lower scores indicated better performance.
Sustained Attention
The LCT was used to evaluate the ability of participants to provide continuous attention. A randomly distributed alphabet contains 22 × 39 letters. Stipulates “a” and “M” are the Cancel Targets; there are a total of 97 Cancel Targets. The participant was required to check the alphabet line by line and cancel the target letter as quickly and accurately as possible. The longest completion time did not exceed 7 min. The calculation formula for the Cancel Test was as follows: Q score = (number of correct responses/numbers of total Cancel Targets) × (correct number of reactions/viewing time) (Kimberga and D’Esposito, 2003).
State Anxiety
The levels of state anxiety were measured with the Chinese version of the STAI State Anxiety Scale (S-Anxiety) (Shek, 1988; Julian, 2011). There are two subscales within this measure. The S-Anxiety evaluates the current state of anxiety, asking how respondents feel “right now,” using items that measure the subjective feelings of apprehension, tension, nervousness, worry, and activation/arousal of the autonomic nervous system. The S-Anxiety has 20 items that are self-rated on a 4-point Likert scale, ranging from 1 (not at all) to 4 (very much); for each respondent, these are added to obtain a total score, which ranges from 20 to 40, with higher scores indicating higher levels of state anxiety. The scale has been tested and validated for the Chinese context. The S-Anxiety exhibited satisfactory psychometric qualities, and Cronbach’s alpha was 0.85.
Social Gain of Social Media Addiction
The Mobile Social Media Dependence Questionnaire measures five different dimensions using five subscales, namely, SG, salience, compulsivity, conflict, and withdrawal. This SG variable was measured through 5 items (Wu, 2014) as follows: “Communicating with others using mobile social media leads to better confidence and is easier for me than in reality,” “Mobile social media meet most of my social needs,” “Mobile social media gives me more attention and influence than I receive in reality,” “The attention and comments of others on mobile social media make me feel very fulfilled,” and “When I am lonely, I like to communicate with others on mobile social media.” All five items are answered on a 5-point Likert scale ranging from strongly disagree (1) to totally agree (5). Total scores on the SG ranged from 5 to 25, with higher scores denoting higher levels of SG. This questionnaire exhibited satisfactory psychometric qualities, and Cronbach’s alpha was 0.77.
Eating Disorder Symptoms
The Eating Disorder Inventory-1 (EDI-1) was compiled by Garner (1983) and has good reliability and validity in China (Lee et al., 1998; Hui et al., 2019). It includes eight subscales, namely, DT, Bulimia (B), Body Dissatisfaction (BD), Ineffectiveness (I), Perfection (P), Interpersonal Distrust (ID), Interoceptive Awareness (IA), and Maturity Fears (MF). The EDI-1 has 64 items, self-rated on a 6-point Likert scale (1 = always, 2 = usual, 3 = often, 4 = sometimes, 5 = very less, and 6 = never). The lower the subscales score, the more serious the related problem is. In this study, the EDI and all subscales presented with adequate levels of reliability (EDS α = 0.85; DT α = 0.81; B α = 0.70; BD α = 0.73; I α = 0.83; P α = 0.75; ID α = 0.71; IA α = 0.71; and MF α = 0.77).
Data Analyses
The means, SDs, correlations, and path analyses were computed using SPSS 16.0 and AMOS 7.0 software (Arbuckle, 2006). Mediation tests indicated whether the association between two or more variables resulted from another variable or a set of variables. Path analysis is a specific tool of the structural equation modeling (SEM) analysis to analyze the assumed relationships of multivariate data. In this study, we employed a strictly confirmatory strategy using SEM. The hypothesized model was tested using the path analysis procedure with the aid of AMOS 7.0 (Arbuckle, 2006). The following goodness-of-fit statistics were analyzed. The normed chi-square test is used to compare the magnitude of the chi-square value with the degrees of freedom (χ2/df). For a good fit, this proportion should be as small as possible; values less than 3 indicate a good or acceptable fit (Schermelleh-Engel et al., 2003). An increase in the root mean square error of approximation (RMSEA) exceeding 0.01 suggests non-invariance and leads us to reject the model (Cheung and Rensvold, 2002; Chen, 2007). Incremental fit indices measure the improvement of fit by comparing the proposed model with one that assumes no association between the observed variables, referred to as the independence model. The incremental fit indices include the normed fit index (NFI), the comparative fit index (CFI), and the incremental fit index (IFI), and the values of these indices should be close to 1.0 to indicate a good fit.
Results
Descriptive Statistics
Means and SDs for the study variables and their correlations are presented in Table 1. Means and SDs for the EDS and subscales of EDI-1 were significantly lower than other age-matched clinical samples and close to the scores of other non-clinical ones (Zhang and Kong, 2004). Regarding social media dependence level, mild dependence (9.55–13.05) accounted for 38.89% of the participants (n = 84) and moderate dependence (13.25–16.75) accounted for 37.04% of the participants (n = 80) (Wu, 2014); therefore, three quarters met the level of mild-to-moderate dependence. Table 1 provides the correlations included in the hypothesized model. As can be seen from this table, the majority of expected correlations were found (Table 1).
TABLE 1
| Mean (SD) | 1 | 2 | 3 | 4 | 5 | 6 | 7 | 8 | 9 | 10 | 11 | ||
| 1. Anxiety | 38.33 (8.53) | ||||||||||||
| 2. CF(s) | 54.52 (45.86) | 0.23** | |||||||||||
| 3. SA | 4.87 (0.97) | −0.13† | −0.18** | ||||||||||
| 4. SG | 12.45 (3.05) | 0.24** | –0.03 | −0.18** | |||||||||
| 5. DT | 27.46 (7.09) | −0.18** | −0.21** | 0.04 | −0.19** | ||||||||
| 6. B | 34.65 (5.37) | –0.05 | 0.06 | –0.01 | −0.37** | 0.11 | |||||||
| 7. BD | 26.79 (10.48) | −0.22** | −0.14* | 0.09 | –0.07 | 0.61** | 0.18** | ||||||
| 8. I | 40.56 (7.31) | −0.62** | −0.18** | 0.16* | −0.13† | 0.27** | 0.19** | 0.40** | |||||
| 9. P | 19.53 (4.43) | −0.23** | 0.08 | –0.04 | −0.31** | 0.32** | 0.38** | 0.23** | 0.01 | ||||
| 10. ID | 28.98 (5.67) | −0.36** | −0.14* | 0.15* | –0.02 | 0.06 | 0.17* | 0.12† | 0.68** | –0.06 | |||
| 11. IA | 44.12 (7.15) | −0.49** | –0.09 | 0.05 | −0.26** | 0.36** | 0.40** | 0.36** | 0.62** | 0.42** | 0.38** | ||
| 12. MF | 26.98 (7.22) | –0.10 | 0.07 | 0.20** | −0.34** | 0.29** | 0.37** | 0.26** | 0.12† | 0.37** | 0.06 | 0.29** | |
| 13. EDS | 249.06 (34.08) | −0.46** | −0.13† | 0.14* | –0.32 | 0.80** | 0.21** | 0.89** | 0.57** | 0.25** | 0.42** | 0.49** | 0.26** |
Partial correlations for anxiety, cognitive flexibility, sustained attention, social gain, and eating disorder symptoms after controlling for age.
†p < 0.10; *p < 0.05, **p < 0.01.
Anxiety, State Anxiety; CF, Cognitive Flexibility; SA, Sustained Attention; SG, Social Gain; DT, Drive for Thinners; B, Bulimia; BD, Body Dissatisfaction; I, Ineffectiveness; P, Perfection; ID, Interpersonal Distrust; IA, Interoceptive Awareness; MF, Maturity Fears; EDS, Eating Disorder Symptoms.
Testing the Model
According to the criterion of mediating variable analyses, which was described previously (Kraemer et al., 2001), all main variables were included in the path analysis with the exception of the pathways from cognitive flexibility to SG. The path analysis aimed to verify whether the relationships between state anxiety and EDS/SG were mediated by their cognitive flexibility and sustained attention. Considering the correlation results among different variables and the sample size in this study, observed variables were eventually included in the hypothesized model. The indices suggested that the model had a reasonable fit to the data: χ2/df = 2.81, RMSEA = 0.092, CFI = 0.98, IFI = 0.98, and NFI = 0.97. Figure 2 presents the test results of the hypothesized model. The exact significance values of each pathway as well as the SEs and standardized coefficients are shown in Table 2.
FIGURE 2

Significant and insignificant paths from state anxiety to SG and EDS (using bias-corrected bootstrapped CIs). Mean path coefficients were obtained using 2,000 bootstrap samples. †p < 0.10, *p < 0.05, **p < 0.01, ***p < 0.001. Anxiety, State Anxiety; CF, Cognitive Flexibility; SA, Sustained Attention; SG, Social Gain; EDS, Eating Disorder Symptoms.
TABLE 2
| Coefficient | SE | p | |
| Anxiety → SA | –0.13 | 0.0077 | 0.0631 |
| Anxiety → CF | 0.23 | 0.3571 | <0.001 |
| Anxiety → SG | 0.21 | 0.0047 | 0.0011 |
| Anxiety → EDS | –0.48 | 0.2441 | <0.001 |
| SA → SG | –0.16 | 0.0415 | 0.0181 |
| SA → EDS | 0.11 | 2.1165 | 0.0714 |
| CF → EDS | –0.15 | 0.0451 | 0.0117 |
| e2 ↔ e3 | –0.16 | 2.9671 | 0.0198 |
| e4↔ e5 | –0.21 | 1.2181 | 0.0022 |
Coefficients, SEs, and significance values of each pathway.
Anxiety, State Anxiety; CF, Cognitive Flexibility; SA, Sustained Attention; SG, Social Gain; EDS, Eating Disorder Symptoms.
Discussion
In this study, we examined the relationship between state anxiety and the EDS/SMA-SG, as well as the mediating effect of EFs (i.e., cognitive flexibility and sustained attention) between state anxiety and EDS/SMA-SG.
We found that high-anxiety female undergraduates were significantly more addicted to social media and prone to EDS than those with low anxiety. Therefore, state anxiety is a common predictive factor of SMA and EDS. These results are partially consistent with previous findings (Fitzsimmons and Bardone-Cone, 2011; Ko et al., 2014; Moosavi and Amini, 2017), confirming the role of negative emotion in developing risky behavior and improper habits.
This study verified the previous conclusion of a significant correlation between SMA and EDS (Ji and Chock, 2015; Stronge et al., 2015). Most previous studies were cross-sectional and exploratory in nature, thus preventing conclusion about causation (Wilksch et al., 2020). There have been few longitudinal studies, as the longitudinal design does not have the same internal validity as an experimental design (de Vries et al., 2016). This study differs from most earlier ones in that the previous design, such as the two-wave panel study, has not been applied to young adult women. Furthermore, another possible relationship exists that those individuals who develop EDS may consequently use more social media. Therefore, in the research hypothesis and verification process of this study, SMA and EDS can only be used as equally important outcome variables.
Until recently, cognitive flexibility and sustained attention were not considered as possible factors that influence eating attitudes/behaviors and addiction in young women who were high in state anxiety. Studies have confirmed the high risk of eating disorders and addiction in women with deficits in cognitive abilities (Goldstein et al., 2007; Cury et al., 2020). Therefore, we investigated the relationship between state anxiety, cognitive flexibility, sustained attention, and EDS/SMA-SG. SEM is a strong analytical method for examining complex relationships using multivariate data. Furthermore, unlike regression analysis, SEM reveals indirect effects.
The findings regarding the mediating effect of cognitive flexibility and sustained attention in female college students were preliminary but meaningful. In the relationship between state anxiety and EDS/SMA-SG, SEM confirmed the mediating role of cognitive flexibility and sustained attention in young women, thus confirming the relevant hypothesis. The finding that cognitive flexibility is a potential pathway for the impact of state anxiety on EDS and is consistent with previous research, which emphasized the importance of preventing the deterioration of EF deficits in individuals with state anxiety in an inpatient EDS program (Billingsley-Marshall et al., 2013). State anxiety also appears to contribute to diminished EF in women with eating disorders (Billingsley-Marshall et al., 2013). An increase in cognitive flexibility could help patients accept changes in their habits and maintain behaviors, with a possible long-term effect (Dingemanse et al., 2013). The potential of neurocognitive training programs for EDS is high, given the combined evidence of the role of deficits in executive functioning in EDS (i.e., the training of cognitive flexibility not only fosters performance in a test of cognitive flexibility but also seems to impact flexibility in the daily lives of participants) (Brockmeyer et al., 2013; Juarascio et al., 2015), which indicates the possibility of specific neuropsychological training in EDS. Consider that cognitive flexibility showed a significant improvement with the cognitive remediation therapy (CRT) rolling protocol (Meneguzzo et al., 2021). We speculated that cognitive flexibility treatment would have significant effects in the non-clinical population in the future.
Capacity theories propose that a negative affective state will increase cognitive resource load (Seibert and Ellis, 1991). The results of this study indicated that difficulties in sustained attention and cognitive flexibility are associated with increased state anxiety in female college students. This phenomenon reflects that when fulfilling a task requiring mental flexibility and sustained attention, which contributes to avoiding social media-based interruption and being flexible about BD and DT, the increase in the negative affective state could, in fact, affect information processing (Gasper and Clore, 2002).
The findings of this study should be interpreted in light of several limitations. First, this research used cross-sectional data for the analysis, thereby making the direction of causality difficult to determine. Therefore, future studies that employ longitudinal data and an experimental design must confirm the direction of causality. Second, the data about state anxiety and EDS/SMA-SG were self-reported. However, because respondents were assured that their responses were confidential, it is unlikely that respondents were not truthful. Third, because this sample consisted of young college students aged 19–22 years and no clinical samples were included, results cannot be generalized to all the youth and clinical populations. Future research will need to cover a diverse sampling of people for investigation.
In summary, the results of this study supported the idea that state anxiety is a common predictive factor of SMA and EDS. Importantly, these results showed that cognitive flexibility and sustained attention of female college students mediated the association between state anxiety and SMA-SG/DS. Therefore, the obstructive effect of the deficits in cognitive flexibility and sustained attention in the prevention of EDS and SMA should be seriously considered. These proposals reflect the significance of improving affective state and reducing state anxiety to prevent EDS and SMA in female college students.
Publisher’s Note
All claims expressed in this article are solely those of the authors and do not necessarily represent those of their affiliated organizations, or those of the publisher, the editors and the reviewers. Any product that may be evaluated in this article, or claim that may be made by its manufacturer, is not guaranteed or endorsed by the publisher.
Statements
Data availability statement
The data used during the current study are available from the corresponding author on reasonable request.
Ethics statement
The studies involving human participants were reviewed and approved by the ethical standards of Biomedical Ethics Committee of the Medical Department of Xi’an Jiaotong University. The patients/participants provided their written informed consent to participate in this study.
Author contributions
ZH and ML identified the research question and designed the study. ZH collected and analysed the data and discussed with all the authors. All authors made significant contributions, read, and approved the final manuscript.
Funding
This work was supported by the Science and Technology Plan Projects of Shaanxi Province, China (2022JQ-206), Social Science Foundation of Shaanxi Province (2020 M007), and China Postdoctoral Science Foundation (2020 M683444).
Acknowledgments
We would like to thank the study participants for their time and effort.
Conflict of interest
The authors declare that the research was conducted in the absence of any commercial or financial relationships that could be construed as a potential conflict of interest.
References
1
Abbasi I. S. (2018). Social media addiction in romantic relationships: does user’s age influence vulnerability to social media infidelity?Personal. Individ. Differ.139277–280. 10.1016/j.paid.2018.10.038
2
Albein-Urios N. Martinez-González J. M. Lozano O. Clark L. Verdejo-García A. (2012). Comparison of impulsivity and working memory in cocaine addiction and pathological gambling: implications for cocaine-induced neurotoxicity.Drug Alcohol Depend.1261–6. 10.1016/j.drugalcdep.2012.03.008
3
Alpaslan A. H. Koçak U. Avci K. Taş H. U. (2015). The association between internet addiction and disordered eating attitudes among Turkish high school students.Eat. Weight Disord.-Stud. Anorexia, Bulimia Obesity20441–448. 10.1007/s40519-015-0197-9
4
Arbuckle J. L. (2006). Amos (Version 7.0) [Computer Program].Chicago: SPSS.
5
Barker D. H. Quittner A. L. Fink N. E. Eisenberg L. S. Tobey E. A. Niparko J. K. et al (2009). Predicting behavior problems in deaf and hearing children: the influences of language, attention, and parent - Child communication.Dev. Psychopathol.21373–392. 10.1017/S0954579409000212
6
Billingsley-Marshall R. L. Basso M. R. Lund B. C. Hernandez E. R. Johnson C. Drevets W. C. et al (2013). Executive function in eating disorder symptoms: the role of state anxiety.Int. J. Eat. Disord. Symptoms46316–321. 10.1002/eat.22086
7
Brockmeyer T. Ingenerf K. Walther S. Wild B. Hartmann M. Herzog W. et al (2013). Training cognitive flexibility in patients with anorexia nervosa: a pilot randomized controlled trial of cognitive remediation therapy.Int. J. Eat. Disord.4724–31.
8
Caplan S. E. (2007). Relations among loneliness, social anxiety and problematicinternet use.Cyberpsychol. Behav.10234–242. 10.1089/cpb.2006.9963
9
Çelik ÇB. Odacı H. Bayraktar N. (2015). Is problematic internet use an indicator of eating disorder symptoms among Turkish university students?Eat. Weight Disord.20167–172. 10.1007/s40519-014-0150-3
10
Chen F. F. (2007). Sensitivity of goodness of fit indexes to lack of measurement invariance.Struct. Equ. Model.14464–504. 10.1080/10705510701301834
11
Cheung G. W. Rensvold R. B. (2002). Evaluating goodness-of-fit indexes for testing measurement invariance.Struct. Equ. Model.9233–255. 10.1207/S15328007SEM0902_5
12
Christopher R. Anne-Sophie O. Simone L. André T. Laurent B. Catherine B. (2018). Executive functioning and psychological symptoms in food addiction: a study among individuals with severe obesity. Eat. Weight Disord.23, 469–478. 10.1007/s40519-018-0530-1
13
Corrigan J. D. Hinkeldey N. S. (1987). Relationships between Parts A and B of the trail making test.J. Clin. Psychol.43402–409. 10.1002/1097-4679(198707)43:4<402::AID-JCLP2270430411<3.0.CO;2-E
14
Cortese S. Bernardina B. D. Mouren M. (2007). Attention-deficit/hyperactivity disorder (ADHD) and binge eating.Nutr. Rev.65404–411. 10.1111/j.1753-4887.2007.tb00318.x
15
Cury M. E. G. Berberian A. Scarpato B. S. Kerr-Gaffney J. Claudino A. M. (2020). Scrutinizing domains of executive function in binge eating disorder: a systematic review and meta-analysis.Front. Psychiatry11:288. 10.3389/fpsyt.2020.00288
16
Dagher A. (2009). The neurobiology of appetite: hunger as addiction.Int. J. Obesity33S30–S33. 10.1038/ijo.2009.69
17
Dahlgren C. L. Hage T. W. Wonderlich J. A. Stedal K. (2019). General and eating disorder specific flexibility: development and validation of the eating disorder flexibility index (edflix) questionnaire.Front. Psychol.10:663. 10.3389/fpsyg.2019.00663
18
de Vries D. A. Peter J. de Graaf H. Nikken P. (2016). Adolescents’ social network site use, peer appearance-related feedback, and body dissatisfaction: testing a mediation model.J. Youth Adolescence45211–224. 10.1007/s10964-015-0266-4
19
Demetriou E. A. Park S. H. Pepper K. L. Naismith S. L. Guastella A. J. (2020). A transdiagnostic examination of anxiety and stress on executive function outcomes in disorders with social impairment.J. Affect. Disord.281695–707. 10.1016/j.jad.2020.11.089
20
Dingemanse J. Sidharta P. N. Maddrey W. C. Rubin L. J. Mickail H. (2013). Efficacy, safety and clinical pharmacology of macitentan in comparison to other endothelin receptor antagonists in the treatment of pulmonary arterial hypertension. Expert Opin. Drug Saf.13, 391–405. 10.1517/14740338.2014.859674
21
Dong G. Lin X. Zhou H. Lu Q. (2014). Cognitive flexibility in internet addicts: fmri evidence from difficult-to-easy and easy-to-difficult switching situations.Addict. Behav.39677–683. 10.1016/j.addbeh.2013.11.028
22
Eapen V. Mabrouk A. A. Bin-Othman S. (2006). Disordered eating attitudes and symptomatology among adolescent girls in the United Arab Emirates.Eat. Behav.753–60. 10.1016/j.eatbeh.2005.07.001
23
Eckler P. Kalyango Y. Paasch E. (2016). Facebook use and negative body image among u.s. college women.Women Health57249–267. 10.1080/03630242.2016.1159268
24
Eikey E. V. (2017). “Recovery and maintenance: how women with eating disorders use instagram,” in Proceeding of the iConference 2017 (Wuhan).
25
Eric S. Paul R. Heather S. Chris D. (2020). Weight suppression increases odds for future onset of anorexia nervosa, bulimia nervosa, and purging disorder, but not binge eating disorder.Am. J. Clin. Nutr.112941–947. 10.1093/ajcn/nqaa146
26
Fitzsimmons E. E. Bardone-Cone A. M. (2011). Coping and social support as potential moderators of the relation between anxiety and eating disorder symptomatology.Eat. Behav.1221–28. 10.1016/j.eatbeh.2010.09.002
27
Galindo G. Galarza J. García L. Padilla A. Negrete A. López R. (2019). Normative data for executive function and emotion interaction assessment in adolescents from rural areas.Arch. Clin. Neuropsychol.34:1252. 10.1093/arclin/acz029.19
28
Garner D. M. (1983). Eating Disorder Symptoms Inventory.Odessa, FL: Psychological Assessment Resources.
29
Gasper K. Clore G. L. (2002). Attending to the big picture: mood and global versus local processing of visual information.Psychol. Sci.1334–40. 10.1111/1467-9280.00406
30
Gearhardt A. N. Yokum S. Orr P. T. Stice E. Brownell K. D. (2011). Neural correlates of food addiction. Arch. Gen. Psychiatry68, 808–816. 10.1001/archgenpsychiatry.2011.32
31
Goldstein R. Z. Tomasi D. Alia-Klein N. Zhang L. Telang F. Volkow N. D. (2007). The effect of practice on a sustained attention task in cocaine abusers.Neuroimage35194–206. 10.1016/j.neuroimage.2006.12.004
32
He Z. H. Yin W. G. (2016). Family environments and children’s executive function: the mediating role of children’s affective state and stress.J. Genet. Psychol.177143–155. 10.1080/00221325.2016.1218322
33
Hilsen A. I. Helvik T. (2014). The construction of self in social medias, such as facebook.Ai Soc.293–10. 10.1007/s00146-012-0426-y
34
Holmes A. J. Pizzagalli D. A. (2007). Task feedback effects on conflict monitoring and executive control: relationship to subclinical measures of depression.Emotion768–76. 10.1037/1528-3542.7.1.68
35
Hou Y. Xiong D. Jiang T. Song L. Wang Q. (2019). Social media addiction: its impact, mediation, and intervention.Cyberpsychology13:4. 10.5817/CP2019-1-4
36
Hui H. Tang J. J. Hua H. C. Hang Q. Wang C. Liu G. F. (2019). Effects of pubertal timing on eating disorder symptoms among adolescents in Bengbu.Chin. J. Sch. Health401166–1168.
37
Hummel A. C. Smith A. R. (2015). Ask and you shall receive: desire and receipt of feedback via Facebook predicts disordered eating concerns.Int. J. Eat. Disord. Symptoms48436–442. 10.1002/eat.22336
38
Hussain Z. Starcevic V. (2020). Problematic social networking site use: a brief review of recent research methods and the way forward.Curr. Opin. Psychol.3689–95. 10.1016/j.copsyc.2020.05.007
39
Ji W. K. Chock T. M. (2015). Body image 2.0: associations between social grooming on facebook and body image concerns.Comput. Hum. Behav.48331–339. 10.1016/j.chb.2015.01.009
40
Juarascio A. S. Manasse S. M. Espel H. M. Kerrigan S. G. Forman E. M. (2015). Could training executive function improve treatment outcomes for eating disorders?Appetite90187–193.
41
Julian L. J. (2011). Measures of anxiety: state-trait anxiety inventory (STAI), beck anxiety inventory (BAI), and hospital anxiety and depression scale-anxiety (HADS-A).Arthritis Care Res.63(Suppl. S11) S467–S472. 10.1002/acr.20561
42
Kim M. Park W. (2016). Who is at risk on facebook? the effects of facebook news feed photographs on female college students’ appearance satisfaction.Soc. Sci. J.53427–434. 10.1016/j.soscij.2016.08.007
43
Kimberga D. Y. D’Esposito M. (2003). Cognitive effects of the dopamine receptor agonist pergolide.Neuropsychologia411020–1027. 10.1016/S0028-3932(02)00317-2
44
Ko C. H. Liu T. L. Wang P. W. Chen C. S. Yen C. F. Yen J. Y. (2014). The exacerbation of depression, hostility, and social anxiety in the course of internet addiction among adolescents: a prospective study.Comprehensive Psychiatry551377–1384. 10.1016/j.comppsych.2014.05.003
45
Kraemer H. C. Stice E. Kazdin A. Offord D. Kupfer D. (2001). How do risk factors work together? Mediators, moderators, and independent, overlapping, and proxy risk factors.Am. J. Psychiatry158848–856. 10.1176/appi.ajp.158.6.848
46
Kumpasolu G. B. Eltan S. Merdan-Yldz E. D. Batgün A. D. (2021). Mediating role of life satisfaction and death anxiety in the relationship between dark triad and social media addiction.Person. Individ. Differ.172:110606. 10.1016/j.paid.2020.110606
47
Lee S. Lee A. M. Leung T. (1998). Cross-cultural validity of the eating disorder inventory: a study of chinese patients with eating disorder symptoms in hong kong.Int. J. Eat. Disord. Symptoms23177–188. 10.1002/(SICI)1098-108X(199803)23:2<177::AID-EAT8<3.0.CO;2-H
48
Lezak M. D. (1995). Neuropsychological Assessment, 3rd Edn. New York, NY: Oxford University Press.
49
Lozano-Madrid M. Bryan D. C. Granero R. Sánchez I. Fernández-Aranda F. (2020). Impulsivity, emotional dysregulation and executive function deficits could be associated with alcohol and drug abuse in eating disorder symptoms.J. Clin. Med.9:1936. 10.3390/jcm9061936
50
Mabe A. G. Forney K. J. Keel P. K. (2014). Do you “like” my photo? Facebook use maintains eating disorder risk.Int. J. Eat. Disord. Symptoms47516–523. 10.1002/eat.22254
51
Magel C. A. Ranson K. (2021). Negative urgency combined with negative emotionality is linked to eating disorder psychopathology in community women with and without binge eating.Int. J. Eat. Disord. Symptoms54821–830. 10.1002/eat.23491
52
Markovitzky O. Anholt G. E. Lipsitz J. D. (2012). Haven’t we met somewhere before? the effects of a brief Internet introduction on social anxiety in a subsequent face to face interaction.Behav. Res. Therapy50359–365. 10.1016/j.brat.2012.02.002
53
Meneguzzo P. Tenconi E. Todisco P. Favaro A. (2021). Cognitive remediation therapy for anorexia nervosa as a rolling group intervention: data from a longitudinal study in an eating disorders specialized inpatient unit.Eur. Eat. Disord. Rev.29770–782. 10.1002/erv.2848
54
Mohammadbeigi A. Hashiani A. A. Ghamari F. Mohammadsalehi N. (2011). Internet addiction and modeling its risk factors in medical students, Iran.Ind. J. Psychol. Med.33:158. 10.4103/0253-7176.92068
55
Moosavi S. M. Amini F. (2017). Role of anxiety, depression and anger in eating disorder symptoms-structural model.Am. J. Psychiatry Neurosci.540–44. 10.11648/j.ajpn.20170504.11
56
Musaiger A. O. Al-Mannai M. Tayyem R. (2013). Risk of disordered eating attitudes among adolescents in seven Arab countries by gender and obesity: a cross-cultural study.Appetite60162–167. 10.1016/j.appet.2012.10.012
57
Navithasulthana A. Shanmugam V. (2021). Mediating Role of Perceived Quality Between Social Media Trust and Purchase Intention. Materials Today: Proceedings. Available online at: https://doi.org/10.1016/j.matpr.2020.11.573(accessed January 5, 2021).
58
O’Day E. B. Heimberg R. G. (2021). Social media use, social anxiety, and loneliness: a systematic review - sciencedirect.Comput. Hum. Behav. Rep.3:100070. 10.1016/j.chbr.2021.100070
59
Ramesh-Masthi N. R. Pruthvi S. Phaneendra M. S. (2018). A comparative study on social media usage and health status among students studying in pre-university colleges of urban Bengaluru.Ind. J. Commun. Med.43180–184. 10.4103/ijcm.IJCM_285_17
60
Reinblatt S. P. (2015). Are eating disorder symptoms related to attention deficit/hyperactivity disorder?Curr. Treat. Options Psychiatry2402–412. 10.1007/s40501-015-0060-7
61
Rianna U. Lukkamol P. Ajaj J. J. A. Cristina P. (2021). Disordered eating attitudes, demographics, and snack patterns in overweight and obese us college students.Curr. Dev. Nutr.5(Suppl. 2) 460–460. 10.1093/cdn/nzab038_072
62
Robbins T. W. (1996). Dissociating executive functions of the prefrontal cortex.Philosop. Trans. R. Soc. Lond.3511463–1471. 10.1098/rstb.1996.0131
63
Roberts M. E. Tchanturia K. Treasure J. L. (2010). Exploring the neurocognitive signature of poor set-shifting in anorexia and bulimia nervosa.J. Psychiatric Res.44964–970. 10.1016/j.jpsychires.2010.03.001
64
Rutten B. P. Hammels C. Geschwind N. Menne-Lothmann C. Pishva E. Schruers K. et al (2013). Resilience in mental health: linking psychological and neurobiological perspectives.Acta Psychiatr. Scand.1283–20. 10.1111/acps.12095
65
Sarsour K. Sheridan M. Jutte D. Nuru-Jeter A. Hinshaw S. Boyce W. T. (2011). Family socioeconomic status and child executive functions: the roles of language, home environment, and single parenthood.J. Int. Neuropsychol. Soc.17120–132. 10.1017/S1355617710001335
66
Schermelleh-Engel K. Moosbrugger H. Müller H. (2003). Evaluating the fit of structural equation models: tests of significance and descriptive goodness-of-fit measures.MPR-Online823–74. 10.1016/j.psyneuen.2012.07.017
67
Schmeichel B. J. Baumeister R. F. (2010). “Effortful attention control,” in Effortless Attention: A New Perspective in the Cognitive Science of Attention and Action, ed.BruyaB. (Cambridge, MA: MIT Press), 29–49.
68
Seibert P. S. Ellis H. C. (1991). Irrelevant thoughts, emotional mood state, and cognitive task performance.Mem. Cogn.19507–513. 10.3758/BF03199574
69
Shek D. T. L. (1988). Reliability and factorial structure of the Chinese version of the state-trait anxiety inventory.J. Psychopathol. Behav. Assessment10303–317. 10.1007/bf00960624
70
Sheridan M. A. Sarsour K. Jutte D. D’Esposito M. Boyce W. T. (2012). The impact of social disparity on prefrontal function in childhood.PLoS One7:e35744. 10.1371/journal.pone.0035744
71
Smith K. E. Mason T. B. Johnson J. S. Lavender J. M. Wonderlich S. A. (2018). A systematic review of reviews of neurocognitive functioning in eating disorders: the state-of-the-literature and future directions.Int. J. Eat. Disord.51798–821. 10.1002/eat.22929
72
Stronge S. Greaves L. M. Milojev P. West-Newman T. Barlow F. K. Sibley C. G. (2015). Facebook is linked to body dissatisfaction: comparing users and non-users.Sex Roles73200–213. 10.1007/s11199-015-0517-6
73
Warren S. L. Heller W. Miller G. A. (2021). The structure of executive dysfunction in depression and anxiety.J. Affect. Disord.279208–216. 10.1016/j.jad.2020.09.132
74
Wilksch S. M. O’Shea A. Ho P. Byrne S. Wade T. D. (2020). The relationship between social media use and disordered eating in young adolescents.Int. J. Eat. Disord.5396–106. 10.1002/eat.23198
75
Witkiewitz K. Villarroel N. A. (2009). Dynamic association between negative affect and alcohol lapses following alcohol treatment.J. Consult. Clin. Psychol.77633–644. 10.1037/a0015647
76
Wu H. I. Chang Y. H. Lai C. C. Wu J. Y. Chen S. L. Chu C. H. et al (2011). The effect of comorbid anxiety disorder on neuropsychological function in bipolar II disorder.Progr. Neuro-Psychopharmacol. Biol. Psychiatry351841–1845. 10.1016/j.pnpbp.2011.07.013
77
Wu Z. H. (2014). A Study on Questionnaire Design and Characteristics of College Students’ Mobile Phone Social Media Dependence.Chongqing: Southwest University.
78
Zendle D. Bowden-Jones H. (2019). Is excessive use of social media an addiction?BMJ365:l2171. 10.1136/bmj.l2171
79
Zhang D. R. Kong Q. M. (2004). Applicability of EDI-1 in Beijing.Chin. Ment. Health J.1848–50. 10.3321/j.issn:1000-6729.2004.01.017
Summary
Keywords
social media addiction, female college students, state anxiety, cognitive flexibility, sustained attention, common predictive factors, eating disorder symptoms
Citation
He Z, Li M, Liu C and Ma X (2022) Common Predictive Factors of Social Media Addiction and Eating Disorder Symptoms in Female College Students: State Anxiety and the Mediating Role of Cognitive Flexibility/Sustained Attention. Front. Psychol. 12:647126. doi: 10.3389/fpsyg.2021.647126
Received
04 January 2021
Accepted
06 December 2021
Published
29 March 2022
Volume
12 - 2021
Edited by
Enrique Baca-Garcia, University Hospital Fundación Jiménez Díaz, Spain
Reviewed by
Andrea Wyssen, University of Bern, Switzerland; Paolo Meneguzzo, University of Padua, Italy
Updates
Copyright
© 2022 He, Li, Liu and Ma.
This is an open-access article distributed under the terms of the Creative Commons Attribution License (CC BY). The use, distribution or reproduction in other forums is permitted, provided the original author(s) and the copyright owner(s) are credited and that the original publication in this journal is cited, in accordance with accepted academic practice. No use, distribution or reproduction is permitted which does not comply with these terms.
*Correspondence: Zhonghua He, syp.grape@163.com
This article was submitted to Psychopathology, a section of the journal Frontiers in Psychology
Disclaimer
All claims expressed in this article are solely those of the authors and do not necessarily represent those of their affiliated organizations, or those of the publisher, the editors and the reviewers. Any product that may be evaluated in this article or claim that may be made by its manufacturer is not guaranteed or endorsed by the publisher.