- 1Department of Psychology, School of Teacher Education, Huzhou University, Huzhou, China
- 2Department of Psychology, Neuroscience & Behaviour, McMaster University, Hamilton, ON, Canada
Growth mindset refers to our core belief that our talents can be developed through practice, which may influence our thoughts and behaviors. Growth mindset has been studied in a variety of fields, including education, sports, and management. However, few studies have explored whether differences in individuals’ growth mindsets influence college students’ self-reported mental health. Using the Growth Mindset Scale, Adolescent Self-rating Life Events Checklist, and SCL-90 Scale, data was collected from 2,505 freshmen in a University in China. Findings revealed that the students within the growth mindset group scored significantly lower on “mental health issues” and “stress due to life events” than the students in the fixed mindset group. Our findings suggest that individuals with a growth mindset are less prone to mental health problems than individuals with a fixed mindset.
Introduction
Current Status of Mental Health
Approximately 13.4% of adolescents suffer from mental health issues worldwide (Polanczyk et al., 2015). Findings from a nationwide epidemiological study in China found that the prevalence of depression and anxiety among college students was 11.7% (Chen et al., 2013), and 16.3% (Wu et al., 2015) respectively. Mood disorders are also common in China (Hardeveld et al., 2013; Gitlin and Miklowitz, 2016). The prevalence of mental disorders in China has continuously risen over the past 30 years (Huang et al., 2019). According to the statistics reported by the World Health Organization, the total number of people afflicted with depression worldwide is approximately 350 million, and the percentage of people globally suffering from depression is estimated at 4.4% (Smith, 2014; Liu et al., 2021). These statistics are also inclusive of children, with depression estimated to be the largest contributor of global burden of adolescent disease worldwide (Zheng and Zheng, 2015; Saxena and Kline, 2021). Poor interpersonal skills, poor grades, and lower graduation rates have been linked to mental health issues and suicidal behavior in college students (Tang et al., 2018).
Gender variables may also play a large role in mental health and wellbeing. A recent study demonstrated that gender was a major contributing factor to one’s self-rated health and functional wellbeing. Gender differences have also been demonstrated in physical and psychological functioning discrepancies along with many other health-related variables (Lorant et al., 2003; Gyasi and Phillips, 2018). Additionally, one’s socioeconomic status (SES) can have a large impact on mental health (Wagstaff and Doorslaer, 2000). The role of SES in the differential prevalence of depression is strongly supported by a large body of empirical evidence. That is, individuals who perceive themselves as having a low SES, are more susceptible to experiencing depressive symptoms (Sánchez-Moreno and Gallardo-Peralta, 2021; MacCarthy et al., 2022).
Growth Mindset
The belief that one has the capacity to grow is known as a growth mindset. Growth mindset, or attributes that are malleable, encourage healthy and adaptive ways of facing and tolerating anxiety, frustration, and disappointment, which promotes resilience (Schroder, 2020). Growth mindset may make individuals more resilient and persistent in the face of challenges or difficulties, as they are more likely to adopt effort-oriented strategies in their efforts to achieve their goals (Zhao et al., 2021a). People with a growth mindset may suffer fewer stress and self-reported symptoms of psychological disease. For instance, when adolescents experience family stress, growth mindset can relieve the stress and reduce the protective effects of externalizing behaviors (Walker and Jiang, 2022). On the other hand, fixed mindset (entity theories of personality) have been shown to predict greater self-reported stress (Yeager et al., 2014) and anxiety following ostracism, as well as greater reports of psychosocial stress and psychopathology (Schleider et al., 2015; Miu and Yeager, 2016) compared to a growth mindset (incremental theories of personality; Yeager et al., 2016a). Entity theories of personality are associated with negative self-conscious emotions, such as shame (Yeager et al., 2011). Furthermore, findings from a meta-analysis study demonstrated a negative correlation between growth mindset and psychological distress (r = −0.220), a positive correlation between growth mindset and treatment value (r = 0.137), and a positive correlation between growth mindset and positive coping (r = 0.207; Burnette et al., 2020). While the impact of these findings were small, they support the notion that growth mindset was associated with psychological distress, treatment value, and positive coping.
Growth mindset refers to our core belief that our talents can be developed through practice, which may subsequently influence our thoughts and behaviors (Dweck, 2006). Mindset can affect one’s motivation, which in turn can affect academic resilience and performance. Both grit (Duckworth et al., 2007; Strayhorn, 2014) and mindset (Claro et al., 2016; Mccutchen et al., 2016; Wang et al., 2020; Sun et al., 2021) are linked to academic achievement, subjective wellbeing of the individual and the reduction of psychopathology (Clark and Malecki, 2022). A substantial body of research has shown that the belief that one’s abilities and talents can be developed (growth mindset), rather than fixed, can stimulate long-term learning. In terms of behavioral outcomes, growth mindset stimulates persistence in the face of obstacles and challenge-seeking behaviors and positively influences academic performance in primary, secondary, and higher education (Burnette et al., 2013; Jia et al., 2021). Specifically, growth mindset is significantly and positively correlated with academic performance (Wang et al., 2020) and predicts higher academic achievement than fixed mindset (Grant and Dweck, 2003; Blackwell et al., 2007). Moreover, a range of motivational factors, such as growth mindset, has been proven to positively affect individual performance such as mental rotation performance (Moè, 2016). However, growth mindset and grit are not always conducive to academic achievement (Bazelais et al., 2019). It is important to be cautious when drawing conclusions about the impact of growth mindset. But the effectiveness of growth mindset on academic performance cannot be ignored.
Additionally, growth mindset describes a type of mindset an individual may possess that describes their underlying beliefs about their ability to learn and their own intelligence (Dweck, 2006). For instance, if a student who has a growth mindset receives a poor grade on a test, they would likely put additional effort into studying for the next test, due to their core beliefs that they are able to grow, learn, and perform better. Thus, children with a growth mindset believe that they can develop their abilities through hard work, good strategies, and guidance from others (Blackwell et al., 2007; Haimovitz and Dweck, 2017). Having a growth mindset may also benefit individuals in a variety of different careers and educational fields, as it will allow them to persevere in the face of rejection and/or failure. In the 1980s, Dweck et al. developed a theory of implicit intelligence. They suggested that individuals would choose different achievement goals based on their own core beliefs, which would subsequently result in corresponding psychological and behavioral tendencies. These core beliefs were described in terms of having a growth mindset or a fixed mindset. That is, where individuals with a growth mindset will embrace challenges, constructive criticism, and will persevere in the face of setbacks, and individual with a fixed mind set will exhibit the opposite. Individuals with fixed mindset are more afraid of failure and mistakes. Thus, they will choose to avoid challenges which may result in failure, and will mistakenly attribute the failure to their incompetence, believing that only those who are not smart need to work hard.
Benefits of Growth Mindset
Earlier studies in elementary and secondary schools have shown that a growth mindset is linked to better academic outcomes and lower levels of stress (Dweck, 2000; Rattan et al., 2012; Dweck and Yeager, 2019). Having a growth mindset has been demonstrated to be positively correlated with learning engagement and negatively correlated with perceived COVID-19 event intensity and stress (Zhao et al., 2021b). Furthermore, a positive correlation exists between the mindset of teachers and the appraisal of achievement for students who demonstrate increasing marks (De Kraker-Pauw et al., 2017). Moreover, students from lower-income families are less likely to maintain a growth mindset compared to their wealthier peers. However, the students who were able to maintain a growth-mindset were much more successful in overcoming the adverse effects of poverty on their academic achievement, then those who exhibited a fixed-mindset (Claro et al., 2016). The link between growth-mindset and academic performance may be explained by students’ behaviors such as learning strategies and learning habits (Lewis et al., 2020). In a study investigating the effects of growth mindset on navigation ability, a unique portion of variance in self-reported navigation ability was found, suggesting that a growth mindset can encourage people to seek out navigation challenges and train themselves to be better navigators in daily life (He and Hegarty, 2020). Additionally, research on the relationship between growth mindset and obesity in adolescents has demonstrated that those with a growth mindset are more likely to be successful at losing weight (Orvidas et al., 2018).
A positive correlation has been found between growth mindset and self-efficacy for health behaviors (Orvidas et al., 2018) and perceived control (Doron et al., 2009), such that individuals who possess a growth mindset are more likely to take control of their own health. Cognitive neuroscience approaches have been used to explore the mechanisms involved in mindset patterns, errors, and adjustments (Puusepp, 2021). Resilience has also been found to be related to improved attention to errors; that is, individuals with a growth mindset find it easier to bounce back from failures than individuals with a fixed mindset (Schroder et al., 2017b). Further, subtle feedback and information related to growth mindset could have a significant positive effect on students’ attitudes and motivation.
The SCL-90 and ASLEC Applications
The Symptom Checklist-90-Revised (SCL-90) and Adolescent Self-rating Life Events Checklist (ASLEC) are self-report tools commonly used to measure clinical psychiatric symptoms and mental health status (Derogatis, 1983). The SCL-90 has been widely used to screen for mental health issues and is commonly used to assess the subjective mental health symptoms of college students (Xie and Dai, 2006). According to Ren (2009), the SCL-90 was used in 63.8% of the published articles regarding the mental health of college students, illustrating its strong validity and reliability. In addition, the Adolescent Self-rating Life Events Checklist (ASLEC) is a widely used self-assessment tool for measuring varying levels of life stress (Zhao et al., 2017).
Up to now, few studies have explored the relationship between growth mindsets, mental health and life events. The purpose of the current study is to explore whether individuals with a growth mindset might have better mental health and life event outcomes than those with a fixed mindset. We hypothesized that: (1) individuals with a growth mindset have better mental health than those with a fixed mindset; (2) individuals with a growth mindset have better self-report life events than those with a fixed mindset; and (3) individual family socioeconomic status will have an effect on growth mindset.
Materials and Methods
Participants
A total of 2,505 participants were recruited from Huzhou University in China. All participants were 1st-year college students (690 men, 27.54%; 1,815 women, 72.46%; mean age: 18.38 years; see Table 1). Informed consent was obtained from all participants. The study was reviewed and approved by the Institutional Review Board of the Human Research Ethics Committee of Huzhou University.
Measures
Data were collected in a computer room via online questionnaires that were divided into two sections. The first part consisted of a survey to gather demographic information of each participant, including gender, age, occupation, self-reported economic level, and place of birth. The second part included three scales: Growth Mindset Scale, SCL-90 Scale, and Adolescents Self-Rating Life Events Checklist (ASLEC).
The Growth Mindset Scale was created by Dweck (2006) and revised by Zhai (2018) in the Chinese version. The scale was used to measure the degree of growth mindset of participants. The Growth Mindset Scale is made up of six items and measures two dimensions: fixed mindset and growth mindset. A 6-point Likert scale was used to collect responses (1 indicated “disagree,” 6 indicated “strongly agree,” and 2, 3, 4, and 5 indicated varying degrees of agreement). The higher the score, the stronger the orientation of the dimension. Cronbach’s alpha for the six items in this study was 0.93.
The Symptom Checklist-90-Revised (SCL-90) was developed by Derogatis (1983) and revised by Tang (1999) in the Chinese version. SCL-90 has been a widely used self-report assessment of mental health (Hardt et al., 2012). It measures the degree of mental health on 10 dimensions, including somatization, obsessive–compulsive, interpersonal sensitivity, depression, anxiety, hostility, phobic anxiety, paranoid ideation, psychoticism, and other factors. The scale has 90 items, and which are scored from 0 to 4. Each question is rated according to how much the individual was bothered by the item in the last week on a five-point Likert scale (0 = “not at all,” 1 = “a little bit,” 2 = “moderately,” 3 = “quite a bit,” and 4 = “extremely”). Cronbach’s alpha for the SCL-90 was 0.96 in the present study.
The Adolescents’ Self-Rating Life Events Checklist (ASLEC; Liu et al., 1997; Hardt et al., 2012) was used to assess the frequency and intensity of stressful life events among adolescents, especially middle school students and college students. The scale included six factors, including interpersonal relationships, study pressure, being punished, bereavement, pressure of health and adaptation, and other factors. Within the six factors there are 27 items, which are scored from 1 to 5 (1 = “occurred but exercised no influence” to 5 = “occurred and exercised a severe influence”), with higher summed scores indicating higher levels of life stress. Each subscale has a total score based on subscale entries. In the present study, the Cronbach’s alpha for the ASLEC was 0.85. The scale is generally used to measure the stress levels of children and adolescents with negative life events (Wang et al., 2016).
Statistical Analyses
Statistical analyses were performed using the SPSS 22.0. Descriptive analyses were used to examine the descriptive characteristics of the study population. We used the independent samples T-test to test gender differences in the results on the growth mindset. A one-way ANOVA was used to test the degree of socioeconomic status (SES) factor and the place of birth factor. The significance level was set at p < 0.05.
Results
Differences in the Results of Growth Mindset Scale Due to Gender and SES
There was no significant difference between men and women [t (2503) = 1.53, p > 0.05] in having a growth-mindset. The degree of SES was divided into four levels. Since the wealthy sample size was too small [N = 18], SES was further divided into three levels: poverty, ordinary, and preferably. A significant difference was found between the varying SES groups [F (2, 2,502) = 6.30, p < 0.01]. Birth of place factors were divided into four categories: rural area, township, non-provincial capital cities, and provincial capital cities. Result showed that there was no significant effect of the place of birth factor on growth-mindset [F(3, 2,501) = 2.37, p > 0.05].
One-Way ANOVA of Adolescents Self-Rating Life Events Checklist and SCL-90 Scale
Based on individual growth-mindset scores, participants were divided into three groups: top growth mindset group with 27% having scores between 26 and 36 (687 participants), middle group with scores between 19 and 25 (1,189 participants), and the fixed mindset group with scores between 6 and 18 (629 participants). A main effects of group on study pressure [F (2, 2,502) = 12.02, p < 0.001], interpersonal relationships [F (2, 2,502) = 20.93, p < 0.001], being punished [F (2, 2,502) = 8.81, p < 0.01], bereavement [F (2, 2,502) = 4.95, p < 0.01], and others [F (2, 2,502) = 14.45, p < 0.001] was seen (Figure 1; Table 2). However, no significant differences were seen for pressure of health and adaptation [F (2, 2,502) = 2.72, p > 0.05].

Figure 1. Mean score of subscale of Adolescent Self-rating Life Events Checklist in different groups with error bars representing standard error of the mean and asterisks representing significant difference among groups.
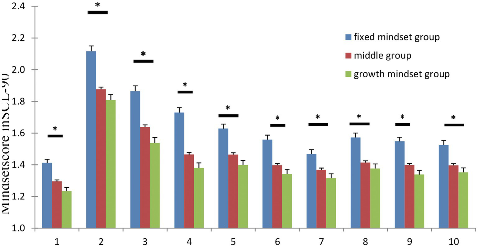
A one-way ANOVA was conducted on the SCL-90 scale scores. Results showed there was a significant main effect of group on somatization [F (2, 2,502) = 12.21, p < 0.001], obsessive–compulsive [F (2, 2,502) = 24.13, p < 0.001], interpersonal sensitivity [F (2, 2,502) = 23.95, p < 0.001], depression [F (2, 2,502) = 30.41, p < 0.001], anxiety [F (2, 2,502) = 13.03, p < 0.001], hostility [F (2, 2,502) = 15.35, p < 0.001], phobic anxiety [F (2, 2,502) = 6.83, p < 0.01], paranoid ideation [F (2, 2,502) = 8.13, p < 0.001], psychoticism [F (2, 2,502) = 11.94, p < 0.001], and other [F (2, 2,502) = 9.96, p < 0.001; Figure 2; Table 3].

Figure 2. Mean score of subscale of SCL-90 in different groups with error bars representing standard error of the mean and asterisks representing significant difference among groups.
Correlation Analysis
A significant negative correlation was found between growth mindset and SCL-90 [r = −0.145, p < 0.001]. A significant negative correlation was found between growth mindset and ALSF (r = −0.13, p < 0.001), and a significant positive correlation between life event and mental health (r = 0.563, p < 0.001).
Discussion
The current study aimed to investigate whether growth mindset has an influence on an individual’s mental health status and life events compared to having a fixed mindset. Two main findings came out from the present study. First, SES has a significant effect on the likelihood of having a growth mindset, such that, the higher one’s SES, the less likely that they will have a growth mindset. Second, the growth mindset group scored significantly lower on SCL-90 and ALSEC than the fixed mindset group. These results suggest that that having a growth mindset has a positive effect on one’s mental health.
Gender Difference and SES in Growth Mindset
We found no significant difference between gender and mindset, suggesting that gender does not play a contributing role in determining whether one will have a growth or fixed mindset. These results are consistent with previous studies (Heyman et al., 2002; Kornilova et al., 2009; Yan et al., 2014; Tucker-Drob et al., 2016; Macnamara and Rupani, 2017). The differences in self-reported SES had a significant effect on growth mindset, such that individuals of lower SES were found to have greater growth mindset. Findings regarding the effect of SES and growth mindset have been mixed in the literature. Some studies have demonstrated that those with higher SES had higher growth mindset, while those with lower SES had lower growth mindset (Claro et al., 2016; Yeager et al., 2016b; Miyamoto et al., 2018; Destin et al., 2019; Bernardo, 2021). The reason behind our findings may be due to the face that compared to individuals of higher SES, poorer students hold a stronger belief that they can bridge the gap by working hard and persevering (Burnette et al., 2017). That is, individuals who are raised in families of high SES were more likely to have been often praised and rewarded for their work. This in turn, may have resulted in greater fear of failure and challenge later in life, resulting in a more fixed mindset than in their lower SES counterparts.
There were no significant differences in the place of birth of students. These findings likely reflect the degree of the gap of socioeconomic status, as the gap between the rich and the poor may be narrowing due to the economic development. Another possible explanation rests in our participant sample. The sample of this study comes from an undergraduate university. As an undergraduate who come from low SES families need to make much more efforts to succeed in China. Therefore, they tend to form growth mindset.
In regard to mental health status and growth mindset, our findings demonstrated that college students with a growth-mindset had lower scores on the SCL-90 and ASLEC scales, while students with a fixed mindset had higher scores on these two scales, indicating that individuals with a growth mindset have greater mental health and better life event perception ability. As a result, having a growth mindset likely provides an individual with potential life benefits. In the present study, the association between the number of stressful life events and post-traumatic stress symptoms, depression, substance use, and non-suicidal self-injury was lower in the growth mindset group than in the fixed mindset group. These results suggest that having a growth mindset increase one’s resilience to poor mental health (Schroder et al., 2017a).
The Practical Implications of Growth Mindset
Our findings also demonstrated that individuals who had the greatest growth mindset were healthier on most subscales of the SCL-90 and ASLEC scales. This may be due to the fact that the growth mindset group underestimated their self-assessment when they filled out self-report questionnaires. Mindsets are conceptualized as a framework through which individuals can explain their domain-related experiences that influence subsequent thoughts, emotions, goals, and behaviors (Dweck et al., 1995). Students with a growth mindset interpret mistakes as learning opportunities, stay focused when facing challenges, and tend to underestimate their own symptoms on the SCL-90 and ASLEC. They are more cautious and focused when completing the scales, resulting in lower scores. In contrast, students with fixed mindsets view mistakes as a sign of lack of competence and tended to escape when faced with challenges. They are more likely to overestimate their own symptoms and pay attention to the results when completing the scale.
The current study also found that groups with different mindsets might have different abilities in terms of life event perception. Individuals with a growth mindset demonstrated better life perception ability than those with a fixed mindset. In terms of study stress factors, individuals with a growth-mindset scored lower on the study pressure subscale. Individuals with a growth mindset may take initiative and derive strategies to adjust their thoughts, modify their expected goals in time, and maintain an optimistic and positive attitude. In contrast, individuals with a fixed mindset might adhere to goals when facing learning pressure, and if they fail to achieve their goals, demonstrate increased pressure and negative emotions. College students with a growth mindset show better adaptability when facing difficult situations or challenges, and appear to be more optimistic. They believe that their abilities can be cultivated and that they can achieve their goals through hard work and perseverance. However, college students with a fixed mindset believe that their abilities are stable, and that they cannot be improved through effort. When they have difficulties, they may avoid challenges and demonstrate negative coping mechanisms.
Another possible explanation for these findings is that the growth-mindset group may have more positive coping strategies, and therefore might have better mental health and lower life event awareness than the fixed mindset group. The study pressure factor in ASLEC included questions such as “unsatisfactory test results,” “heavy study burden,” “family financial difficulties,” “expected (good students) failure,” and “pressure to enter school.” Individuals with a fixed mindset might employ more negative coping strategies than those with a growth mindset. Students with a fixed mindset often have external motivation to learn or work (Dweck, 2006). They tend to demonstrate much more negative coping strategies for justifying failures, such as finding excuses for failures. In fact, this occupies the cognitive resources of learning and hinders their own development (Dweck, 2006; Dweck et al., 2014). However, students with a growth mindset demonstrate much more positive coping strategies. They analyze their own reasons and believe that hard work can improve their performance and ability. They mobilize all available cognitive resources to promote their own development. These individuals are more likely to overcome difficult academic transitions (Yeager et al., 2014), and to embrace active learning strategies, compared to students with a fixed mindset (Cavanagh et al., 2018).
Future Research
The primary limitation of this study is a lack of investigation on the transformation of individuals with a fixed mindset to a growth mindset through intervention. Future studies should employ certain interventions that allow for this measurement. Furthermore, this study was unable to answer whether better mental health of growth mindset individuals is due to higher self-assessment or more positive coping strategies. Nonetheless, our findings support the results of previous research that college students with a growth mindset have better overall mental health than college students with a fixed mindset. Future studies could explore neural mechanisms underlying the possession of a growth mindset versus a fixed mindset. Furthermore, future studies ought to investigate the effects of growth mindset training on individuals with a fixed mindset.
Data Availability Statement
The raw data supporting the conclusions of this article will be made available by the authors, without undue reservation.
Ethics Statement
The study was reviewed and approved by the Institutional Review Board of the Human Research Ethics Committee of Huzhou University. Written informed consent to participate in this study was provided by the participants’ legal guardian/next of kin.
Author Contributions
WT and HY: conceptualization. DZ and ZX: formal analysis. DZ: visualization. WT, DZ, and XT: writing—original draft. H-JS and IH: writing—review and editing. All authors contributed to the article and approved the submitted version.
Funding
This work was supported by the Ministry of Education in China, Project of Humanities and Social Sciences (project no. 18YJA760052), and Zhejiang Educational Science Planning Project (project no. 2018SCG039).
Conflict of Interest
The authors declare that the research was conducted in the absence of any commercial or financial relationships that could be construed as a potential conflict of interest.
Publisher’s Note
All claims expressed in this article are solely those of the authors and do not necessarily represent those of their affiliated organizations, or those of the publisher, the editors and the reviewers. Any product that may be evaluated in this article, or claim that may be made by its manufacturer, is not guaranteed or endorsed by the publisher.
References
Bazelais, P., Lemay, D. J., Doleck, T., Hu, X. S., Vu, A., and Yao, J. (2019). Grit, mindset, and academic performance: a study of pre- university science students. Journal of mathematics, science and technology. Education 14:em1615. doi: 10.29333/ejmste/94570
Bernardo, A. B. I. (2021). Socioeconomic status moderates the relationship between growth mindset and learning in mathematics and science: evidence from PISA 2018 Philippine data. Int. J. Sch. Educ. Psychol. 9, 208–222. doi: 10.1080/21683603.2020.1832635
Blackwell, L. S., Trzesniewski, K. H., and Dweck, C. S. (2007). Implicit theories of intelligence predict achievement across an adolescent transition: a longitudinal study and an intervention. Child Dev. 78, 246–263. doi: 10.1111/j.1467-8624.2007.00995.x
Burnette, J. L., Knouse, L. E., Vavra, D. T., O'Boyle, E., and Brooks, M. A. (2020). Growth mindsets and psychological distress: a meta-analysis. Clin. Psychol. Rev. 77:101816. doi: 10.1016/j.cpr.2020.101816
Burnette, J. L., O'Boyle, E. H., VanEpps, E. M., Pollack, J. M., and Finkel, E. J. (2013). Mind-sets matter: a meta-analytic review of implicit theories and self-regulation. Psychol. Bull. 139, 655–701. doi: 10.1037/a0029531
Burnette, J. L., Russell, M. V., Hoyt, C. L., Orvidas, K., and Widman, L. (2017). An online growth mindset intervention in a sample of rural adolescent girls. Br. J. Educ. Psychol. 88, 428–445. doi: 10.1111/bjep.12192
Cavanagh, A. J., Chen, X., Bathgate, M., Frederick, J., Hanauer, D. I., and Graham, M. J. (2018). Trust, growth mindset, and student commitment to active learning in a college science course. CBE life Sci. Educ. 17:ar10. doi: 10.1187/cbe.17-06-0107
Chen, L., Wang, L., Qiu, X. H., Yang, X. X., Qiao, Z. X., Yang, Y. J., et al. (2013). Depression among Chinese university students: prevalence and socio-demographic correlates. PLoS One 8, 1–6. doi: 10.1371/journal.pone.0058379
Clark, K. N., and Malecki, C. K. (2022). Adolescent mental health profiles through a latent dual-factor approach. J. Sch. Psychol. 91, 112–128. doi: 10.1016/j.jsp.2022.01.003
Claro, S., Paunesku, D., and Dweck, C. S. (2016). Growth mindset tempers the effects of poverty on academic achievement. Proc. Natl. Acad. Sci. 113, 8664–8668. doi: 10.1073/pnas.1608207113
De Kraker-Pauw, E., Van Wesel, F., Krabbendam, L., and Van Atteveldt, N. (2017). Teacher mindsets concerning the malleability of intelligence and the appraisal of achievement in the context of feedback. Front. Psychol. 8:1594. doi: 10.3389/fpsyg.2017.01594
Derogatis, L. R. (1983). SCL-90-R: administration, scoring, and procedures manual for the revised version. Clinical psychometric Research
Destin, M., Hanselman, P., Buontempo, J., Tipton, E., and Yeager, D. S. (2019). Do student mindsets differ by socioeconomic status and explain disparities in academic achievement in the United States? AERA Open 5:233285841985770. doi: 10.1177/2332858419857706
Doron, J., Stephan, Y., Boiché, J., and Scanff, C. L. (2009). Coping with examinations: exploring relationships between students' coping strategies, implicit theories of ability, and perceived control. Br. J. Educ. Psychol. 79, 515–528. doi: 10.1348/978185409X402580
Duckworth, A. L., Peterson, C., Matthews, M. D., and Kelly, D. R. (2007). Grit: perseverance and passion for long-term goals. J. Pers. Soc. Psychol. 92, 1087–1101. doi: 10.1037/0022-3514.92.6.1087
Dweck, C. S. (2000). Self-theories: Their Role in Motivation, Personality, and Development. 1st Edn. New York, NY: Psychology Press.
Dweck, C., Chi-Yue, C., and Ying-Yi, H. (1995). Implicit theories and their role in judgments and reactions: A word From two perspectives. Psychol. Inq. 6, 267–285. doi: 10.1207/s15327965pli0604_1
Dweck, C., Walton, G. M., and Cohen, G. L. (2014). Academic Tenacity: Mindsets and Skills that Promote Long-Term Learning. Seattle, WA: Gates Foundation.
Dweck,, and Yeager, D. S. (2019). Mindsets: a view from two eras. Perspect. Psychol. Sci. 14, 481–496. doi: 10.1177/1745691618804166
Gitlin, M. J., and Miklowitz, D. J. (2016). The difficult lives of individuals with bipolar disorder: A review of functional outcomes and their implications for treatment. J. Affect. Disord. 209, 147–154. doi: 10.1016/j.jad.2016.11.021
Grant, H., and Dweck, C. S. (2003). Clarifying achievement goals and their impact. J. Pers. Soc. Psychol. 85, 541–553. doi: 10.1037/0022-3514.85.3.541
Gyasi, R. M., and Phillips, D. R. (2018). Gender, self-rated health and functional decline among community-dwelling older adults. Arch. Gerontol. Geriatr. 77, 174–183. doi: 10.1016/j.archger.2018.05.010
Haimovitz, K., and Dweck, C. S. (2017). The origins of children’s growth and fixed mindsets: new research and a new proposal. Child Dev. 88, 1849–1859. doi: 10.1111/cdev.12955
Hardeveld, F., Spijker, J., De Graaf, R., Hendriks, S. M., Licht, C. M. M., Nolen, W. A., et al. (2013). Recurrence of major depressive disorder across different treatment settings: results from the NESDA study. J. Affect. Disord. 147, 225–231. doi: 10.1016/j.jad.2012.11.008
Hardt, J., Gerbershagen, H. U., and Franke, P. (2012). The symptom check-list, SCL-90-R: its use and characteristics in chronic pain patients. Eur. J. Pain 4, 137–148. doi: 10.1053/eujp.2000.0162
He, C., and Hegarty, M. (2020). How anxiety and growth mindset are linked to navigation ability: impacts of exploration and GPS use. J. Environ. Psychol. 71:101475. doi: 10.1016/j.jenvp.2020.101475
Heyman, G. D., Martyna, B., and Bhatia, S. (2002). Gender and achievement-related beliefs among engineering students. J. Women Minorities Sci. Eng. 8:12. doi: 10.1615/JWomenMinorScienEng.v8.i1.30
Huang, Y., Wang, Y., Wang, H., Liu, Z., Yu, X., Yan, J., et al. (2019). Prevalence of mental disorders in China: a cross-sectional epidemiological study. Lancet Psychiatry 6, 211–224. doi: 10.1016/S2215-0366(18)30511-X
Jia, L., Lim, C. H., Ismail, I., and Tan, Y. C. (2021). Stunted upward mobility in a learning environment reduces the academic benefits of growth mindsets. Proc. Natl. Acad. Sci. 118:e2011832118. doi: 10.1073/pnas.2011832118
Kornilova, T. V., Kornilov, S. A., and Chumakova, M. A. (2009). Subjective evaluations of intelligence and academic self-concept predict academic achievement: evidence from a selective student population. Learn. Individ. Differ. 19, 596–608. doi: 10.1016/j.lindif.2009.08.001
Lewis, L. S., Williams, C. A., and Dawson, S. D. (2020). Growth mindset training and effective learning strategies in community college registered nursing students. Teach. Learn. Nurs. 15, 123–127. doi: 10.1016/j.teln.2020.01.006
Liu, X., Liu, I., and Yang, J. (1997). Compilation and reliability and validity test of Adolescents Self-rating Life Events Checklists. Shandong Psychiatric Medicine 10, 15–19.
Liu, X., Zhao, W., Hu, F., Hao, Q., Hou, L., Sun, X., et al. (2021). Comorbid anxiety and depression, depression, and anxiety in comparison in multi-ethnic community of West China: prevalence, metabolic profile, and related factors. J. Affect. Disord. 298, 381–387. doi: 10.1016/j.jad.2021.10.083
Lorant, V., Deliège, D., Eaton, W., Robert, A., Philippot, P., and Ansseau, M. (2003). Socioeconomic inequalities in depression: a meta-analysis. Am. J. Epidemiol. 157, 98–112. doi: 10.1093/aje/kwf182
MacCarthy, S., Saunders, C. L., and Elliott, M. N. (2022). Sexual minority adults in England have greater odds of chronic mental health problems: variation by sexual orientation, age, ethnicity, and socioeconomic status. LGBT Health 9, 54–62. doi: 10.1089/lgbt.2021.0011
Macnamara, B. N., and Rupani, N. S. (2017). The relationship between intelligence and mindset. Intelligence 64, 52–59. doi: 10.1016/j.intell.2017.07.003
McCutchen, K. L., Jones, M. H., Carbonneau, K. J., and Mueller, C. E. (2016). Mindset and standardized testing over time. Learn. Individ. Differ. 45, 208–213. doi: 10.1016/j.lindif.2015.11.027
Miu, A. S., and Yeager, D. S. (2016). Preventing symptoms of depression by teaching adolescents that people can change effects of a brief incremental theory of personality intervention at 9-month follow-up. Health Serv. Rep. 3, 726–743. doi: 10.1177/2167702614548317
Miyamoto, Y., Yoo, J., Levine, C. S., Park, J., Boylan, J. M., Sims, T., et al. (2018). Culture and social hierarchy: self- and other-oriented correlates of socioeconomic status across cultures. J. Pers. Soc. Psychol. 115, 427–445. doi: 10.1037/pspi0000133
Moè, A. (2016). Teaching motivation and strategies to improve mental rotation abilities. Intelligence 59, 16–23. doi: 10.1016/j.intell.2016.10.004
Orvidas, K., Burnette, J. L., and Russell, V. M. (2018). Mindsets applied to fitness: growth beliefs predict exercise efficacy, value and frequency. Psychol. Sport Exerc. 36, 156–161. doi: 10.1016/j.psychsport.2018.02.006
Polanczyk, G. V., Salum, G. A., Sugaya, L. S., Caye, A., and Rohde, L. A. (2015). Annual research review: a meta-analysis of the worldwide prevalence of mental disorders in children and adolescents. J. Child Psychol. Psychiatry 56, 345–365. doi: 10.1111/jcpp.12381
Puusepp, I., Linnavalli, T., Huuskonen, M., Kukkonen, K., Huotilainen, M., Kujala, T., et al. (2021). Mindsets and neural mechanisms of automatic reactions to negative feedback in mathematics in elementary school students. Front. Psychol. 12:635972. doi: 10.3389/fpsyg.2021.635972
Rattan, A., Good, C., and Dweck, C. S. (2012). “It’s ok — not everyone can be good at math”: instructors with an entity theory comfort (and demotivate) students. J. Exp. Soc. Psychol. 48, 731–737. doi: 10.1016/j.jesp.2011.12.012
Ren, J. (2009). Study on College Students’ Mental Health Status and a Reflection on the SCL-90. Chin. J. Health Psychol. 17, 958–961.
Sánchez-Moreno, E., and Gallardo-Peralta, L. P. (2021). Income inequalities, social support and depressive symptoms among older adults in Europe: a multilevel cross-sectional study. Eur. J. Ageing. doi: 10.1007/s10433-021-00670-2
Saxena, S., and Kline, S. (2021). Countdown global mental health 2030: data to drive action and accountability. Lancet Psychiatry 8, 941–942. doi: 10.1016/s2215-0366(21)00391-6
Schleider, J. L., Abel, M. R., and Weisz, J. R. (2015). Implicit theories and youth mental health problems: a random-effects meta-analysis. Clin. Psychol. Rev. 35, 1–9. doi: 10.1016/j.cpr.2014.11.001
Schroder, H. S. (2020). Mindsets in the clinic: Appling mindset theory to clinical psychology. Clin. Psychol. Rev. 83. doi: 10.1016/j.cpr.2020.101957
Schroder, H. S., Fisher, M. E., Lin, Y., Lo, S. L., Danovitch, J. H., and Moser, J. S. (2017a). Neural evidence for enhanced attention to mistakes among school-aged children with a growth mindset. Dev. Cogn. Neurosci. 24, 42–50. doi: 10.1016/j.dcn.2017.01.004
Schroder, H. S., Yalch, M. M., Dawood, S., Callahan, C. P., Donnellan, M. B., and Moser, J. S. (2017b). Growth mindset of anxiety buffers the link between stressful life events and psychological distress and coping strategies. Personal. Individ. Differ. 110, 23–26. doi: 10.1016/j.paid.2017.01.016
Strayhorn, T. L. (2014). What role does grit play in the academic success of black male collegians at predominantly white institutions? J. Afr. Am. Stud. 18, 1–10. doi: 10.1007/s12111-012-9243-0
Sun, X., Nancekivell, S., Gelman, S. A., and Shah, P. (2021). Growth mindset and academic outcomes: a comparison of US and Chinese students. NPJ Sci. Learn. 6:21. doi: 10.1038/s41539-021-00100-z
Tang, F., Byrne, M., and Qin, P. (2018). Psychological distress and risk for suicidal behavior among university students in contemporary China. J. Affect. Disord. 228, 101–108. doi: 10.1016/j.jad.2017.12.005
Tang, Q., Du, Z., Yuan, A., and Deng, Y. (1999). Application and analysis of SCL-90 in China. Chin. J. Clin. Psychol. 7, 16–20.
Tucker-Drob, E. M., Briley, D. A., Engelhardt, L. E., Mann, F. D., and Harden, K. P. (2016). Genetically-mediated associations between measures of childhood character and academic achievement. J. Pers. Soc. Psychol. 111, 790–815. doi: 10.1037/pspp0000098
Wagstaff, A., and Doorslaer, E. V. (2000). Income inequality and health: what does the literature tell us? Annu. Rev. Public Health 21, 543–567. doi: 10.1146/annurev.publhealth.21.1.543
Walker, K. A., and Jiang, X. (2022). An examination of the moderating role of growth mindset in the relation between social stress and externalizing behaviors among adolescents. J. Adolesc. 94, 69–80. doi: 10.1002/jad.12006
Wang, L., Feng, Z., Yang, G., Yang, Y., Wang, K., Dai, Q., et al. (2016). Depressive symptoms among children and adolescents in western China: an epidemiological survey of prevalence and correlates. Psychiatry Res. 246, 267–274. doi: 10.1016/j.psychres.2016.09.050
Wang, D., Yuan, F., and Wang, Y. (2020). Growth mindset and academic achievement in Chinese adolescents: a moderated mediation model of reasoning ability and self-affirmation. Curr. Psychol. 41, 783–792. doi: 10.1007/s12144-019-00597-z
Wu, X., Tao, S., Zhang, Y., Zhang, S., and Tao, F. (2015). Low physical activity and high screen time can increase the risks of mental health problems and poor sleep quality among Chinese college students. PLoS One 10:e0119607. doi: 10.1371/journal.pone.0119607
Xie, H., and Dai, H. S. (2006). Evaluation of the Scl-90 scale. Neurological Disorders and Mental Health 6 156–159.
Yan, V. X., Thai, K. P., and Bjork, R. A. (2014). Habits and beliefs that guide self-regulated learning: do they vary with mindset? J. Appl. Res. Mem. Cogn. 3, 140–152. doi: 10.1016/j.jarmac.2014.04.003
Yeager, D. S., Johnson, R., Spitzer, B. J., Trzesniewski, K. H., Powers, J., and Dweck, C. S. (2014). The far-reaching effects of believing people can change: implicit theories of personality shape stress, health, and achievement during adolescence. J. Pers. Soc. Psychol. 106, 867–884. doi: 10.1037/a0036335
Yeager, D. S., Lee, H. Y., and Jamieson, J. P. (2016a). How to improve adolescent stress responses: insights from integrating implicit theories of personality and biopsychosocial models. Psychol. Sci. 27, 1078–1091. doi: 10.1177/0956797616649604
Yeager, D. S., Trzesniewski, K. H., Tirri, K., Nokelainen, P., and Dweck, C. S. (2011). Adolescents’ implicit theories predict desire for vengeance after peer conflicts: correlational and experimental evidence. Dev. Psychol. 47, 1090–1107. doi: 10.1037/a0023769
Yeager, D. S., Walton, G. M., Brady, S. T., Akcinar, E. N., Paunesku, D., Keane, L., et al. (2016b). Teaching a lay theory before college narrows achievement gaps at scale. Proc. Natl. Acad. Sci. 113, E3341–E3348. doi: 10.1073/pnas.1524360113
Zhai, X. (2018). The Relationship between Growth Mindset and Grit: Multiple Mediation Effects of the Future time Perspective and Achievement Motivation. School of Educational Science, Ludong University.
Zhao, S., Du, H., Li, Q., Wu, Q., and Chi, P. (2021a). Growth mindset of socioeconomic status boosts subjective well-being: a longitudinal study. Personal. Individ. Differ. 168:110301. doi: 10.1016/j.paid.2020.110301
Zhao, H., Xiong, J., Zhang, Z., and Qi, C. (2021b). Growth mindset and college Students' learning engagement During the COVID-19 pandemic: A serial mediation model. Front. Psychol. 12:621094. doi: 10.3389/fpsyg.2021.621094
Zhao, F., Zhang, Z.-H., Bi, L., Xiao-Shuang, W., Wang, W.-J., Li, Y.-F., et al. (2017). The association between life events and internet addiction among Chinese vocational school students: the mediating role of depression. Comput. Hum. Behav. 70, 30–38. doi: 10.1016/j.chb.2016.12.057
Keywords: growth mindset, life events, mental health, fixed mindset, college students
Citation: Tao W, Zhao D, Yue H, Horton I, Tian X, Xu Z and Sun H-J (2022) The Influence of Growth Mindset on the Mental Health and Life Events of College Students. Front. Psychol. 13:821206. doi: 10.3389/fpsyg.2022.821206
Edited by:
Maria J. Serrano-Ripoll, University of the Balearic Islands, SpainCopyright © 2022 Tao, Zhao, Yue, Horton, Tian, Xu and Sun. This is an open-access article distributed under the terms of the Creative Commons Attribution License (CC BY). The use, distribution or reproduction in other forums is permitted, provided the original author(s) and the copyright owner(s) are credited and that the original publication in this journal is cited, in accordance with accepted academic practice. No use, distribution or reproduction is permitted which does not comply with these terms.
*Correspondence: Weidong Tao, bmV3ZWlkb25ndGFvQGdtYWlsLmNvbQ==