Abstract
Background:
The present study compared the effects of a traditional resistance training (TRT) and resistance training combined with cognitive task (RTā+āCT) on body composition, physical performance, cognitive function, and plasma brain-derived neurotrophic factor (BNDF) levels in older adults.
Methods:
Thirty community-dwelling older adults were randomized into TRT (70.0ā±ā8.1; 25% men) and RTā+āCT (66.3ā±ā4.6; 31% men). Exercise groups performed a similar resistance training (RT) program, twice a week over 16āweeks. Cognitive Training involved performing verbal fluency simultaneously with RT. Exercise sessions (eight resistance exercises) were performed 2ā3 sets, 8ā15 repetitions at 60%ā70% of 1-repetition maximum (1RM). Body composition, physical function, cognitive performance, and BDNF levels were assessed before and after intervention period.
Results:
The physical performance was similarly improved in response to both TRT and RTā+āCT (pā=ā0.001). However, exclusive improvements on cognitive function (pā<ā0.001) and BDNF levels (pā=ā0.001) were observed only after RTā+āCT.
Conclusion:
The RT program associated with a cognitive task, improved physical and cognitive performance in healthy older adults.
Introduction
The aging process involves progressive organic deterioration and a significant decline in physiological functions, potentially leading to the development of geriatric syndromes and chronic diseases (Salthouse, 2013; World Health Organization, 2018; Cruz-Jentoft et al., 2019; Hoogendijk et al., 2019). According to the World Health Organization, attention should be paid to the age-related decrease in neuromuscular performance and cognitive functioning, given their close relationship with functional independence and healthy aging (Pruchno and Carr, 2017; World Health Organization, 2018).
Aging affects negatively the neuromuscular function by regulating multiple mechanisms, reducing mobility, muscle mass, strength and power (Cruz-Jentoft et al., 2019). Muscle atrophy and decreased physical performance are diagnostic criteria for frailty (Hoogendijk et al., 2019), sarcopenia (Cruz-Jentoft et al., 2019) and risk factors for adverse health events, including falls (Shumway-Cook et al., 2000; Buatois et al., 2008).
Cognition refers to mental processes responsible for the interaction between body and environment. Cognitive functions, such as memory, attention, and executive functions are affected by aging as well (Salthouse, 2013). Furthermore, age-related decline in cognitive functions affects the ability to perform activities of daily living (Gold, 2012). We can evaluate cognitive function in diverse ways. One of them, is verbal abilities. Verbal abilities involve the capacity to retrieve grammatical representations and word sounds. This function are assessed by verbal fluency (VF) tasks. These abilities are crucial for communication and interaction with the world (Whiteside et al., 2016).
Declines caused by age encompass physical and cognitive aspects, which profoundly affect daily life activities, since this model of activity involves simultaneous motor and cognitive tasks (dual task). Aging impairs this ability to perform dual task as walking and talking at the same time, what is seen as a poor health prognosis (Shumway-Cook et al., 2000; Al-Yahya et al., 2019). One way to improve the ability to performance dual task is to combine physical training with cognitive training (CT) at the same time (Herold et al., 2018). Many mechanisms can mediate the effects of dual task on cognitive performance (Chang et al., 2012). For instance, brain-derived neurotrophic factor (BDNF) is involved in neurogenesis, synaptic plasticity, neuronal morphology, and neuropathology (Sujin et al., 2019). Although a theoretical basis for the exercise-induced improvement in cognitive performance by BDNF has been proposed (Kim et al., 2019), studies have shown that not all kind of physical activity can improve BDNF level, as seen the limited effect of resistance training (RT) on BDNF level (Fragala et al., 2014; Prestes et al., 2015).
The maintenance of neuromuscular and cognitive performance is an important topic in geriatric sciences and many therapies that can potentially accomplish this goal have been proposed in the past few years. For instance, it has been argued that RT should be considered a first-line therapy to counteract age-related neuromuscular deterioration (Chodzko-Zajko et al., 2009; Fragala et al., 2019). These assumptions are based on original studies (Coelho-JĆŗnior et al., 2019) and systematic reviews (Borde et al., 2015), in which RT improved neuromuscular performance in older adults. Although studies have shown contradictory effects of RT on cognitive functions, having either no effects (Tsutsumi et al., 1997; Kimura et al., 2010) or positive effect (Cassilhas et al., 2007; Liu-Ambrose et al., 2010; Coelho-JĆŗnior et al., 2020). To the best of our knowledge, no studies have assessed the impact of RTā+āCT on neuromuscular and cognitive function in older adults. We hypothesize that traditional RT (TRT) and RTā+āCT can improve neuromuscular function, but only RTā+āCT can improve both, neuromuscular and cognitive function.
MATERIALS AND Methods
Experimental Design
This two-arm parallel randomized trial compared the effects of TRT and RTā+āCT on cognitive function, physical performance, body composition, and BDNF levels in healthy community-dwelling older adults. Baseline data were collected after the participants became familiar with each test. The same physical trainers and researchers, with 5āyears of experience, who tested and retested the participants, also followed them during the trainings. The participants were randomly allocated into the intervention groups using computer-generated random numbers.1 Each participant performed the tests at the same time of the day.
Participants
The sample size was calculated using Cohenās d (ESā=ā0.70) based on the power analysis of a previous study (Coelho et al., 2012). All procedures were conformed the ethical guidelines of the Declaration of Helsinki and Resolution 196/96 of the National Health Council. Participants were informed about the study procedures, risks, and benefits before giving written consent.
Participants were recruited through advertisements in regional public health centers and by direct contact. The inclusion criteria were ageāā„ā60āyears, living in the community, and having sufficient physical and cognitive abilities to perform the interventions. A convenience sample of 57 older adult was randomly selected using Mini-Mental State Examination (MMSE) and timed āup-and-goā cognitive test scores (Coelho-JĆŗnior et al., 2018a). The TRT and RTā+āCT group was composed by 15 older adult, each one allocated by randomization.
The exclusion criteria were participants who started a physical activity program 3āmonths before the beginning of the study or during the study period, and individuals with a clinical diagnosis of skeletal muscle disorders and/or cardiovascular, pulmonary, neurological and/or psychiatric diseases. The MMSE score was used as criteria of exclusion (<24). In addition, the participants who were absent in more than 10% of the exercise sessions were excluded from the study.
Procedures
Interventions
Interventions for RT and RTā+āCT were performed twice a week for 16āweeks in two phases: a 2-week familiarization period and a 14-week physical training period. In both periods, exercise sessions lasted ~60āmin, including a 5-min warm-up, 50-min exercise, and a 5-min cool-down. All sessions were conducted in groups of four participants under the supervision of two experienced physical trainers. Full range-of-motion exercises were carried out at moderate intensity based on the rating of perceived exertion (RPE).
The familiarization period was established to familiarize participants with the laboratory setting, physical training, and monitoring tools. Participants executed eight resistance exercises for the major muscle groups using Nakagym equipment (SĆ£o Paulo, Brazil), free weights, and body weight. Training was carried out in the morning following the order: leg press, dumbbell lateral raise, lateral pulldown, abdominal crunch, back extension, seated leg curl, bench press, and standing calf raise. Cognitive tasks were not executed during familiarization.
Both intervention groups executed the same set of exercises during the familiarization period, and the total training volume (number of setsāĆānumber of repetitionsāĆāweight lifted) was equalized between the groups. Exercise intensity and volume for leg press, seated leg curl, bench press, and lateral pulldown were increased over the training period, as follows: from week 3 to 10, two sets of 8ā10 submaximal repetitions at 60% of 1-repetition maximum (1RM); from week 11 to 13, three sets of 8ā10 submaximal repetitions at 60% of 1RM; on weeks 14 and 15, three sets of 8ā10 submaximal repetitions at 70% of 1RM. For dumbbell lateral raise, abdominal crunch, back extension, and standing calf raise, the participants performed three sets of 12ā15 submaximal repetitions at moderate-to-high intensity according to the RPE (CR-10) method (moderateā=ā3, highā=ā6; Foster et al., 2001). The targeted RPE remained the same across the training period. A 1-min rest interval between sets was adopted for all exercises.
The 1RM test was performed monthly (Brown and Weir, 2001). The test involved gradually increasing the weight lifted until 1-RM was achieved, with a maximum of five attempts and a 3-min interval between attempts. The testāretest reliability among evaluations was high (intraclass correlation coefficient of 0.99). RPE was quantified using a CR-10 scale at the end of each exercise set. If participants reported an RPE below the expected, training load was increased 2%ā5% for upper extremity exercises and 5%ā10% for lower extremity exercises (Illi et al., 2012). Before the tests, participants performed a 5-min warm-up on a cycle ergometer.
The experimental design is shown in Figure 1.
Figure 1

Experimental design of the study. TRT, traditional resistance training; RTā+āCT, resistance training combined with cognitive training; #, evaluations; F, familiarization; s, seconds; RPE, rating of perceived exertion; 1RM, 1-repetition maximum; *physical function; **cognitive function; ***body composition measurement and blood collection.
The RTā+āCT training involved performing resistance exercises simultaneously with a cognitive [verbal fluency (VF)] task. The VF task involved saying aloud as many words as possible of a specific category in each exercise set. Task difficulty was increased monthly by changing the categories of words, from general to specific, whereas semantic categories (e.g., animals and colors) and phonological categories (e.g., words beginning with a certain letter) were changed in each exercise set (Table 1). Participants were encouraged not to repeat words and think in new words.
Table 1
| Sets | Repetitions | |||||||||
|---|---|---|---|---|---|---|---|---|---|---|
| 1st | 2nd | 3rd | 4th | 5th | 6th | 7th | 8th | 9th | 10th | |
| 1st | Car | Bus | Boat | Bike | Motorcycle | Airplane | Helicopter | Train | Truck | Ambulance |
| 2nd | Orange | Yellow | Red | Green | Black | White | Blue | Purple | Gray | Brown |
| 3rd | United States | Australia | Canada | Germany | France | Spain | Italy | Denmark | Argentina | Brazil |
Examples of semantic and phonological categories used in the training program.
Semantic categories: 1st setā=āTransport; 2nd setā=āColors; 3rd setā=āCountries.
Assessments
Assessments were performed 1āweek before (baseline) and 1āweek after (post-intervention) RT protocols. During these two periods, physical performance and cognitive function were assessed on the first and second day, respectively, and body composition measurement and blood collection were performed on the third day. The participants were asked to abstain from intense physical activity during the 48āh before blood collection.
First Day
The physical function tests included isometric handgrip strength (IHG), 10-m walk test (10āMWT) at usual and fast pace, sit-to-stand test five times (5XSTS), timed up-and-go test (TUG), and one-leg stand. The tests were performed twice, and the highest scores were included in the analysis.
The isometric handgrip strength was measured using a hydraulic hand dynamometer grip Saehan, (SH5001) with participants sitting on a chair with shoulders adducted, elbows flexed at 90° near the trunk, and wrist in a neutral position. The contralateral arm remained beside the trunk. The participants were asked to squeeze the handgrip as hard as they could for 4ā6ās using the dominant hand (Mathiowetz et al., 1984). Relative IHG was calculated by dividing IHG by the BMI.
The 10-m walk test involved walking 12ām at usual and fast pace. Before the test, both feet remained on the starting line. Measurement was started when one foot reached the 1-m line and was stopped when one foot reached the 11-m line. The 1-m intervals at the beginning and end of the course were used for acceleration and deceleration, respectively, and were not included in the analysis (Sampaio et al., 2013).
The sit-to-stand test required rising from an armless chair (total height, 87ācm; seat height, 45ācm; width, 33ācm) five times as fast as possible with arms crossed in front of the body. The stopwatch (1/100ās accuracy) was started when participants rose from the chair and was stopped when they sat on the chair after the fifth repetition (Sampaio et al., 2013).
For the timed up and go test participants were instructed to get up and walk as fast as possible along a 3-m line demarcated on the floor upon hearing the word āgoā without compromising their safety, turn around, return to the original position, and sit down. Timing was started when participants rose from the chair and was stopped when their backs touched the backrest of the chair (Coelho-JĆŗnior et al., 2018b).
In the one-leg stand test, one leg remained on the floor while the other was raised with the knee flexed at 90° and arms crossed in front of the chest. The stopwatch was activated when each participant lifted one foot and was stopped when the foot touched the floor again. The maximum time allowed to perform the test on each leg was 30ās (Briggs et al., 1989).
SecondāDay
Cognitive function was assessed based on VF (Troyer et al., 1997), dual task [TUGā+ācognitive test (TUG-cog)], (Coelho-JĆŗnior et al., 2018b), short-term memory [Scenery Picture Memory Test (SPMT)], (Takechi and Dodge, 2010), executive function, visual attention, and task switching [Trail-Making Test (TMT)] (Tombaugh, 2004).
The Verbal Fluency was assessed using semantic and phonological tests. Participants were requested to say aloud the name of as many animals (semantic domain) and words that began with the letter āAā (phonological domain) as possible for 2āmin (1āmin for each domain).
In the TUG-cog, participants were asked to say the names of animals (Coelho-JĆŗnior et al., 2018a).
The Scenery Picture Memory Test involved analyzing an image of a living room with 23 objects for 1āmin, memorizing as many items as possible, and recalling them after a 1āmin interval. There was no time limit to complete the test (Takechi and Dodge, 2010).
The Trail-Making Test is divided into two parts, TMT-A and TMT-B. TMT-A consisted of drawing a line connecting a sequential set of numbers (1ā25), whereas TMT-B consisted of drawing a line connecting sequential numbers (1ā13) and letters (A-L) and alternating numbers and letters (e.g., 1a, 2b, 3c, 4d). Participants were required to perform the test as quickly as possible (Tombaugh, 2004).
Third Day
Body composition was measured, and fasting blood samples were collected. Participants were asked to avoid physical activity for at least 48āh before blood collection.
Body composition (total body mass, lean body mass, appendicular skeletal muscle mass, and fat mass) was estimated using an electrical bioimpedance data acquisition system (Tanita BC-108, Tokyo, Japan). This system uses an electric current at a frequency of 50ākHz to directly measure the amount of intracellular and extracellular water in the body. The device has eight electrodes, of which four are placed on the soles of the feet and four are placed on the palm (Yamada et al., 2013).
Blood samples were collected by venous puncture in vacutainer tubes (BD Bioscience, Franklin Lakes, New Jersey) containing ethylenediaminetetraacetic acid and were centrifuged at 3,000ārpm at 4°C for 10āmin. Plasma was aliquoted and stored at ā80°C until analysis. Plasma BDNF was measured using an ELISA kit (Sigma-Aldrich, Poole, United Kingdom; Ref: RAB0026) following the manufacturerās instructions. All tests were performed in duplicate.
Statistical Analysis
Data are shown as meanā±āstandard deviation, except for sex, which are shown as n (%). The normality of the distributions was assessed using the ShapiroāWilk test. All data were normally distributed. Baseline values between groups were compared using Studentās t-test. Differences between groups and periods were assessed via two-way (groupāĆātime) ANOVA. Tukey post-hoc tests were carried out when necessary. The relationship between cognitive functions and BDNF levels was evaluated using Pearson correlation. The effect size of the results was calculated using Cohenās d. The level of significance was set at 5% (pā<ā0.05). All analyses were performed using STATISTICA version 6.0 (StatSoft Inc).
Results
Fifty-seven older adults were recruited. Twenty-seven participants were excluded according to the eligibility criteria, and 30 older adults were randomly assigned to the TRT and RTā+āCT groups. Five participants were excluded from the analysis because of non-adherence to the program (four cases) and the initiation of a dermatological treatment (one case). Hence, 25 participants completed the training program and were included in the final analysis (Figure 2).
Figure 2

Flowchart of the present study. TRT, traditional resistance training; RTā+āCT, resistance training combined with cognitive training.
The characteristics of the study participants are shown in Table 2. There were no significant differences between the groups at baseline.
Table 2
| Variable | RTā+āCT (nā=ā13) | TRT (nā=ā12) | p-value |
|---|---|---|---|
| Age (years) | 66.3ā±ā4.6 | 70.0ā±ā8.1 | 0.368 |
| Formal education (years) | 16.3ā±ā2.0 | 14.8ā±ā4.0 | 0.312 |
| Men (n, %) | 4 (31) | 3 (25) | 0.748 |
| Height (cm) | 162.0ā±ā0.0 | 162.0ā±ā0.0 | 0.986 |
| Body weight (kg) | 74.1ā±ā14.0 | 72.2ā±ā12.0 | 0.801 |
| BMI (kg/m2) | 28.0ā±ā3.7 | 27.4ā±ā3.8 | 0.693 |
| MMSE (score) | 28.1ā±ā1.0 | 28.4ā±ā1.3 | 0.861 |
| TUG cognitive test (s) | 7.9ā±ā1.9 | 7.6ā±ā0.9 | 0.548 |
General characteristics of the study groups at baseline.
BMI, body mass index; RTā+āCT, resistance training combined with cognitive training; MMSE, Mini-Mental State Examination; TRT, traditional resistance training; TUG, timed up-and-go test.
The effects of TRT and RTā+āCT on body composition and physical function are shown in Table 3. A time effect was observed and the post-hoc showed improvement in both groups. TRT and RTā+āCT improved absolute and relative IHG, 10MWT at a fast pace, 5XSTS, and TUG scores and increased total training volume and maximum muscle strength on the leg press, lateral pulldown, and leg curl (all, pā<ā0.05). RT in the presence or absence of CT had no significant effect on body composition. Moreover, there were no significant differences in physical function scores between the two groups.
Table 3
| Variables | RTā+āCT (nā=ā13) | TRT (nā=ā12) | Time | Group Ć time | ||||||
|---|---|---|---|---|---|---|---|---|---|---|
| Pre | Post | ES | Ī (%) | Pre | Post | ES | Ī (%) | |||
| Physical function | ||||||||||
| Usual WS (m/s) | 1.3 ± 0.1 | 1.4 ± 0.1 | 0.1 | 7.7 | 1.3 ± 0.2 | 1.4 ± 0.2 | 0.5 | 7.7 | 0.06 | 0.97 |
| Fast WS (m/s) | 1.7 ± 0.1 | 1.9 ± 0.2* | 1.3 | 11.7 | 1.6 ± 0.3 | 1.9 ± 0.2* | 1.2 | 18.7 | 0.001 | 0.29 |
| 5XSTS (s) | 9.5 ± 2.5 | 7.3 ± 1.5* | 1.1 | 23.1 | 10.1 ± 1.5 | 7.6 ± 1* | 2.0 | 24.7 | 0.001 | 0.75 |
| TUG (s) | 6.6 ± 0.8 | 5.5 ± 0.8* | 1.4 | 16.6 | 7.0 ± 1.2 | 6.1 ± 0.6* | 1.0 | 12.8 | 0.001 | 0.19 |
| Absolute IHG (kg) | 26.8 ± 7.6 | 31.5 ± 9.1* | 0.5 | 17.5 | 19.8 ± 3.7 | 26.6 ± 4.9* | 1.5 | 34.4 | 0.001 | 0.07 |
| Relative IHG (kg/BMI) | 0.9 ± 0.2 | 1.1 ± 0.3* | 0.8 | 22.2 | 0.7 ± 0.1 | 0.9 ± 0.2* | 1.3 | 28.5 | 0.001 | 0.09 |
| 1-RM leg press (kg) | 164 ± 46 | 246 ± 56* | 1.6 | 50 | 151 ± 39 | 235 ± 60* | 1.7 | 55.6 | 0.001 | 0.73 |
| 1-RM lateral pulldown (kg) | 32.6 ± 11.9 | 43.0 ± 10.9* | 0.9 | 31.9 | 28.6 ± 4.8 | 36.5 ± 4.5* | 1.7 | 27.6 | 0.001 | 0.59 |
| 1-RM leg curl (kg) | 30.7 ± 8.3 | 40.0 ± 11.5* | 0.9 | 30.2 | 27.6 ± 8.7 | 38.9 ± 9.9* | 1.2 | 40.9 | 0.001 | 0.15 |
| 1-RM bench press (kg) | 26.4 ± 6.9 | 27.3 ± 4.6 | 0.1 | 3.4 | 31.6 ± 12.8 | 34.1 ± 8.4 | 0.2 | 7.9 | 0.49 | 0.83 |
| Total volume# | 3,346 ± 869 | 8,135 ± 1,858* | 3.5 | 143.1 | 3,091 ± 748 | 7,637 ± 1,648* | 3.7 | 147 | 0.001 | 0.47 |
| Body composition | ||||||||||
| Body weight (kg) | 73.9 ± 12.3 | 73 ± 12.0 | 0.07 | 0.9 | 72.4 ± 13.0 | 71.4 ± 12.4 | 0.1 | 1.4 | 0.03 | 0.86 |
| BMI (kg/m2) | 28.1 ± 3.8 | 27.9 ± 3.6 | 0.05 | 0.5 | 27.5 ± 3.7 | 27.1 ± 3.6 | 0.1 | 1.3 | 0.10 | 0.57 |
| LBM (kg) | 46.3 ± 10.1 | 45.8 ± 9.3 | 0.06 | 0.8 | 44.8 ± 10.1 | 44.1 ± 9.3 | 0.1 | 1.2 | 0.09 | 0.88 |
| ASMM (kg) | 20.9 ± 6.1 | 20.1 ± 5.7 | 0.13 | 3.5 | 19.0 ± 4.4 | 19.0 ± 4.5 | 0.0 | 0.2 | 0.72 | 0.14 |
| Fat mass (%) | 38.0 ± 7.0 | 37.9 ± 6.3 | 0.03 | 0.9 | 36.7 ± 7.6 | 36.4 ± 8.1 | 0.0 | 1.0 | 0.87 | 0.92 |
Effects of TRT and RTā+āCT on body composition and physical function.
1RM, 1-repetition maximum, 5XSTS, five-times sit-to-stand test, ASMM, appendicular skeletal muscle mass, BMI, body mass index; LBM, lean body mass; RTā+āCT, resistance training combined with cognitive training; ES, effect size; IHG, isometric handgrip strength; TRT, traditional resistance training; TUG, timed up-and-go test; WS, walking speed.
Main effect of time (Post-hoc), pā<ā0.05.
SetsāĆārepetitionsāĆāweight.
The effects of TRT and RTā+āCT on cognitive functions are shown in Table 4. A time effect was observed for TUG-cog and the post-hoc identified significant difference for both groups, without significant differences between the groups. A time effect was found for semantic and phonological VF and SPMT, the post-hoc test identified that only RTā+āCT improved these variables (all pā<ā0.05). The BDNF level showed a significant group x time effect and the post-hoc showed that RTā+āCT (Pre-training 757ā±ā260, Post-Training 1,158ā±ā483) presented increased BDNF level at the end of the intervention compared to TRT (Pre-training 1,001ā±ā367, Post-Training 780ā±ā320), the difference can be seen in the Figure 3.
Table 4
| Variables | RTā+āCT (nā=ā13) | TRT (nā=ā12) | Time | GroupāĆāTime | ||||||
|---|---|---|---|---|---|---|---|---|---|---|
| Pre | Post | ES | Ī% | Pre | Post | ES | Ī% | |||
| Cognitive functions | ||||||||||
| SVF (words/min) | 17.5 ± 5.6 | 22.4 ± 5.1* | 0.9 | 28.0 | 18.5 ± 4.9 | 20.0 ± 5.4 | 0.3 | 0.8 | <0.001 | 0.05 |
| PVF (words/min) | 13.3 ± 5.3 | 17.5 ± 6.3* | 0.7 | 31.5 | 14.5 ± 5.1 | 15.7 ± 5.6 | 0.2 | 8.2 | 0.09 | 0.05 |
| TUG-cog (s) | 7.6 ± 0.9 | 6.2 ± 0.5* | 1.3 | 18.4 | 7.9 ± 1.6 | 6.7 ± 0.9* | 0.9 | 15.1 | <0.001 | 0.56 |
| TMT-A (s) | 47.4 ± 16.8 | 42.0 ± 14.8 | 0.3 | 11.3 | 39.1 ± 8.6 | 39.0 ± 17.2 | 0.0 | 0.3 | 0.06 | 0.67 |
| TMT-B (s) | 87.1 ± 44.4 | 85.0 ± 32.4 | 0.0 | 2.4 | 103.9 ± 50.4 | 124.9 ± 71.3 | 0.3 | 20.2 | 0.52 | 0.52 |
| SPMT (points) | 15.6 ± 3.8 | 17.1 ± 3.6* | 0.4 | 9.6 | 15.4 ± 3.7 | 16.4 ± 4.1 | 0.3 | 0.6 | 0.03 | 0.67 |
| BDNF (pg/mL) | 757 ± 260 | 1,158 ± 483* | 1.0 | 52.9 | 1,001 ± 367 | 780 ± 320 | 0.6 | 22 | 0.41 | 0.001 |
Effects of TRT and RTā+āCT on cognitive functions.
BDNF, brain-derived neurotrophic factor; RTā+āCT, resistance training combined with cognitive training; ES, effect size; SPMT, Scenery Picture Memory Test; TMT-A, Trail Making Test A; TMT-B, Trail Making Test B; TRT, traditional resistance training; SVF, semantic verbal fluency; PVF, phonological verbal fluency.
Main effect of time (Post-hoc), pā<ā0.05.
Figure 3

Effects of resistance training on plasma BDNF levels. BDNF, brain-derived neurotrophic factor; TRT, traditional resistance training; RTā+āCT, resistance training combined with cognitive training. *Difference between pre- and post-training (post-hoc test), pā<ā0.05.
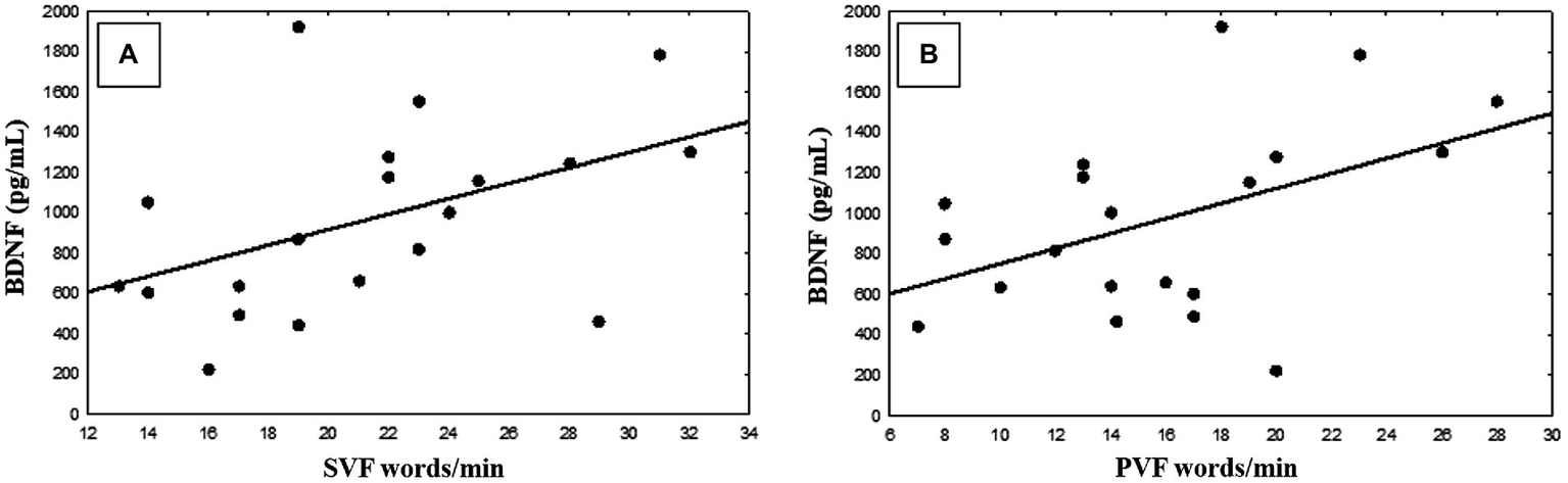
The relationship between peripheral BDNF levels and cognitive scores after training was evaluated using Pearson correlation (Figure 4). There was a positive significant correlation between BDNF levels with SVF (rā=ā0.463; pā=ā0.039, nā=ā25) (A) and PVF (rā=ā0.461; pā=ā0.040, nā=ā25). No other significant associations were observed.
Figure 4

Pearson correlation between brain-derived neurotrophic factor (BDNF) and semantic verbal fluency (SVF) scores (A) and phonological verbal fluency (PVF) scores (B).
Discussion
Our findings indicated that RT in the presence or absence of CT improved physical function in healthy older adults. However, RTā+āCT but not TRT improved cognition, semantic and phonological VF, and plasma BDNF levels. These results indicate that RTā+āCT improves cognitive function in physically healthy older adults and that BDNF may mediate this effect.
Both TRT and RTā+āCT improved physical performance and maximum muscle strength on resistance exercises. Notably, 1RM leg-press, IHG, 5XSTS, 10MWT, and TUG scores increased by approximately 53%, 25%, 24%, 15%, and 15%, respectively, consistent with a previous study (Coelho-JĆŗnior et al., 2018b) and a meta-analysis (Guizelini et al., 2018), wherein RT improved physical function in community-dwelling older adults. Hence, our findings confirm that RT enhances physical function in older adults.
These results may have direct implications on older adultsā quality of life, given that reduced physical performance predisposes to the development of disabilities, frailty (Hoogendijk et al., 2019), and sarcopenia (Cruz-Jentoft et al., 2019), which are associated with increased rates of falls and fractures, depressive symptoms, cognitive decline, hospitalization, nursing home placement, and death (Fitzpatrick et al., 2007).
There is controversy regarding the effects of RT on muscle mass in older adults (Borde et al., 2015; Prestes et al., 2015; Coelho-JĆŗnior et al., 2019), most likely because these effects are protocol-dependent (Borde et al., 2015) and the best protocol is still unknown. Nonetheless, evidence suggests that high-intensity RT (Kalapotharakos et al., 2004) and RT until concentric muscle failure (Jenkins et al., 2016) are more likely to promote muscle hypertrophy in older adults, which could explain our results, since we apply moderate/high intensity loads training.
The present findings indicate that RTā+āCT improved semantic and phonological VF by 28% and 31%, respectively, and TRT and RTā+āCT increased TUG-cog scores by 18% and 15%, respectively.
There is also controversy regarding the effects of RT on cognitive function in older adults. Our results are supported by Tsutsumi et al. (1997) and Kimura et al. (2010), wherein RT did not significantly improve neurocognitive function in physically healthy older adults. In contrast, Cassilhas et al. (2007) reported that moderate-intensity RT (50% 1RM) and high-intensity RT (80% 1RM) improved memory performance and verbal concept formation in older adults. In addition, Liu-Ambrose et al. (2010) found that RT performed once or twice a week improved executive functions (selective attention and conflict resolution) in community-dwelling older women, and Coelho-JĆŗnior et al. (2020) observed that TRT in the presence or absence of power training improved cognitive function, short-term memory, and dual-task performance in older women.
A possible explanation for these contradictory results is the difference in the duration of intervention, given that the latter three studies evaluated RT performance for at least 22āweeks, whereas the former two studies and the present investigation assessed RT performance for up to 16āweeks. In this respect, interventions of at least 6āmonths seem to be necessary to elicit significant changes in cognitive parameters (Vellas et al., 2007).
Another explanation may be related to the near-transfer effect in cognitive training. Near transfer of training is defined as a situation where the stimulus for the original learning event is similar to that for the transfer event (i.e., task; Royer, 1979; Sala et al., 2019). In the present study some part of cognitive outcomes showed improvement of verbal fluency, corroborating the near-transfer effect training theory, specific adaptations by similar stimulus (e.g., verbal fluency improved by verbal fluency). And the opposite, far transfer effect is defined as a situation where the stimulus for the original learning event is distinct to that for the transfer event (Royer, 1979), which it is rare to occur (Sala et al., 2019). Ours results endorsed it, with the improvement of VF but not memory (short memory test) and attention in the RTā+āCT group. Therefore, the present study corroborates the difficulty in generating far transfer for other cognitive adaptation that are not similar task and/or type of stimulus (Sala et al., 2019).
The better result (shorter time test) for TUG-cog scores may be due to enhanced motor performance, rather than better cognitive functioning, since both TRT and RTā+āCT improved TUG-cog scores (ES of 0.9 and 1.3, respectively).
Neurophysiological mechanisms underlying improvements in physical and cognitive performance have been proposed, including the āguided plasticity facilitationā framework, which postulates that the sequential or simultaneous execution of physical and cognitive tasks has synergistic benefits (Herold et al., 2018). This framework emerges from āfacilitation effectā by physical exercises and the āguidance effectā by cognitive exercises, neural activation (e.g., increasing in neural growth factors, e.g., BDNF) and mechanisms of new synapses, respectively. Therefore, āguided plasticity facilitationā is important to induce neuroplasticity changes (Herold et al., 2018). BDNF may mediate morpho functional changes induced by CT in brain regions involved in cognition (HĆ„kansson et al., 2017) which might explain our findings that the increased of BDNF levels may mediate the improvement in cognitive tests after 16-week in the RTā+āCT participants. Notably, the null effect of traditional resistance training on BDNF levels is supported by other studies (Fragala et al., 2014; Prestes et al., 2015), allowing us to hypothesize that resistance training combined with cognitive training (simultaneously) induces an increase in BDNF levels. In this respect, Damirchi et al. (2018) measured rest blood BDNF levels after 8āweeks of aerobic physical training; cognitive training; and dual-task training (aerobicā+ācognitive training). They showed that the latter two interventions (cognitive and Dual-Task) increased BDNF levels, consistent with our results.
Our study has the following limitations: (1) treatment effects may have been overestimated or underestimated because of the lack of a control and a CT group; (2) the correlation between BDNF levels and cognitive improvement may be mediated by physiological mechanisms; however, this study did not establish cause-effect relationships.
In conclusion, the results showed that a 16-week moderate-intensity RT program alone or combined with CT improved physical performance in healthy older adults. However, only RTā+āCT improved cognitive function and increased plasma BDNF levels. In addition, this kind of CT showed a possible association ānear-transfer effectā with SVF and PVF test, but no āfar transfer-effect.ā
Funding
This work was supported by the National Council for Scientific and Technological Development ā Brazil (CNPq) (#131240/2018-8).
Publisherās Note
All claims expressed in this article are solely those of the authors and do not necessarily represent those of their affiliated organizations, or those of the publisher, the editors and the reviewers. Any product that may be evaluated in this article, or claim that may be made by its manufacturer, is not guaranteed or endorsed by the publisher.
Statements
Data availability statement
The raw data supporting the conclusions of this article will be made available by the authors, without undue reservation.
Ethics statement
The studies involving human participants were reviewed and approved by the Institutional Human Research Ethics Committee of the UNICAMP under the protocol number 2.524.553. The patients/participants provided their written informed consent to participate in this study.
Author contributions
LC and MU: conceptualization. LC, VL, JB, and AG: data collection. LC, VL, JB, HC-J, and MU: formal analysis. LC, VL, EL, and MU: funding acquisition. LC, VL, JB, and EL: investigation and methodology. LC, VL, and MU: project administration. CT and MU: supervision. LC, MU, and HC-J: writingāoriginal draft. LC, HA, MU, HC-J, and CT: writingāreview and editing. All authors contributed to the article and approved the submitted version.
Conflict of interest
The authors declare that the research was conducted in the absence of any commercial or financial relationships that could be construed as a potential conflict of interest.
Footnotes
References
1
Al-Yahya E. Mahmoud W. Meester D. Esser P. Dawes H. (2019). Neural substrates of cognitive motor interference during walking; peripheral and central mechanisms. Front. Hum. Neurosci.12:536. doi: 10.3389/fnhum.2018.00536
2
Borde R. HortobĆ”gyi T. Granacher U. (2015). Doseāresponse relationships of resistance training in healthy old adults: a systematic review and meta-analysis. Sports Med.45, 1693ā1720. doi: 10.1007/s40279-015-0385-9
3
Briggs R. C. Gossman M. R. Birch R. Drews J. E. Shaddeau S. A. (1989). Balance performance among noninstitutionalized elderly women. Phys. Ther.69, 748ā756. doi: 10.1093/ptj/69.9.748
4
Brown L. E. Weir J. P. (2001). ASEP procedures recommendation I: accurate assessment of muscular strength and power. J. Exercise Physiol. 4, 1ā17.
5
Buatois S. Miljkovic D. Manckoundia P. Gueguen R. Miget P. VanƧon G. et al . (2008). Five times sit to stand test is a predictor of recurrent falls in healthy community-living subjects aged 65 and older. J. Am. Geriatr. Soc.56, 1575ā1577. doi: 10.1111/j.1532-5415.2008.01777.x
6
Cassilhas R. C. Viana V. A. R. Grassmann V. Santos T. S. Santos R. F. Tufik S. et al . (2007). The impact of resistance exercise on the cognitive function of the elderly. Med. Sci. Sports Exerc.39, 1401ā1407. doi: 10.1249/mss.0b013e318060111f
7
Chang Y. K. Pan C. Y. Chen F. T. Tsai C. L. Huang C. C. (2012). Effect of resistance-exercise training on cognitive function in healthy older adults: a review. J. Aging Phys. Act.20, 497ā517. doi: 10.1123/japa.20.4.497
8
Chodzko-Zajko W. J. Proctor D. N. Fiatarone S. M. A. Christopher T. M. Nigg C. R. Salem G. J. et al . (2009). American College of Sports Medicine position stand. Exercise and physical activity for older adults. Med. Sci. Sports Exerc.41, 1510ā1530. doi: 10.1249/MSS.0b013e3181a0c95c
9
Coelho F. M. Pereira D. S. Lustosa L. P. Silva J. P. Dias J. M. D. Dias R. C. D. et al . (2012). Physical therapy intervention (PTI) increases plasma brain-derived neurotrophic factor (BDNF) levels in non-frail and pre-frail elderly women. Arch. Gerontol. Geriatr.54, 415ā420. doi: 10.1016/j.archger.2011.05.014
10
Coelho-Júnior H. J. Gonçalvez O. I. Sampaio R. A. C. Sampaio Y. S. P. Cadore L. E. Calvani R. et al . (2020). Effects of combined resistance and power training on cognitive function in older women: a randomized controlled trial. Int. J. Environ. Res. Public Health17:3435. doi: 10.3390/ijerph17103435
11
Coelho-JĆŗnior H. J. GonƧalvez O. I. Sampaio R. A. C. Sampaio Y. S. P. Cadore L. E. Izquierdo M. et al . (2019). Periodized and non-Periodized resistance training programs on body composition and physical function of older women. Exp. Gerontol.121, 10ā18. doi: 10.1016/j.exger.2019.03.001
12
Coelho-JĆŗnior H. J. GonƧalvez O. I. Sanches I. C. GonƧalves L. Caperuto E. C. Uchida M. C. et al . (2018a). Multicomponent exercise improves physical functioning but not cognition and hemodynamic parameters in elderly osteoarthritis patients regardless of hypertension. Biomed. Res. Int.2018, 1ā10. doi: 10.1155/2018/3714739
13
Coelho-JĆŗnior H. J. Rodrigues B. GonƧalvez O. I. Sampaio R. A. C. Uchida M. C. Marzetti E. (2018b). The physical capabilities underlying timed āup and goā test are time-dependent in community-dwelling older women. Exp. Gerontol.104, 138ā146. doi: 10.1016/j.exger.2018.01.025
14
Cruz-Jentoft A. J. Bahat G. Bauer J. Boirie Y. BruyĆØre O. Cederholm T. et al . (2019). Sarcopenia: revised European consensus on definition and diagnosis. Age Ageing48:601. doi: 10.1093/ageing/afz046
15
Damirchi A. Hosseini F. Babaei P. (2018). Mental training enhances cognitive function and BDNF more than either physical or combined training in elderly women with MCI: a small-scale study. Am. J. Alzheimers Dis. Other Dement.33, 20ā29. doi: 10.1177/1533317517727068
16
Fitzpatrick A. L. Buchanan C. K. Nahin R. L. Dekosky S. T. Atkinson H. H. Carlson M. C. et al . (2007). Associations of gait speed and other measures of physical function with cognition in a healthy cohort of elderly persons. J. Gerontol. A Biol. Sci. Med. Sci.62, 1244ā1251. doi: 10.1093/gerona/62.11.1244
17
Foster C. Florhaug J. A. Franklin J. Gottschall L. Hrovatin L. A. Parker S. et al . (2001). A new approach to monitoring exercise training. J. Strength Cond. Res.15, 109ā115. doi: 10.1519/00124278-200102000-00019
18
Fragala M. S. Beyer K. S. Jajtner A. R. Townsend J. R. Pruna G. J. Boone C. H. et al . (2014). Resistance exercise may improve spatial awareness and visual reaction in older adults. J. Strength Cond. Res.28, 2079ā2087. doi: 10.1519/JSC.0000000000000520
19
Fragala M. S. Cadore E. L. Dorgo S. Izquierdo M. Kraemer W. J. Peterson M. D. (2019). Resistance training for older adults. J. Strength Cond. Res.33, 2019ā2052. doi: 10.1519/JSC.0000000000003230
20
Gold D. A. (2012). An examination of instrumental activities of daily living assessment in older adults and mild cognitive impairment an examination of instrumental activities of daily living impairment. J. Clin. Exp. Neuropsychol.34, 11ā34. doi: 10.1080/13803395.2011.614598
21
Guizelini P. C. Aguiar R. A. Denadai B. S. Caputo F. Greco C. C. (2018). Effect of resistance training on muscle strength and rate of force development in healthy older adults: a systematic review and meta-analysis. Exp. Gerontol.102, 51ā58. doi: 10.1016/j.exger.2017.11.020
22
HĆ„kansson K. Ledreux A. Daffner K. Terjestam Y. Bergman P. Carlsson R. et al . (2017). BDNF responses in healthy older persons to 35 minutes of physical exercise, cognitive training, and mindfulness: associations with working memory function. J. Alzheimers Dis.55, 645ā657. doi: 10.3233/JAD-160593
23
Herold F. Hamacher D. Schega L. Müller N. G. (2018). Thinking while moving or moving while thinking ā concepts of motor-cognitive training for cognitive performance enhancement. Front. Aging Neurosci.10:228. doi: 10.3389/fnagi.2018.00228
24
Hoogendijk E. O. Afilalo J. Ensrud K. E. Kowal P. Onder G. Fried L. P. (2019). Frailty: implications for clinical practice and public health. Lancet394, 1365ā1375. doi: 10.1016/S0140-6736(19)31786-6
25
Illi S. K. Held U. Frank I. Spengler C. M. (2012). Effect of respiratory muscle training on exercise performance in healthy individuals: a systematic review and meta-analysis. Sports Med.42, 707ā724. doi: 10.1007/BF03262290
26
Jenkins N. D. M. Housh T. J. Buckner S. L. Bergstrom H. C. Cochrane K. C. Hill E. C. et al . (2016). Neuromuscular adaptations after 2 and 4 weeks of 80% versus 30% 1 repetition maximum resistance training to failure. J. Strength Cond. Res.30, 2174ā2185. doi: 10.1519/JSC.0000000000001308
27
Kalapotharakos V. I. Michalopoulou M. Godolias G. Tokmakidis S. P. Malliou P. V. Gourgoulis V. (2004). The effects of high- and moderate-resistance training on muscle function in the elderly. J. Aging Phys. Act.12, 131ā143. doi: 10.1123/japa.12.2.131
28
Kim S. Ji-Young C. Sohee M. Dong-Ho P. Hyo-Bum K. Ju-Hee K. (2019). āRoles of Myokines in Exercise-Induced Improvement of Neuropsychiatric Function.ā Pflügers Archiv - European. J. Physiol.471, 491ā505.
29
Kimura K. Obuchi S. Arai T. Nagasawa H. Shiba Y. Watanabe S. et al . (2010). The influence of short-term strength training on health-related quality of life and executive cognitive function. J. Physiol. Anthropol.29, 95ā101. doi: 10.2114/jpa2.29.95
30
Liu-Ambrose T. Nagamatsu L. S. Graf P. Beattie B. L. Ashe M. C. Handy T. C. (2010). Resistance training and executive functions: a 12-month randomized controlled trial. Arch. Intern. Med.170, 170ā178. doi: 10.1001/archinternmed.2009.494
31
Mathiowetz V. Weber K. Volland G. Kashman N. (1984). Reliability and validity of grip and pinch strength evaluations. J. Hand Surg. Am.9, 222ā226. doi: 10.1016/S0363-5023(84)80146-X
32
Prestes J. Nascimento D. C. Tibana R. A. Teixeira T. G. Vieira D. C. L. Tajra V. et al . (2015). Understanding the individual responsiveness to resistance training periodization. Age37:55. doi: 10.1007/s11357-015-9793-x
33
Pruchno R. Carr D. (2017). Successful aging 2.0: resilience and beyond. J. Gerontol. Series B72, 201ā203. doi: 10.1093/geronb/gbw214
34
Royer J. M. (1979). Theories of the transfer of learning. Educ. Psychol.14, 53ā69. doi: 10.1080/00461527909529207
35
Sala G. Aksayli D. N. Tatlidil K. S. Tatsumi T. Gondo Y. (2019). Near and far transfer in cognitive training: a second-order meta-analysis. Collabra Psychol.5:18. doi: 10.1525/collabra.203
36
Salthouse T. A. (2013). Selective review of cognitive aging. J. Int. Neuropsychol. Soc.16, 754ā760. doi: 10.1017/S1355617710000706
37
Sampaio Y. S. P. Ito E. Sampaio R. A. C. (2013). The association of activity and participation with quality of life between Japanese older adults living in rural and urban areas. J. Clin. Gerontol. Geriatrics4, 51ā56. doi: 10.1016/j.jcgg.2012.11.004
38
Shumway-Cook A. Brauer S. Woollacott M. (2000). Predicting the probability for falls in community-dwelling older adults using the timed up & go test. Phys. Ther.80, 896ā903. doi: 10.1093/ptj/80.9.896
39
Sujin K. Choi J. Y. Moon S. Park D. H. Kwak J. H. Kang J. H. (2019). Roles of Myokines in exercise-induced improvement of neuropsychiatric function. Pflügers Archiv-Eur. J. Physiol.471, 491ā505. doi: 10.1007/s00424-019-02253-8
40
Takechi H. Dodge H. H. (2010). Scenery picture memory test: a new type of quick and effective screening test to detect early stage Alzheimerās disease patients. Geriatr. Gerontol. Int.10, 183ā190. doi: 10.1111/j.1447-0594.2009.00576.x
41
Tombaugh T. N. (2004). Trail making test a and B: normative data stratified by age and education. Arch. Clin. Neuropsychol.19, 203ā214. doi: 10.1016/S0887-6177(03)00039-8
42
Troyer A. K. Moscovitch M. Winocur G. (1997). Clustering and switching as two components of verbal fluency: evidence from younger and older healthy adults. Neuropsychology11, 138ā146. doi: 10.1037/0894-4105.11.1.138
43
Tsutsumi T. Don B. M. Zaichkowsky L. D. Delizonna L. L. (1997). Physical fitness and psychological benefits of strength training in community dwelling older adults. Appl. Hum. Sci. J. Physiol. Anthropol.16, 257ā266. doi: 10.2114/jpa.16.257
44
Vellas B. Andrieu S. Sampaio C. Wilcock G. (2007). Disease-modifying trials in Alzheimerās disease: a European task force consensus. Lancet Neurol.6, 56ā62. doi: 10.1016/S1474-4422(06)70677-9
45
Whiteside D. M. Kealey T. Semla M. Luu H. Rice L. Basso M. R. et al . (2016). Verbal fluency: language or executive function measure?Appl. Neuropsychol. Adult23, 29ā34. doi: 10.1080/23279095.2015.1004574
46
World Health Organization (2018). Ageing and Health. Available at: http://www.who.int/mediacentre/factsheets/fs404/es/ (Accessed March 20, 2020).
47
Yamada M. Nishiguchi S. Fukutani N. Tanigawa T. Yukutake T. Kayama H. et al . (2013). Prevalence of sarcopenia in community-dwelling Japanese older adults. J. Am. Med. Dir. Assoc.14, 911ā915. doi: 10.1016/j.jamda.2013.08.015
Summary
Keywords
BDNF, cognitive training, dual task, resistance training, older adult
Citation
Castaño LAA, Castillo de Lima V, Barbieri JF, Lucena EGPd, GÔspari AF, Arai H, Teixeira CVL, Coelho-Júnior HJ and Uchida MC (2022) Resistance Training Combined With Cognitive Training Increases Brain Derived Neurotrophic Factor and Improves Cognitive Function in Healthy Older Adults. Front. Psychol. 13:870561. doi: 10.3389/fpsyg.2022.870561
Received
07 February 2022
Accepted
15 June 2022
Published
14 October 2022
Volume
13 - 2022
Edited by
Tongjian You, University of Massachusetts Boston, United States
Reviewed by
Yi Sun, Gordon College, United States Eduardo Henrique Loreti, Centro UniversitƔrio da Grande Dourados (UNIGRAN), Brazil
Updates
Copyright
© 2022 Castaño, Castillo de Lima, Barbieri, Lucena, GÔspari, Arai, Vieira Ligo Teixeira, Coelho-Júnior and Uchida.
This is an open-access article distributed under the terms of the Creative Commons Attribution License (CC BY). The use, distribution or reproduction in other forums is permitted, provided the original author(s) and the copyright owner(s) are credited and that the original publication in this journal is cited, in accordance with accepted academic practice. No use, distribution or reproduction is permitted which does not comply with these terms.
*Correspondence: Luz Albany Arcila CastaƱo, luz.albany.arcila@gmail.com
This article was submitted to Movement Science and Sport Psychology, a section of the journal Frontiers in Psychology
Disclaimer
All claims expressed in this article are solely those of the authors and do not necessarily represent those of their affiliated organizations, or those of the publisher, the editors and the reviewers. Any product that may be evaluated in this article or claim that may be made by its manufacturer is not guaranteed or endorsed by the publisher.