- 1School of Public Affairs, Zhejiang University, Hangzhou, China
- 2Research Center for Chinese Organizational Development and Performance Evaluation, Zhejiang University, Hangzhou, China
- 3Institute for Public Policy, Zhejiang University, Hangzhou, China
- 4Academy of Neuroeconomics and Neuromanagement, Ningbo University, Ningbo, China
Performance pressure is a unique stressor in the public sector. Prior studies revealed that it could be a challenge that stimulates functional behavior (i.e., vigor and dedication) or a threat that leads to dysfunctional consequences (i.e., exhaustion and depersonalization). But these articles failed to provide an integrated theoretical model to explain both phenomena simultaneously. We introduced the double-edged sword effect (also called the “too-much-of-good-thing” effect) of performance pressure to fill this theoretical gap. Furthermore, the mediation role of mission valence was examined to explore the buffet mechanism toward this nonlinear relationship. We collected 1,464 valid questionnaire data from snowball sampling to test the research model. Our results revealed that: (1) performance pressure had an inverted U-shaped relationship with dedication and mission valence; (2) performance pressure hurt vigor rather than the curvilinear relationship; (3) mission valence can mediate the inverted U-shaped relationship between performance pressure and dedication. These empirical findings give theoretical contributions and practical insights to public personnel management.
Introduction
Performance pressure is a unique stressor in the workplace that is “the urgency to achieve high levels because performance is tied to substantial consequences” (Mitchell et al., 2018). It entails three interrelated factors: shared outcome accountability, heightened scrutiny, and evaluation of work, and significant outcomes (Gardner, 2012). In the private sector, due to the competition of market mechanisms, organization members must pursue the maximization of cost–benefit. Thus, performance management has become one of the most effective incentive tools. In the public sector, however, the problem is more complex. Public employees do not seek to maximize profits, but the legitimacy of organizations rests on the recognition of their citizens. Whether the public agency can effectively implement public policies and provide social services is also driven by performance pressure. Some research finds the performance of public sector health systems has a positive relationship with the life quality of citizens (Sun and Li, 2020). When current performance is inadequate for achieving the desired goal, a negative affective response is linked to the attitude and associated belief (Eisenberger and Aselage, 2009). Therefore, performance pressure plays a more important role in public organizations.
Previous studies hold two paradoxical views about the effect of performance pressure. Some researchers argue that it could be a threat that leads to dysfunctional behavior. Employees facing high-performance pressure may undermine their efforts by engaging in suboptimal processes such as unethical pro-organizational behavior (Chen and Chen, 2021; Xu et al., 2021; Zheng et al., 2021) and not contributing valuable knowledge to teamwork (Bunderson and Sutcliffe, 2002; Willems et al., 2021; Mai et al., 2022), incivility, and retail shrink (Jensen et al., 2019), lead to employees’ instrumental and expressive ties (Ali et al., 2022). Other scholars believe that performance pressure also can be regarded as a challenge that elicits functional behavior. When people are motivated to achieve high performance, they engage in activities to benefit their objectives. People tend to take effort-directing actions (e.g., task planning, knowledge coordination, and morale-building communications) and be more ethical and creative (Ness and Connelly, 2017; Zhang et al., 2017). It should say that both views reflect a certain aspect but fail to capture the full spectrum of the incentive mechanism of performance pressure. The impact of performance pressure is not a simple linear relationship but may also have an inverted U-shaped curvilinear relationship. In other words, in the incentive process of performance pressure, there is a meta-theoretical phenomenon called the “too much of a good thing effect (TMGT)” (Pierce and Aguinis, 2013). Challenge assessment positively mediates the relationship between performance stress and work engagement, while threat assessment negatively mediates the relationship between performance stress and work engagement (Schaufeli et al., 2006; Kundi et al., 2021, 2022). Self-regulation is found to be insignificant mediate in the association between social media addiction and strain (Khan et al., 2021; Tariq et al., 2021; Zheng et al., 2021). Learner proactivity reaps social networks through online interaction, strengthening learner social capital in virtual learning (Khan et al., 2022). Previous studies about the impact of performance pressure on work vigor and dedication are isolated as well as fragmented, and lack theoretical dialog between each other. To be more precise, the appropriate intensity range positively affects the work vigor and dedication. After crossing the inflection point, the marginal incentive effect may decrease, leading to negative psychology such as burnout and exhaustion. To fill the theoretical gap, we further construct the inverted U-shaped mechanism of performance pressure and examines its nonlinear incentive mechanism on it.
In addition, prior studies mostly discussed the influence of performance pressure on individual psychology or behavior (following the “stimulate-response” paradigm or S-R). Still, they less argued the influence of organism psychological resources on organizational behavior. According to Woodworth (1918)‘s dynamic psychology theory, individual psychological states follow the rule of “stimulate-organism-response” (S-O-R). The stimulation from the external environment will be processed by the internal organism of the individual and eventually produce different reactions, such as self-determination motivation, autonomy, competence, and relationships (Deci and Ryan, 1985). For the public sector, mission valence constitutes an important internal psychological coping mechanism (Rainey and Steinbauer, 1999; Wright, 2007; Wright and Pandey, 2011; Wright et al., 2012). The sense of mission valence fuels employees to keep active in work and be willing to participate in completing tasks. They value the mission of the public agency by manifesting the social contributions of the organizational results, which enhances the degree to which people perceive the salience of the organization’s goals (Pasha et al., 2017; Bosak et al., 2021). Therefore, analyzing the mediating effect of mission valence between pressure and work vigor and dedication is urgent.
To sum up, we proposed two research questions (RQs): What are the mechanisms between performance pressure and work vigor as well as dedication among public sector workers? What role does mediation variable mission valence play in this process? By collecting 1,464 valid questionnaire data from snowball sampling, we demonstrated that: (1) performance pressure had an inverted U-shaped relationship with dedication and mission valence; (2) performance pressure hurt vigor rather than the curvilinear relationship; (3) mission valence can mediate the inverted U-shaped relationship between performance pressure and dedication. Our research makes theoretical contributions to public personnel management as well as performance management.
Theoretical background and hypotheses development
Pressure entails a sense of urgency imposed on someone and is often used as a motivating factor. Performance pressure - a unique source of employee work stress - is a tension to raise performance to attain desirable consequences and avoid negative consequences (Mitchell et al., 2019). It’s based on the belief that meeting or exceeding performance expectations will tie to significant consequences (e.g., promotions, raises, rewards, bonuses, etc.). Failing to meet expectations can result in harmful outcomes (e.g., probation, termination, sanctions, demoted or terminated, etc.). It’s a unique stressor in the workplace because of two reasons: (1) it emphasizes the pursuit of excellence, distinct from time pressure, work overload, or task overburden; (2) it can be anticipated and planned rather than do it at random (Gardner, 2012; Mitchell et al., 2019).
Prior research demonstrated that performance pressure elicits both functional and dysfunctional behavior. Some scholars have shown that it incentives active and positive behavior. Industrial-organizational psychologists find that competition, rewards, and punishments in the workplace can produce the perception that it’s important to meet goals and achieve high performance (Prouska et al., 2016), also referred to as performance pressure. Paradoxically, other research has demonstrated an irony of performance pressure: it impairs individual behavior and boosts dysfunctional behavior. Even though employees are motivated to perform well on the project, a team with high-performance pressure is more likely to involve in performance-detracting behavior (Gardner, 2012). Complex tasks under heightened scrutiny demotivate employees to perform more poorly because of diminished cognitive functioning (Ellis, 2006); they may not focus on collective performance and disrupt team routines. Increased performance pressure involves outcome accountability, which leads people to opt for less-risky approaches that they can easily defend and justify. Employees under high-performance pressure tend to be more cautious and conventional; they may be involved in more heuristic information processing as they rely on socially acceptable knowledge that comes to mind quickly. Moreover, several scholars found that performance pressure is a double-edged sword. Gardner (2012) revealed that performance pressure could enhance team motivation but undermine the use of team knowledge. These inconsistent findings suggest that performance pressure may have an inverted-U shape relationship, resulting in bright and dark side effects for organizations.
Performance pressure and vigor/dedication
Work engagement is “a positive, fulfilling, affective, motivational state of work-related well-being characterized by vigor, dedication, and absorption” (Schaufeli et al., 2006; Bakker et al., 2008). Among them, vigor and dedication are the two core symptoms of engagement. Vigor refers to high levels of energy and mental resilience, willingness to devote one’s effort to their work, and persistence in the face of difficulties; dedication is characterized by being strongly involved in one’s job and experiencing a sense of inspiration, significance, enthusiasm, and pride (Bakker et al., 2008). Previous studies have shown that work and organizational level antecedents affect vigor and dedication, including demanding citizens (Eldor, 2018), hindrance stressors (Bao and Zhong, 2019), organizational climate (Pecino et al., 2019), empathy, affect, and personality (Martos Martinez et al., 2021), job demands, and resources (Bakker et al., 2008, 2014; Maslach and Leiter, 2008), and daily task performance (Hetland et al., 2022). As for public sector employees, one of the most important factors is performance pressure. It is influenced by bottom-line mentality, which leads to workplace cheating behavior (Kamran et al., 2022). The strength of performance pressure depends on the coping process; during this process, individuals may categorize two types of stressors: challenge and hindrance stressors. The former could yield positive consequences for individuals, creating an innate drive to pursue potential opportunities and advancement, while the latter refers to stressors that damage positive outcomes (Cavanaugh et al., 1998, 2000). Moderate pressure constitutes a high-performance system and stimulates the ability, motivation, and attitude of employees (Takeuchi et al., 2009; Kehoe and Wright, 2013; Xu et al., 2020; Kloutsiniotis et al., 2021); while the pressure from a high-performance system has negative effects, which lead to cheating through anger and self-serving cognitions (Kroon et al., 2009; Spoelma, 2021). According to the additive combinations of latent mechanisms proposed by Haans et al. (2016), the double-edged sword effect of performance pressure leads to an inverted U-shaped. It produces a bright and a dark side (Haans et al., 2016). Thus, we divided the influence of pressure into two categories: “low→medium” and “medium→high”.
In the low→medium intensity, the higher the performance pressure, the more vigor and dedicated the public sector employees would be. Performance is an important indicator to measure the ability of public servants, and appropriate supervision and appraisal are conducive to directing employees’ attention toward implementing policies. Territorial accountability increases the attention of public servants to the work and forces them to prioritize the realization of the target. A high-performance work system facilitates emotional commitment (Takeuchi et al., 2009; Kehoe and Wright, 2013; Xu et al., 2020), enhances organizational citizenship behavior (Kehoe and Wright, 2013; Kloutsiniotis and Mihail, 2020), improves job engagement (Kloutsiniotis and Mihail, 2020). Appropriate pressure is seen as a challenge, which creates an internal focus on potential opportunities and development. This experienced pressure affects public service employees’ well-being, stimulating psychological, emotional, and physiological reactions. Thus, moderate performance pressure can motivate employees to work hard.
In the medium→high intensity, the higher the performance pressure, the less vigor, and dedication the public sector employees would be. Employees would become focused on and overwhelmed by the foreboding and worrisome aspects of the situation (Folkman and Lazarus, 1985). They tend to concentrate on the difficulties of raising performance and the negative consequences that will likely result if performance demands are not met. According to the theory of cognitive stress appraisal (Lazarus and Folkman, 1984), any form of negative stewing is a taxing experience. Threat performance appraisal in motivated situations limits the cardiovascular (i.e., the physical function of an individual’s heart and blood flow) and decreases energy (Seery, 2011; Liu et al., 2022). Moreover, threat appraisals have been found to diminish psychological states, impair concentration, and heighten perceptions that tasks are overly difficult (Hagger et al., 2010). Threat appraisals stemming from performance pressure will deplete self-resources associated with self-regulation. Employees would focus on the impending doom of performance pressure (i.e., threat appraisal) and drain their resources, leaving them in a state of self-regulation.
Hypothesis 1a: There is an inverted U-shaped relationship between performance pressures and vigor.
Hypothesis 1b: There is an inverted U-shaped relationship between performance pressures and dedication.
Performance pressure and mission valence
Mission valence was first adopted by Rainey and Steinbauer (1999), who defined it as “the attractiveness of the mission, such as difficult but feasible, reasonably clear and understandable, worthwhile, interesting or exciting, important or influential, and distinctive.” As Barnard (1938) once said, an organization’s ability to use its mission to “satisfy personal ideals relating to nonmaterial, future, or altruistic relations” is one of the most powerful and neglected ways to induce cooperation. In the public sector, mission valence can be viewed as an intrinsic reward that a civil servant’s perceptions of the salience of a public agent’s purpose or social contribution (Rainey and Steinbauer, 1999; Wright, 2007; Wright et al., 2012). Task performance pressure was negatively associated with authentic leadership and psychological capital (Jang, 2022), increasing the perception of co-workers’ undermining (Jang and Kim, 2021). According to the previous literature review, performance pressure may have an inverted U-shaped mechanism on mission valence.
In the low→medium intensity, appropriate performance pressure can enhance mission valence. Performance management is an effective tool for leaders to use to promote agency objectives through target setting and motivating employees to achieve them. Due to its incentive and learning-induced capabilities, performance management has been regarded as a ladder to direct the mission valence of public servants (Pasha et al., 2017). An organization attempts to convey what it values most to public servants by assigning and measuring targets. It enables public employees to focus their efforts and actions toward achieving their goals; then increase their job involvement, incentivizing them to work harder. Moderate pressure from performance appraisal helps civil servants establish a sense of mission and value (Guerrero and Chenevert, 2021). Performance pressure reflects the importance of the task at work. Organization members can stimulate the recognition of their tasks, enhancing the sense of mission valence. Therefore, moderate performance pressure with clear indicators helps public servants relate their tasks to the broader organizational mission and understand how a performance improvement may affect the organization and society (Pasha et al., 2017).
In the medium→high intensity, too much performance pressure leads to a decrease in mission valence. Extrinsic rewards negatively affect intrinsic motivation (Eisenberger and Aselage, 2009). According to self-determination theory (Deci and Ryan, 1985), internal motivation is the key factor affecting behavior, whereas external motivation sometimes has an erosive effect on self-determination motivation. Extrinsic rewards can drive out intrinsic motivation, particularly when the employees are intrinsically motivated (Frey, 1997; Ryan and Deci, 2000; Canton, 2005; Georgellis et al., 2011). Higher extrinsic rewards or high-powered incentives reduce the propensity of intrinsically motivated employees (Georgellis et al., 2011). Performance-oriented human resource system could improve employees’ willingness for self-development, but it may also reduce their moral awareness, which increases unethical behavior (Zhang et al., 2021).
Hypothesis 2: There is an inverted U-shaped relationship between performance pressures and mission valence.
The mediating role of mission valence
The external performance pressure may have an inverted U-shaped relationship with vigor and dedication. The internal mission valence plays a buffer role in this mechanism. The sense of mission valence may expand the positive effect of performance pressure and alleviate the incentive distortion.
On the one hand, mission valence helps enhance the positive effect of performance pressure on vigor and dedication. Because the subjective experience of performance pressure is internalized, mission valence can differ. Appropriate performance management is conducive to guiding people to establish a correct mission, stimulates their sense of responsibility and inspiration, enhances spiritual vitality, and fuels vigor. At the same time, establishing a shared vision and mission is conducive to stimulating team members’ internal drive and promoting cooperation among organization members. Transformational leaders can help alleviate burnout among hospital staff who operate in a challenging and stressful environment (e.g., performance pressure) by increasing the perceived attractiveness or salience of an organization’s mission (Bosak et al., 2021; Guerrero and Chenevert, 2021). And mission valence orients employees to regard their works as part of the organization’s general purpose, accentuating the responsibility of public servants toward the organization and society (Ahn, 2022). It encourages civil servants to transcend their interests in pursuing public goods. Performance pressure involves heightened evaluation and consequences, which increase arousal, physical and mental efforts, and greater persistence in facing difficulties. Therefore, in this circumstance, employees should take action to focus, engage, and prolong their efforts.
On the other hand, mission valence helps buffer the corrosive effect of performance pressure on vigor and dedication. Performance pressure promotes organization members to establish common values and are willing to treat external pressure with positive psychological cognition, change their cognition of stress, promote career involvement, and work engagement, and improve individual mental health and dedication. Facing the external pressure brought by the performance appraisal system, the mission valence changes its internal cognition, provides a sense of task significance, holds a positive meaning (Guerrero and Chenevert, 2021), improves its resilience, and brings dedication and investment.
Hypothesis 3a: There is a positive indirect effect in the inverted U-shaped relationship between performance pressure and vigor through mission valence.
Hypothesis 3b: There is a positive indirect effect in the inverted U-shaped relationship between performance pressure and dedication through mission valence.
The theoretical model is depicted in Figure 1.
Measurement methods
We adopted the questionnaire survey method to test the theoretical model. Firstly, we defined the connotation and denotation of all variables and selected validated scales to guarantee the quality of the measures. Secondly, this study used convenience sampling to investigate the grassroots public employees in eastern, western, and central regions of China to ensure sample representativeness. Finally, we tested all variables’ reliability, validity, and common method bias to ensure high psychometrical properties.
Participants
The target population of our study was grassroots public employees in the Chinese public sector. 1,464 public employees were involved in this research: 581 (39.7%) were female, the average rank was 3.73 (SD = 1.702), the average education was 4.94 (SD = 0.601), the average tenure was 4.35 (SD = 1.552), and the average work hour was 3.92 (SD = 1.041). The studies involving human participants were reviewed and approved by our university. The patients/participants provided their written informed consent to participate in this study. As a criterion for inclusion, we evaluated public sector employees who were working at the grassroots level or had extensive grassroots work experience.
Instruments
Since all measurement items were adopted from English scales, we conducted the back-translation procedure of Brislin (1970) to better adapt to the Chinese context. Three Ph.D. students were asked to translate the English items into Chinese; another student translated them back into English. The translation was valid if the back translation was consistent with the original one. After that, several rounds of expert consultation meetings were held to invite experts in public management, psychology, political science, and other fields to evaluate the questionnaire in a back-to-back manner and put forward suggestions for revision independently. At the same time, we conducted several field investigations and semi-structured interviews with front-line public servants, practitioners, and leaders and then revised certain items based on their feedback. After that, a small-scale pretest was conducted for this questionnaire. Combined with quantitative analysis and participants’ comments, we rephrased certain sentences and eliminated ambiguous items to improve the clarity of our scales, thus forming the final questionnaire. Unless indicated, participants responded to items based on a 7-point Likert scale of 1 = strongly disagree, 7 = strongly agree. The complete list of all items is presented in Appendix A.
Performance pressure
Perceived performance pressure was measured with four items from Mitchell et al. (2018). Sample items include “Today, I feel that if I do not produce at high levels, my job will be at risk” and “Today, I feel tremendous pressure to produce results.” The Cronbach’s alpha was 0.848.
Vigor
Vigor was assessed with six items from the Utrecht Work Engagement Scale (UWES) in Schaufeli et al. (2006). Sample items include “At my work, I feel bursting with energy” and “At my job, I feel strong and vigorous.” The Cronbach’s alpha was 0.925.
Dedication
Dedication was also measured with five items from Schaufeli et al. (2006). Example items are: “I am enthusiastic about my job,” and “My job inspires me.” The five items showed good internal consistency with Cronbach’s alpha of 0.872.
Mission valence
Mission Valence was measured with four items from Wright and Pandey (2011). Example items are: “For me, the mission of this organization is exciting,” and “This organization provides valuable public services.” The Cronbach’s alpha was 0.874.
Control variables
Many previous studies have confirmed that gender, age, education, marriage, and other demographic characteristics affect vigor, dedication, and burnout (Cordes and Dougherty, 1993; Maslach et al., 2001). Existing literature about Chinese public employees regarded rank, age, education, tenure, and so on as the controlled variables (Bao and Zhong, 2019; Lu and Guy, 2019; Xie and Yang, 2021). We controlled the gender, age, rank, workhour, tenure, education, and job category. Among them, the classification of job categories refers to the relevant provisions of the Civil Servant Law of China and was divided into administrative law enforcement (JC_ale), professional technology (JC_pt), comprehensive administration (JC_ca), and others, thus generating three dummy variables. Variable descriptions are demonstrated in Table 1.
Procedure
Considering the difficulties in surveying Chinese public sector employees, we recruited survey subjects by the convenience sampling method recommended by Manion (1994) to ensure sample representativeness as far as possible. We adopted field and auxiliary investigation methods in the data collection process. To increase the representativeness of our sample, we first purposefully selected the provinces from the eastern, central, and western regions according to factors such as the degree of economic development, differences in the work characteristic, and endowment of social resources. Then, we choose the counties (districts) based on the state of economic development. With the help of local personnel, we recruited front-line and grass-roots party and government employees from representative departments. The sample size was determined by the type of department and the size of the organization. At the same time, to reflect the overall picture of grassroots public employees and avoid selection bias in sampling, we combined the snowball sampling method to conduct an auxiliary survey on Master of Public Administration (MPA) students in a university to supplement empirical data. Data were collected in 2021 and distributed through electronic and paper questionnaires to ensure anonymity and confidentiality. The approximate time to complete the survey was 10 to 15 min. The academic purpose of the survey was introduced at the beginning of the survey, and anonymity and confidentiality were guaranteed. A total of 1,534 questionnaires were distributed, and 1,486 were finally collected. After excluding invalid questionnaires such as the omission of data, position above the department level (Zhengchu Ji), and subjects filling in the same answer, the final valid number was 1,464, with an effective questionnaire rate of 98.52% (Table 2). Among these 1,464 respondents, we also examined the possibility of the nonresponse bias by using two-tailed T-tests of variables on demographic characteristics (gender, age, rank, and education) and Chi-square tests on the region. The results were all insignificant, which revealed that there is no nonresponse bias.
Data analysis
Measurement model
We used SPSS 23.0 to analyze the reliability of examined variables, Amos 24.0 to test the validity, and Stata 16.0 to test the hypotheses used by hierarchical regression analysis. The reliability and validity analysis was used to test the psychometric properties of our research model. The Cronbach’s α values were all greater than 0.7, which means that all variables had good reliability. In the validity test, we first used exploratory factor analysis (EFA) to test examined variables. We removed one item of vigor and two items of dedication from the original scales because these items did not fit perfectly with EFA. The EFA results show that the KMO value was 0.890, the significance of Bartlett’s sphericity test was p < 0.001, the total variance interpretation was 75.903%, the factor loading of each item in its component was greater than 0.5 (Table 3), which proved to have good validity.
We further adopted confirmatory factor analysis (CFA) to test the discriminant validity in Amos 24.0 and selected nine goodness of fit indexes: Chi-square (χ2), degree of freedom (df), Chi-square/degree of freedom (χ2/df), root mean square error of approximation (RMSEA), goodness-of-fit index (GFI), normed fit index (NFI), incremental fit index (IFI), comparative fit index (CFI), and root mean square residual (RMR). The CFA results were shown in Table 4. The hypothesized four-factor model fitted data well (χ2 = 387.761, χ2/df = 4.672, RMSEA = 0.056, GFI = 0.956, NFI = 0.966, IFI = 0.73, CFI = 0.973, RMR = 0.092). The fitting index of the four factors model was better than other competitive models. These results indicated that our research has good discriminate validity. We concluded that our theoretical model was distinct and solid.
Common method biases
As our study used the self-report method to collect data, common method biases (CMB) might exist. Therefore, it’s necessary to adopt procedural and statistical techniques and remedies (Podsakoff et al., 2003). In procedural control, this study protects respondent anonymity, reduces evaluation apprehension, and counterbalances question order during the investigation. In the statistical control, we applied Harman’s single-factor test. The results showed that a total of four factors were extracted, among which the initial eigenvalue of the first factor was 5.929, and its explained variance was 37.055%, which was lower than the 50% benchmark recommended by Podsakoff et al. (2003). It demonstrated that CMB had no significant effect on the research model so that we could conduct hypothesis testing.
Correlation analysis
The Pearson correlation analysis (including means, standard deviations, and correlation coefficients) was reported in Table 5. Performance pressure was negatively related to vigor (r = −0.376, p < 0.01) and dedication (r = −0.293, p < 0.01), and was not significantly related to mission valence (r = −0.053, p > 0.05). This insignificant effect shows that there is not a simple linear relationship between performance pressure and mission valence, but there may be a curve relationship. We further test their relationship in the subsequent regression analysis. Mission valence was positively related to vigor (r = 0.135, p < 0.01), and dedication (r = 0.358, p < 0.01). Age, rank, and tenure were positively related to vigor (r = 0.081, p < 0.01; r = 0.062, p < 0.05; r = 0.084, p < 0.01) and dedication (r = 0.085, p < 0.01; r = 0.079, p < 0.01; r = 0.085, p < 0.01). Workhour was negatively related to vigor (r = −0.305, p < 0.01) and dedication (r = −0.058, p < 0.05). Gender was not significantly related to vigor (r = 0.025, p > 0.05) or dedication (r = 0.000, p > 0.05). These results are consistent with the theoretical hypothesis and provide the premise for the subsequent regression analysis.
Hypothesis testing
Before hypothesis testing, we conducted mean-centering for each variable to reduce multicollinearity problems. Since all constructs were continuous variables, the ordinary least squares (OLS) method was used for regression analysis. We controlled gender, age, rank, workhour, tenure, education, and job categories. To achieve the optimal sample size ratio to the number of parameters, we conducted item parceling on all variables (Little et al., 2002; Williams et al., 2009). Since this study aims to distinguish the differences among core variables rather than explore the relationship between items, it is reasonable to pack variables with many items (Little et al., 2013). We used Stata 16.0 for hierarchical regression analysis.
Inverted-U test
The regression equation of the inverted U-shaped mechanism is as follows:
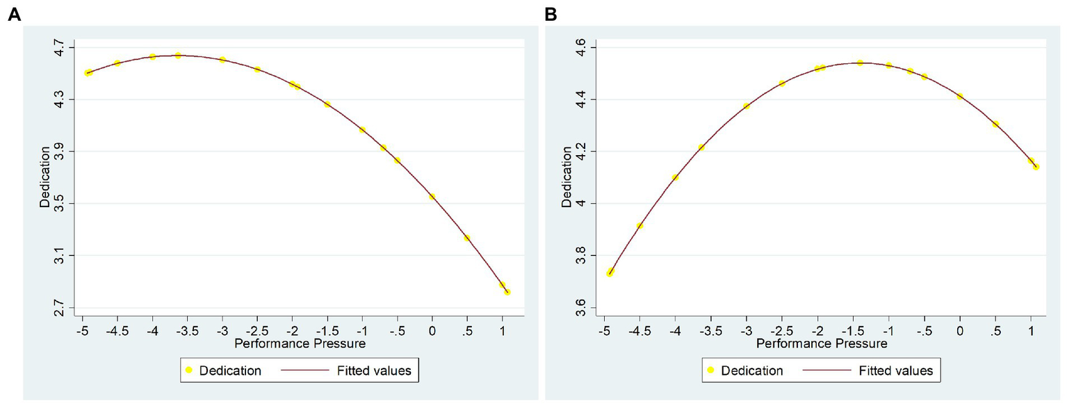
In the regression equation, Y is the dependent variable of each individual, ϑ is the constant, X is the independent variable, Z is the control variable, and ε is the error. The inflection point δ = −ω/2γ. Model 2 in Table 6 reveals that performance pressures are negatively related to vigor (β = −0.454, p < 0.001). Model 3 reveals that performance pressures are negatively related to vigor (β = −0.482, p < 0.001) while performance pressure square is not significantly related to vigor (β = −0.018, p > 0.05). Hypothesis 1a did not get supported. Model 6 reveals that performance pressures are negatively related to dedication (β = −0.465, p < 0.001). Model 7 reveals that performance pressures are negatively related to dedication (β = −0.596, p < 0.001), and performance pressure square is negatively related to dedication (β = −0.082, p < 0.01). The inflection point of performance pressure on dedication is δ1 = −3.634, which is inside the scope of centralization of performance pressure (x∈ [−4.927, 1.073]), indicating that there is an inverted U-shaped curve. Hypothesis 1b got supported.
Model 10 reveals that performance pressures are not significantly related to mission valence (β = −0.079, p > 0.05). Model 11 reveals that performance pressures are negatively related to mission valence (β = −0.183, p < 0.001), and performance pressure square is negatively related to mission valence (β = −0.065, p < 0.01). The inflection point of performance pressure on dedication is δ2 = −1.408, which is inside the scope of centralization of the independent variable (x∈ [−4.927, 1.073]). This indicates an inverted U-shaped curve; thus, Hypothesis 2 was supported.
The VIF of each regression equation is <3; thus, there is no multicollinearity.
Mediation effect analysis
Based on the mediating effect test proposed by Baron and Kenny (1986), this study adopted the hierarchical regression model to test the mediating effect of mission valence. The analysis results are shown in Models 7, 8, and 12. The statistical results show that: (1) performance pressure square is negatively related to dedication (β = −0.082, p < 0.01); (2) performance pressures square is negatively related to mission valence (β = −0.065, p < 0.01); (3) put the performance pressure square and mission valence together into the equation, mission valence is positively related to dedication (β = 0.387, p < 0.001), and performance pressure square is negatively related to dedication (β = −0.057, p < 0.05). The path coefficient of the performance pressure square to dedication becomes decreases. It demonstrates that mission valence partially mediates the inverted U-shaped relationship between performance pressure and dedication. After adding the mediation variable of mission valence, the inflection point of performance pressure on dedication is δ3 = −4.638, which is inside the scope of centralization of independent variable performance pressure (x∈ [−4.927, 1.073]). It indicates that there is an inverted U-shaped curve. Compared with the midpoint of the independent variable (α = −1.927), the inflection point is located on the right, indicating that under the mediating effect of mission valence, the incentive effect of performance pressure on dedication is “asymmetric,” and its positive incentive effect expands. Thus, Hypothesis 3b got supported (Figure 2). Besides, we further control the variable of mission valence, and the statistical results in Model 5 show that performance pressure is negatively related to vigor (β = −0.445, p < 0.001), and the path coefficient of the performance pressure to vigor becomes decreases. Thus, Hypothesis 3a did not get support. The VIF of each regression equation is less than 3; thus, there is no multicollinearity.

Figure 2. The incentive effect of performance pressure on dedication. (A) the direct effect of performance pressure on dedication; (B) the moderation effect of mission valence between performance pressure and dedication. The dotted line indicates the midpoint, and the solid line indicates the inflection point.
To further examine the mediation effect, we follow the advice of Bauer et al. (2006) to explore indirect effects and conduct a bootstrapping analysis. The bootstrap method extracts 5,000 samples from the original data (with substitution) and calculates the mediating effects in each sample. The point estimate of the mediation effect is the mean of these 5,000 samples, with a 95% confidence interval calculation. Therefore, if the confidence intervals do not contain zero, the point estimate is significant at the level indicated (Preacher and Hayes, 2004). Thus, we tested Hypothesis 3a and 3b by conducting an overall indirect model using the PROCESS method (use Models 4) to assess the significance of the mediation effects of our model (Hayes, 2013). Table 7 shows the research results. The bootstrapped point estimate and confidence intervals (CI) results show that the indirect effect of performance pressure on vigor is-0.4454 (p > 0.05), and the CI is between-0.0142 and 0.007 (including zero). This means Hypothesis 3a did not get support. While the indirect effect of performance pressure square to dication is-0.0095 (p < 0.05), and the CI is between-0.0043 and-0.003 (not including zero). This means Hypothesis 3b gets supported.

Table 7. Bootstrapped point estimate and confidence intervals (CI) of the mediating effects of mission valence on the indirect relationship between performance pressure and dedication/vigor.
Robustness test
According to the suggestion of Haans et al. (2016), we adopted Lind and Mehlum (2010)‘s three-step method to test the robustness of the inverted U-shaped relationship, taking H2b as an example: (1) the regression coefficient of the square term of the independent variable performance pressure was significantly negative (β = −0.065, p < 0.01); (2) The slope of the minimum point of the independent variable is significantly positive (β = 0.461, p < 0.05), and the slope of the maximum point is significantly negative (β = −0.323, p < 0.001); (3) The Filler 95% confidence interval of the inflection point is (−3.690, −0.750), which is within the range of centralized independent variable performance pressure (x∈[−4.927, 1.073]). The above analysis shows that the inverted U-shaped relationship is still valid, and the research conclusion remains robust.
Discussion
Theoretical implications
Our research has the following theoretical contributions. First, compared with previous studies, we have a dialog with performance pressure theory, and reveal various effects of performance stress on different dimensions of engagement. The initial contextualization suggests that the incentive effect of performance pressure on individuals is either a positive facilitator (Ness and Connelly, 2017) or a negative hindrance (Chen and Chen, 2021; Willems et al., 2021; Mai et al., 2022). But in fact, these two effects may exist at the same time. That is, moderate performance pressures promote individual vigor and dedication. Performance pressure controlled at an appropriate intensity urges public sector employees to consider it a challenge, stimulating their work vitality, motivation, and attitude, and promoting dedication. However, when the intensity of pressure is too high, employees will regard it as a threat and will face the risk of being accounted for if they continue to dedicate themselves. Therefore, public sector workers who prefer risk-averse will take blame avoidance strategies to reduce dedication. The mixed effects of the bright and dark sides are less considered, which needs to be integrated into the same theoretical model. Based on the TMGT effect of Pierce and Aguinis (2013), we explain the inverted U-shaped incentive of performance pressure on work vigor and dedication, further proving the TMGT effect in the performance pressure field.
In addition, we also found some intriguing results that performance pressure only had a significant negative correlation with vigor rather than the curvilinear relationship we assumed. One explanation is that the objects of our study are public sector employees with higher intrinsic motivation (Wright, 2007; Wright and Pandey, 2011; Wright et al., 2012). According to self determine theory, external performance pressure will have an erosive effect on intrinsic motivation and crowd out work enthusiasm (Deci and Ryan, 1985), so there is a negative correlation between the two variables. Another explanation is that based on the definition of two variables, dedication emphasizes the involvement and inspiring sense, while vigor refers to willingness, energy, and mental resilience during working (Schaufeli et al., 2006). That is to say, vigor is driven internally, it is the willingness and persistence to invest effort even in the face of difficulties; while dedication is driven externally, referring to being strongly involved in their works and experiencing a sense of significance, enthusiasm, inspiration, and challenge. Previous studies on job engagement tend to generalize the effects of performance pressure, ignoring the various effects on different dimensions of engagement. In contrast, our study provides a more nuanced explanation. In fact, the greater the performance pressure from the outside, the more suppressed the individual’s intrinsic motivation, which also leads to lower vigor; at the same time, because the performance pressure has a certain guiding effect on the individual’s achievement of goals, which makes the externally driven dedication present a priority. Therefore, externally driven dedication and dedication will show an inverted U-shaped relationship that increases first and then decreases.
Second, this paper reveals a new mediating mechanism (implicit incentives of mission valence) to cope with performance pressure. In the original context, the performance pressure theory is more applicable to the enterprise situation, but the research in the public sector is different. Because the public sector does not emphasize external material incentives, it pays more attention to internal spiritual incentives. Therefore, the internal mission valence of individuals has the function of buffering performance pressure. Existing studies focus more on the buffering effect of individual social resources, organizational support, personality traits, and other factors (Ness and Connelly, 2017; Mitchell et al., 2018). Employees with high emotional stability appraised performance pressure as a challenge rather than a threat, enhancing work engagement (Kundi et al., 2021). Others believe that approach motive (i.e., self-objectification) mediates the positive indirect effect of performance pressure on in-role behaviors; however, avoidance motive (i.e., workplace anxiety) mediates the negative indirect effect. Work meaningfulness strengthens the approach and avoidance tendencies that employees experience under underperformance pressure (Xu et al., 2021). Previous studies have provided comprehensive explanatory variables but do not consider mission value. As a unique source of stress for public sector employees, mission valence positively affects individual behaviors. Like public service motivation, it represents members’ expectations about the public sector’s goals, mission, vision, and values. Cultivating such mission valence can effectively cope with external pressure and improve dedication.
Third, we have a theoretical dialog with mission valence theory, which is consistent with Rainey and Steinbauer (1999), Wright and Pandey (2011), and Wright et al. (2012). Existing research on factors affecting mission valence is mostly analyzed from the perspective of transformational leadership (Wright et al., 2012; Pasha et al., 2017; Bosak et al., 2021). Transformational leadership plays a good role in mission valence, but not every public sector leader has a transformational leadership style. Suppose the research on how to shape MV only focuses on the impact of transformational leadership. In that case, the theoretical assumption is that the MV of public employees will be promoted in the hope of leaders. But in any organization, leaders are always fluid, and former and current leaders may have great differences in leadership, making it difficult to maintain the consistency of transformational leadership. Therefore, we believe only institutions can be sustainable and better shape mission valence. As a lasting system, performance appraisal plays a positive role in guiding mission valence. At the same time, our study also proves an inverted U-shaped relationship between performance pressure and mission valence. Moderate performance pressure is conducive to guiding the valence. In contrast, excessive pressure from performance management will crowd out mission valence and lead to short-sighted behavior - ignoring the organization’s mission and pursuing short-term performance goals.
Practical implications
Our research findings have practical implications for public personnel management. Firstly, public personnel managers can make a stepped performance appraisal plan, and dynamically adjust the performance pressure with the improvement of the working ability of public sector employees. Managers should exert appropriate pressure in performance management, but prevent the influence of “too much of a good thing.” For example, if the content of the examination is too much, the frequency is too high, and the intensity is too large is not conducive to stimulating the work vitality. Therefore, managers should advocate for proportionality over extremity in the doctrine of the mean (Pierce and Aguinis, 2013) when conducting performance appraisal, and seek a balance of performance pressure. For example, performance management indicators should be adjusted according to the improvement of employees’ working ability, and a ladder-type assessment plan should be formed to control the pressure within a reasonable range and prevent excessive and insufficient situations. Use office automation software to dynamically grasp the completion of employees’ daily work tasks, reasonably design performance goals, and prevent the dark side of performance pressure.
Secondarily, managers should educate and train the organization’s mission to enhance the mission valence of public sector employees. Mission valence can be cultivated as an incentive resource. In personnel recruitment and selection, public human resource managers should select some public employees with high mission valence or public service motivation, ensuring the organization’s values coincide with those employees. Managers should redesign the hiring process to select public employees who spontaneously value the public sector’s mission. Besides, managers could increase the meaning or value employees perceive in their jobs through training and education. Moreover, it has been improved that transformational leadership can inspire miss valence (Wright et al., 2012; Pasha et al., 2017). It means that public sector leaders should pay attention to the cultivation of transformational leadership and be good at clearly communicating mission vision statements and ideal goals. Managers can incentivize public servants to work harder by highlighting how their works benefit society or how their performances contribute to the organization’s ability to operationalize values by job crafting (Robledo et al., 2019).
Thirdly, managers should pay attention to the guiding role of performance pressure in mission valence. This study found an inverted U-shaped mechanism between performance pressure and mission valence. When managers conduct performance management, they should pay attention to the crowding-out effect of performance pressure on mission valence. Managers should not exert excessive performance pressure, thus causing valence to be eroded by it; however, too little performance pressure will also affect mission valence. Therefore, managers must maintain a dynamic balance between “excess” and “deficiency.” Employees’ mental health will not get automatically improved via operational-level job stress interventions unless implemented measures correspond to the problems (e.g., work environmental challenges) they want to address (Akerstrom et al., 2021; Severin et al., 2021).
Limitation and future research
Although our model explains the relationship between performance pressure, mission valence, vigor, and dedication, there is still room for improvement. On the one hand, since we used a cross-sectional design to collect data in this study, CMB may exist. Although we refer to the recommendation of Podsakoff et al. (2003) to use a program control to minimize the impact of CMB, the Harmon single factor test in the statistical control was also used to prove the influence of CMB is not significant, but it may still exist. Future studies can use different data sources to measure variables, such as performance pressure measured by superiors and mission valence evaluated by colleagues, to provide more accurate empirical evidence. On the other hand, future research can further explore the occurrence conditions and boundaries of the inverted U-shape mechanism. This paper reveals two sets of inverted U-shape relationships. However, when, where, and under what circumstances this mechanism occurs remains to be further examined. Future studies can further explore the moderating effects of variables such as career advancement, organizational support, and social support to clarify the boundary conditions of inverted U-shape more clearly.
Conclusion
Performance pressure is an incentive tool that motivates employees in public sectors to engage in their work. Previous studies regard performance pressure as either a challenge that promotes functional behaviors or a threat that leads to dysfunctional behaviors. Our research made an integrated explanation to fill the gap, specifically concentrating on the curvilinear relationship between performance pressure and work vigor/dedication. Our findings reveal that performance pressure has an inverted U relationship with dedication and a negative effect on vigor. Besides, although performance pressure has a crow-out influence on vigor and dedication, we still find an important buffer mechanism – the intrinsic mission valence can mediate the inverted U relationship between performance pressure and dedication. Our research findings have practical implications for public personnel management. Public personnel managers, for example, can make a ladder-type performance appraisal plan for each public sector employee, dynamically adjust the performance pressure with the improvement of individual working ability, and control it within a reasonable range. At the same time, managers should carry out education and training about the mission of organizations, which strengthens the mission valence of public sector employees.
Data availability statement
The original contributions presented in the study are included in the article/supplementary material, further inquiries can be directed to the corresponding author.
Ethics statement
The studies involving human participants were reviewed and approved by the Academy of Neuroeconomics and Neuromanagement, Ningbo University. The patients/participants provided their written informed consent to participate in this study.
Author contributions
ZS: conceptualization, data acquisition, data curation, analysis, writing-original draft preparation, and writing-revised draft preparation. BF: conceptualization, and data acquisition. All authors contributed to the article and approved the submitted version.
Funding
This study was funded by grant 21&ZD089 from the major program of National Social Science Foundation of China.
Acknowledgments
We are very grateful to Jin Jia from Shanghai International Studies University, and Liat Eldor from the Wharton School, University of Pennsylvania and Tel Aviv University for their fruitful comments on drafts of this article. Thanks to Su Xiao from Instacart for help with the language of this article.
Conflict of interest
The authors declare that the research was conducted in the absence of any commercial or financial relationships that could be construed as a potential conflict of interest.
Publisher’s note
All claims expressed in this article are solely those of the authors and do not necessarily represent those of their affiliated organizations, or those of the publisher, the editors and the reviewers. Any product that may be evaluated in this article, or claim that may be made by its manufacturer, is not guaranteed or endorsed by the publisher.
References
Ahn, Y. (2022). Mission match and organizational satisfaction: testing the mediating role of perceived reputation. Public Personnel Manage. 51, 355–379. doi: 10.1177/00910260221096857
Akerstrom, M., Corin, L., Severin, J., Jonsdottir, I. H., and Bjork, L. (2021). Can working conditions and employees' mental health be improved via job stress interventions designed and implemented by line managers and human resources on an operational level? Int. J. Environ. Res. Public Health 18:e1916. doi: 10.3390/ijerph18041916
Ali, A., Khan, N. A., Wang, H., and Wang, N. (2022). Investigating the influence of social media on employee creativity: a perspective from social network ties. Creat. Res. J. 7, 1–19. doi: 10.1080/10400419.2022.2102753
Bakker, A. B., Demerouti, E., and Sanz-Vergel, A. I. (2014). Burnout and work engagement: the JD-R approach. Annu Rev Organ Psych. 1, 389–411. doi: 10.1146/annurev-orgpsych-031413-091235
Bakker, A. B., Schaufeli, W. B., Leiter, M. P., and Taris, T. W. (2008). Work engagement: an emerging concept in occupational health psychology. Work Stress. 22, 187–200. doi: 10.1080/02678370802393649
Bao, Y., and Zhong, W. (2019). How stress hinders health among Chinese public sector employees: the mediating role of emotional exhaustion and the moderating role of perceived organizational support. Int. J. Environ. Res. Public Health 16:e4408. doi: 10.3390/ijerph16224408
Baron, R. M., and Kenny, D. A. (1986). The moderator-mediator variable distinction in social psychological research: conceptual, strategic, and statistical considerations. J. Pers. Soc. Psychol. 51, 1173–1182. doi: 10.1037/0022-3514.51.6.1173
Bauer, D. J., Preacher, K. J., and Gil, K. M. (2006). Conceptualizing and testing random indirect effects and moderated mediation in multilevel models: new procedures and recommendations. Psychol. Methods 11, 142–163. doi: 10.1037/1082-989X.11.2.142
Bosak, J., Kilroy, S., Chenevert, D., and Flood, P. C. (2021). Examining the role of transformational leadership and mission valence on burnout among hospital staff. J. Organ. Eff. 8, 208–227. doi: 10.1108/joepp-08-2020-0151
Brislin, R. W. (1970). Back translation for cross-cultural research. J. Cross-Cult. Psychol. 1, 185–216. doi: 10.1177/135910457000100301
Bunderson, J. S., and Sutcliffe, K. M. (2002). Comparing alternative conceptualizations of functional diversity in management teams: process and performance effects. Acad. Manag. J. 45, 875–893. doi: 10.2307/3069319
Canton, E. (2005). Power of incentives in public organizations when employees are intrinsically motivated. J. Inst. Theor. Econ. 161, 664–680. doi: 10.1628/093245605775075942
Cavanaugh, M. A., Boswell, W. R., Roehling, M. V., and Boudreau, J. W. (1998). "Challenge" and "hindrance" related stress among U.S. managers. J. Appl. Psychol. 85, 65–74. doi: 10.1037/0021-9010.85.1.65
Cavanaugh, M. A., Boswell, W. R., Roehling, M. V., and Boudreau, J. W. (2000). An empirical examination of self-reported work stress among us managers. J. Appl. Psychol. 85, 65–74. doi: 10.1037/0021-9010.85.1.65
Chen, M., and Chen, C. C. (2021). The moral dark side of performance pressure: how and when it affects unethical pro-organizational behavior. Int. J. Hum. Resour. Manag. 10, 1–31. doi: 10.1080/09585192.2021.1991434
Cordes, C., and Dougherty, T. (1993). A review and integration of research on job burnout. Acad. Manag. Rev. 18, 621–656. doi: 10.5465/AMR.1993.9402210153
Deci, E. L., and Ryan, R. M. (1985). Intrinsic Motivation and Self-Determination in Human Behavior. New York: Plenum Press
Eisenberger, R., and Aselage, J. (2009). Incremental effects of reward on experienced performance pressure: positive outcomes for intrinsic interest and creativity. J. Organ. Behav. 30, 95–117. doi: 10.1002/job.543
Eldor, L. (2018). Public service sector: the compassionate workplace-the effect of compassion and stress on employee engagement, burnout, and performance. J. Publ. Adm. Res. Theory. 28, 86–103. doi: 10.1093/jopart/mux028
Ellis, A. P. J. (2006). System breakdown: the role of mental models and transactive memory in the relationship between acute stress and team performance. Acad. Manag. J. 49, 576–589. doi: 10.2307/20159782
Folkman, S., and Lazarus, R. S. (1985). If it changes it must be a process: study of emotion and coping during three stages of a college examination. J. Pers. Soc. Psychol. 48, 150–170. doi: 10.1037/0022-3514.48.1.150
Frey, B. S. (1997). On the relationship between intrinsic and extrinsic work motivation. Int. J. Ind. Organ. 15, 427–439. doi: 10.1016/S0167-7187(96)01028-4
Gardner, H. K. (2012). Performance pressure as a double-edged sword: enhancing team motivation but undermining the use of team knowledge. Adm. Sci. Q. 57, 1–46. doi: 10.1177/0001839212446454
Georgellis, Y., Iossa, E., and Tabvuma, V. (2011). Crowding out intrinsic motivation in the public sector. J. Publ. Adm. Res. Theory. 21, 473–493. doi: 10.1093/jopart/muq073
Guerrero, S., and Chenevert, D. (2021). Municipal employees' performance and neglect: the effects of mission valence. Rev. Public Pers. Adm. 41, 447–465. doi: 10.1177/0734371x19896013
Haans, R. F. J., Pieters, C., and He, Z. L. (2016). Thinking about u: theorizing and testing u-and inverted u-shaped relationships in strategy. Strat. Mgmt. J. 37, 1177–1195. doi: 10.1002/smj.2399
Hagger, M. S., Wood, C., Stiff, C., and Chatzisarantis, N. L. D. (2010). Ego depletion and the strength model of self-control: a meta-analysis. Psychol. Bull. 136, 495–525. doi: 10.1037/a0019486
Hayes, A. F. (2013). Introduction to Mediation, Moderation, and Conditional Process Analysis. New York: The Guilford Press.
Hetland, J., Bakker, A. B., Espevik, R., and Olsen, O. K. (2022). Daily work pressure and task performance: the moderating role of recovery and sleep. Front. Psychol. 13:e857318. doi: 10.3389/fpsyg.2022.857318
Jang, E. (2022). Authentic leadership and task performance via psychological capital: the moderated mediation role of performance pressure. Front. Psychol. 13:e722214. doi: 10.3389/fpsyg.2022.722214
Jang, E., and Kim, H. (2021). Performance pressure as an antecedent and authentic leadership as a moderator of the relationship between co-worker undermining and psychological capital. Front. Psychol. 12:e665362. doi: 10.3389/fpsyg.2021.665362
Jensen, J. M., Cole, M. S., and Rubin, R. S. (2019). Predicting retail shrink from performance pressure, ethical leader behavior, and store-level incivility. J. Organ. Behav. 40, 723–739. doi: 10.1002/job.2366
Kamran, K., Azam, A., and Atif, M. M. (2022). Supervisor bottom-line mentality, performance pressure, and workplace cheating: moderating role of negative reciprocity. Front. Psychol. 13:e801283. doi: 10.3389/fpsyg.2022.801283
Kehoe, R. R., and Wright, P. M. (2013). The impact of high-performance human resource practices on employees' attitudes and behaviors. J. Manag. 39, 366–391. doi: 10.1177/0149206310365901
Khan, A. N., Khan, N. A., and Mehmood, K. (2022). Exploring the relationship between learner proactivity and social capital via online learner interaction: role of perceived peer support. Behav. Inform. Technol. 7, 1–15. doi: 10.1080/0144929X.2022.2099974
Khan, N. A., Khan, A. N., and Moin, M. F. (2021). Self-regulation and social media addiction: a multi-wave data analysis in China. Technol. Soc. 64:101527. doi: 10.1016/j.techsoc.2021.101527
Kloutsiniotis, P. V., Katou, A. A., and Mihail, D. M. (2021). Examining the "dark-side" of high performance work systems in the greek manufacturing sector. Empl. Relat. 43, 1104–1129. doi: 10.1108/er-04-2020-0170
Kloutsiniotis, P. V., and Mihail, D. M. (2020). The effects of high performance work systems in employees' service-oriented ocb. Int. J. Hosp. Manag. 90, 1–12. doi: 10.1016/j.ijhm.2020.102610
Kroon, B., van de Voorde, K., and van Veldhoven, M. (2009). Cross-level effects of high-performance work practices on burnout: two counteracting mediating mechanisms compared. Pers. Rev. 38, 509–525. doi: 10.1108/00483480910978027
Kundi, Y. M., Sardar, S., and Badar, K. (2021). Linking performance pressure to employee work engagement: the moderating role of emotional stability. Pers. Rev. 51, 841–860. doi: 10.1108/pr-05-2020-0313
Kundi, Y. M., Sardar, S., and Badar, K. (2022). Linking performance pressure to employee work engagement: the moderating role of emotional stability. Pers. Rev. 51, 841–860. doi: 10.1108/pr-05-2020-0313
Lind, J. T., and Mehlum, H. (2010). With or without u? The appropriate test for a u-shaped relationship. Oxf. Bull. Econ. Stat. 72, 109–118. doi: 10.1111/j.1468-0084.2009.00569.x
Little, T. D., Cunningham, W. A., Shahar, G., and Widaman, K. F. (2002). To parcel or not to parcel: exploring the question, weighing the merits. Struct. Equ. Modeling 9, 151–173. doi: 10.1207/s15328007sem0902_1
Little, T. D., Rhemtulla, M., Gibson, K., and Schoemann, A. M. (2013). Why the items versus parcels controversy needn't be one. Psychol. Methods 18, 285–300. doi: 10.1037/a0033266
Liu, F. Z., Li, P. K., Taris, T. W., and Peeters, M. C. W. (2022). Creative performance pressure as a double-edged sword for creativity: The role of appraisals and resources. Hum. Resour. Manage. 4, 1–17. doi: 10.1002/hrm.22116
Lu, X. J., and Guy, M. E. (2019). Emotional labor, performance goal orientation, and burnout from the perspective of conservation of resources: a United States/China comparison. Public Perform. Manag. Rev. 42, 685–706. doi: 10.1080/15309576.2018.1507916
Mai, K. M., Welsh, D. T., Wang, F. X., Bush, J., and Jiang, K. F. (2022). Supporting creativity or creative unethicality? Empowering leadership and the role of performance pressure. J. Bus. Ethics 179, 111–131. doi: 10.1007/s10551-021-04784-6
Manion, M. (1994). Survey research in the study of contemporary China: learning from local samples. China Q. 139, 741–765. doi: 10.1017/S0305741000043149
Martos Martinez, A., Perez-Fuentes, M. D. C., Molero Jurado, M. D. M., Simon Marquez, M. D. M., Barragan Martin, A. B., and Gazquez Linares, J. J. (2021). Empathy, affect and personality as predictors of engagement in nursing professionals. Int. J. Environ. Res. Public Health 18, 1–16. doi: 10.3390/ijerph18084110
Maslach, C., and Leiter, M. P. (2008). Early predictors of job burnout and engagement. J. Appl. Psychol. 93, 498–512. doi: 10.1037/0021-9010.93.3.498
Maslach, C., Schaufeli, W. B., and Leiter, M. P. (2001). Job burnout. Annu. Rev. Psychol. 52, 397–422. doi: 10.1146/annurev.psych.52.1.397
Mitchell, M. S., Baer, M., Ambrose, M. L., Folger, R., and Palmer, N. F. (2018). Cheating under pressure: a self-protection model of workplace cheating behavior. J. Appl. Psychol. 103, 54–73. doi: 10.1037/apl0000254
Mitchell, M. S., Greenbaum, R. L., Vogel, R. M., Mawritz, M. B., and Keating, D. J. (2019). Can you handle the pressure? The effect of performance pressure on stress appraisals, self-regulation, and behavior. Acad. Manag. J. 62, 531–552. doi: 10.5465/amj.2016.0646
Ness, A. M., and Connelly, S. (2017). Situational influences on ethical sense making: performance pressure, interpersonal conflict, and the recipient of consequences. Hum. Perform. 30, 57–78. doi: 10.1080/08959285.2017.1301454
Pasha, O., Poister, T. H., Wright, B. E., and Thomas, J. C. (2017). Transformational leadership and mission valence of employees: the varying effects by organizational level. Public Perform. Manag. Rev. 40, 722–740. doi: 10.1080/15309576.2017.1335220
Pecino, V., Manas, M. A., Diaz-Funez, P. A., Aguilar-Parra, J. M., Padilla-Gongora, D., and Lopez-Liria, R. (2019). Organiational climate, role stress, and public employees' job satisfaction. Int. J. Environ. Res. Public Health 16:e1792. doi: 10.3390/ijerph16101792
Pierce, J. R., and Aguinis, H. (2013). The too-much-of-a-good-thing effect in management. J. Manag. 39, 313–338. doi: 10.1177/0149206311410060
Podsakoff, P. M., Mac Kenzie, S. B., Lee, J.-Y., and Podsakoff, N. P. (2003). Common method biases in behavioral research: a critical review of the literature and recommended remedies. J. Appl. Psychol. 88, 879–903. doi: 10.1037/0021-9010.88.5.879
Preacher, K. J., and Hayes, A. F. (2004). SPSS and SAS procedures for estimating indirect effects in simple mediation models. Behav. Res. Methods Inst. Comput. 36, 717–731. doi: 10.3758/BF03206553
Prouska, R., Psychogios, A. G., and Rexhepi, Y. (2016). Rewarding employees in turbulent economies for improved organisational performance: exploring SMEs in the south-eastern European region. Pers. Rev. 45, 1259–1280. doi: 10.1108/PR-02-2015-0024
Rainey, H. G., and Steinbauer, P. (1999). Galloping elephants: developing elements of a theory of effective government organizations. J. Publ. Adm. Res. Theory. 9, 1–32. doi: 10.2307/1181850
Robledo, E., Zappala, S., and Topa, G. (2019). Job crafting as a mediator between work engagement and wellbeing outcomes: a time-lagged study. Int. J. Environ. Res. Public Health 16:e1376. doi: 10.3390/ijerph16081376
Ryan, R. M., and Deci, E. L. (2000). “When rewards compete with nature: the undermining of intrinsic motivation and self-regulation,” in Intrinsic and Extrinsic Motivation: The Search for Optimal Motivation and Performance. eds. C. Sansone and J. M. Harackiewicz (San Diego, CA: Academic Press), 13–54.
Schaufeli, W. B., Bakker, A. B., and Salanova, M. (2006). The measurement of work engagement with a short questionnaire - a cross-national study. Educ. Psychol. Meas. 66, 701–716. doi: 10.1177/0013164405282471
Seery, M. D. (2011). Challenge or threat? Cardiovascular indexes of resilience and vulnerability to potential stress in humans. Neurosci. Biobehav. Rev. 35, 1603–1610. doi: 10.1016/j.neubiorev.2011.03.003
Severin, J., Bjork, L., Corin, L., Jonsdottir, I. H., and Akerstrom, M. (2021). Process evaluation of an operational-level job stress intervention aimed at decreasing sickness absence among public sector employees in Sweden. Int. J. Environ. Res. Public Health 18, 1778–1793. doi: 10.3390/ijerph18041778
Spoelma, T. M. (2021). Counteracting the effects of performance pressure on cheating: a self-affirmation approach. J. Appl. Psychol. 12, 1–20. doi: 10.1037/apl0000986
Sun, Z., and Li, J. (2020). The effects of performance of public sector health system on quality of life in China: evidence from the cgss 2015. Int. J. Environ. Res. Public Health 17, 2896–2910. doi: 10.3390/ijerph17082896
Takeuchi, R., Chen, G., and Lepak, D. P. (2009). Through the looking glass of a social system: cross-level effects of high-performance work systems on employees’ attitudes. Pers. Psychol. 62, 1–29. doi: 10.1111/j.1744-6570.2008.01127.x
Tariq, M. Z., Ali Bhatti, G., Khan, N. A., and Qadir, M. (2021). Impact of consumer emotional intelligence on satisfaction with life during the COVID-19 pandemic: the mediating role of impulsive buying behavior. Eur. J. Psychol. 80, 125–132. doi: 10.1024/2673-8627/a000013
Willems, J., Faulk, L., and Boenigk, S. (2021). Reputation shocks and recovery in public-serving organizations: the moderating effect of mission valence. J. Publ. Adm. Res. Theory. 31, 311–327. doi: 10.1093/jopart/muaa041
Williams, L. J., Vandenberg, R. J., and Edwards, J. R. (2009). Structural equation modeling in management research: a guide for improved analysis. Acad. Manag. Ann. 3, 543–604. doi: 10.1080/19416520903065683
Wright, B. E. (2007). Public service and motivation: does mission matter? Public Adm. Rev. 67, 54–64. doi: 10.1111/j.1540-6210.2006.00696.x
Wright, B. E., Moynihan, D. P., and Pandey, S. K. (2012). Pulling the levers: transformational leadership, public service motivation, and mission valence. Public Adm. Rev. 72, 206–215. doi: 10.111/j.1540-6210.2011.02496.x
Wright, B. E., and Pandey, S. K. (2011). Public organizations and mission valence: when does mission matter? Adm. Soc. 43, 22–44. doi: 10.1177/0095399710386303
Xie, L. L., and Yang, L. H. (2021). The influence of perceptions of promotion opportunities on job performance and its mechanisms: a case study of Chinese junior civil servants. J. Contemp. China 30, 118–135. doi: 10.1080/10670564.2020.1766913
Xu, X., Wang, Y., Li, M., and Kwan, H. K. (2021). Paradoxical effects of performance pressure on employees' in-role behaviors: an approach/avoidance model. Front. Psychol. 12, 1–10. doi: 10.3389/fpsyg.2021.744404
Xu, Q., Zhao, Y., Xi, M., and Li, F. (2020). Abusive supervision, high-performance work systems, and subordinate silence. Pers. Rev. 49, 1637–1653.
Zhang, W., Jex, S. M., Peng, Y., and Wang, D. (2017). Exploring the effects of job autonomy on engagement and creativity: the moderating role of performance pressure and learning goal orientation. J. Bus. Psychol. 32, 235–251. doi: 10.1007/s10869-016-9453-x
Zhang, G., Wang, H., Ma, R., and Li, M. (2021). High performance yet ethically risky? A self-regulation perspective on the double-edged sword effects of the performance-oriented human resource system. Bus. Ethics Environ. Responsibility 31, 495–507. doi: 10.1111/beer.12397
Zheng, F., Khan, N. A., and Khan, M. W. A. (2021). Unethical leadership and employee extra-role behavior in information technology sector: a moderated mediation analysis. Front. Psychol. 12:e708016. doi: 10.3389/fpsyg.2021.708016
Appendix A
Measurement items.
Vigor (VI).
(1) At my work, I feel bursting with energy. (VI1)
(2) At my job, I feel strong and vigorous. (VI2)
(3) When I get up in the morning, I feel like going to work. (VI3)
(4) I can continue working for very long periods at a time. (VI4)
(5) At my job, I am very resilient, mentally. (VI5)
(6) At my work, I always persevere, even when things do not go well. (VI6)
Dedication (DE).
(1) I find the work that I do full of meaning and purpose. (DE1)
(2) I am enthusiastic about my job. (DE2)
(3) My job inspires me. (DE3)
(4) I am proud of the work that I do. (DE4)
(5) To me, my job is challenging. (DE5)
Performance Pressure (PP).
(1) The pressures for performance in my workplace are high. (PP1)
(2) I feel tremendous pressure to produce results. (PP2)
(3) If I do not produce at high levels, my job will be at risk. (PP3)
(4) I would characterize my workplace as a results-driven environment. (PP4)
Mission Valence (MV).
(1) This organization provides valuable public service. (MV1)
(2) I believe that the priorities of this organization are quite important. (MV2)
(3) The work of this organization is not very significant in the broader scheme of things (MV3).
(4) For me, the mission of this organization is exciting. (MV4)
Keywords: performance pressure, mission valence, vigor, dedication, inverted U-shaped relationship
Citation: Sheng Z and Fan B (2022) The double-edged sword effect of performance pressure on public employees: The mediation role of mission valence. Front. Psychol. 13:992071. doi: 10.3389/fpsyg.2022.992071
Edited by:
Naseer Abbas Khan, South Ural State University, RussiaReviewed by:
Satyanarayana Parayitam, University of Massachusetts Dartmouth, United StatesAna Belén Barragán Martín, University of Almeria, Spain
Copyright © 2022 Sheng and Fan. This is an open-access article distributed under the terms of the Creative Commons Attribution License (CC BY). The use, distribution or reproduction in other forums is permitted, provided the original author(s) and the copyright owner(s) are credited and that the original publication in this journal is cited, in accordance with accepted academic practice. No use, distribution or reproduction is permitted which does not comply with these terms.
*Correspondence: Zhonghua Sheng, MjE4MjIwNjlAemp1LmVkdS5jbg==