Abstract
Aim:
This study examined the association between self-reported nature exposure and depression among Chinese prisoners, as well as the mediating and moderating effects of meaning in life and callous-unemotional (CU) traits, respectively.
Background:
Prisoners are more likely to experience depression than any other mental illness. Exposure to nature has been proposed as a highly cost-effective method of treating their depressive symptoms. However, the mechanism underlying the link between nature exposure and depression among prisoners needs further investigation, as the findings may provide new insights into how to address depression in incarcerated populations.
Method:
Data were collected through a survey conducted in four prisons in southern China from April to May 2022. The participants were 574 prisoners who anonymously completed four questionnaires about nature exposure, meaning in life, depression, and CU traits.
Results:
The results show that: (1) meaning in life significantly mediates the association between nature exposure and depression, and (2) CU traits moderate the connection between nature exposure and meaning in life.
Conclusion:
The current study uncovered that prisoners who contact more with the natural environment have a higher meaning in life and lower depression, and individuals with higher CU traits can benefit more from nature exposure.
1 Introduction
Depression is distinguished by continuous sorrow, a loss of interest or enjoyment, and decreased energy (World Health Organization, 2017; Dattani et al., 2018). It is one of the greatest challenges facing the world (Abdu et al., 2018). Incarcerated people have a higher prevalence of depression than the general population, due to the uncontrolled, unfree, and threatening nature of the prison environment. A recent survey found that 17.9% of prisoners in Britain had depressive episode (Butcher et al., 2021). Another study found that 9–29% of inmates in the United States experience depression (Prins, 2014). In China, Geng et al. (2021), who recruited 1,484 male Chinese prisoners from Guangdong, discovered that the depression rate was 28.8%. Indeed, depression is the most common mental health disorder among prisoners (Johnson and Zlotnick, 2012), prison officials unfortunately often overlook it (Iversen et al., 2014).
Depression among inmates has a range of negative consequences that pose a significant threat to the prison management bureau. Generally, prisoners’ mental health problems are directly associated with various forms of deviant behavior, such as violence, suicide, and escape attempts (Fazel et al., 2016; Majekodunmi et al., 2017). Furthermore, higher levels of depressive symptoms impair prisoners’ social adaptation and increase the risk of future recidivism (Chang et al., 2015; Wallace and Wang, 2020). Studies conducted in China have also revealed imprisonment itself raises individuals’ depressive levels and that depressed prisoners have more acute suicidal thoughts and behaviors, particularly in Chinese female prisoners (Zhou et al., 2014; Zhong S. et al., 2019; Zheng et al., 2021). Therefore, identifying potential protective factors for depression among inmates is an important issue related to prison safety and the effectiveness of offender rehabilitation (Bezold et al., 2018).
Regarding the question of how to reduce depression among inmates, recent studies have shed light on the significance of the socio-physical factors of the prison environment (Moran, 2019; Moran and Turner, 2019), especially the pivotal role of the natural environment (e.g., forests). A growing number of studies demonstrated significant associations between nature exposure and reduced depressive symptoms among general adolescents, adults, and elders (Gidlow et al., 2016; Jia et al., 2016; Li et al., 2018). Some research has indicated that inmates could benefit from exposure to nature (Moran, 2019; Moran and Turner, 2019; Reddon and Durante, 2019); one empirical study demonstrated that indirect nature exposure can alleviate prisoners’ psychological issues, including depression (Li et al., 2021). Therefore, although nature exposure may play an important role in influencing prisoners’ depression, the mechanisms underlying the association between exposure to the natural environment and depression in this population require further investigation. Accordingly, this study examined whether nature exposure can reduce depression among inmates, considering the mediating and moderating effects of perceived meaning in life and callous-unemotional (CU) traits, respectively.
1.1 Nature exposure and depression among prisoners
Nature exposure is defined as how much an individual (group) has contact with natural environments (Bratman et al., 2019). It often occurs when one is outdoors, while exposure can also happen indoors in the presence of a window or indoor plants (Beute and de Kort, 2018). Stress reduction theory posits that people have an intrinsic need to commune with nature. Spending time in nature can trigger individuals’ parasympathetic nervous system and positive emotions, reducing their stress response and improving mental health (Silva et al., 2018; Han and Hyun, 2019; Norwood et al., 2019; Zhang et al., 2020). Accumulating empirical research indicates that being exposed to natural surroundings such as green areas (e.g., forests, grass, and trees) has numerous mental health benefits and positive effects for reducing depression (Silva et al., 2018; Helbich et al., 2019; Norwood et al., 2019; Zhang et al., 2020). Tomasi et al. (2020) suggested that frequent contact with nature during outdoor activities lessens depressive symptoms. Roberts and Helbich (2021) conducted a seven-day smartphone-based tracking study and further pointed out that exposure to green surroundings, both at home and on the road, has been linked to a reduction in depression. Some reviews and meta-analyses also confirmed the association of nature exposure and depressive disorder (Roberts et al., 2019; Jakstis and Fischer, 2021; Balanzá-Martínez and Cervera-Martínez, 2022). For example, a recent meta-analysis reported that short-term contact (10–90 min) with natural spaces is linked to a small decrease in depressive mood (Roberts et al., 2019). However, these findings have often been extrapolated from measurements of the general healthy population or clinical patients with depressive symptoms, whereas few studies have examined how nature exposure can benefit those who live in confined spaces, such as prisoners.
Prisons are well-known for being solitary settings where punishment takes precedence over rehabilitation (Reddon and Durante, 2019). Therefore, prisons are impoverished environments for inmates, who are usually restricted to rooms with inadequate ventilation and poor lighting. This situation threatens inmates’ mental health, leading to a high incidence of depression among incarcerated populations and difficulties in prison management. For example, at a physiological level, individuals in incarceration often suffer from vitamin D deficiency due to inadequate exposure to natural light (Pürner et al., 2018; De Leo et al., 2022). Vitamin D, beyond being a mere vitamin, also acts as a hormone and is directly associated with mental health disorders including depression (Casseb et al., 2019; Hernandez, 2023). Thus, the psychological rehabilitation of prisoners has begun to receive more consideration from the government. Psychologists use a range of methods, such as cognitive behavioral and mindfulness-based therapies, to reduce prisoners’ depression risk (Yoon et al., 2017); however, these techniques generally require adequate financial support and are highly dependent on trained professionals. Recently, nature contact has been recommended as a highly cost-effective tactic to improve prisoners’ psychological wellness. Some research suggests that activities such as gardening and looking at pictures of nature can reduce inmates’ risk of depression onset. Toews et al. (2018) found that a nature-based intervention could make incarcerated women feel happier, calmer, and less stressed, compared with pre-intervention levels. Furthermore, Li et al. (2021) found that the visibility of nature through windows positively affected life satisfaction, well-being, and distress tolerance, as well as reduced depression, in a sample of 326 male prisoners.
Therefore, based on the above findings, the following hypothesis is proposed:
Hypothesis 1 (H1): Nature exposure is negatively associated with depression among prisoners.
1.2 Mediating role of meaning in life
Further investigation is needed to clarify the mechanism underlying the relationship between nature exposure and depression among prisoners. Meaning in life refers to people’s conviction that their presence has value and recognition of a clear purpose and mission (Steger and Kashdan, 2013). As existential psychologist Rollo May stated, “Our relationships with nature support our sense of self, help us discover our purpose in life, and assist us manage our anxieties” (Softas-Nall and Woody, 2017, p. 241). Contact with nature may help people improve their skills, maintain good habits, and make better life plans (Nisbet et al., 2008; Cervinka et al., 2012), which are essential components of meaning in life. Moreover, nature exposure can enhance positive emotions and well-being (Li et al., 2021), which are important contributors to life significance. Some empirical evidence indicates that connectedness to nature may positively predict meaning in life (Howell et al., 2012; Aruta, 2021). Moreover, Hooker et al. (2022) found that nature-based experiences can improve meaning in life for veterans with posttraumatic stress disorder. Therefore, nature exposure can be assumed to significantly increase individuals’ meaning in life.
Meaning in life can negatively predict depression (Smedema Malonda and Franco Modenes, 2018; Dewitte et al., 2019; Parra, 2020; Sun et al., 2022). Meaning in life, according to logotherapy theory, has a long-lasting, positive impact on one’s mental health problems and subjective well-being (Frankl, 1992; Zhong M. et al., 2019). Empirical studies also demonstrate that the loss of personal significance is a major cause of depression (Steger and Dik, 2009; Vella-Brodrick, 2012; Steger et al., 2014) and that meaning in life can alleviate negative symptoms in depressed people.
Thus, in a prison environment, it is likely that nature exposure reduces depression by enhancing prisoners’ meaning in life. Imprisonment not only has a negative effect on individuals’ freedom and intimate relationships but also brings a profound existential crisis marked by a sense of meaninglessness, which is an important cause of depression (Van Ginneken, 2014; Vanhooren et al., 2017). Some prisoners describe incarceration as a feeling of “hitting rock bottom,” and often feel shocked by what they have done, losing pursuits and expectations of the future (Van Ginneken, 2014). In a survey conducted with 446 individuals, Addad (1987) found that meaning in life was significantly lower in incarcerated groups than in non-incarcerated groups and proved that an absence of meaning can positively predict distress in prison. In the face of meaninglessness and depression, prisoners require effective solutions. As mentioned above, nature exposure can provide prisoners with positive emotions and experiences of self-transcendence, connectedness, and security in a chaotic world (Howell et al., 2012). Conceivably, nature exposure is a catalyst for improving overall life significance (Hooker et al., 2022), which could mitigate depressive symptoms in prisoners. Accordingly, the following is hypothesized:
Hypothesis 2 (H2): Meaning in life mediates the effect of nature exposure on depression among prisoners.
1.3 Moderating effect of CU traits
Nature exposure can increase one’s sense of meaning in life (Hooker et al., 2022); however, even the same natural environment will not have an equal positive effect on all individuals. Extensive evidence has shown that the efficacy of exposure to nature greatly depends on individual personality traits (Takayama and Tsutsui, 2010; Song et al., 2013; Ambrey and Cartlidge, 2017; Feng et al., 2022). According to ecological systems theory, individual traits and the environment can interact to influence personal development (Bronfenbrenner, 1992). Furthermore, John et al. (2008) explained that personality traits affect what individuals see and how they interpret meaning in their surroundings, which can lead to differences in psychological outcomes.
In this study, we suggest CU traits may have a considerable moderating effect on the link between nature exposure and meaning in life among prisoners. CU traits refer to a stable personality tendency that cannot be easily changed, with core traits such as indifference to others, a lack of guilt, and low empathy (Frick, 2004). CU traits may be a unique and prominent personality pattern among criminal populations (Guo et al., 2017; Duindam et al., 2021) and are significantly associated with juveniles’ antisocial behavior, crime, and recidivism (Frick and White, 2008; Kimonis et al., 2016; Robertson et al., 2020; Sakki et al., 2023). For adults, CU traits are an affective component of psychopathy (Sakki et al., 2023); some studies also confirmed that individuals with high-level CU traits tend to have more antisocial and criminal behavior (Kahn et al., 2013; Keune et al., 2017; Falcón et al., 2021; Golmaryami et al., 2021; Lee and Choi, 2021). One previous study pointed out that, compared to prisoners with a greater sense of meaning in life, those with a lower sense of meaning in life displayed more negative world assumptions and less empathy for others (Vanhooren et al., 2016), which are typical characteristics of prisoners with higher CU traits. This indicates that CU traits are negatively relevant to meaning in life, and prisoners with higher CU traits may perceive less meaning in life.
Empirical research has suggested that people with high levels of neuroticism generally also have a higher degree of CU traits (Assary et al., 2014).These individuals often feel uneasy in natural settings because such environments may evoke profound reflections and musings (Tomasi et al., 2020). For prisoners with high CU traits, being exposed to a purely natural environment may provide a rare sense of awe, prompting them to reflect on past criminal behavior and the direction of their future life. Although this process is painful, it can help prisoners rediscover a sense of meaning in life. Thus, considering the interaction between personal traits and the environment (Tomasi et al., 2020), compared to those with lower CU traits, prisoners with higher CU traits may benefit more from nature exposure and experience greater improvement in their sense of meaning in life. Thus, the following hypothesis is proposed:
Hypothesis 3 (H3): The relationship between prisoners’ nature exposure and meaning in life is moderated by CU traits, and is stronger when prisoners’ CU traits are higher rather than lower.
1.4 The present study
We created a moderated mediation model based on the aforementioned speculations to discover the connections of nature exposure, depression, meaning in life, and CU traits among prisoners. Specifically, we investigated the mediating role of meaning in life in the association between nature exposure and depression, and the moderating role of CU traits in the link between nature exposure and meaning in life. The hypothesized model is presented in Figure 1.
Figure 1

Moderated mediation model.
2 Methods
2.1 Participants
A survey was conducted in four prisons in southern China for data collection from April 2022 to May 2022. A total of 632 copies of the questionnaire were distributed to inmates, and the final sample consisted of 574 participants (women: 38.7%, men: 61.3%), corresponding to a 90.82% valid response rate. The questionnaires were completed anonymously. This study was approved by the Ethics Committee of the School of Sociology, China University of Political Science and Law. Table 1 shows participants’ demographic information.
Table 1
| Characteristic | Frequency | Percent (%) |
|---|---|---|
| Gender | ||
| Man | 352 | 61.32 |
| Women | 222 | 38.68 |
| Age | ||
| 16–25 | 54 | 9.41 |
| 26–40 | 321 | 55.92 |
| 41–55 | 153 | 26.66 |
| >55 | 46 | 8.01 |
| Marital status | ||
| Married | 191 | 33.28 |
| Single | 262 | 45.64 |
| Other* | 121 | 21.08 |
| Length of education | ||
| 0–6 | 103 | 17.94 |
| 7–9 | 305 | 53.14 |
| 10–12 | 70 | 12.20 |
| >12 | 96 | 16.72 |
| Have children | ||
| Yes | 313 | 54.53 |
| No | 261 | 45.47 |
Demographic information of participants (N = 574).
*Widowed, separated, or divorced.
2.2 Measures
2.2.1 Nature exposure
The Nature Exposure Scale (NES) constructed by Kamitsis and Francis (2013) was used to assess participants’ exposure to nature. The scale consists of four questions answered using a Likert scale ranging from 1 (not at all) to 5 (very). A higher total score indicates more significant levels of nature exposure (sample item: “How much do you notice the natural environments in your everyday life?”). In the present study, Cronbach’s α for the NES was 0.75, which was similar to a previous study (Kamitsis and Francis, 2013).
2.2.2 Meaning in life
The study adopted the Meaning in Life Questionnaire originally constructed by Steger et al. (2006) and validated for a Chinese population by Gan (2010). This 10-item scale evaluates participants’ perceptions of the meaning of their lives (sample item: “My life has a clear sense of purpose”), with five questions each for the existence and pursuit of meaning. Responses are provided using a seven-point scale, and higher total scores reflect greater levels of meaning in life. In this study, Cronbach’s α for this scale was 0.86.
2.2.3 Callous-unemotional traits
CU traits were evaluated using the Inventory of Callous-Unemotional Traits (ICU) developed by Essau et al. (2006). Specifically, this study used a revised Chinese version that has previously shown good reliability and validity (Yang and Huang, 2013). The ICU contains 24 questions (sample item: “I do not feel remorseful when I do something wrong”) with three subscales: uncaring, callous, and unemotional. Responses are provided using a four-point Likert scale ranging between 0 (not at all true) to 3 (absolutely true). Higher scores indicate higher levels of CU traits. In this study, Cronbach’s α was 0.80 for the overall scale and ranged from 0.76 to 0.81 for subscales. The corrected item-total correlation coefficients ranged from 0.25 to 0.58, with an average corrected item-total correlation of 0.40, and this result is generally consistent with previous studies (Cardinale and Marsh, 2020).
2.2.4 Depression
In this study, depression was measured with a Chinese version of the Depression Anxiety Stress Scales-21 (DASS-21) subscale (Lovibond and Lovibond, 1995). This depression subscale has seven items (sample item: “I felt that I had nothing to look forward to”), which are rated four-point scale ranging from 0 (never) to 3 (frequently). Higher score reflect a higher tendency toward depression. In this study, Cronbach’s α for this subscale was 0.83.
2.2.5 Control variables
Previous studies indicated that prisoners’ demographic characteristics could have an impact on their depression levels (Yang et al., 1995; Karel, 1997; Silverstein et al., 2017; Shen, 2020). Thus, participants’ gender, age, marital status, education level, and whether they had children were controlled for in this study. Gender was dummy coded as 1 for “men,” 2 for “women” and 3 for “other.” Regarding age, participants were categorized into four groups: 16–25, 26–40, 41–55, and over 55. Marital status was categorized as 1 for “single,” 2 for “married,” and 3 for “other.” Education level was determined by number of years of schooling completed, classified into four categories: 0–6, 7–9, 10–12, and over 12. Whether participants had children was dummy coded as 1 for “yes” and 0 for “no.”
2.3 Statistical analysis
For statistical analysis, SPSS 25.0 (IBM, Armonk, NY) was used for the common method deviation test, descriptive statistics, and Pearson correlation analyses. The hypotheses were tested using Hayes’s PROCESS macro (Hayes, 2013). Meaning in life was employed as a mediator between nature exposure and depression by using Model 4 of the PROCESS macro. The moderated mediating effect was analyzed using Model 7 of the PROCESS macro. With 95% confidence intervals, the mediation and moderated mediation effects were tested using a total of 5,000 bootstrap samples. Before the analyses, all quantitative variables were standardized.
3 Results
3.1 Common method variance test
As the present research data were collected based on self-reported measures, it may lead to common method bias. In order to mitigate the impact of biases on the study’s findings, this research employed anonymous inquiry and utilized reverse scoring for some items in the program control. To examine the influence of common method bias, the Harman single-factor test was conducted by exploratory factor analysis, with 45 items combined together. The results show there were nine factors with eigenvalues greater than 1; the first factor could be accountable for 16.74% of the variance, less than 40% (Podsakoff et al., 2003), indicating that there was no significant common method bias in this study.
3.2 Descriptive statistics and correlations
Table 2 shows the descriptive statistic results among the study variables. Table 3 shows the correlations between nature exposure, meaning in life, depression and CU traits. As hypothesized, nature exposure was positively connected to meaning in life (r = 0.33, p < 0.01) and was inversely correlated with depression (r = −0.30, p < 0.01). Meaning in life was negatively correlated with depression (r = −0.27, p < 0.01) and CU traits (r = −0.20, p < 0.01). CU traits was negatively correlated with nature exposure (r = −0.34, p < 0.01) and was positively with depression (r = 0.23, p < 0.01).
Table 2
| M | SD | Range | Number of items | Reliability | Range of corrected item total correlation | Average corrected item total correlation | |
|---|---|---|---|---|---|---|---|
| 1. Nature exposure | 12.59 | 2.23 | 5 ~ 19 | 4 | 0.75 | 0.43 ~ 0.65 | 0.55 |
| 2. Meaning in life | 47.99 | 10.70 | 10 ~ 70 | 10 | 0.86 | 0.51 ~ 0.69 | 0.62 |
| 3. CU traits | 24.61 | 7.82 | 3 ~ 58 | 24 | 0.80 | 0.25 ~ 0.58 | 0.40 |
| 4. Depression | 5.76 | 4.20 | 0 ~ 17 | 7 | 0.83 | 0.45 ~ 0.70 | 0.57 |
Descriptive statistics among variables (N = 574).
Table 3
| 1 | 2 | 3 | 4 | |
|---|---|---|---|---|
| 1. Nature exposure | (0.47) | |||
| 2. Meaning in life | 0.33 ** | (0.38) | ||
| 3. CU traits | −0.34 ** | −0.20 ** | (0.37) | |
| 4. Depression | −0.30 ** | −0.27 ** | 0.23 ** | (0.37) |
Correlations among variables (N = 574).
**p < 0.01. Index in () is the multiple correlation between variables.
3.3 Mediation analyses
The mediating role of meaning in life in the relationship between nature exposure and depression was examined using Model 4 of the PROCESS macro (Hayes, 2013) after controlling for gender, age, marital status, education level, and having children. As Table 4 shows, nature exposure positively predicted meaning in life (β = 0.31, SE = 0.04, p < 0.001) and negatively predicted depression (β = −0.21, SE = 0.04, p < 0.001). Meaning in life negatively predicted depression (β = −0.19, SE = 0.04, p < 0.001). These analyses demonstrate that meaning in life partially mediates the relationship between exposure to nature and depressive symptoms (indirect effect = −0.05, 95%CI [−0.093, −0.029]). Generally, this model accounted for 22.03% of the total effect, which supported Hypothesis 1 and Hypothesis 2.
Table 4
| Outcome | Predictors | β | SE | p | LLCI | ULCI |
|---|---|---|---|---|---|---|
| Meaning in life | Nature exposure | 0.31 | 0.04 | <0.001 | 0.227 | 0.393 |
| R 2 = 0.11, F = 12.03, p < 0.001 | ||||||
| Depression | Nature exposure | −0.21 | 0.04 | <0.001 | −0.294 | −0.122 |
| Meaning in life | −0.19 | 0.04 | <0.001 | −0.272 | −0.108 | |
| R 2 = 0.14, F = 13.03, p < 0.001 | ||||||
The mediation effect of meaning in life (N = 574).
LLCI, lower limit of 95% confidence interval; ULCI, upper limit of 95% confidence interval.
3.4 Moderated mediation analyses
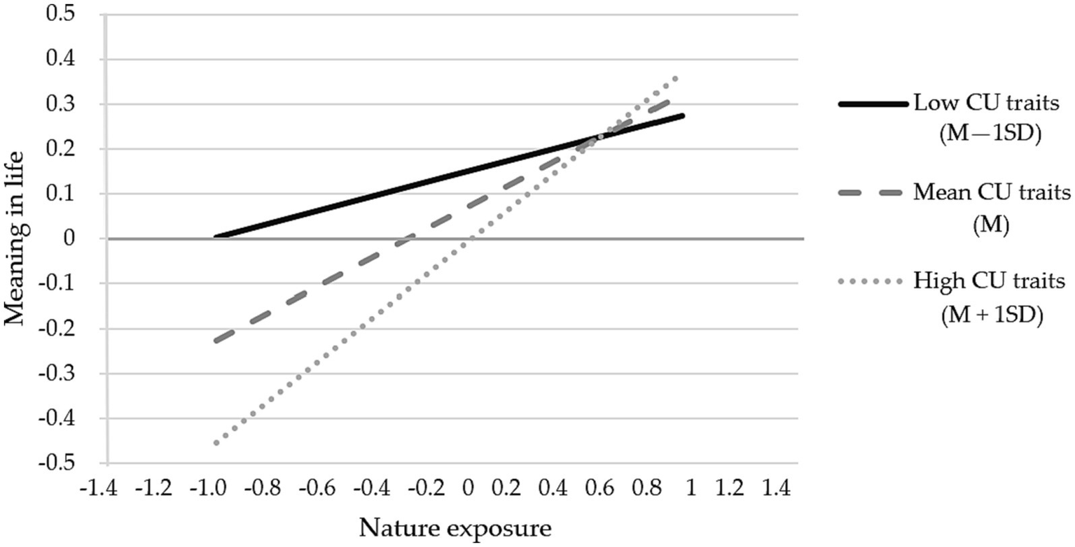
Model 7 of the PROCESS macro was used to test whether CU traits moderate the mediating effect of meaning in life in the relationship between nature exposure and depression. The demographic variables noted above were controlled for in all analyses. As Table 5 shows, nature exposure positively predicted meaning in life (β = 0.27, SE = 0.04, p < 0.001), and this association was moderated by CU traits (β = 0.14, SE = 0.04, p < 0.001). As the simple slope test in Figure 2 indicates, nature exposure had a stronger positive impact on meaning in life (βsimple = 0.41, SE = 0.06, p < 0.001) for prisoners with higher CU traits (1 SD above the mean) than for prisoners with lower CU traits (βsimple = 0.14, SE = 0.06, p = 0.025).
Table 5
| Outcome | Predictors | β | SE | p | LLCI | ULCI |
|---|---|---|---|---|---|---|
| Meaning in life | Nature exposure | 0.27 | 0.04 | <0.001 | 0.189 | 0.358 |
| CU traits | −0.09 | 0.04 | 0.032 | −0.177 | −0.008 | |
| Nature exposure × CU traits | 0.14 | 0.04 | <0.001 | 0.061 | 0.221 | |
| R 2 = 0.14, F = 11.48, p < 0.001 | ||||||
| Depression | Nature exposure | −0.21 | 0.04 | <0.001 | −0.294 | −0.122 |
| Meaning in life | −0.19 | 0.04 | <0.001 | −0.272 | −0.108 | |
| R 2 = 0.14, F = 13.03, p < 0.001 | ||||||
The moderated mediation effect of cu traits (N = 574).
LLCI, lower limit of 95% confidence interval; ULCI, upper limit of 95% confidence interval.
Figure 2

Moderating effect of CU traits on the correlation between nature exposure and meaning in life (N = 574).
According to our results (see Table 6), the indirect effect of nature exposure on depression via meaning in life was substantially stronger for inmates with higher CU traits (β = −0.08, SE = 0.02, 95% CI [−0.123, −0.040]) than for those with lower CU traits (β = −0.03, SE = 0.01, 95% CI [−0.055, −0.003]). In addition, the bias-corrected 95% confidence interval for the moderated mediation index did not contain zero (Table 7), further demonstrating that CU traits moderated the indirect effects of nature exposure on depression via meaning in life, confirming Hypothesis 3.
Table 6
| CU traits | Indirect effect | Boot SE | Boot LLCI | Boot ULCI |
|---|---|---|---|---|
| Low (Mean − 1 SD) | −0.03 | 0.01 | −0.055 | −0.003 |
| Mean | −0.05 | 0.02 | −0.083 | −0.025 |
| High (Mean + 1 SD) | −0.08 | 0.02 | −0.123 | −0.040 |
Conditional indirect effect of nature exposure on depression through meaning in life at different levels of CU traits (N = 574).
LLCI, lower limit of 95% confidence interval; ULCI, upper limit of 95% confidence interval. Number of bootstrap samples: 5000.
Table 7
| Index | Boot SE | Boot LLCI | Boot ULCI | |
|---|---|---|---|---|
| CU traits | −0.03 | 0.01 | −0.049 | −0.010 |
Index of moderated mediation (N = 574).
Number of bootstrap samples: 5000.
4 Discussion
Although substantial empirical evidence supports the benefits of nature exposure for mental health, further research is needed. Based on stress reduction theory, this study proposes a novel model to explain how nature exposure can reduce depression in prisoners, by examining the previously unexplored mediating effect of meaning in life and moderating role of CU traits. The results indicate that nature exposure reduces depression among prisoners by improving their sense of meaning in life. Moreover, the correlation between nature exposure and meaning in life is moderated by CU traits. Specifically, prisoners with higher CU traits benefit more from nature exposure, with greater improvements to their sense of meaning in life. These findings identify a novel pathway for reducing prisoners’ depressive symptoms, especially those with high CU traits.
4.1 Nature exposure and depression among prisoners
First, in line with prior research, we found a negative relationship between nature exposure and depression (McEachan et al., 2016; Silva et al., 2018; Helbich et al., 2019; Norwood et al., 2019; Tomasi et al., 2020; Zhang et al., 2020; Roberts and Helbich, 2021). While some previous studies have found that the relationship between nature exposure and depression is not always negatively correlated, and certain elements within the natural environment may even have a negative impact on mental health. For instance, Zhang et al. (2019) found a positive correlation between long-term exposure to outdoor PM10 air pollution and depression, and Fowler et al. (2013) found no correlation between experiencing natural disasters and depression. However, our study does confirm the protective effect of natural exposure against depression in the prison context. The results support a prior study conducted among prisoners that found a link between viewing nature through prison windows and reduced depression risk. Stress reduction theory suggests that exposure to a natural environment, such as vegetation, can quickly stimulate positive thoughts that eliminate negative emotions, thereby reducing the body’s stress response and lowering the likelihood of depression (Markevych et al., 2017). On a physiological level, natural environments can elicit positive emotional responses such as pleasure and calmness, which help to reduce physiological stress indicators (Hartig et al., 2014) and then reduce depressive levels. Reddon and Durante (2018) pointed out that individuals’ nature exposure is a continuum from nature exposure sufficiency to insufficiency. Compared with nature exposure insufficiency, nature exposure sufficiency can help people reinvigorated from health problems, including arthritis, dementia, and depression. Moreover, the feeling of “being away” in natural settings, as a core positive outcome of nature exposure, has been further substantiated in recent literature, highlighting its significance in providing a mental break from stressors, which is especially beneficial for individuals in confined environments (Bratman et al., 2012). For prisoners, incarceration isolates them from the outside world, which leads to depression, anxiety, and many other mental health problems. Psychological therapy and physical activity are recommended to alleviate these problems; however, they require more material and professional resources. Comparatively, nature exposure may be a more practical and affordable option. Since 2008, England’s prison system has offered horticultural and environmental activities for prisoners through the “Greener on the Outside of Prisons” therapeutic program. According to a qualitative study, from 2008 to 2015, this program helped improve the mental health of over 4,500 prisoners in northwest England (Farrier et al., 2019). In sum, it is clear that nature exposure protects prisoners from depression, confirming Hypothesis 1.
4.2 Mediating role of meaning in life
This study revealed that meaning in life mediated the association between nature exposure and depression in inmates, confirmed Hypothesis 2. On the one hand, nature exposure was positively linked to meaning in life. Various reasons may lead to this phenomenon. First, natural environments provide a space of peace and restoration where inmates can engage in emotional regulation (Naor and Mayseless, 2021) and evoke feelings of happiness, satisfaction, and well-being; these are important factors that influence inmates’ sense of meaning in life. Second, nature exposure can make individuals feel connected with nature (Richardson et al., 2016), prompting them to engage in deep thinking, including reflection on personal behavior and goals (Kaplan, 1995; Herzog et al., 1997). Thus, following nature exposure, reflecting on past antisocial behaviors can help prisoners reject criminal thinking and restore the value of individual existence. Furthermore, another possible reason that nature exposure increases the sense of meaning in life is that the esthetic experience of the natural environment is an activity meaningful in itself. It can provide a sense of intrinsic satisfaction, which is a significant component of the sense of meaning in life (Howell et al., 2012).
On the other hand, meaning in life was found to be negatively related to depression, as prisoners with a greater sense of meaning in life reported fewer depressive symptoms. Numerous research has shown that meaninglessness is related to psychological illnesses, including depression (Hedayati and Mahmoud, 2014; Dewitte et al., 2019; Sun et al., 2022). Theorists and researchers concur unequivocally that a meaningful existence is essential for humans (Ryff and Singer, 1998; Deci and Ryan, 2000), and meaning in life might be an important protective factor against depression (Steger et al., 2009). For prisoners, searching for meaning in life can help them overcome the frustrations of imprisonment and create plans for a new life in the future, which can relieve their depressive symptoms. Thus, nature exposure has an indirect effect on depression via meaning in life, and this study further revealed an essential mediator of the relationship between nature exposure and depression.
4.3 Moderating effect of CU traits
This study found that CU traits moderate the connection between nature exposure and meaning in life. Specifically, nature exposure showed a greater impact on improving meaning in life in prisoners with high CU traits than those with low CU traits. Previous studies confirmed that people with higher CU traits generally had a poor childhood environment and grew up with harsh family education styles (McDonald et al., 2011; Waller et al., 2018), which may lead to a diminished perception of meaning in life (Baumrind, 1978; Maschi et al., 2011). Thus, if therapeutic intervention can improve individuals’ meaning in life, the outcome will be naturally more significant in people exhibiting higher rather than lower CU traits. Some research has also indicated that CU traits may impact treatment responses. Specifically, people with higher CU traits have shown greater treatment benefits in reducing their negative beliefs and behaviors (Farmer et al., 2015; Mattos et al., 2017; Bansal et al., 2019). These results are congruent with the ecological systems theory proposed by Bronfenbrenne, which posits that the natural environment and personality traits can interact to influence individual development. For prisoners with higher CU traits, the natural environment can elicit a sense of awe that is hard to appear in their lives and prompts them to reflect on their past criminal behavior, providing good opportunity to reflect deeply and restore a sense of meaning in life. Another possible explanation is that prisoners with higher CU traits, due to their limitations in emotion and empathy, may have poorer interpersonal relationships in their daily lives, experiencing more social isolation (Fanti et al., 2013). Therefore, the tranquility of the natural environment and the escape from the oppressive prison setting may provide these individuals with a unique opportunity for respite and relaxation that is unattainable in their everyday lives (Kaplan, 1995). This contrast could make the experience of nature contact more novel and restorative for individuals with higher CU traits, leading to a more significant enhancement of their meaning in life. Therefore, compared to those with lower CU traits, prisoners with higher CU traits benefit more from nature exposure and experience grater improvement to their sense of meaning in life, which supports Hypothesis 3. Thus, this study provides a new direction of life’s significance and mental health interventions for prisoners, especially those with higher CU traits.
4.4 Practical contributions
This study’s findings can provide significant insights for prison management. First, we discovered that the mental health benefits of nature exposure could expand to the criminal population. This suggests that prisons should organize more outdoor activities in green spaces or encourage prisoners to pay more attention to the natural scenery to protect them from outcomes such as self-harm and suicide caused by depression. For example, correctional officers could guide inmates to perform activities such as meditation and physical exercise in forests or grassy areas, providing them more opportunities to connect with nature. Alternatively, the integration of biophilic design within prison architecture, infusing natural elements into the built environment, can also enhance the inmates’ daily exposure to nature (Kellert et al., 2011). Second, the mediation effect found in this study emphasizes the important protective function of meaning in life against depression. Thus, in the context of prison education and rehabilitation, adding a curriculum to improve prisoners’ sense of meaning in life is an effective strategy to reduce depression. Furthermore, psychological therapeutic techniques related to existentialism may be particularly beneficial as they can help individuals find meaning and purpose in life (Vos et al., 2015). Third, the relationship between nature exposure and meaning in life is moderated by CU traits. Therefore, we recommend that mental health intervention plans be formulated according to personality traits. Specifically, for individuals with higher CU traits, prison administrators should provide them with more opportunities to observe green scenery and be close to nature, guiding them to pay more attention to the natural environments and learn to engage in deep thought. For individuals with lower CU traits, prison administrators can still adopt traditional methods to improve their sense of meaning in life and decrease depressive symptoms. Finally, the natural scenery should not be too “hard” (e.g., watching auto racing in a green environment), as “soft” scenery, such as plants, sunrises, clouds, and snowflakes, have better effects (Herzog et al., 1997). Only focusing on these “soft” sceneries requires little effort and can provide sufficient room for reflection.
4.5 Limitations
Although this study deepens the current understanding of the link between nature exposure and depression among Chinese prisoners, it still has several limitations. First, we utilized a cross-sectional method for data collection; thus, causality cannot be determined. Future studies can use experimental methods to validate a causal link, and a longitudinal design can be used to examine whether the results change over time. Second, in the future, more comprehensive and targeted measurements about nature exposure should be made for groups such as inmates living in restricted environments. This study, only investigates the general degree of nature exposure among inmates. New tools should also consider the quality of nature exposure experiences, the duration and frequency of nature exposure, and individual preferences for specific natural settings. These more detailed measurements can give us a better understanding of the natural contact of inmates. Third, by employing a variety of research methodologies, it is possible to assess whether different forms of natural exposure elicit distinct impacts on depression. We examined exclusively the correlation between previous levels of nature exposure and depression in this study. Further research could investigate whether there is a distinction in the effect size produced by direct outdoor nature exposure, exposure to indoor green plants, and viewing nature images or videos. Additionally, it would be beneficial to identify more economical methods of nature exposure. Fourth, this study used self-report questionnaires, and some inmates may disguise their true beliefs due to certain concerns. In follow-up studies, different data sources, such as physiological indicators or other people’s evaluations (e.g., correctional officers, peers) should be collected to verify the reliability of the results. Fifth, future research should consider a broader range of variables. We recognize that this study did not delve into the more profound roles that demographic factors, such as gender, having children, and education, may play in relation to nature exposure, meaning in life, depression, and callous-unemotional traits. While these were controlled for, their potential moderators were not explored. Future research could investigate these relationships more thoroughly. Sixth, all study participants were from southern China; however, the climate, natural environment, and prison management vary across regions and have different effects on prisoners’ depression. Thus, future studies should collect data across a wider range of areas in China.
5 Conclusion
Overall, the current study demonstrated that nature exposure negatively correlates prisoners’ depression, and meaning in life mediated the relationship between nature exposure and depression. Furthermore, the positive association between nature exposure and meaning in life was moderated by CU traits. These results imply that prisoners who contact more with the natural environment have a higher meaning in life and lower depression, and individuals with higher CU traits can benefit more from nature exposure.
Statements
Data availability statement
The raw data supporting the conclusions of this article will be made available by the authors, without undue reservation.
Ethics statement
The studies involving humans were approved by The Ethics Committee of the School of Sociology, China University of Political Science and Law. The studies were conducted in accordance with the local legislation and institutional requirements. The participants provided their written informed consent to participate in this study.
Author contributions
YZ, JX, and QZ conceived the idea. JY and KQ designed the questionnaires and collected the data. QZ was responsible for data curation. YZ and JX wrote the first version of the manuscript. XL and JX evaluated and revised the text. XL, JX, and AM supervised the project and secured funding. All authors contributed to the article and approved the submitted version.
Funding
This study was funded by “the Fundamental Research Funds for the Central Universities” to AM (no. ZFYZ88001); the Humanities and Social Sciences Fund of the Chinese Ministry of Education to AM (no. 21YJAZH058); the Beijing Social Science Fund to AM (no. 21JYB010); the major project of the Chinese Ministry of Education, National Education Sciences Planning Fund to XL (no. DEA220353); the Joint Funds of the National Natural Science Foundation of China to AM (no. U2336213); the Ministry of Education 2022 annual “Chunhui Plan” cooperative scientific research project (no. HZKY20220051) to XL.
Acknowledgments
The authors sincerely appreciate all the help from participants who completed the questionnaires as well as the prison police officers who provided support in carrying out our research.
Conflict of interest
The authors declare that the research was conducted in the absence of any commercial or financial relationships that could be construed as a potential conflict of interest.
Publisher’s note
All claims expressed in this article are solely those of the authors and do not necessarily represent those of their affiliated organizations, or those of the publisher, the editors and the reviewers. Any product that may be evaluated in this article, or claim that may be made by its manufacturer, is not guaranteed or endorsed by the publisher.
References
1
Abdu Z. Kabeta T. Dube L. Tessema W. Abera M. (2018). Prevalence and associated factors of depression among prisoners in Jimma town prison, South West Ethiopia. Psychiatry J.2018:5762608. doi: 10.1155/2018/5762608
2
Addad M. (1987). Neuroticism, extraversion and meaning of life: a comparative study of criminals and non-criminals. Personal. Individ. Differ.8, 879–883. doi: 10.1016/0191-8869(87)90139-5
3
Ambrey C. L. Cartlidge N. (2017). Do the psychological benefits of greenspace depend on one’s personality?Personal. Individ. Differ.116, 233–239. doi: 10.1016/j.paid.2017.05.001
4
Aruta J. J. B. R. (2021). The quest to mental well-being: nature connectedness, materialism and the mediating role of meaning in life in the Philippine context. Curr. Psychol.42, 1058–1069. doi: 10.1007/s12144-021-01523-y
5
Assary E. Salekin R. T. Barker E. D. (2014). Big-five and callous-unemotional traits in preschoolers. J. Psychopathol. Behav. Assess.37, 371–379. doi: 10.1007/s10862-014-9471-9
6
Balanzá-Martínez V. Cervera-Martínez J. (2022). Lifestyle prescription for depression with a focus on nature exposure and screen time: a narrative review. Int. J. Environ. Res. Public Health19:5094. doi: 10.3390/ijerph19095094
7
Bansal P. S. Waschbusch D. A. Haas S. M. Babinski D. E. King S. Andrade B. F. et al . (2019). Effects of intensive behavioral treatment for children with varying levels of conduct problems and callous-unemotional traits. Behav. Ther.50, 1–14. doi: 10.1016/j.beth.2018.03.003
8
Baumrind D. (1978). Parental disciplinary patterns and social competence in children. Youth Soc.9, 239–267. doi: 10.1177/0044118x7800900302
9
Beute F. de Kort Y. A. W. (2018). The natural context of wellbeing: ecological momentary assessment of the influence of nature and daylight on affect and stress for individuals with depression levels varying from none to clinical. Health Place49, 7–18. doi: 10.1016/j.healthplace.2017.11.005
10
Bezold C. P. Banay R. F. Coull B. A. Hart J. E. James P. Kubzansky L. et al . (2018). The relationship between surrounding greenness in childhood and adolescence and depressive symptoms in adolescence and early adulthood. Ann. Epidemiol.28, 213–219. doi: 10.1016/j.annepidem.2018.01.009
11
Bratman G. N. Anderson C. B. Berman M. G. Cochran B. de Vries S. Flanders J. et al . (2019). Nature and mental health: an ecosystem service perspective. Sci. Adv.5, 1–14. doi: 10.1126/sciadv.aax0903
12
Bratman G. N. Hamilton J. P. Daily G. C. (2012). The impacts of nature experience on human cognitive function and mental health. Ann. N. Y. Acad. Sci.1249, 118–136. doi: 10.1111/j.1749-6632.2011.06400.x
13
Bronfenbrenner U. (1992). Ecological systems theory. London: Jessica Kingsley Publishers.
14
Butcher E. Packham C. Williams M. Miksza J. Kaul A. Khunti K. et al . (2021). Screening male prisoners for depression and anxiety with the PHQ-9 and GAD-7 at NHS Healthcheck: patterns of symptoms and caseness threshold. BMC Psychiatry21:446. doi: 10.1186/s12888-021-03453-2
15
Cardinale E. M. Marsh A. A. (2020). The reliability and validity of the inventory of callous unemotional traits: a meta-analytic review. Assessment27, 57–71. doi: 10.1177/1073191117747392
16
Casseb G. S. Kaster M. Rodrigues A. (2019). Potential role of vitamin D for the management of depression and anxiety. CNS Drugs33, 619–637. doi: 10.1007/s40263-019-00640-4
17
Cervinka R. Röderer K. Hefler E. (2012). Are nature lovers happy? On various indicators of well-being and connectedness with nature. J. Health Psychol.17, 379–388. doi: 10.1177/1359105311416873
18
Chang Z. Larsson H. Lichtenstein P. Fazel S. (2015). Psychiatric disorders and violent reoffending: a national cohort study of convicted prisoners in Sweden. Lancet Psychiatry2, 891–900. doi: 10.1016/s2215-0366(15)00234-5
19
Dattani S. Ritchie H. Roser M . Mental health. (2018). Available at:https://ourworldindata.org/mental-health [Accessed February 27,2023].
20
De Leo M. Pagano A. De Matteis A. De Chiara A. Di Perna V. Del Duca F. et al . (2022). Vitamin D status of inmates: the experience of penitentiaries prisons in the province of Salerno in southern Italy. Clin. Ther.173, 551–556. doi: 10.7417/CT.2022.2481
21
Deci E. L. Ryan R. M. (2000). The “what” and “why” of goal pursuits: human needs and the self-determination of behavior. Psychol. Inq.11, 227–268. doi: 10.1207/S15327965PLI1104_01
22
Dewitte L. Vandenbulcke M. Dezutter J. (2019). Meaning in life matters for older adults with Alzheimer’s disease in residential care: associations with life satisfaction and depressive symptoms. Int. Psychogeriatr.31, 607–615. doi: 10.1017/s1041610218002338
23
Duindam H. M. Williams D. P. Asscher J. J. Hoeve M. Thayer J. F. Creemers H. E. (2021). Heart-wired to be cold? Exploring cardiac markers of callous-unemotional traits in incarcerated offenders. Int. J. Psychophysiol.170, 168–177. doi: 10.1016/j.ijpsycho.2021.10.006
24
Essau C. A. Sasagawa S. Frick P. J. (2006). Callous-unemotional traits in a community sample of adolescents. Assessment13, 454–469. doi: 10.1177/1073191106287354
25
Falcón A. K. Dobbins A. E. Stickle T. R. (2021). Gendered associations among callous-unemotional traits, emotion regulation, and antisocial behavior. Personal. Individ. Differ.179:110944. doi: 10.1016/j.paid.2021.110944
26
Fanti K. A. Demetriou C. A. Kimonis E. R. (2013). Variants of callous-unemotional conduct problems in a community sample of adolescents. J. Youth Adolesc.42, 964–979. doi: 10.1007/s10964-013-9958-9
27
Farmer C. A. Brown N. V. Gadow K. D. Arnold L. E. Kolko D. G. Findling R. L. et al . (2015). Comorbid symptomatology moderates response to risperidone, stimulant, and parent training in children with severe aggression, disruptive behavior disorder, and attention-deficit/hyperactivity disorder. J. Child Adolesc. Psychopharmacol.25, 213–224. doi: 10.1089/cap.2014.0109
28
Farrier A. Baybutt M. Dooris M. (2019). Mental health and wellbeing benefits from a prisons horticultural programme. Int. J. Prison. Health15, 91–104. doi: 10.1108/ijph-11-2017-0055
29
Fazel S. Hayes A. J. Bartellas K. Clerici M. Trestman R. (2016). Mental health of prisoners: prevalence, adverse outcomes, and interventions. Lancet Psychiatry3, 871–881. doi: 10.1016/s2215-0366(16)30142-0
30
Feng X. Astell-Burt T. Standl M. Flexeder C. Heinrich J. Markevych I. (2022). Green space quality and adolescent mental health: do personality traits matter?Environ. Res.206:112591. doi: 10.1016/j.envres.2021.112591
31
Fowler J. C. Allen J. G. Oldham J. M. Frueh B. C. (2013). Exposure to interpersonal trauma, attachment insecurity, and depression severity. J. Affect. Disord.149, 313–318. doi: 10.1016/j.jad.2013.01.046
32
Frankl V. E. (1992). Man’s search for meaning: An introduction to Logotherapy. New York, NY: Washington Square Press.
33
Frick P. J. (2004). Developmental pathways to conduct disorder: implications for serving youth who show severe aggressive and antisocial behavior. Psychol. Sch.41, 823–834. doi: 10.1002/pits.20039
34
Frick P. J. White S. F. (2008). Research review: the importance of callous-unemotional traits for developmental models of aggressive and antisocial behavior. J. Child Psychol. Psychiatry49, 359–375. doi: 10.1111/j.1469-7610.2007.01862.x
35
Gan Y. (2010). Reliability and validity of the Chinese version of the meaning in life questionnaire. Chin. Ment. Health J.24, 478–482. doi: 10.3969/j.issn.1000-6729.2010.06.021
36
Geng F. Tu L. Zhan N. Zhang Y. Wang J. (2021). Associations of substance abuse histories and gambling addiction history with post-traumatic stress symptoms and depressive symptoms among Chinese prisoners. Eur. J. Psychotraumatol.12:1906022. doi: 10.1080/20008198.2021.1906022
37
Gidlow C. J. Jones M. V. Hurst G. Masterson D. Clark-Carter D. Tarvainen M. P. et al . (2016). Where to put your best foot forward: psycho-physiological responses to walking in natural and urban environments. J. Environ. Psychol.45, 22–29. doi: 10.1016/j.jenvp.2015.11.003
38
Golmaryami F. N. Vaughan E. P. Frick P. J. (2021). Callous-unemotional traits and romantic relationships. Personal. Individ. Differ.168:110408. doi: 10.1016/j.paid.2020.110408
39
Guo X. Yang B. Zhang Z. Zhang F. (2017). Mediating effect of callous-unemotional traits on the relationship between violent risk level and fear emotion recognition in violent offenders. Chin. J. Health Psychol.25, 1363–1368. doi: 10.13342/j.cnki.cjhp.2017.09.023
40
Han H. Hyun S. S. (2019). Green indoor and outdoor environment as nature-based solution and its role in increasing customer/employee mental health, well-being, and loyalty. Bus. Strateg. Environ.28, 629–641. doi: 10.1002/bse.2269
41
Hartig T. Mitchell R. de Vries S. Frumkin H. (2014). Nature and health. Annu. Rev. Public Health35, 207–228. doi: 10.1146/annurev-publhealth-032013-182443
42
Hayes A. (2013). Introduction to mediation, moderation, and conditional process analysis. J. Educ. Meas.51, 335–337. doi: 10.1111/jedm.12050
43
Hedayati M. M. Mahmoud M. M. (2014). An investigation of the relationship between depression, meaning in life and adult hope. Procedia Soc. Behav. Sci.114, 598–601. doi: 10.1016/j.sbspro.2013.12.753
44
Helbich M. Yao Y. Liu Y. Zhang J. Liu P. Wang R. (2019). Using deep learning to examine street view green and blue spaces and their associations with geriatric depression in Beijing. China. Environ. Int.126, 107–117. doi: 10.1016/j.envint.2019.02.013
45
Hernandez J. (2023). The missing vitamin in humans! The impact of vitamin D deficiency on mental health in adolescents: a cross-sectional study. J. Adv. Med. Med. Res.35, 103–107. doi: 10.9734/jammr/2023/v35i44964
46
Herzog T. R. Black A. M. Fountaine K. A. Knotts D. J. (1997). Reflection and attentional recovery as distinctive benefits of restorative environments. J. Environ. Psychol.17, 165–170. doi: 10.1006/jevp.1997.0051
47
Hooker T. McCool S. Fischer S. R. Tysor D. Lackey N. Q. (2022). Exploring changes in depression and meaning in life through river rafting for veterans with PTSD. J. Outdoor Recreat. Educ. Leadersh.14, 16–33. doi: 10.18666/jorel-2022-v14-i2-11110
48
Howell A. J. Passmore H. A. Buro K. (2012). Meaning in nature: meaning in life as a mediator of the relationship between nature connectedness and well-being. J. Happiness Stud.14, 1681–1696. doi: 10.1007/s10902-012-9403-x
49
Iversen V. C. Sam D. L. Helvik A. -S. (2014). Psychological distress and perceived health in inmates in Norwegian prisons. Scand. J. Public Health42, 171–176. doi: 10.1177/1403494813505728
50
Jakstis K. Fischer L. K. (2021). Urban nature and public health: how nature exposure and sociocultural background relate to depression risk. Int. J. Environ. Res. Public Health18:9689. doi: 10.3390/ijerph18189689
51
Jia B. Yang Z. Mao G. Lyu Y. Wen X. Xu W. et al . (2016). Health effect of forest bathing trip on elderly patients with chronic obstructive pulmonary disease. Biomed. Environ. Sci.29, 212–218. doi: 10.3967/bes2016.026
52
John O. Naumann L. Soto C. (2008). Paradigm shift to the integrative big-five trait taxonomy: History, measurement, and conceptual issues. New York, NY: Guilford Press.
53
Johnson J. E. Zlotnick C. (2012). Pilot study of treatment for major depression among women prisoners with substance use disorder. J. Psychiatr. Res.46, 1174–1183. doi: 10.1016/j.jpsychires.2012.05.007
54
Kahn R. E. Byrd A. L. Pardini D. A. (2013). Callous-unemotional traits robustly predict future criminal offending in young men. Law Hum. Behav.37, 87–97. doi: 10.1037/b0000003
55
Kamitsis I. Francis A. J. (2013). Spirituality mediates the relationship between engagement with nature and psychological wellbeing. J. Environ. Psychol.36, 136–143. doi: 10.1016/j.jenvp.2013.07.013
56
Kaplan S. (1995). The restorative benefits of nature: toward an integrative framework. J. Environ. Psychol.15, 169–182. doi: 10.1016/0272-4944(95)90001-2
57
Karel M. J. (1997). Aging and depression: vulnerability and stress across adulthood. Clin. Psychol. Rev.17, 847–879. doi: 10.1016/s0272-7358(97)00053-6
58
Kellert S. R. Heerwagen J. Mador M. (2011). Biophilic design: The theory, science and practice of bringing buildings to life. Hoboken, NJ: John Wiley & Sons.
59
Keune P. M. Mayer S. V. Jusyte A. Schönenberg M. (2017). Frontal alpha asymmetry and callous-unemotional traits in imprisoned violent offenders: a pilot study. Psychophysiology55:e12981. doi: 10.1111/psyp.12981
60
Kimonis E. R. Kennealy P. J. Goulter N. (2016). Does the self-report inventory of callous-unemotional traits predict recidivism?Psychol. Assess.28, 1616–1624. doi: 10.1037/pas0000292
61
Lee S. G. Choi H. (2021). Childhood maltreatment experiences and intimate partner violence behavior: mediator effects of rejection sensitivity and callous-unemotional trait. Kr. J. Clin. Psychol.40, 1–11. doi: 10.15842/kjcp.2021.40.1.001
62
Li D. Deal B. Zhou X. Slavenas M. Sullivan W. C. (2018). Moving beyond the neighborhood: Daily exposure to nature and adolescents’ mood. Landsc. Urban Plan.173, 33–43. doi: 10.1016/j.landurbplan.2018.01.009
63
Li H. Zhang X. You C. Chen X. Cao Y. Zhang G. (2021). Can viewing nature through windows improve isolated living? A pathway analysis on Chinese male prisoners during the COVID-19 epidemic. Front. Psychol.12:720722. doi: 10.3389/fpsyt.2021.720722
64
Lovibond P. F. Lovibond S. H. (1995). The structure of negative emotional states: comparison of the depression anxiety stress scales (DASS) with the Beck depression and anxiety inventories. Behav. Res. Ther.33, 335–343. doi: 10.1016/0005-7967(94)00075-u
65
Majekodunmi O. E. Obadeji A. Oluwole L. O. Oyelami O. (2017). Depression and associated physical co-morbidities in elderly prison inmates. Int. J. Ment. Health46, 269–283. doi: 10.1080/00207411.2017.1345040
66
Markevych I. Schoierer J. Hartig T. Chudnovsky A. Hystad P. Dzhambov A. M. et al . (2017). Exploring pathways linking greenspace to health: theoretical and methodological guidance. Environ. Res.158, 301–317. doi: 10.1016/j.envres.2017.06.028
67
Maschi T. Dennis K. S. Gibson S. Macmillan T. Sternberg S. Hom M. (2011). Trauma and stress among older adults in the criminal justice system: a review of the literature with implications for social work. J. Gerontol. Soc. Work.54, 390–424. doi: 10.1080/01634372.2011.552099
68
Mattos L. A. Schmidt A. T. Henderson C. E. Hogue A. (2017). Therapeutic alliance and treatment outcome in the outpatient treatment of urban adolescents: the role of callous-unemotional traits. Psychotherapy54, 136–147. doi: 10.1037/pst0000093
69
McDonald R. Dodson M. C. Rosenfield D. Jouriles E. N. (2011). Effects of a parenting intervention on features of psychopathy in children. J. Abnorm. Child Psychol.39, 1013–1023. doi: 10.1007/s10802-011-9512-8
70
McEachan R. R. C. Prady S. L. Smith G. Fairley L. Cabieses B. Gidlow C. et al . (2016). The association between green space and depressive symptoms in pregnant women: moderating roles of socioeconomic status and physical activity. J. Epidemiol. Community Health70, 253–259. doi: 10.1136/jech-2015-205954
71
Moran D. (2019). Back to nature? Attention restoration theory and the restorative effects of nature contact in prison. Health Place57, 35–43. doi: 10.1016/j.healthplace.2019.03.005
72
Moran D. Turner J. (2019). Turning over a new leaf: the health-enabling capacities of nature contact in prison. Soc. Sci. Med.231, 62–69. doi: 10.1016/j.socscimed.2018.05.032
73
Naor L. Mayseless O. (2021). Therapeutic factors in nature-based therapies: unraveling the therapeutic benefits of integrating nature in psychotherapy. Psychotherapy58, 576–590. doi: 10.1037/pst0000396
74
Nisbet E. K. Zelenski J. M. Murphy S. A. (2008). The nature relatedness scale: linking individuals' connection with nature to environmental concern and behavior. Environ. Behav.41, 715–740. doi: 10.1177/0013916508318748
75
Norwood M. F. Lakhani A. Fullagar S. Maujean A. Downes M. Byrne J. et al . (2019). A narrative and systematic review of the behavioural, cognitive and emotional effects of passive nature exposure on young people: evidence for prescribing change. Landsc. Urban Plan.189, 71–79. doi: 10.1016/j.landurbplan.2019.04.007
76
Parra M. R. (2020). Depression and the meaning of life in university students in times of pandemic. Int. J. Educ. Psychol.9, 223–242. doi: 10.17583/ijep.2020.6784
77
Podsakoff P. M. MacKenzie S. B. Lee J. Y. Podsakoff N. P. (2003). Common method biases in behavioral research: a critical review of the literature and recommended remedies. J. Appl. Psychol.88, 879–903. doi: 10.1037/0021-9010.88.5.879
78
Prins S. J. (2014). Prevalence of mental illnesses in U.S. state prisons: a systematic review. Psychiatr. Serv.65, 862–872. doi: 10.1176/appi.ps.201300166
79
Pürner F. Böhmer M. Wildner M. (2018). Epidemic vitamin D deficiency in prisoners compared to the german population: an analysis based on laboratory results. Gesundheitswesen81, 431–437. doi: 10.1055/a-0594-9280
80
Reddon J. R. Durante S. B. (2018). Nature exposure sufficiency and insufficiency: the benefits of environmental preservation. Med. Hypotheses110, 38–41. doi: 10.1016/j.mehy.2017.10.027
81
Reddon J. R. Durante S. B. (2019). Prisoner exposure to nature: benefits for wellbeing and citizenship. Med. Hypotheses123, 13–18. doi: 10.1016/j.mehy.2018.12.003
82
Richardson M. Cormack A. McRobert L. Underhill R. (2016). 30 days wild: development and evaluation of a large-scale nature engagement campaign to improve well-being. PLoS One11:e0149777. doi: 10.1371/journal.pone.0149777
83
Roberts H. Helbich M. (2021). Multiple environmental exposures along daily mobility paths and depressive symptoms: a smartphone-based tracking study. Environ. Int.156:106635. doi: 10.1016/j.envint.2021.106635
84
Roberts H. van Lissa C. Hagedoorn P. Kellar I. Helbich M. (2019). The effect of short-term exposure to the natural environment on depressive mood: a systematic review and meta-analysis. Environ. Res.177:108606. doi: 10.1016/j.envres.2019.108606
85
Robertson E. L. Frick P. J. Walker T. M. Kemp E. C. Ray J. V. Thornton L. C. et al . (2020). Callous-unemotional traits and risk of gun carrying and use during crime. Am. J. Psychiatry177, 827–833. doi: 10.1176/appi.ajp.2020.19080861
86
Ryff C. D. Singer B. (1998). The role of purpose in life and personal growth in positive human health. Hillsdale, NJ: Lawrence Erlbaum Associates Publishers.
87
Sakki H. St Clair M. Hwang S. Allen J. L. (2023). The association between callous-unemotional traits and substance use in childhood and adolescence: a systematic review and meta-analysis. J. Affect. Disord.338, 502–517. doi: 10.1016/j.jad.2023.06.051
88
Shen W. (2020). A tangled web: the reciprocal relationship between depression and educational outcomes in China. Soc. Sci. Res.85:102353. doi: 10.1016/j.ssresearch.2019.102353
89
Silva R. A. Rogers K. Buckley T. J. (2018). Advancing environmental epidemiology to assess the beneficial influence of the natural environment on human health and well-being. Environ. Sci. Technol.52, 9545–9555. doi: 10.1021/acs.est.8b01781
90
Silverstein B. Ajdacic-Gross V. Rossler W. Angst J. (2017). The gender difference in depressive prevalence is due to high prevalence of somatic depression among women who do not have depressed relatives. J. Affect. Disord.210, 269–272. doi: 10.1016/j.jad.2017.01.006
91
Smedema Malonda Y. Franco Modenes M. P. (2018). Resilience, anxiety and sense of life in university students. Caurience.13, 87–106. doi: 10.17398/2340-4256.13.87
92
Softas-Nall S. Woody W. D. (2017). The loss of human connection to nature: revitalizing selfhood and meaning in life through the ideas of Rollo may. Ecopsychol.9, 241–252. doi: 10.1089/eco.2017.0020
93
Song C. Ikei H. Lee J. Park B. J. Kagawa T. Miyazaki Y. (2013). Individual differences in the physiological effects of forest therapy based on type a and type B behavior patterns. J. Physiol. Anthropol.32, 1–7. doi: 10.1186/1880-6805-32-14
94
Steger M. F. Dik B. J. (2009). If one is looking for meaning in life, does it help to find meaning in work?Psychol Health Well-Being.1, 303–320. doi: 10.1111/j.1758-0854.2009.01018.x
95
Steger M. F. Fitch-Martin A. R. Donnelly J. Rickard K. M. (2014). Meaning in life and health: proactive health orientation links meaning in life to health variables among American undergraduates. J. Happiness Stud.16, 583–597. doi: 10.1007/s10902-014-9523-6
96
Steger M. F. Frazier P. Oishi S. Kaler M. (2006). The meaning in life questionnaire: assessing the presence of and search for meaning in life. J. Couns. Psychol.53, 80–93. doi: 10.1037/0022-0167.53.1.80
97
Steger M. F. Kashdan T. B. (2013). The unbearable lightness of meaning: well-being and unstable meaning in life. J. Posit. Psychol.8, 103–115. doi: 10.1080/17439760.2013.771208
98
Steger M. F. Oishi S. Kashdan T. B. (2009). Meaning in life across the life span: levels and correlates of meaning in life from emerging adulthood to older adulthood. J. Posit. Psychol.4, 43–52. doi: 10.1080/17439760802303127
99
Sun F. Wu M. Yao Y. Chiang C. Lu C. (2022). Meaning in life as a mediator of the associations among depression, hopelessness and suicidal ideation: a path analysis. J. Psychiatr. Ment. Health Nurs.29, 57–66. doi: 10.1111/jpm.12739
100
Takayama N. Tsutsui S. (2010). The influence of user’s personality to the therapeutic effects of on-site forest environment. J. Health Sci. Mind Body.6, 42–51. doi: 10.11427/jhas.6.2_42
101
Toews B. Wagenfeld A. Stevens J. (2018). Impact of a nature-based intervention on incarcerated women. Int. J. Prison. Health14, 232–243. doi: 10.1108/IJPH-12-2017-0065
102
Tomasi S. Di Nuovo S. Hidalgo M. C. (2020). Environment and mental health: empirical study on the relationship between contact with nature and symptoms of anxiety and depression (Ambiente y salud mental: Estudio empírico sobre la relación entre contacto con la naturaleza, síntomas de ansiedad y de depresión). Psyecology.11, 319–341. doi: 10.1080/21711976.2020.1778388
103
Van Ginneken E. F. J. C. (2014). The pains and gains of imprisonment: An exploration of prisoners’ psychological adjustment and the perceived impact of imprisonment. D. Thesis. Cambridge: University of Cambridge.
104
Vanhooren S. Leijssen M. Dezutter J. (2016). Profiles of meaning and search for meaning among prisoners. J. Posit. Psychol.11, 622–633. doi: 10.1080/17439760.2015.1137625
105
Vanhooren S. Leijssen M. Dezutter J. (2017). Ten prisoners on a search for meaning: a qualitative study of loss and growth during incarceration. Humanist. Psychol.45, 162–178. doi: 10.1037/hum0000055
106
Vella-Brodrick D. (2012). The human quest for meaning: theories, research, and applications. J. Psychol. Afr.24, 122–123. doi: 10.1080/14330237.2014.906179
107
Vos J. Craig M. Cooper M. (2015). Existential therapies: a meta-analysis of their effects on psychological outcomes. J. Consult. Clin. Psychol.83, 115–128. doi: 10.1037/a0037167
108
Wallace D. Wang X. (2020). Does in-prison physical and mental health impact recidivism?SSM-Popul. Health.11:100569. doi: 10.1016/j.ssmph.2020.100569
109
Waller R. Baskin-Sommers A. R. Hyde L. W. (2018). Examining predictors of callous unemotional traits trajectories across adolescence among high-risk males. J. Clin. Child Adolesc. Psychol.47, 444–457. doi: 10.1080/15374416.2015.1102070
110
World Health Organization (2017). Depression and other common mental disorders: Global health estimates (no. WHO/MSD/MER/2017.2). Geneva: World Health Organization.
111
Yang B. Huang X. (2013). Callous-unemotional traits is associated with violent crime in adolescents. J. Southwest Univ.39, 368–377. doi: 10.1037/lhb0000124
112
Yang B. Ollendick T. H. Dong Q. Xia Y. Lin L. (1995). Only children and children with siblings in the people’s republic of China: levels of fear, anxiety, and depression. Child Dev.66, 1301–1311. doi: 10.2307/1131648
113
Yoon I. A. Slade K. Fazel S. (2017). Outcomes of psychological therapies for prisoners with mental health problems: a systematic review and meta-analysis. J. Consult. Clin. Psychol.85, 783–802. doi: 10.1037/ccp0000214
114
Zhang Y. Mavoa S. Zhao J. Raphael D. Smith M. (2020). The association between green space and adolescents’ mental well-being: a systematic review. Int. J. Environ. Res. Public Health17:6640. doi: 10.3390/ijerph17186640
115
Zhang Z. Zhao D. Hong Y. S. Chang Y. Ryu S. Kang D. et al . (2019). Long-term particulate matter exposure and onset of depression in middle-aged men and women. Environ. Health Perspect.127:077001. doi: 10.1289/EHP4094
116
Zheng F. Wu W. Wang L. Ngoubene-Atioky A. J. Chen L. (2021). Childhood trauma and suicidal ideation among Chinese female prisoners: the mediating roles of negative emotions and social support. Personal. Individ. Differ.168:110405. doi: 10.1016/j.paid.2020.110405
117
Zhong M. Zhang Q. Bao J. Xu W. (2019). Relationships between meaning in life, dispositional mindfulness, perceived stress, and psychological symptoms among Chinese patients with gastrointestinal cancer. J. Nerv. Ment. Dis.207, 34–37. doi: 10.1097/NMD.0000000000000922
118
Zhong S. Zhu X. Mellsop G. Guo H. Chen Y. Luo C. et al . (2019). Mental health problems, history of drug use, and violent offending are associated with increased suicide risk in imprisoned females. Front. Psychol.10:395. doi: 10.3389/fpsyt.2019.00395
119
Zhou J. Witt K. Zhang Y. Chen C. Qiu C. Cao L. et al . (2014). Anxiety, depression, impulsivity and substance misuse in violent and non-violent adolescent boys in detention in China. Psychiatry Res.216, 379–384. doi: 10.1016/j.psychres.2014.01.024
Summary
Keywords
nature exposure, depression, meaning in life, CU traits, moderated mediation model
Citation
Zeng Y, Zhang Q, Yan J, Qi K, Ma A, Liu X and Xiao J (2024) The relationship between nature exposure and depression among Chinese prisoners: a moderated mediation model. Front. Psychol. 15:1252864. doi: 10.3389/fpsyg.2024.1252864
Received
04 July 2023
Accepted
06 February 2024
Published
21 February 2024
Volume
15 - 2024
Edited by
Felix Tinoziva Mavondo, Monash University, Australia
Reviewed by
Bogdan Nemes, University of Medicine and Pharmacy Iuliu Hatieganu, Romania
Guodong Zhang, Southwest University, China
John R. Reddon, University of Alberta, Canada
Updates
Copyright
© 2024 Zeng, Zhang, Yan, Qi, Ma, Liu and Xiao.
This is an open-access article distributed under the terms of the Creative Commons Attribution License (CC BY). The use, distribution or reproduction in other forums is permitted, provided the original author(s) and the copyright owner(s) are credited and that the original publication in this journal is cited, in accordance with accepted academic practice. No use, distribution or reproduction is permitted which does not comply with these terms.
*Correspondence: Xiaoqian Liu, cu008553@cupl.edu.cnJunze Xiao, 2202040210@cupl.edu.cn
Disclaimer
All claims expressed in this article are solely those of the authors and do not necessarily represent those of their affiliated organizations, or those of the publisher, the editors and the reviewers. Any product that may be evaluated in this article or claim that may be made by its manufacturer is not guaranteed or endorsed by the publisher.