Abstract
This study examines online processing and offline judgments of subject-verb person agreement with a focus on how this is impacted by markedness in heritage speakers (HSs) of Italian. To this end, 54 adult HSs living in Germany and 40 homeland Italian speakers completed a self-paced reading task (SPRT) and a grammaticality judgment task (GJT). Markedness was manipulated by probing agreement with both first-person (marked) and third-person (unmarked) subjects. Agreement was manipulated by crossing first-person marked subjects with third-person unmarked verbs and vice versa. Crucially, person violations with 1st person subjects (e.g., io *suona la chitarra “I plays-3rd-person the guitar”) yielded significantly shorter RTs in the SPRT and higher accuracy in the GJT than the opposite error type (e.g., il giornalista *esco spesso “the journalist go-1st-person out often”). This effect is consistent with the claim that when the first element in the dependency is marked (first person), the parser generates stronger predictions regarding upcoming agreeing elements. These results nicely align with work from the same populations investigating the impact of morphological markedness on grammatical gender agreement, suggesting that markedness impacts agreement similarly in two distinct grammatical domains and that sensitivity to markedness is more prevalent for HSs.
Introduction
The present study investigates the relationship between Subject-Verb (SV) person agreement and markedness in a group of adult heritage speakers (HSs) of Italian. Person information reflected in Italian verbal agreement morphology varies systematically depending on whether the subject is the speaker (Io, 1st-person singular), the addressee (Tu, 2nd-person singular), or someone else (lo scrittore “the writer,” 3rd-person singular) as shown in (1) where the form of the verb scriv-ere “to write” is inflected in the simple present for singular subjects.
(1)
| a. | Io | scrivo. |
| I-1st-person | write-1st-person | |
| b. | Tu | scrivi. |
| You-2nd-person | write-2nd-person | |
| c. | Lo scrittore | scrive. |
| The writer-3rd-person | writes-3rd-person |
Different theoretical proposals have suggested a distinction between the first and second person on the one hand, and the third person, on the other (e.g., Jakobson, 1971; Silverstein, 1985; Harris, 1995; Harley and Ritter, 2002; Bejar, 2003; Carminati, 2005; McGinnis, 2005; Bianchi, 2006). This claim is based on the idea that the first and second person are specified as participants in the speech act, respectively the speaker and the addressee, while the third person, referring to someone who is neither the speaker nor the addressee, is considered a nonparticipant. This distinction relates to the construct of markedness claiming that morphological features are organized hierarchically and carry differential cognitive weight (e.g., Battistella, 1990; Bonet, 1995; Corbett, 2000; Cowper, 2005; Nevins et al., 2007; however, see Bejar (2003) suggesting that the cognitive load is not given by an arbitrary hierarchy separating participants from nonparticipant but it is more related to the levels of specification required for each person). Harley and Ritter (2002) suggest that the hierarchical organization of feature values reflects their relative degrees of ‘cognitive significance,’ with features higher on the hierarchy being more cognitively salient or costly than the ones below. This claim makes clear predictions for sentence processing, and in particular for the processing of pronouns, where the more cognitively heavy the features are, the stronger the prediction should be. Thus, within the person domain, the processing load for first/s person features should be greater than for third person (1st/2nd > 3rd). Furthermore, within the domain of verbal agreement, the third person is considered the unmarked feature value or ‘default’ person, which means it does not carry any special marking or distinctions as the first and second persons do as it is often used to refer to someone or something that is not directly involved in the conversation, making it the most neutral or unmarked category (e.g., Forchheimer, 1953; Benveniste, 1971; Harley and Ritter, 2002; Bianchi, 2006). First and second persons are instead considered the marked forms. Consequently, violations realized on marked items (1st/2nd person) are expected to be more disruptive or more cognitively costly to process compared to violations realized on unmarked ones (e.g., Deutsch and Bentin, 2001; Kaan, 2002; Nevins et al., 2007).
It is as yet not entirely clear how markedness distinctions impact the establishment of person dependencies online. Nonetheless, existent empirical research is consistent with the possibility that specified forms carry greater cognitive weight than their default counterparts, suggesting that first-and second-person cues are stronger than third-person ones (Carminati, 2005; Nevins, 2007, 2011; Nevins et al., 2007; Silva-Pereyra and Carreiras, 2007; Alemán Bañón and Rothman, 2019; Mancini et al., 2019; Alemán Bañón et al., 2021). Furthermore, other proposals from the psycholinguistics literature (e.g., Nevins et al., 2007; Wagers and Phillips, 2014) capitalize on the predictive value of marked features claiming that upon encountering a marked feature, the parser can generate a stronger prediction regarding upcoming agreement elements.
Moving on to literature on heritage languages (HLs), heritage speakers (HSs) show clear differences in their ability to produce and comprehend agreement in the verbal domain versus concord in the nominal domain (e.g., Fenyvesi, 2000; De Groot, 2005; Polinsky, 2006, 2018; Bolonyai, 2007; Albirini et al., 2011, 2013; Montrul et al., 2012; Benmamoun et al., 2013). Thus, morphological variability in HLs is asymmetric, affecting more the nominal than verbal domain. Studies have shown that in HSs of different languages, innovations in verbal agreement are less pronounced (Hindi: Montrul et al., 2012; Russian: Polinsky, 2006; Hungarian: Fenyvesi, 2000; De Groot, 2005; Bolonyai, 2007). Within the verbal domain, however, tense and mood in HLs may be more vulnerable (Rothman, 2007; Montrul, 2009; Giancaspro, 2017), while person and number violations cause fewer difficulties (Rodríguez and Reglero, 2015). This could possibly be related to the fact that verbal agreement is acquired early, is obligatory and evidenced frequently in available input, and is (typically) not context-dependent. Specifically, monolingual children produce target-like subject-verb agreement at a very young age, usually before age 3 y.o. in different languages (Italian: Belletti and Guasti, 2015; Guasti, 1993/1994, 2002; Pizzuto and Caselli, 1992; German: Clahsen, 1986; Clahsen and Penke, 1992) and simultaneous bilingual children demonstrate similar developmental paths (e.g., Austin, 2009).
The present study endeavors to move beyond descriptive comparison related to whether/how HSs perform compared to homeland L1-dominant counterparts (Rothman et al., 2023). After all, there is little doubt that there will be aggregate-level differences in terms of accuracy rates and reading times (RTs), likely related, at least in part, to the many co-existing factors that pertain (more) to HL acquisition/processing, including (although not limited to) linguistic proficiency, levels of literacy, age of acquisition effects, the role of lexical frequency, language dominance, frequency of use, type of input, as well as socio-motivational and individual cognitive factors (among others De Houwer, 2011; Unsworth, 2016; Kupisch and Rothman, 2018; Lloyd-Smith et al., 2020; Bice and Kroll, 2021; Keating, 2022; Pereira Soares, 2022; Sagarra and Rodriguez, 2022; Goldin et al., 2023; Jegerski and Keating, 2023; Paradis, 2023). Rather we examine the extent to which linguistic features come to bear on how HSs process SV person agreement at the group and individual level, probing for and unpacking systematicities that explain the variability we expect HSs to display. More specifically, the main question asked here is whether and how markedness modulates SV person agreement resolution during online processing.
The research reported in this study must be understood in the context of a general processing strategy, which has been observed for Italian HSs in a consistent and statistically significant way in a series of online and offline experiments reported by Di Pisa et al. (2022), Di Pisa and Marinis (2022), and Di Pisa (2023). In Di Pisa et al. (2022), we examined potential markedness effects in an online self-paced reading task and an offline grammaticality judgment task. Both tasks involved sentences with grammatical and ungrammatical noun-adjective agreement, manipulating gender markedness. Critically, only HSs showed a markedness effect, that is, they had significantly longer RTs and higher accuracy when violations were realized on feminine marked adjectives. Results were interpreted as a heightened sensitivity to functional morphology in the case of HS processing, resulting in a speed-accuracy tradeoff. Thus, these Italian HSs have qualitatively similar gender representations and processing abilities to homeland speakers but their context of acquisition and their unique pattern of HL use make them more sensitive to morphological patterns during real-time gender processing (see also Luque et al., 2023). These same effects were found in an elicited production task (Di Pisa and Marinis, 2022), where the same HS participants were asked to orally produce correct concord between the noun and the adjective, whereas they were not replicated in the homeland Italian and non-native late learner comparison groups reported on in Di Pisa (2023), indicating a greater reliance/awareness of HSs to overt morphological exponents, at least in the nominal domain.
In those studies, the generalizability beyond the nominal domain was left as an open question for future investigation; thus, would the same effects of markedness be visible in another grammatical domain, for example, with verbal agreement that is less reliant on the acquisition of the lexicon as in true in the nominal domain, but rather relies more straightforwardly on syntactic rules?
SV agreement is a grammatical structure that manifests similarly in Italian and German. However, its manifestation might be more complex in Italian than in German. Italian is a Romance language characterized by a rich morphological agreement system where each person number combination is uniquely identified by an inflectional suffix. In all types of verbs, person and number are phonologically marked on the verb form itself, while the presence of a subject pronoun is optional (pro-drop). Italian verbs are organized into three1 conjugations, −are, −ere, and-ire, according to the thematic vowel suffixed to the stem (Schwarze, 2009). Typically, a verb form contains four classes of elements in the following order: stem, thematic vowel (TV) (−a, −e, −i), tense/aspect/mood makers, person/number markers as exemplified in the first plural imperfect indicative of nuotare ‘to swim’ in (2):
(2)
nuot + a + va + mo.
Lexical stem + TV + Past, Imperfective + 1st-person pl.
‘(we) swam/were swimming’
Verbs from the first conjugation forming their third person singular on/a/, such as parla (“speaks”), are the most frequent in spoken Italian according to corpus data (De Mauro et al., 1993; Bellini and Schneider, 2019). Even though suffixation is the main form of SV agreement in Italian, many irregular verbs also involve variation in the verb stem, which even further distinguishes the different persons from each other [for example, the verb andare (to go): vado (1st-sg), vai (2nd-sg), va (3rd-sg), andiamo (1st-pl), andate (2nd-pl) and vanno (3rd-pl)].
In German, similarly to Italian, all verbs have distinct forms in singular and plural (Kunkel-Razum et al., 2009; Durrell, 2011). So, for the present tense, 1st-person singular has the suffix/−e/, the 2nd-person singular /−st/, whereas there is syncretism for /−t/, which can be 3rd-person singular or 2nd-person plural, and for/−en/and/−n/that can be 1st-or 3rd-person plural or the infinitive form (Clahsen, 1986; Albright and Fuß, 2012). Thus, German, just like Italian, has distinct forms for person marking, however, it also shows syncretism, which is not the case for Italian.
Although relevant research has been on the rise in recent years, relatively little is known about how HSs process their HLs in real-time, despite recent calls for the use of online methods [self-paced reading, eye-tracking, and EEG (electroencephalography)] in the field of heritage bilingualism (Bayram et al., 2021). The present study addresses this gap while combining an online self-paced reading task looking at online processing of HSs of Italian in Germany, and an offline grammaticality judgment task. The processing target was SV agreement and whether/how markedness asymmetry impacts the processing of (1a) sentences with a first-person singular subject (speaker role) compared to (1c) sentences with a third-person singular subject (default person), differing with respect to person markedness. Furthermore, we focused our attention on those variables that have been shown to play a relevant role in HL acquisition/processing of agreement, that is proficiency (Montrul, 2008; Alarcón, 2011; Bianchi, 2013; Kupisch et al., 2013; Di Pisa, 2023), patterns of language use (Lloyd-Smith et al., 2019, 2020; Pereira Soares, 2022; Di Pisa, 2023), and age of onset of bilingualism (Montrul, 2008; Bianchi, 2013; Keating, 2022; Di Pisa, 2023) to explore how these variables might affect SV agreement in HSs.
We build on two previous studies on native L1-dominant (Alemán Bañón and Rothman, 2019) and L2 learners of Spanish (Alemán Bañón et al., 2021) that have investigated the same processing target in a similar way using EEG as the main methodology. The authors predicted two possible scenarios: in line with their previous studies on gender agreement (Alemán Bañón and Rothman, 2016; Alemán Bañón et al., 2017), they predicted either the verb’s markedness to impact processing at the violating verb or, considering Nevins et al. (2007) proposal, the subject’s markedness would impact processing at the verb. Their results revealed that native speakers of Spanish were sensitive to both types of ungrammaticality (1st-person marked subject + *3rd-person unmarked verb; 3rd-person unmarked subject + *1st-person marked verb) as evidenced in robust positivities (P600) for both types of person violations. Crucially, person violations with a marked subject yielded a larger P600 than the opposite error type consistent with the possibility that, when encountering a subject with marked features, the parser generates a stronger prediction regarding the upcoming verb (e.g., Nevins et al., 2007; López Prego, 2015). L2 learners of Spanish were equally accurate in detecting both errors. However, the P600 was marginally reduced for “1st-person marked subject + *3rd-person unmarked verb” violations, suggesting that learners overused unmarked forms (third person) during online processing. These findings were more in line with McCarthy’s (2012) proposal relating to an overreliance on defaults in non-native learners. Importantly, this asymmetry mainly characterized learners with lower proficiency, suggesting that markedness awareness might be modulated by proficiency.
To the best of our knowledge, no study has investigated the effect of markedness on SV person agreement in HSs. Thus, our study aims to answer the following research questions (RQs):
RQ1. Does markedness impact SV person agreement resolution in HSs? And if so, how do HSs compare to homeland speakers of Italian in this respect?
Consistent with Alemán Bañón and Rothman (2019), an effect of markedness should impact SV agreement resolution. Two scenarios are possible; the first, in line with results from Alemán Bañón and Rothman (2019), predicts that both HSs and homeland speakers will be more sensitive to “1st-person marked subject + *3rd-person unmarked verb” violations as reflected in shorter RTs and higher accuracy for this type of violation. Alternatively, if McCarthy’s (2008, 2012) proposal is extendable to HSs in general or at least those with the lowest levels of proficiency, then like L2 learners they may rely more on defaults and, consequentially, shorter RTs and higher accuracy are predicted with the other type of violation (“3rd-person unmarked subject + *1st-person marked verb”). Although both are types of bilinguals who are not dominant in the targeted language of experimentation, our intention is definitively not to equate HSs and L2 learners a priori. After all, HSs are a subtype of native speakers (Rothman and Treffers-Daller, 2014; Wiese et al., 2022) who have acquired the HL naturalistically from birth, thus, they are not comparable to L2 learners as it relates to several crucial features, such as the age of onset of exposure, quantity and quality of input exposure, domains of language use and the like. However, recall that Di Pisa et al. (2022) found evidence in the domain of grammatical gender that the same set of HSs is highly sensitive to, if not reliant, on default forms.
RQ2. To what extent do HL proficiency, patterns of HL use, and age of onset of bilingualism modulate how markedness will impact SV agreement resolution?
Higher proficiency in the HL (i.e., Bianchi, 2013; Kupisch et al., 2013; Kupisch and Rothman, 2018; Di Pisa et al., 2022), as well as more HL use in different contexts (e.g., Bianchi, 2013; Di Pisa et al., 2022), should positively affect RTs and accuracy. Regarding the age of onset of bilingualism (AoO), two scenarios are possible: in line with Montrul (2008) and Keating (2022), sequential HSs could be more accurate and have faster RTs than simultaneous HSs. If Bianchi (2013) is right, then we should find no difference between the two groups of HSs, suggesting that verbal agreement is not affected by age effects.
Materials and methods
Participants
The participants included 54 adult HSs of Italian (age = 28.15; SD = 6.20; range = 18–41) living in Germany and 40 adult homeland Italian speakers (M age = 25.65; SD = 3.99; range = 18–39) living in Italy. The heritage group comprised 33 simultaneous bilinguals, where both languages (Italian and German) were present from birth, and 21 sequential bilinguals who had two native Italian-speaking parents and first came in contact with German in educational settings (between 3 and 6 y.o., M age = 1.5; SD = 1.97). All the HSs completed schooling in Germany and still lived there at the time of testing. In contrast, all Italian homeland speakers grew up in a monolingual environment and were living in Italy at the time of testing. All participants completed the Language and Social Background Questionnaire (LSBQ; Anderson et al., 2018). The questionnaire’s goal is to capture participants’ spoken languages usage and experience over their lifespan and across different settings and dimensions. It yields two composite scores and a variety of other language-related variables (e.g., age of onset of bilingualism, proficiency, etc.): a social score (henceforth referred to as “HL social”), related to language use in different social settings (e.g., work, emails, TV, etc.) and a home score (henceforth “HL home”) which is related to language use in the home life (e.g., language use with parents/siblings/grandparents, during infancy, etc.). For both variables, the higher the composite score, the more frequently the HL (Italian) was used in either social or home settings (see Supplementary Table S1 for further demographic information).
Proficiency
Italian proficiency was assessed using an adapted version (Lloyd-Smith et al., 2019) of the DIALANG test battery (Alderson, 2005 for the original). The test consisted of 50 real words and 25 pseudo-words presented in the center of the screen one by one. Participants were instructed to press the F key if the word was real and J if it was not. The scoring was calculated as the sum of all correct answers both on real and non-words, leading to a total maximum possible score of 75. As shown in Figure 1, HSs exhibited lower Italian proficiency and much larger variation (M = 60.33; SD = 6.49; range = 44–70) than the homeland native speakers (M = 69.80; SD = 2.33; range = 66–75).
Figure 1

HSs and homeland speakers’ scores on the Italian vocabulary test DIALANG (raw scores). Signif. codes: 0 ‘***’, 0.001 ‘**’, 0.01 ‘*’, 0.05 ‘+’, 0.1 ‘ ’ 1.
Tasks
The study consisted of two main experimental tasks: a self-paced reading task and a grammaticality judgment task. To examine the contribution of person markedness to agreement we created 80 sentences of two types (see Table 1): 40 sentences had a first-person singular subject which is marked for person (condition 1) and 40 sentences had a third-person singular lexical subject which is unmarked for person (condition 3). For each of these two conditions, agreement was manipulated by pairing up first-person subjects with third-person verbs (condition 2), and third-person subjects with first-person verbs (condition 4).
Table 1
| Condition | |||
|---|---|---|---|
| 1st-person marked subject | 3rd-person unmarked subject | ||
| (1) |
Marked-subject grammatical (N=20)
A | volte | io | viaggio | in | treno. Sometimes I-1st-person travel-1st-person by train. |
(3) |
Unmarked-subject grammatical (N=20)
La | ragazza | prepara | la | torta | al | cioccolato. The girl-3rd-person bakes-3rd-person the chocolate cake. |
| (2) |
Marked-subject ungrammatical (N=20)
A | volte | io | *viaggia | in | treno. Sometimes I-1st-person *travels-3rd-person by train. |
(4) |
Unmarked-subject ungrammatical (N=20)
La | ragazza | *preparo | la | torta | al | cioccolato. The girl-3rd-person *bake-1st-person the chocolate cake. |
Sample stimuli, including the conditions examining person agreement with first-person and third-person subjects (grammatical, ungrammatical).
Sentences in conditions (1) and (2) follow the structure: temporal adverb a volte “sometimes” + subject + verb in the simple present + continuation (i.e., direct object or prepositional phrase). Sentences in condition (3) and (4) follow the structure: subject (lexical determiner phrases (DPs)) + verb in the simple present + continuation (i.e., direct object or prepositional phrase).
The same verbs (N = 80) were used in the conditions with first-and third-person subjects (see Supplementary Table S2 for a list of the critical verbs used in the task). Thus, at the verb (i.e., the critical word) the two markedness conditions only differed with respect to the subject. Verbs inflected for first-and third-person singular were controlled with respect to the number of characters (M length first-person verbs: 6.66; SD = 1.73; M length third-person verbs: 6.68; SD = 1.74; t (158) = −0.046, p = 0.964). In terms of frequency, third-person verbs are usually used more frequently than first-person verbs, thus the former being more frequent. Finally, the position of the critical verb was always mid-sentence, and it was similar across markedness conditions (conditions 1–2: word #4; conditions 3–4: word #3).
These materials were intermixed with 80 sentences (40 grammatical, 40 ungrammatical) from Di Pisa et al. (2022) examining noun-adjective gender agreement that did not manipulate SV agreement. These 160 sentences were counterbalanced across four experimental lists where the carrier sentences were the same. Each participant was pseudorandomly assigned to one of the four lists and the same list was used in the SPRT and the GJT, however, a given participant would not see any sentence twice within the same task.
Self-paced reading task
HSs’ processing of SV person agreement in real-time was assessed with an online Self-Paced Reading Task (SPRT). In this task, participants’ reaction times (RTs) were measured every time they pressed the spacebar on the keyboard in order to read the sentences presented word-by-word. The 80 sentences were split into four blocks of 20 sentences, all of which contained 10 grammatical and 10 ungrammatical sentences. Short breaks were planned between the blocks. Before the actual experiment, participants were instructed on the task and four practice sentences with accuracy feedback were presented. All practice trials involved lexical materials that did not appear in the experimental stimuli. The experiment began immediately after the practice. Trials started with a fixation cross, then the first word appeared after 500 ms. A binary YES/NO comprehension question (see (3) for examples in the two grammatical conditions) was presented after 35% of the sentences on a separate display screen in order to check that participants were paying attention to the experiment. The keys F (YES) and J (NO) on their keyboard were used by the participants to respond. Participants could move to the next trial only upon response to the comprehension question (if present), and crucially no feedback was given. They were instructed to go through the words and sentences as fast as possible and were told that the task was concerned with reading comprehension. The sentences were presented in a randomized order.
(3)
1st-person marked subject
A| volte| io| viaggio|in| treno.
R1| R2| R3| R4|R5| R6
| subject| critical|spill-over| wrap-up
“Sometimes I travel by train.”
A volte io viaggio in macchina?
‘Do I sometimes travel by car?’
a. Si “Yes.”
b.
No“No.”
3rd-person unmarked subject
La | ballerina | corre | ogni | giorno | al | parco.
R1 | R2 | R3 | R4 | R5 | R6 | R7
| subject | critical | spill-over | wrap-up
“The dancer runs every day in the park.”
La ballerina corre ogni giorno?
‘Does the dancer run every day?’
a. Si “Yes.”
b. No “No.”
Grammaticality judgment task
HSs’ accuracy in judging SV person agreement was measured with an offline Grammaticality Judgment Task (GJT). The stimuli for the GJT were exactly the same as for the SPRT, following the same experimental flow of four blocks of 20 sentences each, with 10 grammatically correct and 10 grammatically incorrect ones per block with short breaks in between. The full sentences were read by the participants on the screen and they were then asked to judge if the sentence they read was grammatically correct or not by pressing keys F (YES) or J (NO) on their keyboard. Sentences were presented in a random order.
Procedure
The experimental session was completed entirely online by each participant using their personal computer. All tasks were created and implemented using Gorilla Experiment Builder2 (Anwyl-Irvine et al., 2020). The experimental session started with participants filling out the LSBQ, then they completed the DIALANG in Italian, the SPRT, and finally the GJT. The whole session lasted around 45 min. Participants were allowed to take breaks in between the tasks. Participants were compensated for their participation. Informed consent was obtained from all participants prior to the start of the experiment and all procedures were approved by the University of Konstanz research ethics committee.
Analyses
Raw RTs were screened for extreme values and outliers (Keating and Jegerski, 2015; Marsden et al., 2018). All segments with RTs below 150 ms and above 6,000 ms were excluded (1.85% of data excluded). The remaining data were trimmed, so that raw RTs that exceeded 2.5 standard deviations below and above from the participants’ mean per position and per condition were excluded. This led to a further 3.30% of data exclusion. In total, 5.15% of the data were removed.
Sentences were segmented into 6 (1st-person subject) or 7 (3rd-person subject) regions of interest. Analyses for RTs were performed on 2 specific regions: verb region (critical region) and spill-over region (post-critical region) (see example (3) above). Since sentences in the two different conditions (1st-person subject vs. 3rd-person subject) were of different lengths, but shared the same conceptual critical regions, they were merged for analyses across verb and spillover regions. RTs from the SPRT were analyzed using mixed-effects linear models (Baayen et al., 2008), whereas accuracy data from the GJT were analyzed using mixed-effects logistic regressions of the binomial family (Jaeger, 2008). All analyses were done in R (R Core Team, 2016). The mixed function in the afex package (Singmann et al., 2022) was used to run a likelihood ratio test. Categorical variables were sum-coded, whereas numerical variables were centered around the mean. Pairwise post-hoc comparisons (Tukey contrasts) were carried out within the emmeans package (Lenth, 2022). Figures were created using the ggplot2 package (Wickham, 2016).
Two types of comparative analyses were conducted. The first one focused on an HSs vs. homeland speakers comparison and sought to establish whether both groups were sensitive to verb markedness as reflected in differential RTs in the SPRT and accuracy in the GJT. The investigated dependent variables were RTs for the SPRT and a binary accuracy outcome (correct or incorrect) for the GJT. For both tasks, Group (heritage vs. homeland speakers), Grammaticality (grammatical vs. ungrammatical) and Markedness (marked vs. unmarked), as well as their interactions (Group:Grammaticality, Group:Markedness, Grammaticality:Markedness, Group:Grammaticality:Markedness) were included as fixed effects. The random effects for the SPRT included random slopes for Subject and random intercept for Item while for the GJT models, random effects included Grammaticality + Markedness slopes for Subject and Grammaticality intercept for Item. All models were simplified following Bates et al. (2015) suggestions until no convergence issues were outputted.
The second analysis was performed only on the HSs in order to investigate whether and how language variables (DIALANG proficiency scores, bilingualism type, LSBQ factors) predicted RTs (SPRT) and accuracy (GJT). The fixed effects included in the model were Grammaticality (grammatical vs. ungrammatical), Markedness (marked vs. unmarked), Proficiency (DIALANG proficiency scores centered), Bilingualism (simultaneous vs. sequential), HL use in the home (HL_home; centered) and in the society (HL_social; centered), as well as their interactions (Grammaticality:Markedness, Grammaticality:Proficiency, Grammaticality:Bilingualism, Grammaticality:HL_home, Grammaticality:HL_social, Markedness:Proficiency, Markedness:Bilingualism, Markedness:HL_home, Markedness:HL_social, Grammaticality:Markedness:Proficiency, Grammaticality:Markedness:Bilingualism, Grammaticality:Markedness:HL_home, Grammaticality:Markedness:HL_social). The random effects were built the same as for the previous models: for the SPRT, random slopes for Subject and random intercept for Item; for the GJT, random effects included Grammaticality + Markedness slopes for Subject and Grammaticality intercept for Item. Models were simplified until there were no convergence issues. An overview of all model specifications as well as the complete presentation of their effects for both tasks can be found in Supplementary materials 2, 3.
Results
For the SPRT, figures and averages are reported in raw measures for ease of exposition, but the models were all fit using log-transformed RTs, in order to remove skews and to normalize model residuals (Vasishth and Nicenboim, 2016).
Self-paced reading task
Accuracy rates for the comprehension question responses were analyzed to make sure that participants were reading for meaning and were attentive during the task. Both groups exhibited high accuracy rates in both grammatical and ungrammatical conditions as shown in Table 2. Since all participants scored above chance (50% accuracy), no one was excluded. For the RT analysis, only trials that received correct answers were included. Figures 2, 3 illustrate overall reading patterns; as expected HSs had longer RTs than homeland speakers.
Table 2
| Condition | HSs | Homeland |
|---|---|---|
| M (SD) | M (SD) | |
| 1st-person marked grammatical | 98 (0.13) | 97 (0.17) |
| 3rd-person unmarked grammatical | 97 (0.18) | 97 (0.17) |
| 1st-person marked ungrammatical | 98 (0.15) | 96 (0.20) |
| 3rd-person unmarked ungrammatical | 97 (0.18) | 99 (0.12) |
Mean accuracy scores (%) and standard deviations per condition for HSs and homeland in the SPRT – comprehension accuracy.
Figure 2

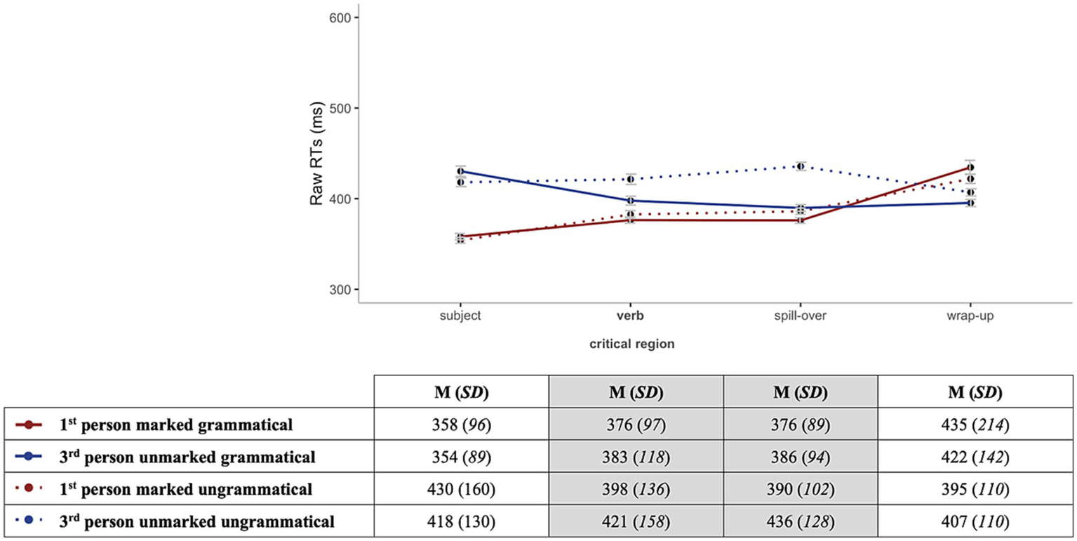
Mean RTs for the HSs by region for grammatical (solid lines) vs. ungrammatical (dotted lines) sentences for 1st-person marked (red) and 3rd-person unmarked (blue).
Figure 3

Mean RTs for the homeland speakers by region for grammatical (solid lines) vs. ungrammatical (dotted lines) sentences for 1st-person marked (red) and 3rd-person unmarked (blue).
In the verb region (critical), three different effects were observed. First, we found an effect of Group (Chisq = 18.14, p < 0.001), showing that HSs were reading at a slower pace as compared to the homeland speakers. Furthermore, we observed an effect of Grammaticality (Chisq = 26.89, p < 0.001) and Markedness (Chisq = 5.28, p = 0.022), indicating that the participants were faster for grammatical and 1st-person marked conditions in comparison to ungrammatical and 3rd-person unmarked conditions, respectively.
In the spill-over region (post-critical), several significant effects were found. In no particular order, we observed an effect of Group (Chisq = 24.64, p < 0.001), Grammaticality (Chisq = 314.39, p < 0.001) and Markedness (Chisq = 6.50, p = 0.011), which reflect expected behaviors, i.e., HSs reading slower than homeland speakers and grammatical and 1st-person marked sentences being processed faster than ungrammatical and 3rd-person unmarked ones. Moreover, the analysis revealed the following significant interactions: Group:Grammaticality (Chisq = 40.73, p < 0.001), Grammaticality:Markedness (Chisq = 18.63, p < 0.001) and critically, a three-way interaction Group:Grammaticality:Markedness (Chisq = 7.16, p = 0.007) (Figure 4).
Figure 4

Illustration of the three-way interaction between Group (HSs, homeland), Grammaticality (grammatical, ungrammatical), Markedness (1st-person marked, 3rd-person unmarked).
Post-hoc analyses on the significant interaction between Group:Grammaticality indicated that HSs were slower at reading both grammatical (β = 0.193, SE = 0.043, z = 4.448, p < 0.001) and ungrammatical (β = 0.264, SE = 0.043, z = 6.079, p < 0.001) sentences in comparison to the homeland speakers. Furthermore, grammatical sentences were read faster than ungrammatical ones in both groups (HSs: β = −0.135, SE = 0.007, z = −18.640, p < 0.001; homeland: β = −0.064, SE = 0.008, z = −7.613, p < 0.001). Subsequent post-hoc pairwise comparisons within the second significant interaction Grammaticality:Markedness showed that in the grammatical conditions there was no difference in RTs between 1st-person marked and 3rd-person unmarked (β = −0.036, SE = 0.024, z = −1.517, p = 0.130), whereas, in the ungrammatical conditions, sentences with a 1st-person marked were read faster than the ones with 3rd-person unmarked (β = −0.084, SE = 0.024, z = −3.543, p < 0.001). Finally, post-hoc tests for the three-way interaction between Group:Grammaticality:Markedness highlighted that for the 1st-person marked subjects, there was a difference in RTs between the grammatical vs. ungrammatical conditions for the HSs, whereas this was not the case for the homeland group (HSs: β = −0.125, SE = 0.010, z = −12.288, p < 0.001; homeland: β = −0.025, SE = 0.012, z = −2.118, p = 0.150). However, for the 3rd-person unmarked subjects, both groups showed a significant difference in RTs between grammatical vs. ungrammatical conditions. Thus, both groups showed faster RTs for the 3rd-person unmarked grammatical (HS: β = −0.144, SE = 0.010, z = −14.074, p < 0.001; homeland: β = −0.103, SE = 0.012, z = −8.652, p < 0.001).
To investigate whether proficiency and bilingual language use may affect RTs in the HSs, we fit linear mixed models to the heritage group data for verb and spillover regions.
In the verb region (critical), we observed a main effect of Markedness (Chisq = 17.40, p < 0.001) reflecting faster RTs for 1st-person marked vs. 3rd-person unmarked subjects. A two-way interaction between Markedness:Proficiency (Chisq = 4.00, p = 0.046) indicates that HSs had shorter RTs for sentences with 1st-person marked as their proficiency increased (Figure 5A). A two-way interaction between Markedness:HL_home (Chisq = 17.89, p < 0.001) seems to suggest that the more the HL is used at home, the slower the HSs are in reading sentences with 1st-person marked subjects (Figure 5B).
Figure 5

(A) Illustration of the two-way interactions between Markedness (1st-person marked, 3rd-person unmarked) and Proficiency. (B) Illustration of the two-way interactions between Markedness (1st-person marked, 3rd-person unmarked) and HL use in the home.
In the spill-over region (post-critical), the model revealed a main effect of Grammaticality (Chisq = 15.13, p < 0.001) indicating that HSs were sensitive to ungrammaticalities as reflected in longer RTs in the ungrammatical conditions compared to the grammatical ones. A significant two-way interaction Grammaticality:HL_home (Chisq = 8.99, p = 0.003) seems to indicate that the more the HL is used at home, the slower the HSs are in reading ungrammatical sentences (Figure 6A). A two-way interaction between Markedness:HL_social (Chisq = 6.63, p = 0.010) points to similar effects, thus the more the HL is used in different social contexts, the slower the HSs are in reading sentences with 3rd-person unmarked subjects (Figure 6B).
Figure 6

(A) Illustration of the two-way interactions between Grammaticality (grammatical, ungrammatical) and HL use in the home. (B) Illustration of the two-way interactions between Markedness (1st-person marked, 3rd-person unmarked) and HL use in different social contexts.
Finally, a significant two-way interaction between Markedness:Bilingualism (Chisq = 4.57, p = 0.033) was driven by a significant effect within sequential HSs, who were faster at reading 1st-person marked than 3rd-person unmarked conditions (β = −0.076, SE = 0.026, z = −2.895, p = 0.004). This effect was not found for the simultaneous bilinguals (β = −0.039, SE = 0.025, z = −1.591, p = 0.112) (Figure 7).
Figure 7

Illustration of the two-way interactions between Markedness (1st-person marked, 3rd-person unmarked) and Type of bilingualism (sequential vs. simultaneous).
In summary, the data revealed that overall HSs had longer RTs compared to homeland Italian speakers. In the critical and post-critical regions, results showed that HSs were sensitive to grammatical violations and were slower in reading ungrammatical compared to grammatical conditions. Regarding markedness, both groups were faster at reading sentences with 1st-person marked subjects versus 3rd-person unmarked ones. Finally, for the HSs, several effects relative to proficiency, HL use, and type of bilingualism suggest that the amount of language knowledge, patterns of HL use and exposure as well as the age of onset of bilingualism modulate the impact of markedness during online SV agreement.
Grammaticality judgment task
The main results for the GJT are depicted in Figure 8. HSs performed with very high accuracy (95%) in both grammatical conditions, whereas in the ungrammatical conditions, accuracy in detecting violations was higher when the sentences had 1st-person marked subjects (90%) compared to sentences with 3rd-person unmarked subjects (85%). Homeland speakers’ accuracy was equal to or above 95% in all conditions.
Figure 8

Mean response accuracy in percentage for the grammatical and ungrammatical conditions per group in the GJT. The bars represent the standard error to the mean.
The analyses revealed significant main effects of Group (Chisq = 12.98, p < 0.001) and Grammaticality (Chisq = 12.20, p < 0.001) showing that HSs were overall significantly less accurate as compared to homeland speakers and that in general, both groups were less accurate with ungrammatical conditions than grammatical ones. The model also revealed a significant two-way interaction between Group:Markedness (Chisq = 4.94, p = 0.026). Subsequent post-hoc pairwise comparisons showed that for the 3rd-person unmarked condition, HSs were on average significantly less accurate than their homeland peers (β = −1.407, SE = 0.341, z = −4.128, p < 0.001). This was not the case for the 1st-person marked condition (β = −0.557, SE = 0.316, z = −1.765, p = 0.08) (Figure 9).
Figure 9

Illustration of the two-way interactions between Group (HSs, homeland) and Markedness (1st-person marked, 3rd-person unmarked).
The model fitted to the HSs’ data revealed several effects. First, we observed a main effect of Grammaticality (Chisq = 6.85, p = 0.009), which indicates that HSs were more accurate in grammatical than ungrammatical conditions. Furthermore, there was a second main effect of Proficiency (Chisq = 15.78, p < 0.001), reflecting that accuracy in the task was modulated by proficiency, thus the higher the scores on the DIALANG test, the higher the accuracy in the task. A significant two-way interaction between Grammaticality:HL_home (Chisq = 3.98, p = 0.046) was found, suggesting that the more the HL is used in the home context, the higher the accuracy in the ungrammatical conditions (Figure 10A). The three-way interaction between Grammaticality:Markedness:Proficiency (Chisq = 4.95, p = 0.026) indicated that as proficiency in the HL increases, accuracy in both grammatical and ungrammatical conditions increases for both 1st-person marked and 3rd-person unmarked conditions. Crucially, this is more critical in the ungrammatical 1st-person marked condition (Figure 10B). The three-way interaction between Grammaticality:Markedness:HL_social (Chisq = 4.70, p = 0.030) seems to suggest that with more use of the HL in different social contexts, accuracy in detecting ungrammaticality with a 3rd-person unmarked subject increases (Figure 10C). Finally, the three-way interaction between Grammaticality:Markedness:Bilingualism (Chisq = 4.17, p = 0.041) shows that in the grammatical conditions there was no difference between the two types of bilingual, whereas in the ungrammatical conditions, sequential HSs struggled more with detecting ungrammaticality with 3rd-person unmarked subjects (Figure 10D).
Figure 10

(A) Illustration of the two-way interaction between Grammaticality (grammatical, ungrammatical) and HL use in the home. (B) Illustration of the three-way interaction between Grammaticality (grammatical, ungrammatical), Markedness (1st-person marked, 3rd-person unmarked) and Proficiency. (C) Illustration of the three-way interaction between Grammaticality (grammatical, ungrammatical), Markedness (1st-person marked, 3rd-person unmarked) and HL use in different social contexts. (D) Illustration of the three-way interaction between Grammaticality (grammatical, ungrammatical), Markedness (1st-person marked, 3rd-person unmarked) and Type of bilingualism (sequential vs. simultaneous).
To summarize, in general accuracy for HSs was lower compared to the homeland group. In terms of markedness, HSs were more accurate in detecting ungrammaticality with a 1st-person marked subject than with a 3rd-person unmarked subject. Proficiency, patterns of HL use in the home and the society as well as age of onset of bilingualism predicted accuracy in the task while modulating the impact of markedness on SV person agreement resolution.
Discussion
The present study used an online self-paced reading task and an offline grammaticality judgment task to investigate the role of markedness in the processing of SV person agreement in a group of HSs of Italian and their homeland counterparts. Our main aim was to understand how markedness differences with respect to the speech participant status of the subject (1st-person marked vs. 3rd-person unmarked) influence online processing and offline judgments of agreement resolution at the verb. To that end, markedness was manipulated in the SV person agreement with both 1st-person (marked) and 3rd-person (unmarked) subjects (e.g., Jakobson, 1971; Harris, 1995; Harley and Ritter, 2002; Bianchi, 2006; Nevins, 2011; Alemán Bañón and Rothman, 2019; Alemán Bañón et al., 2021). Our design crossed 3rd-person singular lexical DPs subjects (Lo scrittore “the writer”) and 1st-person singular pronoun (Io “I”) with verbs inflected for the opposite person, thus two types of errors were created: “1st-person marked subject + *3rd-person unmarked verb” and “3rd-person unmarked subject + *1st-person marked verb.” Based on psycholinguistic proposals making different predictions about the role of markedness in agreement resolution, we hypothesized that it should be easier to detect a person violation realized on a 1st-person marked verb (lo scrittore *scrivo “the writer-3rd-person write-1st-person”) because violations have been argued to be more disruptive when they are realized on marked features (e.g., Deutsch and Bentin, 2001; Kaan, 2002; Nevins et al., 2007; Alemán Bañón and Rothman, 2016). In addition, this would be in line with what we previously found for noun-adjective gender agreement in Italian with the same participants (Di Pisa et al., 2022). Alternatively, considering other proposals from the psycholinguistics literature suggesting that upon encountering a marked subject, in our case Io “I-1st-person,” the parser should generate a stronger prediction regarding the upcoming verb due to feature activation (e.g., Nevins et al., 2007; Wagers and McElree, 2011; López Prego, 2015), the violation with a 1st-person subject (Io *scrive “I-1st-person writes-3rd-person”) should be easier to process because the subject marked status allows the parser to better resolve agreement.
Our results revealed that both groups were sensitive to agreement violations as evidenced in RT slowdowns and lower accuracy in judgment for both types of ungrammaticality. Critically, markedness affected the two groups differently in the distinct tasks. More specifically, while results from the SPRT showed that both HSs and homeland speakers were faster in reading sentences with 1st-person marked subjects versus 3rd-person unmarked ones, in the GJT, only the HSs showed an effect of markedness vis-a-vis higher accuracy for sentences with 1st-person marked subjects. We will now contextualize these results in line with data presented for the same sets of participants in Di Pisa et al. (2022) in the domain of noun-adjective gender agreement violations.
In the SPRT in Di Pisa et al. (2022), only the HSs showed a markedness effect as displayed in significantly longer RTs when the ungrammatical sentences were realized on feminine marked adjectives compared to masculine unmarked adjectives. The homeland speakers did not reveal such an effect and we attributed this to a possible ceiling effect in accuracy and/or to their very fast reading pace which could have obscured any latent effect because of the nature of self-paced reading tasks. In the present study, both groups showed a markedness effect that pointed in the same direction, thus faster RTs and higher accuracy for violation of the type “1st-person marked subject + *3rd-person unmarked.” This is in line with what Alemán Bañón and Rothman (2019) found for Spanish L1-dominant speakers and is consistent with the claim that when the parser encounters a marked subject, predictions on the upcoming verb are stronger (e.g., Carminati, 2005; Nevins et al., 2007; Wagers and McElree, 2011; López Prego, 2015). The fact that in this study we do find an effect of markedness for the homeland speakers, absent in the same cohort for gender agreement, using the same self-paced reading method could be related to the grammatical property that we are probing here. If so, these results could serve to support the view that distinct phi-features have different degrees of cognitive strength, as implied by the Feature Hierarchy (Person > Number > Gender). In other words, not all markedness relationships are the same. This claim has brought Hanson et al. (2000) and Harley and Ritter (2002) to suggest that the organization of such a geometry could account for the acquisition patterns observed in different languages, assuming that feature nodes higher in the geometry are learned sooner than those that are more deeply embedded. Thus, homeland speakers could be more sensitive to markedness asymmetries within the realm of person agreement compared to gender agreement due to the inherent nature of the feature investigated, i.e., person, which is more costly at the cognitive level compared to gender. This claim, however, would not straightforwardly explain why in the GJT we did not find similar effects. Nevertheless, it needs to be noted that accuracy in the task was equal to or higher than 95%, thus possible effects of markedness for the homeland group might have been obscured by ceiling effects in offline performance. In any case, both groups showed a pattern of results in contrast with our previous investigation on the role of markedness in the processing of noun-adjective gender agreement, involving the same participants. In Di Pisa et al. (2022), violations realized on marked adjectives yielded longer RTs and higher accuracy than violations realized on unmarked adjectives. Here, we found the reverse pattern of results suggesting that differences between the target structures probed might explain this discrepancy. It could be the case that the sentence structure we used to examine noun-adjective agreement (e.g., “Giulio ha fotografato una torre-feminine-markedantica-feminine-markeda Londra” “Giulio took a picture of an old tower in London”) might not have been restrictive enough to allow the parser to generate strong predictions about upcoming adjectives, since other continuations are, in principle, permissible (e.g., “Giulio ha fotografato una torre-feminine-markedche sembrava antica-feminine-markeda Londra” “Giulio took a picture of a tower that looked old in London”). Alternatively, for SV agreement, the presence of a subject creates a much stronger expectation that a verb phrase will follow, satisfying the minimal structure needed, SV(O), for sentence building (e.g., Chomsky, 1957, 1995). It is, therefore, possible that markedness influences agreement processing in different ways, as in being sensitive to the predictability of the dependency and the nature of the computation itself (Dillon et al., 2013).
One could claim that the parser might have extracted feature information faster and more easily from the personal pronoun Io “I-1st-person” than from the lexical DPs (la ballerina “the dancer-3r-person”), which were longer in terms of length and they might have activated other lexical information slowing down the processing of agreement. The issue of length might potentially explain the effect in the SPRT, but it would not have any weight in the GJT, where results pointed in the same direction, i.e., higher accuracy with 1st-person subjects. It is worth mentioning that the lexical DPs were not controlled in terms of lexical frequency, thus we cannot exclude the possibility that some of the DPs chosen might not have been known to the HSs. Some studies have shown that lexical frequency is a conditioning factor for processing mechanisms (e.g., Neville et al., 1992; Kutas et al., 2006), that is, less frequent words tend to slow down processing. One possibility here is that any unfamiliar DPs might have slowed down reading and influenced accuracy. However, while this could hold for HSs, it is unlikely to explain why homeland speakers also slowed down for lexical DP subjects given that it is unlikely any were unknown to them. Furthermore, considering that accuracy in the comprehension questions was very high (90% for 1st-person marked subjects and 85% for 3rd-person unmarked subjects), we are confident that the effects of markedness reported were not related to differences in lexical frequency.
Therefore, with respect to our first research question concerning whether or how markedness impacts SV agreement in HSs and homeland speakers of Italian, we see clear evidence that for the domain of verbal agreement, markedness mattered for both HSs and homeland speakers, suggesting that SV person agreement resolution in Italian is affected by the markedness status of the subject.
Our second research question sought to explore the effects of proficiency and extra-linguistic factors on the processing of SV agreement related to potential individual differences among the HSs. Similar to Di Pisa et al. (2022), a robust effect of proficiency was found to be a significant predictor of accuracy and RTs consistent with other previous studies (i.e., Bianchi, 2013; Kupisch et al., 2013). More specifically, we found that proficiency modulated the effect of markedness in terms of RTs (faster) and accuracy (higher); thus, with higher proficiency in the HL, HSs are more sensitive to the distinction between marked vs. unmarked persons. It should be noted that the DIALANG test used to assess proficiency was a measure of lexical knowledge, which provides only one dimension of an individual’s language proficiency. However, previous research has shown that lexical proficiency is a reliable measure in assessing overall language proficiency (Alderson, 2005) and positive correlations between HSs’ lexical knowledge and overall HL proficiency (i.e., Daller et al., 2003Lloyd-Smith et al., 2019) have emphasized the importance of the lexical dimension in understanding language skills in HSs. Regarding the effect of HL use in the home and different social contexts, results from the GJT align with Di Pisa et al. (2022) and other research (Bianchi, 2013) showing that HL use plays a major role during the processing of agreement. More specifically, the present findings highlight that higher use and exposure to the HL at home and in social contexts result in smaller differences in accuracy between 1st-person marked and 3rd-person unmarked in the ungrammatical conditions. In contrast with our previous study where there was no effect of HL use in the SPRT, for verbal agreement our results showed an increase in RTs related to more use of the HL in the home and different social contexts for the ungrammatical conditions and for 3rd-person unmarked subjects. These findings might be surprising at first consideration since they seem to suggest that verbal agreement is affected negatively by more HL use/exposure. However, it could be the case that these results relate to reading effects in general or to our claims that HSs are particularly sensitive to morphological defaults (Di Pisa et al., 2022; Luque et al., 2023). That is, the more they use the language, the more they are aware of these morphological exponents. Regardless of what precisely explains directionality here, we can still observe a distinction between marked and unmarked. This sensitivity to morphology seems to be heightened for verbal agreement compared to nominal agreement, again a pattern that offers further evidence, this time from the HS performance, that distinct phi-features have different degrees of cognitive strength. Finally, in contrast to Di Pisa et al. (2022) where we found no effect of AoO of bilingualism on gender agreement, in the present study, results showed that sequential HSs were faster at reading 1st-person marked than 3rd-person unmarked conditions and they were more accurate in detecting ungrammaticality with 1st-person marked subjects. These effects were not found for the simultaneous HSs. These observations are in line with previous research on agreement (Montrul, 2008; Keating, 2022) showing that sequential HSs can be more accurate and show higher sensitivity to markedness than simultaneous HSs and suggests that AoO of bilingualism can affect grammatical processing in HSs who otherwise process agreement and have the same mental representations as their homeland peers. The fact that we found no effect of AoO for gender agreement would follow from gender being a structure acquired very early in Italian and relying more on the lexicon, whereas SV agreement relies more on syntactic rules that take longer to be acquired, and therefore, some effects of AoO can manifest themself in verbal agreement and may persist in some form in adulthood.
Conclusion
The present study found that both HSs of Italian and homeland speakers’ use of markedness information during the processing of SV person agreement resolution was impacted by the speech participant status of the subject. Critically, person violations where the subject was the speaker (i.e., 1st-person marked) were processed at a faster pace and were judged more accurately than violations where the subject was not a speech participant (i.e., 3rd-person unmarked). These results were interpreted as evidence that feature activation allows the parser to generate stronger predictions regarding the upcoming verb when a marked element (i.e., 1st-person subject) is encountered (e.g., Nevins et al., 2007), otherwise, processing is costly and accuracy in detecting the violation decreases. Future studies should examine the same matter and compare the two agreement domains (nominal and verbal) in other sets of bilinguals and language combinations in order to draw stronger generalizations.
Statements
Data availability statement
The raw data supporting the conclusions of this article will be made available by the authors, without undue reservation.
Ethics statement
The studies involving humans were approved by the University of Konstanz Research Ethics Committee and were given a favorable ethical opinion for conduct (IRB 29/2019). The studies were conducted in accordance with the local legislation and institutional requirements. The participants provided their written informed consent to participate in this study.
Author contributions
GP: Writing – original draft. SP: Writing – original draft. JR: Writing – review & editing. TM: Writing – review & editing.
Funding
The author(s) declare financial support was received for the research, authorship, and/or publication of this article. This article was supported by generous funding to TM, JR, GP, and SP by the European Union’s Horizon 2020 research and innovation program under the Marie Skłodowska Curie grant agreement No. 765556. JR was funded by the Tromsø Forskningsstiftelse (Tromsø Research Foundation) starting grant no. A43484 and the Heritage-bilingual Linguistic Proficiency in their Native Grammar (HeLPiNG; 2019–2023).
Conflict of interest
The authors declare that the research was conducted in the absence of any commercial or financial relationships that could be construed as a potential conflict of interest.
The author(s) declared that they were an editorial board member of Frontiers, at the time of submission. This had no impact on the peer review process and the final decision.
Publisher’s note
All claims expressed in this article are solely those of the authors and do not necessarily represent those of their affiliated organizations, or those of the publisher, the editors and the reviewers. Any product that may be evaluated in this article, or claim that may be made by its manufacturer, is not guaranteed or endorsed by the publisher.
Supplementary material
The Supplementary material for this article can be found online at: https://www.frontiersin.org/articles/10.3389/fpsyg.2024.1321614/full#supplementary-material
Footnotes
1.^ Or four conjugation classes depending on how one views positioning of stress in-ere verbs, which could divide them into two unique classes.
References
1
Alarcón I. (2011). Spanish gender agreement under complete and incomplete acquisition: Early and late bilinguals’ linguistic behavior within the noun phrase. Bilingualism: Language and Cognition.14, 332–350.
2
Albirini A. Benmamoun E. Chakrani B. (2013). Gender and number agreement in the oral production of Arabic heritage speakers. Biling. Lang. Congn.16, 1–18. doi: 10.1017/S1366728912000132
3
Albirini A. Benmamoun E. Saadah E. (2011). Grammatical features of Egyptian and Palestinian Arabic heritage speakers’ oral production. Stud. Second. Lang. Acquis.33, 273–303. doi: 10.1017/S0272263110000768
4
Albright A. Fuß E. (2012). “Syncretism” in The morphology and phonology of exponence. ed. TrommerJ. (Oxford: Oxford University Press), 236–288.
5
Alderson J. C. (2005). Diagnosing foreign language proficiency: the interface between learning and assessment. London: Continuum.
6
Alemán Bañón J. Miller D. Rothman J. (2017). Morphological variability in second language learners: an examination of electrophysiological and production data. J. Exp. Psychol. Learn. Mem. Cogn.43, 1509–1536. doi: 10.1037/xlm0000394
7
Alemán Bañón J. Miller D. Rothman J. (2021). Examining the contribution of markedness to the L2 processing of Spanish person agreement: an event-related potentials study. Stud. Second. Lang. Acquis.43, 699–728. doi: 10.1017/S0272263120000479
8
Alemán Bañón J. Rothman J. (2016). The role of morphological markedness in the processing of number and gender agreement in Spanish: an event-related potential investigation. Lang. Cogn. Neurosci.31, 1273–1298. doi: 10.1080/23273798.2016.1218032
9
Alemán Bañón J. Rothman J. (2019). Being a participant matters: event-related potentials show that markedness modulates person agreement in Spanish. Front. Psychol.10:746. doi: 10.3389/fpsyg.2019.00746
10
Anderson J. A. Mak L. Chahi A. K. Bialystok E. (2018). The language and social background questionnaire: assessing degree of bilingualism in a diverse population. Behav. Res. Methods50, 250–263. doi: 10.3758/s13428-017-0867-9
11
Anwyl-Irvine A. L. Massonié J. Flitton A. Kirkham N. Z. Evershed J. K. (2020). Gorilla in our midst: an online behavioural experiment builder. Behav. Res. Methods52, 388–407. doi: 10.3758/s13428-019-01237-x
12
Austin J. (2009). Delay, interference and bilingual development: the acquisition of verbal morphology in children learning Basque and Spanish. Int. J. Biling.13, 447–479. doi: 10.1177/1367006909353234
13
Baayen R. H. Davidson D. J. Bates D. M. (2008). Mixed-effects modeling with crossed random effects for subjects and items. J. Mem. Lang.59, 390–412. doi: 10.1016/j.jml.2007.12.005
14
Bates D. Mächler M. Bolker B. Walker S. (2015). Fitting linear mixed-effects models using lme4. J. Stat. Softw.67, 1–48. doi: 10.18637/jss.v067.i01
15
Battistella E. L. (1990). Markedness: the evaluative superstructure of language. Albany: SUNY Press.
16
Bayram F. Di Pisa G. Rothman J. Slabakova R. (2021). “Current trends and emerging methodologies in charting heritage language bilingual grammars” in The Cambridge handbook of heritage languages. eds. MontrulS. A.PolinskyM. (Cambridge: Cambridge University Press), 545–577.
17
Bejar S. (2003). Phi-syntax: a theory of agreement. Toronto: University of Toronto.
18
Belletti A. Guasti M. T. (2015). The Acquisition of Italian: Morphosyntax and its interfaces in different modes of acquisition. 57. Amsterdam: John Benjamins Publishing Company.
19
Bellini D. Schneider S. (2019). Banca dati dell’italiano parlato (BADIP). Graz: Karl-Franzens-Universität Graz.
20
Benmamoun E. Montrul S. Polinsky M. (2013). Heritage languages and their speakers: opportunities and challenges for linguistics. Theor Linguist39, 129–181. doi: 10.1515/tl-2013-0009
21
Benveniste E. (1971). “The nature of pronouns” in Problems in general linguistics. ed. BenvenisteE. (Corel Gables: University of Miami Press), 217–222.
22
Bianchi V. (2006). On the syntax of personal arguments. Lingua116, 2023–2067. doi: 10.1016/j.lingua.2005.05.002
23
Bianchi G. (2013). Gender in Italian–German bilinguals: a comparison with German L2 learners of Italian. Biling. Lang. Congn.16, 538–557. doi: 10.1017/S1366728911000745
24
Bice K. Kroll J. F. (2021). Grammatical processing in two languages: how individual differences in language experience and cognitive abilities shape comprehension in heritage bilinguals. J. Neurolinguistics58:100963. doi: 10.1016/j.jneuroling.2020.100963
25
Bolonyai A. (2007). (In) vulnerable agreement in incomplete bilingual L1 learners. Int. J. Biling.11, 3–23. doi: 10.1177/13670069070110010201
26
Bonet E. (1995). Feature structure of romance clitics. Nat. Lang. Linguist. Theory13, 607–647. doi: 10.1007/BF00992853
27
Carminati M. N. (2005). Processing reflexes of the feature hierarchy (person > number > gender) and implications for linguistic theory. Lingua115, 259–285. doi: 10.1016/j.lingua.2003.10.006
28
Chomsky N. (1957). Syntactic structures. The Hague, NL: Mouton & Co. Publishers.
29
Chomsky N. (1995). The minimalist program. Cambridge: MIT Press.
30
Clahsen H. (1986). Verb inflections in German child language. Acquisition of agreement markings and the functions they encode. Linguistics24, 79–121.
31
Clahsen H. Penke M. (1992). “The acquisition of agreement morphology and its syntactic consequences: new evidence on German child language from the Simone-corpus” in The acquisition of verb placement. ed. MeiselJ. M. (Dordrecht: Springer Netherlands), 181–223.
32
Corbett G. G. (2000). Number. Cambridge: Cambridge University Press.
33
Cowper E. (2005). A note on number. Linguist. Inq.36, 441–455. doi: 10.1162/0024389054396935
34
Daller H. van Hout R. Treffers‐Daller J. (2003). Lexical richness in the spontaneous speech of bilinguals. Applied Linguistics.24, 197–222.
35
De Groot C. (2005). “The grammars of Hungarian outside Hungary from a linguistic-typological perspective” in Hungarian language contact outside Hungary. ed. FenyvesiA. (Amsterdam: John Benjamins), 351–370.
36
De Houwer A. (2011). Language input environments and language development in bilingual acquisition. Appl. Linguist. Rev.2, 221–240. doi: 10.1515/9783110239331.221
37
De Mauro T. Mancini F. Vedovelli M. Voghera M. (1993). Lessico di frequenza dell'italiano parlato. Milano: Etaslibri.
38
Deutsch A. Bentin S. (2001). Syntactic and semantic factors in processing gender agreement in Hebrew: evidence from ERPs and eye movements. J. Mem. Lang.45, 200–224. doi: 10.1006/jmla.2000.2768
39
Di Pisa G. (2023). Grammatical gender and Markedness in the nominal domain: evidence from heritage bilingualism. [Doctoral dissertation]. Konstanz: Konstanz University.
40
Di Pisa G. Kubota M. Rothman J. Marinis T. (2022). Effects of markedness in gender processing in Italian as a heritage language: a speed-accuracy tradeoff. Front. Psychol.13:965885. doi: 10.3389/fpsyg.2022.965885
41
Di Pisa G. Marinis T. (2022). Gender assignment and agreement in the oral production of heritage speakers of Italian living in Germany. Lingue e Linguaggio21, 99–120.
42
Dillon B. Mischler A. Sloggett S. Phillips C. (2013). Contrasting intrusion profiles for agreement and anaphora: experimental and modeling evidence. J. Mem. Lang.69, 85–103. doi: 10.1016/j.jml.2013.04.003
43
Durrell M. (2011). Hammer’s German grammar and usage. London: Routledge.
44
Fenyvesi A. (2000). “The affectedness of the verbal complex in American Hungarian” in Language contact and the verbal complex of Dutch and Hungarian: Working papers from the 1st bilingual language use theme meeting of the study Centre on language contact. eds. FenyvesiA.SándorK. (Szeged: JGyTF Press), 94–107.
45
Forchheimer P. (1953). The category of person in language. Berlin: Walter de Gruyter & Co.
46
Giancaspro D. (2017). Heritage Speakers’ production and comprehension of lexically-and contextually-selected subjunctive mood morphology. [Doctoral dissertation]. New Brunswick: Rutgers, The State University of New Jersey.
47
Goldin M. Otero J. C. L. Hur E. (2023). How frequent are these verbs?: an exploration of lexical frequency in bilingual children’s acquisition of subject-verb agreement morphology. Isogloss Open J. Roman. Linguist.9, 1–25. doi: 10.5565/rev/isogloss.194
48
Guasti M. T. (1993/1994). Verb syntax in Italian child grammar: finite and nonfinite verbs. Lang. Acquis.3, 1–40. doi: 10.1207/s15327817la0301_1
49
Guasti M.T. (2002). Language acquisition. The growth of grammar. Cambridge: MIT Press.
50
Hanson R. Harley H. Ritter E. (2000). “Underspecification and universal defaults for person and number features” in Actes de l’ACL/CLA conference proceedings eds. JensenJ. T.van HerkG. (Ottawa: Cahiers Linguistiques d’Ottawa), 111–122.
51
Harley H. Ritter E. (2002). Person and number in pronouns: a feature-geometric analysis. Language78, 482–526. doi: 10.1353/lan.2002.0158
52
Harris J. (1995). The morphology of Spanish clitics. eds. CamposH.KempchinskyP.Evol. Revolut. Linguist. Theory, Washington: Georgetown University Press. 168–197.
53
Jaeger T. F. (2008). Categorical data analysis: away from ANOVAs (transformation or not) and towards logit mixed models. J. Mem. Lang.59, 434–446. doi: 10.1016/j.jml.2007.11.007
54
Jakobson R. (1971). “Shifters, verbal categories, and the Russian verb” in Selected writings: word and language. ed. JakobsonR., vol. 2 (The Hague: Mouton), 130–147.
55
Jegerski J. Keating G. D. (2023). Using self-paced reading in research with heritage speakers: a role for reading skill in the online processing of Spanish verb argument specifications. Front. Psychol.14:1056561. doi: 10.3389/fpsyg.2023.1056561
56
Kaan E. (2002). Investigating the effects of distance and number interference in processing subject-verb dependencies: an ERP study. J. Psycholinguist. Res.31, 165–193. doi: 10.1023/A:1014978917769
57
Keating G. D. (2022). The effect of age of onset of bilingualism on gender agreement processing in Spanish as a heritage language. Lang. Learn.72, 1170–1208. doi: 10.1111/lang.12510
58
Keating G. D. Jegerski J. (2015). Experimental designs in sentence processing research: a methodological review and user’s guide. Stud. Second. Lang. Acquis.37, 1–32. doi: 10.1017/S0272263114000187
59
Kunkel-Razum K. Münzberg F. Gallmann P. Nübling D. Barz I. Fabricius-Hansen C. et al . (2009). Duden-Die Grammatik. Mannheim: Dudenverlag.
60
Kupisch T. Akpınar D. Stöhr A. (2013). Gender assignment and gender agreement in adult bilinguals and second language learners of French. Linguist. Appr. Bilingualism3, 150–179. doi: 10.1075/lab.3.2.02kup
61
Kupisch T. Rothman J. (2018). Terminology matters! Why difference is not incomplete-ness and how early child bilinguals are heritage speakers. Int. J. Biling.22, 564–582. doi: 10.1177/1367006916654355
62
Kutas M. Van Petten C. K. Kluender R. (2006). “Psycholinguistics electrified II (1994–2005)” in Handbook of psycholinguistics. eds. TraxlerM. J.GernsbacherM. A. (London: Academic Press), 659–724.
63
Lenth R. V. (2022). emmeans: estimated marginal means, aka least-squares means. R package version 1.7.5. Available at: https://CRAN.R-project.org/package=emmeans
64
Lloyd-Smith A. Bayram F. Iverson M. (2020). The effects of heritage language experience on lexical and morphosyntactic outcomes. Stud. Turkish Herit. Lang.60:63. doi: 10.1075/sibil.60.04llo
65
Lloyd-Smith A. Einfeldt M. Kupisch T. (2019). Italian-German bilinguals: the effects of heritage language use on accent in early-acquired languages. Int. J. Biling.24, 289–304. doi: 10.1177/1367006919826867
66
López Prego B. (2015). The online use of markedness information in L1 and L2 Spanish gender agreement. (Unpublished doctoral dissertation, Konstanz University).
67
Luque A. Rossi E. Kubota M. Nakamura M. Rosales C. López-Rojas C. et al . (2023). Morphological transparency and markedness matter in heritage speaker gender processing: an EEG study. Front. Psychol.14:1114464. doi: 10.3389/fpsyg.2023.1114464
68
Mancini S. Massol S. Duñabeitia J. A. Carreiras M. Molinaro N. (2019). Agreement and illusion of disagreement: an ERP study on Basque. Cortex116, 154–167. doi: 10.1016/j.cortex.2018.08.036
69
Marsden E. Thompson S. Plonsky L. (2018). A methodological synthesis of self-paced reading in second language research. Appl. Psycholinguist.39, 861–904. doi: 10.1017/S0142716418000036
70
McCarthy C. (2008). Morphological variability in the comprehension of agreement: an argument for representation over computation. Second. Lang. Res.24, 459–486. doi: 10.1177/0267658308095737
71
McCarthy C. (2012). Modeling morphological variation and development. Linguist. Approach. Bilingualism2, 25–53. doi: 10.1075/lab.2.1.02mcc
72
McGinnis M. (2005). On markedness asymmetries in person and number. Language81, 699–718. doi: 10.1353/lan.2005.0141
73
Montrul S. (2008). Incomplete acquisition in bilingualism: re-examining the age factor. 39. Amsterdam: John Benjamins Publishing Company.
74
Montrul S. (2009). Knowledge of tense-aspect and mood in Spanish heritage speakers. Int. J. Biling.13, 239–269. doi: 10.1177/1367006909339816
75
Montrul S. A. Bhatt R. M. Bhatia A. (2012). Erosion of case and agreement in Hindi heritage speakers. Linguist. Approach. Bilingualism2, 141–176. doi: 10.1075/lab.2.2.02mon
76
Neville H. J. Mills D. L. Lawson D. S. (1992). Fractionating language: different neural subsystems with different sensitive periods. Cereb. Cortex2, 244–258. doi: 10.1093/cercor/2.3.244
77
Nevins A. (2007). The representation of third person and its consequences for person-case effects. Nat. Lang. Linguist. Theory25, 273–313. doi: 10.1007/s11049-006-9017-2
78
Nevins A. (2011). Multiple agree with clitics: person complementarity vs. omnivorous number. Nat. Lang. Linguist. Theory29, 939–971. doi: 10.1007/s11049-011-9150-4
79
Nevins A. Dillon B. Malhotra S. Phillips C. (2007). The role of feature-number and feature-type in processing Hindi verb agreement violations. Brain Res.1164, 81–94. doi: 10.1016/j.brainres.2007.05.058
80
Paradis J. (2023). Sources of individual differences in the dual language development of heritage bilinguals. J. Child Lang.50, 793–817. doi: 10.1017/S0305000922000708
81
Pereira Soares S. M. (2022). Examining effects of early (heritage) bilingualism for later multilingual acquisition and neurocognition. (Unpublished doctoral dissertation, Konstanz University).
82
Pizzuto E. Caselli M. C. (1992). The acquisition of Italian morphology: implications for models of language development. J. Child Lang.19, 491–557. doi: 10.1017/S0305000900011557
83
Polinsky M. (2006). Incomplete acquisition: American Russian. J. Slavic Linguist.14, 191–262.
84
Polinsky M. (2018). Heritage languages and their speakers (159). Cambridge: Cambridge University Press.
85
R Core Team (2016). R: a language and environment for statistical computing. R Foundation for Statistical Computing: Vienna, Austria.
86
Rodríguez E. Reglero L. (2015). Heritage and L2 processing of person and number features: evidence from Spanish subject-verb agreement. EuroAm. J. Appl. Linguist. Lang.2, 11–30. doi: 10.21283/2376905X.3.46
87
Rothman J. (2007). Heritage speaker competence differences, language change, and input type: inflected infinitives in heritage Brazilian Portuguese. Int. J. Biling.11, 359–389. doi: 10.1177/13670069070110040201
88
Rothman J. Bayram F. DeLuca V. Di Pisa G. Dunabeitia J. A. Gharibi K. et al . (2023). Monolingual comparative normativity in bilingualism research is out of “control”: arguments and alternatives. Appl. Psycholinguist.44, 316–329. doi: 10.1017/S0142716422000315
89
Rothman J. Treffers-Daller J. (2014). A prolegomenon to the construct of the native speaker: heritage speaker bilinguals are natives too!Appl. Linguis.35, 93–98. doi: 10.1093/applin/amt049
90
Sagarra N. Rodriguez N. (2022). Subject–verb number agreement in bilingual processing: (lack of) age of acquisition and proficiency effects. Languages7:15. doi: 10.3390/languages7010015
91
Schwarze C. (2009). Grammatica della lingua italiana. Roma: Carocci.
92
Silva-Pereyra J. F. Carreiras M. (2007). An ERP study of agreement features in Spanish. Brain Res.1185, 201–211. doi: 10.1016/j.brainres.2007.09.029
93
Silverstein M. (1985). Hierarchy of features and ergativity. In MuyskenP.RiemsdijkH.van (Eds.), Features and projections (pp. 163–232). Dordrecht: Foris.
94
Singmann H. Bolker B. Westfall J. Aust F. Ben-Shachar M. S. (2022). afex: analysis of factorial experiments. R package version 1.1-1. Available at: https://CRAN.R-project.org/package=afex
95
Unsworth S. (2016). Early child L2 acquisition: age or input effects? Neither, or both?J. Child Lang.43, 608–634. doi: 10.1017/S030500091500080X
96
Vasishth S. Nicenboim B. (2016). Statistical methods for linguistic research: foundational ideas–part I. Lang. Linguist. Compass10, 349–369. doi: 10.1111/lnc3.12201
97
Wagers M. McElree B. (2011). Memory for linguistic features and the focus of attention: evidence for the dynamics of agreement. (Unpublished doctoral dissertation, University of California Santa Cruz and New York University).
98
Wagers M. W. Phillips C. (2014). Going the distance: memory and control processes in active dependency construction. Q. J. Exp. Psychol.67, 1274–1304. doi: 10.1080/17470218.2013.858363
99
Wickham H. (2016). ggplot2: elegant graphics for data analysis. New York: Springer.
100
Wiese H. Alexiadou A. Allen S. Bunk O. Gagarina N. Iefremenko K. et al . (2022). Heritage speakers as part of the native language continuum. Front. Psychol.12:717973. doi: 10.3389/fpsyg.2021.717973
Summary
Keywords
heritage bilingualism, subject-verb agreement, markedness, grammatical processing, Italian
Citation
Di Pisa G, Pereira Soares SM, Rothman J and Marinis T (2024) Being a heritage speaker matters: the role of markedness in subject-verb person agreement in Italian. Front. Psychol. 15:1321614. doi: 10.3389/fpsyg.2024.1321614
Received
14 October 2023
Accepted
04 March 2024
Published
14 March 2024
Volume
15 - 2024
Edited by
Andriy Myachykov, Northumbria University, United Kingdom
Reviewed by
Lourdes Martinez Nieto, A.T. Still University, United States
Liliana Sanchez, University of Illinois Chicago, United States
Updates
Copyright
© 2024 Di Pisa, Pereira Soares, Rothman and Marinis.
This is an open-access article distributed under the terms of the Creative Commons Attribution License (CC BY). The use, distribution or reproduction in other forums is permitted, provided the original author(s) and the copyright owner(s) are credited and that the original publication in this journal is cited, in accordance with accepted academic practice. No use, distribution or reproduction is permitted which does not comply with these terms.
*Correspondence: Grazia Di Pisa, grazia.di-pisa@uni-konstanz.deSergio Miguel Pereira Soares, Sergio-Miguel.Pereira-Soares@mpi.nl
Disclaimer
All claims expressed in this article are solely those of the authors and do not necessarily represent those of their affiliated organizations, or those of the publisher, the editors and the reviewers. Any product that may be evaluated in this article or claim that may be made by its manufacturer is not guaranteed or endorsed by the publisher.