Abstract
Introduction:
The outbreak of the COVID-19 pandemic has disrupted people’s routine, bringing uncertainty and stress, leading to mental health issues. This situation is particularly acute among Chinese prospective graduates in higher education stage as they cannot predict the outcomes of their studies, graduation, and career development, and therefore experience career-related stress.
Methods:
This study included 4041 prospective graduates in higher education stage (using handy sampling) recruited in March 2020 as participants (MAge = 22.56, SD = 1.865), utilizing a Sparse Gaussian Graphical Model for regularized partial correlation network analysis of depression symptoms (by PHQ-9), anxiety symptoms (by GAD-7), and career-related stress, which aims to explore the role of career-related stress in the symptom networks of depression and anxiety among prospective graduates in their final semester.
Results:
The results revealed that fatigue, sad mood, and psychomotor symptoms in depression, as well as uncontrollable worry and trouble relaxing in anxiety, were central symptoms in the network. Additionally, sad mood and guilt belonging to depressive symptoms, and feeling afraid, restlessness, and irritability belonging to anxiety symptoms, served as bridge symptoms connecting symptom communities. Specifically, guilt as a depressive symptom showed a strong association with employment stress in career-related stress. There were no significant differences in network structure and global strength based on participants’ gender. However, despite no significant differences in network structure, the global strength of prospective graduates from Wuhan was significantly lower than samples from non-Hubei provinces, possibly indicative of a Typhoon Eye Effect.
Discussion:
The findings of this study can inspire psychological professionals in higher education institutions to provide support for mental interventions and therapies for prospective graduates, and addressing career development issues.
Introduction
The outbreak of the COVID-19 pandemic had a huge impact on people’s lives. During this period, the countries’ economy (Goodell, 2020) and energy (Jiang et al., 2021; Szczygielski et al., 2022) were affected, companies’ performance suffered (Shen et al., 2020), and individuals’ multiple interpersonal relationships (Morelli et al., 2020; Qu et al., 2021; Chung et al., 2022; Su et al., 2022; Zhu et al., 2022; Afriat et al., 2023; Cheong et al., 2023), mental health status and well-being are also threatened (Crabtree et al., 2021; Stieger et al., 2021; Tan et al., 2021; Negri et al., 2023). Results of a systematic review by Xiong et al. (2020) indicate that during the COVID-19 pandemic, the general population in China, Spain, Italy, Iran, the United States, Turkey, Nepal, and Denmark experienced relatively high proportions of anxiety (6.33% to 50.9%), depression (14.6% to 48.3%)), post-traumatic stress disorder (7% to 53.8%), psychological distress (34.43% to 38%), and stress (8.1% to 81.9%). According to the classification of State Council Information Office of the People’s Republic of China (2020), the COVID-19 pandemic in China can be divided into five stages, which successively represent the state of sudden outbreak, spread, being controlled, interruption and normalization of the epidemic in China. As a significant public health issue, The COVID-19 pandemic forced national authorities to take various measures to control the spread of the virus during these stages, such as restricting movement (e.g., home isolation, avoiding contact with others, and shifting some work or study tasks online), strengthening medical resources, social distancing, and mandatory quarantines. Admittedly, the spread of the disease and measures to combat its transmission indeed disrupted people’s daily routines, forcing us to adapt, such as engaging in online work or study (Gutentag and Asterhan, 2022; Yang et al., 2022), online interpersonal interactions (Carballea and Rivera, 2020; Li et al., 2022; Friemel and Geber, 2023), the postponement, or even cancellation of some important plans (Toyoda et al., 2021; Zilber et al., 2023). For students, they faced threats to their study, life, health and other aspects. Research by Wu et al. (2022) identified important topics affecting students in the pandemic, including emotional reactions, influence on learning, the influence on daily life, positive responses to the COVID-19 pandemic, and China’s moves. Archibald et al. (2023) also found that physical health, emotional well-being, or ability to afford food were important stressors for students. These processes of adaptation and coping such difficulties present opportunities (Zhang et al., 2023), but also force individuals to face challenges, especially when they occur at certain stages in life.
For college students, the last semester of college is a significant period of life transition (Zou et al., 2018). In this stage, barring unforeseen circumstances, the majority of them would conclude their student identity and prepare for their career development (Chen et al., 2013). Therefore, they face career-related stress events such as completing the required credit courses within the limited time, finishing the content of the thesis or graduation project, and selecting their career path and securing relevant job positions. However, due to the COVID-19 pandemic, the Ministry of Education of the People’s Republic of China (2020) issued a notice, prohibiting graduates from returning to campus to complete their studies. This introduces uncertainty to their graduation and short-term career development, as they cannot go through their last semester of college as usual. Uncertainty refers to a state where the outcome or probability distribution of outcomes is unpredictable (Schweizer et al., 2023). For these prospective university graduates, the outward manifestation highlighted in the uncertainty brought by the COVID-19 pandemic is career-related stress and impact. Previous research has provided ample evidence for the relationship between uncertainty and mental health issues (Junca-Silva and Silva, 2022; Massazza et al., 2023; Schweizer et al., 2023). However, after we searched the web of science using “network analysis”, “mental health” and “career related stress” as keywords, we found that there were no researches exploring the position of these career-related stress and impacts in the symptom networks of depression and anxiety. Therefore, this study used regularized partial correlation network analysis to explore the relationship between career-related stress and symptoms of depression and anxiety among prospective graduates who cannot return to campus due to COVID-19 in their last semester of college life.
Career-related stress and mental health
College students are recognized as one of the groups significantly affected by stress, and they will face numerous potential sources of stress (Darling et al., 2007), such as economic, family, interpersonal relationships, academic, and career development. Among these, career-related concerns are one of the common topics for psychological counseling among college students (Benton et al., 2003). Career-related stress refers to the negative emotions individuals experience when encountering adverse experiences in setting and pursuing career goals (Creed et al., 2016). Undeniably, the outbreak of the COVID-19 pandemic has indeed impacted people’s career development, career commitment, and career regrets (Huo, 2021). For prospective graduates, the outbreak of the pandemic has disrupted their usual routines in the field of career development, forcing them to endure career-related stress (Peng Y. et al., 2023). In particular, a study by Peng Y. et al. (2023) found that about 13.2% of participants felt depressed, and 53.3% of them believed that the current employment situation is grim.
Stress is one of the crucial predictive factors for people’s mental health (Guntzviller et al., 2020). Zhang et al. (2021) noted in their study that the COVID-19 pandemic has brought a considerable level of stress to Chinese university students, accompanied by emotional and somatic responses, and the level of stress also varied at different time periods. Zhou et al. (2022) highlighted in their work that uncertainty is a crucial factor in the career stress of prospective university graduates, which is because COVID-19 can impact the economy and employment situation, hindering their transition from school to the workplace and causing difficulties in determining their employment prospects and career opportunities. During the COVID-19 pandemic, numerous studies have discussed the association between college students’ career stress and their mental health. For instance, research by Okado et al. (2023) found that participants reported increased concerns about academic and employment issues, and concurrently, they also reported a significant elevation in depression, anxiety, perceived stress, and somatic symptoms. Additionally, the validated chain mediation model in Zhou et al. (2022) suggests that tolerance for uncertainty can positively predict fear of COVID-19, and this fear, in turn, can positively predict depression, subsequently predicting future career anxiety. Lv et al. (2023) also found in their study that the impact of the COVID-19 pandemic on career planning positively predicted anxiety symptoms.
Psychometric network
In recent years, network analysis has been widely used in the field of psychopathology research (Contreras et al., 2019). In traditional views, researchers in psychopathology considered mental disorders as combinations of symptoms or latent categories or dimensions constituted by symptoms (Borsboom, 2008). However, Borsboom (2008) pointed out that existing mental disorders might be a causal system constituted by symptoms. In other words, the correlations among symptoms within a disorder are not incidental and are greater than the correlations between symptoms of different disorders. Network analysis is a powerful tool used to reveal this system because it can demonstrate the interactions among symptoms (Beard et al., 2016). Networks typically consist of two essential components: nodes and edges. Nodes, visualized as circles within the network, represent variables existing in the network (e.g., symptoms of a particular mental disorder); edges, visualized as lines with varying thickness or color connecting nodes, represent relationships between variables in the network (e.g., correlations or partial correlations) (Borsboom and Cramer, 2013). Through network analysis, researchers can identify central and bridge symptoms of specific mental disorders (Bai et al., 2022). Central symptoms are those with strong connections to surrounding nodes, while bridge symptoms are those positioned between multiple symptoms of mental disorders, with a higher risk of extending one disorder to others (Cramer et al., 2010b). These symptoms play a crucial role in the treatment and prevention of comorbidities in mental disorders.
Due to COVID-19 being a global significant public health event with crucial implications for research in psychopathology and mental health, previous studies have utilized network analysis to discuss the network structures of various mental disorders during the pandemic. A study by Fico et al. (2023) on a Spanish population, anxiety and depression exhibited higher centrality in COVID-19 patients, with anxiety having the highest bridge expected influence in the network. Moreover, there were no statistically significant differences in such network results between participants with or without any history of mental disorders and those who had or hadn’t been hospitalized. Peng P. et al. (2023) found in their study on Chinese COVID-19 survivors that the most prominent symptoms included uncontrollable and excessive worry, psychomotor symptoms, intrusion, and daytime dysfunction. Additionally, daytime dysfunction and fatigue were identified as bridge symptoms in the mental disorder network and exhibited a strong association with quality of life. It is worth mentioning that Ventura-León et al. (2022)’s study found that depressive symptoms were considered the central and bridging elements in the network, interrelated with some symptoms of stress and anxiety. Specifically, sad mood in depressive symptoms, nervousness in anxiety symptoms, and the item “you felt difficulties were piling up so high that you could not overcome them” in perceived stress were each identified as central nodes, while sad mood and concentration in depressive symptoms were bridge symptoms connecting different symptom communities. However, there were no studies discussing the specific associations between career-related stress and the symptoms of depression and anxiety, as well as its position in the symptom network.
Current study
The aim of this study is to explore the relationship between career-related stress and mental health among prospective graduates in Chinese higher education during the COVID-19 pandemic. To this end, we utilized cross-sectional data collected from a sample of prospective graduates in higher education in March 2020 (typically the early phase of the spring semester in 2020). A Sparse Gaussian Graphical model was used to conduct regularized partial correlation network analysis of depressive symptoms, anxiety symptoms, and career-related stress, with the goal of identifying central and bridge symptoms within the network. Additionally, we sought to explore the prominence of career-related stress highlighted by the pandemic within the symptom network, as well as its direct and indirect connections to depressive and anxiety symptoms. The exploration of psychometric network provides support for identifying key factors related to college students’ mental health and protecting their well-being in response to similar public health events.
Methods
Participants and data collection
The sample for this study came from an online survey conducted on prospective graduates in Chinese higher education stage in the year 2020. The data collection period was from March 11 to March 20, 2020. At this point, all higher education institutions in China had not officially resumed classes, and students were not allowed to return to campus, because of the notification issued by the Ministry of Education of the People’s Republic of China (2020). All questionnaires were distributed through the Wenjuanxing1 on various online social media platforms, including WeChat, QQ, and Sina microblog. Participants answered the questionnaire on their mobile phones following the instructions provided, and each participant could only fill out the questionnaire once. All responses were submitted anonymously. The sample consisted of 4041 prospective college graduates in China (MAge = 22.56, SD = 1.865, ranging from 18 to 52 and containing 235 people who did not report valid age information) with 2109 of them being female. This online survey received ethical approval from the Ethics Committee of Huazhong University of Science and Technology.
Measurements
Depression symptoms
We used the Patient Health Questionnaire-9 items (PHQ-9) developed by Kroenke et al. (2001) as the assessment tool for depression symptoms in the participants (current Cronbach’s α = 0.935, McDonald’s ω = 0.939). PHQ-9 is a single-dimensional 4-point scale (ranging from 0 = not at all to 3 = almost every day), consisting of 9 items (e.g., “Little interest or pleasure in doing things.”). Participants were asked to report the frequency of symptoms described in the items occurring in the past 2 weeks. A higher score on this scale indicates a higher frequency of depressive symptoms exhibited by participants in the recent two weeks.
Anxiety symptoms
The 7-item general anxiety disorder scale (GAD-7) developed by Spitzer et al. (2006) was used to measure the symptoms of anxiety in this study (current Cronbach’s α = 0.955, McDonald’s ω = 0.956). GAD-7 is a single-dimensional scale consisting of 7 items (e.g., “Feeling nervous, anxious or on edge.”). Participants are required to report the frequency of symptoms described in each item on a 4-point scale (ranging from 0 = not at all to 3 = almost every day) occurring in the past 2 weeks. A higher score on this scale indicates a higher frequency of general anxiety symptoms exhibited by participants in the recent two weeks.
Career-related stress
In this study, participants’ career-related stress and the impact caused by the pandemic were assessed using a self-designed questionnaire with 8 items, which was also used in the research by Zhong et al. (2024). The questionnaire, on a 5-point scale, is divided into two dimensions: career-related stress (CRS, current Cronbach’s α = 0.805, McDonald’s ω = 0.805) and career-related impact (CRI, current Cronbach’s α = 0.636, McDonald’s ω = 0.679). CRS consists of 5 items (e.g., “Do you feel pressure in employment?”) involving learning, thesis, employment, life, and entrance exams; CRI includes 3 items (e.g., “Has the epidemic had an impact on your job seeking?”) related to thesis, job seeking, and online recruitment. Participants evaluated the stress and impact they experienced during the delayed school opening on a scale of 1 = no stress to 5 = serious stress and 1 = no impact to 5 = serious impact, with higher scores indicating greater stress and more severe impact.
Demographical information
We collected participants’ gender (1 = male, 2 = female), age, health status (1 = Health; 2 = Suspected COVID-19 Symptoms; 3 = Confirmed COVID-19 Infection; 4 = Recovery from COVID-19; 5 = Cold Symptom), place of residence (1 = Wuhan City; 2 = Other Parts of Hubei Province; 3 = Other Provinces), and school location (1 = Wuhan City; 2 = Other Parts of Hubei Province; 3 = Other Provinces) as their demographic information.
Statistical analysis
We used IBM SPSS Statistics 26 for data management, descriptive statistical analysis, and correlation analysis. For the regularization partial correlation network analysis and network comparison test, we employed R 4.3.2 and R packages including qgraph (Epskamp et al., 2012), bootnet (Epskamp et al., 2018), networktools (Jones et al., 2021), mgm (Haslbeck and Waldorp, 2020), and NetworkComparisonTest (Van Borkulo et al., 2022). GAD-7, PHQ-9, and the career-related stress questionnaire with a total of 24 items were included as nodes in the analysis. The node naming followed the studies of Garabiles et al. (2019) and Bai et al. (2022). According to the suggestion by Epskamp and Fried (2018), Sparse Graphical Gaussian Models were used for the network analysis in this study. And due to the ordinal nature of item scores, Spearman partial correlation was used, regularized by the least absolute shrinkage and selection operator (lasso; Tibshirani, 1996) to prevent spurious correlations and achieve model sparsity. Extended Bayesian Information Criterion (EBIC; Chen and Chen, 2008) was utilized for model selection, with the hyperparameter γ set to 0.5 following the recommendation of Foygel and Drton (2010).
Besides, we also computed centrality for each node, including strength, betweenness, closeness, and expected influence. Larger values of these indicators signify greater importance of the corresponding nodes. Additionally, we calculated the bridge expected influence for each node to represent the risk of spreading from one community to others (Jones et al., 2021). Nodes with Bridge expected influence values in the top 20% were selected as bridge symptoms (Jones et al., 2021). Predictability was also computed to indicate the degree of association between each node and its neighboring nodes.
The stability and accuracy of the network model will be evaluated through non-parametric bootstrap and case-dropping bootstrap (both with 5000 bootstrap samples). Using non-parametric bootstrap, we calculated the 95% confidence interval for each edge to ensure that they are significantly different from others. Bootstrap difference tests for expected influence of each node were also conducted to ensure the uniqueness of nodes. The stability of centrality was assessed through case-dropping bootstrap, calculating the correlation stability coefficient (CS) for each centrality coefficient (including strength, betweenness, closeness, expected influence, bridge strength, and bridge expected influence). Following the recommendation of Epskamp and Fried (2018), achieving a CS of 0.5 is considered ideal with at least 0.25 being acceptable, ensuring at least a 0.7 correlation with the original coefficients at a 95% probability.
Considering the influence of gender and the location of the epidemic, we conducted significance tests (permutations = 1,000) to compare networks composed of samples with different genders and different places of residence. Since we have no a priori hypotheses, specific edge difference tests will not be included in this study.
Results
Preliminary analysis
The demographic characteristics of the sample are shown in Table 1 and Supplementary Table 1. We calculated the mean, standard deviation, and correlations between depression, anxiety symptoms, and career-related stress, as presented in Table 2.
TABLE 1
| n | % | |
| Gender | ||
| Male | 1932 | 47.81 |
| Female | 2019 | 49.96 |
| Health Status | ||
| Health | 4019 | 99.46 |
| Suspected COVID-19 Symptoms | 1 | 0.02 |
| Confirmed COVID-19 Infection | 1 | 0.02 |
| Recovery from COVID-19 | 2 | 0.05 |
| Cold Symptom | 18 | 0.45 |
| Place of Residence | ||
| Wuhan City | 108 | 2.67 |
| Other Parts of Hubei Province | 353 | 8.74 |
| Other Provinces | 3580 | 88.59 |
| School Location | ||
| Wuhan City | 1130 | 27.96 |
| Other Parts of Hubei Province | 152 | 3.76 |
| Other Provinces | 2759 | 68.28 |
Demographic information (N = 4041).
TABLE 2
| GAD | PHQ | CRS | CRI | |
| GAD | – | |||
| PHQ | 0.822 | – | ||
| CRS | 0.363 | 0.361 | – | |
| CRI | 0.425 | 0.425 | 0.429 | – |
| M | 0.924 | 0.811 | 3.068 | 3.179 |
| SD | 0.879 | 0.769 | 0.955 | 0.941 |
| Range | 0∼3 | 0∼3 | 1∼5 | 1∼5 |
Descriptive statistics and correlation matrices.
GAD, 7-Item General Anxiety Disorder Scale; PHQ, Patient Health Questionnaire-9 items; CRS, career-related stress; CRI, career-related impact. All correlation coefficients are significant at the α = 0.001.
Network structure
The regularized partial correlation network comprises 24 nodes, with 160 non-zero edges, accounting for 57.97% of the total 276 edges. The average weight of edges is .039. The ten strongest edges are mainly distributed within various symptom communities, including 3 for depression symptoms, 3 for anxiety symptoms, 3 for career-related stress, and 1 for career-related impact. The edges with the highest weights are CRS1 (stress of studies) and CRS2 (stress of graduation thesis), followed by CRI2 (impact on job search and employment) and CRI3 (remote recruitment on employment). Subsequently, in decreasing order, there are CRS3 (stress of job) and CRS4 (stress of life); GAD1 (nervousness) and GAD2 (uncontrollable worry); GAD3 (excessive worry) and GAD4 (trouble relaxing); PHQ3 (sleep) and PHQ4 (fatigue); PHQ1 (anhedonia) and PHQ4 (fatigue); CRS3 (stress of job) and CRI2 (impact on job search and employment); GAD5 (restlessness) and GAD7 (feeling afraid); PHQ7 (concentration) and PHQ8 (motor). The regularized partial correlation coefficients are presented in Table 3, and the network structure is visualized in Figure 1. Predictability ranges from 79.1% to 23.4%, with an average predictability of 60.8%, indicating that, on average, 60.8% of the variance in each node can be explained by its surrounding nodes. The highest predictability is observed in anxiety symptoms, in descending order: GAD2 (uncontrollable worry), GAD4 (trouble relaxing), and GAD3 (excessive worry); the lowest predictability occurs in career-related stress and impact, as well as depression symptoms, in ascending order: CRS5 (stress of postgraduate entrance examination), CRI1 (Impact on graduation thesis), and PHQ9 (suicidal ideation). The predictability of other nodes is detailed in Table 3.
TABLE 3
| GAD 1 |
GAD 2 |
GAD 3 |
GAD 4 |
GAD 5 |
GAD 6 |
GAD 7 |
PHQ 1 |
PHQ 2 |
PHQ 3 |
PHQ 4 |
PHQ 5 |
PHQ 6 |
PHQ 7 |
PHQ 8 |
PHQ 9 |
CRS 1 |
CRS 2 |
CRS 3 |
CRS 4 |
CRS 5 |
CRI 1 |
CRI 2 |
CRI 3 |
|
| GAD1 | 0.000 | 0.335 | 0.230 | 0.102 | 0.000 | 0.137 | 0.001 | 0.042 | 0.073 | 0.000 | 0.001 | 0.000 | 0.000 | 0.000 | 0.000 | −0.019 | 0.000 | 0.042 | 0.000 | 0.000 | −0.036 | 0.033 | 0.000 | 0.000 |
| GAD2 | 0.335 | 0.000 | 0.197 | 0.181 | 0.085 | 0.040 | 0.096 | 0.000 | 0.070 | 0.004 | 0.000 | 0.001 | 0.015 | 0.002 | 0.000 | 0.000 | 0.000 | 0.001 | 0.000 | 0.000 | 0.000 | 0.052 | 0.000 | 0.000 |
| GAD3 | 0.230 | 0.197 | 0.000 | 0.319 | 0.000 | 0.091 | 0.060 | 0.000 | 0.012 | 0.008 | 0.036 | 0.000 | 0.049 | 0.000 | 0.000 | −0.019 | 0.012 | 0.000 | 0.000 | 0.000 | 0.000 | 0.000 | 0.036 | 0.000 |
| GAD4 | 0.102 | 0.181 | 0.319 | 0.000 | 0.119 | 0.147 | 0.051 | 0.000 | 0.058 | 0.045 | 0.026 | 0.000 | 0.000 | 0.006 | 0.000 | 0.000 | 0.014 | 0.006 | 0.000 | 0.000 | 0.000 | 0.006 | 0.000 | 0.000 |
| GAD5 | 0.000 | 0.085 | 0.000 | 0.119 | 0.000 | 0.196 | 0.260 | 0.000 | 0.005 | 0.009 | 0.000 | 0.055 | 0.000 | 0.031 | 0.169 | 0.017 | 0.015 | 0.000 | −0.023 | 0.017 | 0.000 | 0.034 | 0.000 | 0.000 |
| GAD6 | 0.137 | 0.040 | 0.091 | 0.147 | 0.196 | 0.000 | 0.100 | 0.021 | 0.129 | 0.046 | 0.039 | 0.000 | 0.061 | 0.032 | 0.000 | 0.000 | 0.004 | 0.003 | 0.000 | 0.000 | −0.009 | 0.003 | 0.000 | 0.000 |
| GAD7 | 0.001 | 0.096 | 0.060 | 0.051 | 0.260 | 0.100 | 0.000 | 0.000 | 0.071 | 0.014 | 0.003 | 0.000 | 0.069 | 0.000 | 0.072 | 0.095 | 0.000 | 0.000 | 0.000 | 0.024 | 0.000 | 0.010 | 0.007 | 0.008 |
| PHQ1 | 0.042 | 0.000 | 0.000 | 0.000 | 0.000 | 0.021 | 0.000 | 0.000 | 0.162 | 0.012 | 0.298 | 0.028 | 0.058 | 0.176 | 0.000 | 0.000 | 0.000 | 0.020 | −0.020 | 0.000 | 0.000 | 0.057 | 0.000 | 0.000 |
| PHQ2 | 0.073 | 0.070 | 0.012 | 0.058 | 0.005 | 0.129 | 0.071 | 0.162 | 0.000 | 0.068 | 0.105 | 0.029 | 0.169 | 0.049 | 0.062 | 0.023 | 0.000 | 0.000 | 0.000 | 0.010 | 0.000 | 0.000 | 0.014 | 0.000 |
| PHQ3 | 0.000 | 0.004 | 0.008 | 0.045 | 0.009 | 0.046 | 0.014 | 0.012 | 0.068 | 0.000 | 0.309 | 0.192 | 0.030 | 0.046 | 0.029 | 0.000 | 0.000 | 0.000 | 0.000 | 0.000 | −0.010 | 0.000 | 0.000 | 0.000 |
| PHQ4 | 0.001 | 0.000 | 0.036 | 0.026 | 0.000 | 0.039 | 0.003 | 0.298 | 0.105 | 0.309 | 0.000 | 0.135 | 0.064 | 0.098 | 0.014 | 0.000 | 0.013 | 0.000 | 0.000 | 0.000 | −0.002 | 0.000 | 0.000 | 0.000 |
| PHQ5 | 0.000 | 0.001 | 0.000 | 0.000 | 0.055 | 0.000 | 0.000 | 0.028 | 0.029 | 0.192 | 0.135 | 0.000 | 0.074 | 0.080 | 0.135 | 0.104 | 0.000 | 0.000 | −0.012 | 0.017 | 0.000 | 0.000 | 0.000 | 0.015 |
| PHQ6 | 0.000 | 0.015 | 0.049 | 0.000 | 0.000 | 0.061 | 0.069 | 0.058 | 0.169 | 0.030 | 0.064 | 0.074 | 0.000 | 0.130 | 0.096 | 0.082 | 0.007 | 0.000 | 0.093 | 0.013 | 0.000 | 0.000 | 0.035 | 0.000 |
| PHQ7 | 0.000 | 0.002 | 0.000 | 0.006 | 0.031 | 0.032 | 0.000 | 0.176 | 0.049 | 0.046 | 0.098 | 0.080 | 0.130 | 0.000 | 0.244 | 0.000 | 0.003 | 0.014 | −0.006 | 0.000 | 0.000 | 0.016 | 0.000 | 0.000 |
| PHQ8 | 0.000 | 0.000 | 0.000 | 0.000 | 0.169 | 0.000 | 0.072 | 0.000 | 0.062 | 0.029 | 0.014 | 0.135 | 0.096 | 0.244 | 0.000 | 0.196 | 0.000 | 0.000 | −0.017 | 0.038 | 0.010 | 0.000 | 0.000 | 0.037 |
| PHQ9 | −0.019 | 0.000 | −0.019 | 0.000 | 0.017 | 0.000 | 0.095 | 0.000 | 0.023 | 0.000 | 0.000 | 0.104 | 0.082 | 0.000 | 0.196 | 0.000 | 0.000 | −0.051 | −0.020 | 0.025 | 0.032 | 0.018 | 0.000 | 0.034 |
| CRS1 | 0.000 | 0.000 | 0.012 | 0.014 | 0.015 | 0.004 | 0.000 | 0.000 | 0.000 | 0.000 | 0.013 | 0.000 | 0.007 | 0.003 | 0.000 | 0.000 | 0.000 | 0.496 | 0.058 | 0.227 | 0.157 | 0.000 | −0.008 | −0.010 |
| CRS2 | 0.042 | 0.001 | 0.000 | 0.006 | 0.000 | 0.003 | 0.000 | 0.020 | 0.000 | 0.000 | 0.000 | 0.000 | 0.000 | 0.014 | 0.000 | −0.051 | 0.496 | 0.000 | 0.155 | 0.058 | 0.000 | 0.223 | −0.041 | −0.009 |
| CRS3 | 0.000 | 0.000 | 0.000 | 0.000 | −0.023 | 0.000 | 0.000 | −0.020 | 0.000 | 0.000 | 0.000 | −0.012 | 0.093 | −0.006 | −0.017 | −0.020 | 0.058 | 0.155 | 0.000 | 0.389 | 0.015 | −0.139 | 0.282 | 0.066 |
| CRS4 | 0.000 | 0.000 | 0.000 | 0.000 | 0.017 | 0.000 | 0.024 | 0.000 | 0.010 | 0.000 | 0.000 | 0.017 | 0.013 | 0.000 | 0.038 | 0.025 | 0.227 | 0.058 | 0.389 | 0.000 | 0.190 | 0.000 | 0.000 | 0.032 |
| CRS5 | −0.036 | 0.000 | 0.000 | 0.000 | 0.000 | −0.009 | 0.000 | 0.000 | 0.000 | −0.010 | −0.002 | 0.000 | 0.000 | 0.000 | 0.010 | 0.032 | 0.157 | 0.000 | 0.015 | 0.190 | 0.000 | 0.000 | 0.000 | 0.070 |
| CRI1 | 0.033 | 0.052 | 0.000 | 0.006 | 0.034 | 0.003 | 0.010 | 0.057 | 0.000 | 0.000 | 0.000 | 0.000 | 0.000 | 0.016 | 0.000 | 0.018 | 0.000 | 0.223 | −0.139 | 0.000 | 0.000 | 0.000 | 0.096 | 0.083 |
| CRI2 | 0.000 | 0.000 | 0.036 | 0.000 | 0.000 | 0.000 | 0.007 | 0.000 | 0.014 | 0.000 | 0.000 | 0.000 | 0.035 | 0.000 | 0.000 | 0.000 | −0.008 | −0.041 | 0.282 | 0.000 | 0.000 | 0.096 | 0.000 | 0.472 |
| CRI3 | 0.000 | 0.000 | 0.000 | 0.000 | 0.000 | 0.000 | 0.008 | 0.000 | 0.000 | 0.000 | 0.000 | 0.015 | 0.000 | 0.000 | 0.037 | 0.034 | −0.010 | −0.009 | 0.066 | 0.032 | 0.070 | 0.083 | 0.472 | 0.000 |
| Predictability | 0.761 | 0.791 | 0.778 | 0.781 | 0.721 | 0.756 | 0.692 | 0.625 | 0.746 | 0.611 | 0.725 | 0.572 | 0.660 | 0.637 | 0.672 | 0.384 | 0.582 | 0.569 | 0.551 | 0.542 | 0.234 | 0.268 | 0.495 | 0.431 |
| Strength | 1.050 | 1.080 | 1.068 | 1.081 | 1.035 | 1.058 | 0.393 | 0.894 | 1.11 | 0.820 | 1.143 | 0.876 | 1.045 | 0.933 | 1.118 | 0.736 | 1.052 | 1.121 | 1.295 | 1.039 | 0.531 | 0.772 | 0.992 | 0.836 |
| Closeness (×10–2) | 0.214 | 0.221 | 0.205 | 0.213 | 0.236 | 0.240 | 0.224 | 0.250 | 0.273 | 0.200 | 0.217 | 0.218 | 0.288 | 0.263 | 0.265 | 0.237 | 0.205 | 0.217 | 0.233 | 0.213 | 0.181 | 0.223 | 0.205 | 0.188 |
| Betweenness | 14 | 20 | 10 | 22 | 56 | 30 | 2 | 80 | 82 | 0 | 36 | 10 | 124 | 18 | 72 | 16 | 16 | 40 | 130 | 36 | 0 | 38 | 38 | 0 |
| Expected influence | 0.940 | 1.080 | 1.031 | 1.081 | 0.989 | 1.039 | 0.939 | 0.854 | 1.110 | 0.801 | 1.138 | 0.853 | 1.045 | 0.921 | 1.084 | 0.518 | 0.989 | 0.918 | 0.822 | 1.039 | 0.416 | 0.494 | 0.893 | 0.798 |
| Bridge strength | 0.246 | 0.146 | 0.172 | 0.163 | 0.375 | 0.347 | 0.371 | 0.160 | 0.443 | 0.135 | 0.121 | 0.099 | 0.342 | 0.110 | 0.342 | 0.331 | 0.086 | 0.412 | 0.678 | 0.176 | 0.169 | 0.593 | 0.423 | 0.281 |
| Bridge closeness | 0.040 | 0.041 | 0.038 | 0.040 | 0.045 | 0.046 | 0.044 | 0.045 | 0.056 | 0.036 | 0.039 | 0.040 | 0.059 | 0.049 | 0.049 | 0.043 | 0.040 | 0.042 | 0.046 | 0.042 | 0.035 | 0.047 | 0.044 | 0.040 |
| Bridge betweenness | 4 | 9 | 3 | 8 | 25 | 14 | 1 | 31 | 38 | 0 | 12 | 2 | 72 | 6 | 34 | 0 | 11 | 23 | 74 | 22 | 0 | 20 | 19 | 0 |
| Bridge expected influence (1-step) | 0.136 | 0.146 | 0.134 | 0.163 | 0.330 | 0.329 | 0.371 | 0.120 | 0.443 | 0.116 | 0.116 | 0.076 | 0.342 | 0.098 | 0.308 | 0.112 | 0.050 | 0.209 | 0.205 | 0.176 | 0.055 | 0.314 | 0.325 | 0.243 |
Regularized partial correlation matrix, centrality coefficients, and bridge centrality coefficients.
FIGURE 1

Psychometric Network. The ring around a node represents predictability; The thickness of the line represents the strength of the relationship; The color of the line represents the positive and negative of the relationship, with red being negative and blue being positive.
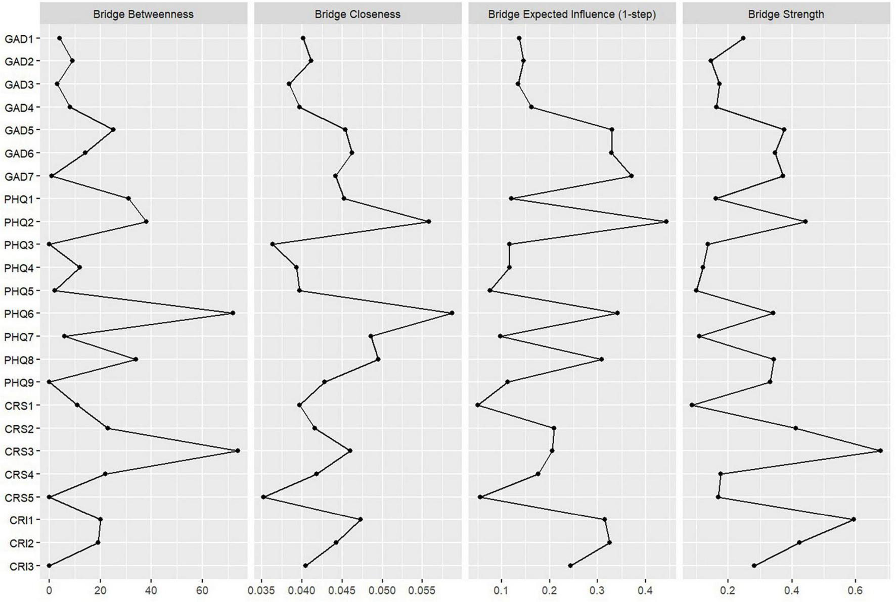
The values of strength, betweenness, closeness, and expected influence for each node are presented in Table 3 and Figure 2. Among them, PHQ4 (fatigue) has the highest expected influence, followed by PHQ2 (sad mood), PHQ8 (motor), GAD4 (trouble relaxing), and GAD2 (uncontrollable worry). This indicates that these symptoms have the greatest impact on variability in the network structure. Additionally, CRS3 (stress of job) stands out with the highest strength, indicating its closest association with surrounding symptoms. Node PHQ6 (guilty) has the highest closeness, signifying its closest proximity to other surrounding symptom nodes. Both CRS3 (stress of job) and PHQ6 (guilty) hold the highest and second-highest betweenness, respectively, indicating that the shortest paths between nodes pass through them the most. Furthermore, PHQ2 (sad mood), GAD7 (feeling afraid), PHQ6 (guilty), GAD5 (restlessness), and GAD6 (irritability) consecutively exhibit the highest bridge expected influence (see Figure 3 and Table 3). Moreover, CRS3 (stress of job) has the highest bridge strength and bridge betweenness, while PHQ6 (guilty) boasts the highest bridge closeness among all nodes and ranks second in bridge betweenness.
FIGURE 2

Centrality of each node.
FIGURE 3

Bridge centrality of each node.
Edges across symptom groups are distributed in the depression-anxiety symptoms group (36 edges), career related stress-depression symptoms group (29 edges), and career related stress-anxiety symptoms group (22 edges). Among them, the top 10 edges with the highest weights are: GAD5 (restlessness)-PHQ8 (motor); GAD6 (irritability)-PHQ2 (sad mood); GAD7 (feeling afraid)-PHQ9 (suicide); PHQ6 (guilty)-CRS3 (stress of job); GAD1 (nervousness)-PHQ2 (sad mood); GAD7 (feeling afraid)-PHQ8 (motor); GAD7 (Feeling afraid)-PHQ2 (Sad Mood); GAD2 (uncontrollable worry)-PHQ2 (sad mood); GAD7 (feeling afraid)-PHQ6 (guilty); GAD6 (irritability)-PHQ6 (guilty).
Network stability
The non-parametric bootstrap results for the edges are all significant, indicating significant differences between edges (see Supplementary Figure 1 and Supplementary Figure 2 in Supplementary materials). The test results for expected influence also significantly indicate differences between nodes (see Supplementary Figure 3). The CS for Strength, betweenness, closeness, expected influence, bridge strength, and bridge expected influence are 0.75, 0.361, 0.594, 0.75, 0.75, and 0.75, respectively. Case-dropping bootstrap for Strength, betweenness, closeness, expected influence can be seen in Supplementary Figure 4, and case-dropping bootstrap for bridge strength and bridge expected influence can be seen in Supplementary Figure 5. These results meet the empirical standards, indicating that removing 75%, 36.1%, 59.4%, 75%, 75%, and 75% of the participants would lead to correlations between the corresponding centrality coefficients and the original coefficients lower than 0.7.
Network comparison
We compared participants of different genders (see Supplementary Figure 6) and different locations (see Supplementary Figure 7) in the symptom network through bootstrap. The results indicate no significant differences between participants of different genders in network structure (M = 0.085, p = 0.612) and global strength (male = 11.874, female = 11.417, S = 0.458, p = 0.196). However, we found a significant difference in global strength between participants living in Wuhan and those in other provinces (living in Wuhan = 10.380, living in other province = 12.200, S = 1.819, p = 0.039), although there is no significant difference in network structure between the two groups (M = 0.201, p = 0.742). At the node level, significant differences in strength were found in GAD5 (Restlessness; C = −0.273, p = 0.018), PHQ9 (Suicide; C = −0.584, p = 0.005), CRS1 (stress of studies; C = −0.324, p = 0.039), with participants living in Wuhan having significantly lower node strength than those living in other provinces. Additionally, significant differences in expected influence were found in PHQ9 (Suicide; C = −0.266, p = 0.018), with participants living in Wuhan having significantly lower expected influence on these nodes than those living in other provinces. Meanwhile, there were no significant differences in network structure (M = 0.204, p = 0.752) and global strength (living in Hubei = 11.126, S = 0.746, p = 0.158) between participants living in Wuhan and those living in other cities in Hubei province, and no significant differences in network structure (M = 0.179, p = 0.092) and global strength (S = 1.074, p = 0.259) between participants living in other cities in Hubei province and those in other provinces.
Discussion
In this study, we explored the network of depression and anxiety symptoms among Chinese prospective graduates in higher education stage, along with the role of career-related stress in it. Consistent with previous research, the strongest edges were found primarily within the communities of mental disorders instead of connecting different mental disorders (Beard et al., 2016; Garabiles et al., 2019; Bai et al., 2022). In our results, strongly associated pairs such as GAD1 (nervousness) and GAD2 (uncontrollable worry); GAD3 (excessive worry) and GAD4 (trouble relaxing); PHQ3 (sleep) and PHQ4 (fatigue); PHQ1 (anhedonia) and PHQ4 (fatigue); GAD5 (restlessness) and GAD7 (feeling afraid); PHQ7 (concentration) and PHQ8 (motor) were also found, consistent with previous studies (Cramer et al., 2010a; Beard et al., 2016; Schuler et al., 2018; Garabiles et al., 2019; Bai et al., 2022).
In addition to depression and anxiety symptoms, we also identified connections among sources of career-related stress. Specifically, variables representing the end of student life [CRS1 (stress of studies) and CRS2 (stress of graduation thesis)] and entering the workforce [CRI2 (impact on job search and employment) and CRI3 (remote recruitment on employment); CRS3 (stress of job) and CRS4 (stress of life); CRS3 (stress of job) and CRI2 (impact on job search and employment)] were found to have strong associations within their respective communities. This aligns with previous research and the consensus that the school-to-work transition involves both the end of education and the beginning of employment (Ng and Feldman, 2007; Blokker et al., 2023). During this transition, changes in role identity, self-efficacy, and motivation occur (Pinquart et al., 2003; Ng and Feldman, 2007; Symonds et al., 2019), distinguishing between the phases of schooling and working. Importantly, we also identified that the edge with the strongest association between mental health symptoms and career-related stress is PHQ6 (guilty)-CRS3 (stress of job). This aligns with results from variable relationship studies indicating a connection between depressive symptoms and employment status (Kretzler et al., 2021; Mojtahedi et al., 2021; Levy, 2022), especially guilty and employment (Leana and Feldman, 1995; Extremera and Rey, 2014). Considering their high bridge centrality, our results may explain the connection between employment issues and depressive symptoms, suggesting that individuals experiencing career-related stress are more likely to feel guilty and, consequently, develop depression.
Our results indicate that PHQ4 (fatigue), PHQ2 (sad mood), PHQ8 (motor), GAD4 (trouble relaxing), and GAD2 (uncontrollable worry) have the highest expected influence, suggesting their strong impact on the entire symptom network. The analysis of central symptoms for depression and anxiety aligns with Bai et al. (2022), where Fatigue is a central symptom in the depression symptom community, and Trouble relaxing is central in the anxiety symptom community. We note that central symptoms in both symptom communities involve physiological depletion and lack of energy, which may be related to the prevalence of somatic symptoms in the Asian population (Chentsova-Dutton et al., 2014). Additionally, factor analysis on Chinese employees’ major depressive symptoms Mordeno et al. (2018) found that, unlike populations in other cultures where depressive symptoms are a single dimension, Chinese people’s depressive symptoms can be divided into emotional symptoms and somatic symptoms. In terms of career-related stress, CRS4 (stress of life) has the highest expected influence. This may be because stress assessments related to specific career-related tasks can be incorporated into assessments of general life event stress (Wu et al., 2020).
In this study, the identified bridge symptoms in our network are PHQ2 (sad mood), GAD7 (feeling afraid), PHQ6 (guilty), GAD5 (restlessness), and GAD6 (irritability). While sad mood as a bridge symptom in depression symptoms is supported by previous research (Garabiles et al., 2019; Jones et al., 2021), the identification of guilty as a bridge symptom is novel. Considering the association between guilt and employment stress discussed earlier, we propose that guilt and self-blame may be crucial symptoms linking career-related stress and depression symptoms. Feeling afraid, Restlessness, and Irritability, identified as bridge symptoms, are consistent with prior research (Garabiles et al., 2019; Bai et al., 2021, 2022). We note a strong positive association between Sad Mood and Irritability, both being mood-related issues, a relationship documented in previous studies in adult and child populations (Fava et al., 2010; Parneix et al., 2014; Vance and Winther, 2021). Moreover, Fava et al. (2010) pointed out in their work that irritability is particularly common among respondents and students aged 18-44. In addition, we found a significant negative correlation between restlessness and employment stress and a significant positive correlation between restlessness and the impact of the pandemic on graduation theses. Restlessness is considered to be associated with attention problems (Aitken and Andrade, 2021) suggesting that prospective graduates experiencing restlessness may struggle to concentrate on stress of employment, but the actual constant effect of their graduation theses would not be disturbed and make them anxious. Furthermore, guilty, in addition to its association with employment stress, is linked to the pandemic’s impact on employment, consistent with our explanation above.
We also examined the edge weights and global strength of depression-anxiety-career-related stress in different groups. Consistent with previous studies, our network did not reveal significant gender differences in either edge weights or global strength (Bai et al., 2021, 2022; Cheung et al., 2021). However, we observed differences in global strength among samples from different locations, even though their network structures did not change significantly. The network global strength of prospective graduates living in Wuhan was lower than that of prospective graduates from other cities in Hubei province, especially on the nodes GAD5 (restlessness), PHQ9 (suicide), and CRS1 (stress of studies). We believe this may be related to the typhoon eye effect of the psychological impact of COVID-19 found in previous studies (Wang et al., 2020; Zhang et al., 2020). As people at the center of a risk event have lower awareness of the risk event than those in surrounding areas, the non-common variation between symptoms is greater, and the links between nodes in the network are weaker.
Limitations
Although this study provides evidence for a relationship between career-related stress and symptoms of depression and anxiety, there are still some limitations should be noted. First of all, this study used cross-sectional data and couldn’t make causal inferences. To further explore the role of career-related stress in the network of depressive and anxiety symptoms, future researchers can use longitudinal data for analysis to enhance the understanding of the relationship between stress and mental health. Second, we used self-reported questionnaire data from participants. Future researchers may consider using behavioral experiments or psychophysiological approaches to further discuss the relationship between stress and symptoms of psychiatric disorders. Finally, our sample is limited only to prospective graduates of higher education in China. Future researchers can consider using samples from other social and cultural backgrounds or conducting cross-cultural network comparisons, which would be helpful to understand and distinguish which characteristics of students have a stronger relationship between career-related stress and psychological disorder symptoms, and provide more effective intervention or treatment for them.
Conclusion
This study delves into the relationship between career-related stress and mental health among prospective graduates in Chinese higher education during the COVID-19 pandemic. Utilizing network analysis, we revealed the important role of career-related stress within the networks of depressive and anxiety symptoms and identified central and bridge symptoms. Fatigue, sad mood, and psychomotor symptoms were identified as central symptoms of depression, as well as trouble in resting and uncontrollable worry were central symptoms of anxiety. Furthermore, sad mood and guilt served as bridge symptoms for depression, as well as feeling afraid, restlessness, and irritability served as bridge symptoms for anxiety. Notably, career-related stress, especially in terms of employment, showed a strong association with guilt. The findings also indicated no significant differences in network structure and global strength between male and female participants. However, the global strength was significantly lower among prospective graduates from Wuhan compared to those from non-Hubei provinces, potentially indicating a “Typhoon Eye Effect” in the pandemic’s epicenter.
The results of this study underscore the need for psychological professionals in higher education institutions to focus on the above symptoms when providing interventions and treatments for graduating students. Additionally, given the “Typhoon Eye Effect,” mental health support resources should be allocated appropriately across different regions, with particular attention to prospective graduates living in provinces and cities outside Wuhan, as their mental health were more strongly linked to risks factors.
Statements
Data availability statement
The raw data supporting the conclusions of this article will be made available by the authors, without undue reservation.
Ethics statement
The studies involving humans were approved by Ethics Committee of School of Educational Science, Huazhong University of Science and Technology. The studies were conducted in accordance with the local legislation and institutional requirements. The participants provided their written informed consent to participate in this study.
Author contributions
QT: Writing−original draft, Writing−review and editing. GL: Formal analysis, Writing−review and editing, Conceptualization, Data curation, Methodology. YZ: Conceptualization, Writing−review and editing, Data curation, Formal analysis, Methodology. HS: Writing−review and editing, Conceptualization, Data curation, Formal analysis, Methodology.
Funding
The author(s) declare financial support was received for the research, authorship, and/or publication of the article. This study was supported and granted by Hubei Province Education and Teaching Reform Project (2023063) and Huazhong University of Science and Technology Double First-Class Funds (2024WJYM07).
Acknowledgments
We thank all the participants for their time and interest as well as the editor and reviewers for their valuable feedback.
Conflict of interest
The authors declare that the research was conducted in the absence of any commercial or financial relationships that could be construed as a potential conflict of interest.
Publisher’s note
All claims expressed in this article are solely those of the authors and do not necessarily represent those of their affiliated organizations, or those of the publisher, the editors and the reviewers. Any product that may be evaluated in this article, or claim that may be made by its manufacturer, is not guaranteed or endorsed by the publisher.
Supplementary material
The Supplementary Material for this article can be found online at: https://www.frontiersin.org/articles/10.3389/fpsyg.2024.1381846/full#supplementary-material
Footnotes
References
1
Afriat M. De France K. Stack D. M. Serbin L. A. Hollenstein T. (2023). Relationship quality and mental health implications for adolescents during the COVID-19 pandemic: A longitudinal study.J. Child Fam. Stud.32544–554. 10.1007/s10826-022-02519-3
2
Aitken M. Andrade B. F. (2021). Attention problems and restlessness as transdiagnostic markers of severity and treatment response in youth with internalizing problems.Res. Child Adolesc. Psychopathol.491069–1082. 10.1007/s10802-021-00797-x
3
Archibald P. Lopez-Humphreys M. Rosenthal K. (2023). COVID-19 stressors and effects related to depression with American university students.Soc. Work Ment. Health21437–453. 10.1080/15332985.2022.2162835
4
Bai W. Cai H. Liu S. Chen X. Sha S. Cheung T. et al (2021). Anxiety and depressive symptoms in college students during the late stage of the COVID-19 outbreak: A network approach.Transl. Psychiatry11:4. 10.1038/s41398-021-01738-4
5
Bai W. Zhao Y. J. Cai H. Sha S. Zhang Q. E. Lei S. M. et al (2022). Network analysis of depression, anxiety, insomnia and quality of life among Macau residents during the COVID-19 pandemic.J. Affect. Disord.311181–188. 10.1016/j.jad.2022.05.061
6
Beard C. Millner A. J. Forgeard M. J. C. Fried E. I. Hsu K. J. Treadway M. T. et al (2016). Network analysis of depression and anxiety symptom relationships in a psychiatric sample.Psychol. Med.463359–3369. 10.1017/S0033291716002300
7
Benton S. A. Robertson J. M. Tseng W. C. Newton F. B. Benton S. L. (2003). Changes in counseling center client problems across 13 years.Profess. Psychol. Res. Pract.3466–72. 10.1037/0735-7028.34.1.66
8
Blokker R. Akkermans J. Marciniak J. Jansen P. G. W. Khapova S. N. (2023). Organizing school-to-work transition research from a sustainable career perspective: A review and research agenda.Work Aging Retire.9239–261. 10.1093/workar/waad012
9
Borsboom D. (2008). Psychometric perspectives on diagnostic systems.J. Clin. Psychol.641089–1108. 10.1002/jclp.20503
10
Borsboom D. Cramer A. O. J. (2013). Network analysis: An integrative approach to the structure of psychopathology.Annu. Rev. Clin. Psychol.991–121. 10.1146/annurev-clinpsy-050212-185608
11
Carballea D. Rivera R. M. (2020). Coronavirus and interpersonal violence: A need for digital mental health resources.Psycho. Trauma Theory Res. Pract. Policy12208–209. 10.1037/tra0000849
12
Chen J. H. Chen Z. H. (2008). Extended Bayesian information criteria for model selection with large model spaces.Biometrika95759–771. 10.1093/biomet/asn034
13
Chen L. Wang L. Qiu X. H. Yang X. X. Qiao Z. X. Yang Y. J. et al (2013). Depression among Chinese university students: Prevalence and socio-demographic correlates.PLoS One8:e58379. 10.1371/journal.pone.0058379
14
Chentsova-Dutton Y. E. Ryder A. G. Tsai J. L. (2014). “Understanding depression across cultural contexts,” in Handbook of depression, 3rd Edn, edsHammenC. L.GotlibI. H. (New York, NY: Guildford Press), 337–354.
15
Cheong Y. Zhu Q. Wang C. He M. Ye Y. (2023). COVID-19 stressful life events and chinese adolescents’ mental health: Examining resilience, peer relationship, and parenting as moderators.J. Early Adolesc.43577–602. 10.1177/02724316221114091
16
Cheung T. Jin Y. Lam S. Su Z. H. Hall B. J. Xiang Y. T. et al (2021). Network analysis of depressive symptoms in Hong Kong residents during the COVID-19 pandemic.Transl. Psychiatry11:43. 10.1038/s41398-021-01543-z
17
Chung G. Lanier P. Wong P. Y. J. (2022). Mediating effects of parental stress on harsh parenting and parent-child relationship during coronavirus (COVID-19) pandemic in Singapore.J. Fam. Violence37801–812. 10.1007/s10896-020-00200-1
18
Contreras A. Nieto I. Valiente C. Espinosa R. Vazquez C. (2019). The study of psychopathology from the network analysis perspective: A systematic review.Psychother. Psychosom.8871–83. 10.1159/000497425
19
Crabtree S. A. Captari L. E. Hall E. L. Sandage S. J. Jankowski P. J. (2021). Mental health symptoms, well-being and experiences of the COVID-19 pandemic: A mixed-methods practice-based study.Couns. Psychother. Res.23134–151. 10.1002/capr.12503
20
Cramer A. O. J. Waldorp L. J. van der Maas H. L. J. Borsboom D. (2010b). Complex realities require complex theories: Refining and extending the network approach to mental disorders.Behav. Brain Sci.33178–193. 10.1017/S0140525x10000920
21
Cramer A. O. J. Waldorp L. J. van der Maas H. L. J. Borsboom D. (2010a). Comorbidity: A network perspective.Behav. Brain Sci.33137–150. 10.1017/S0140525x09991567
22
Creed P. A. Hood M. Praskova A. Makransky G. (2016). The career distress scale: Using Rasch measurement theory to evaluate a brief measure of career distress.J. Career Assess.24732–746. 10.1177/1069072715616126
23
Darling C. A. McWey L. M. Howard S. N. Olmstead S. B. (2007). College student stress: The influence of interpersonal relationships on sense of coherence.Stress Health23215–229. 10.1002/smi.1139
24
Epskamp S. Fried E. I. (2018). A tutorial on regularized partial correlation networks.Psychol. Methods23617–634. 10.1037/met0000167
25
Epskamp S. Borsboom D. Fried E. I. (2018). Estimating psychological networks and their accuracy: A tutorial paper.Behav. Res. Methods50195–212. 10.3758/s13428-017-0862-1
26
Epskamp S. Cramer A. O. J. Waldorp L. J. Schmittmann V. D. Borsboom D. (2012). qgraph: Network visualizations of relationships in psychometric data.J. Stat. Softw.481–18. 10.18637/jss.v048.i04
27
Extremera N. Rey L. (2014). Health-related quality of life and cognitive emotion regulation strategies in the unemployed: A cross-sectional survey.Health Q. Life Outcomes12:6. 10.1186/s12955-014-0172-6
28
Fava M. Hwang I. Rush A. J. Sampson N. Walters E. E. Kessler R. C. (2010). The importance of irritability as a symptom of major depressive disorder: Results from the national comorbidity survey replication.Mol. Psychiatry15856–867. 10.1038/mp.2009.20
29
Fico G. Oliva V. De Prisco M. Fortea L. Fortea A. Giménez-Palomo A. et al (2023). Anxiety and depression played a central role in the COVID-19 mental distress: A network analysis.J. Affect. Disord.338384–392. 10.1016/j.jad.2023.06.034
30
Foygel R. Drton M. (2010). Extended Bayesian information criteria for Gaussian graphical models.Adv. Neural Inf. Process. Syst.23604–612.
31
Friemel T. N. Geber S. (2023). Social distancing during the COVID-19 pandemic in Switzerland: Health protective behavior in the context of communication and perceptions of efficacy, norms, and threat.Health Commun.38779–789. 10.1080/10410236.2021.1976360
32
Garabiles M. R. Lao C. K. Xiong Y. X. Hall B. J. (2019). Exploring comorbidity between anxiety and depression among migrant Filipino domestic workers: A network approach.J. Affect. Disord.25085–93. 10.1016/j.jad.2019.02.062
33
Goodell J. W. (2020). COVID-19 and finance: Agendas for future research.Finance Res. Lett.35:512. 10.1016/j.frl.2020.101512
34
Guntzviller L. M. Williamson L. D. Ratcliff C. L. (2020). Stress, social support, and mental health among young adult hispanics.Fam. Commun. Health4382–91. 10.1097/FCH.0000000000000224
35
Gutentag T. Asterhan C. S. C. (2022). Burned-out: Middle school teachers after one year of online remote teaching during COVID-19.Front. Psychol.13:802520. 10.3389/fpsyg.2022.802520
36
Haslbeck J. M. B. Waldorp L. J. (2020). mgm: Estimating time-varying mixed graphical models in high-dimensional data.J. Stat. Softw.931–46. 10.18637/jss.v093.i08
37
Huo M.-L. (2021). Career growth opportunities, thriving at work and career outcomes: Can COVID-19 anxiety make a difference?J. Hosp. Tour. Manag.48174–181. 10.1016/j.jhtm.2021.06.007
38
Jiang P. Van Fan Y. Klemes J. J. (2021). Impacts of COVID-19 on energy demand and consumption: Challenges, lessons and emerging opportunities.Appl. Energy285:441. 10.1016/j.apenergy.2021.116441
39
Jones P. J. Ma R. F. McNally R. J. (2021). Bridge centrality: A network approach to understanding comorbidity.Multivar. Behav. Res.56353–367. 10.1080/00273171.2019.1614898
40
Junca-Silva A. Silva D. (2022). How is the life without unicorns? A within-individual study on the relationship between uncertainty and mental health indicators: The moderating role of neuroticism.Pers. Individ. Differ.188:462. 10.1016/j.paid.2021.111462
41
Kretzler B. Koenig H.-H. Hajek A. (2021). Objective job demands of oneself and one’s partner, and depressive symptoms. Evidence from a nationally representative longitudinal study.Int. J. Environ. Res. Public Health18:688. 10.3390/ijerph182312688
42
Kroenke K. Spitzer R. L. Williams J. B. W. (2001). The PHQ-9 – Validity of a brief depression severity measure.J. Gen. Intern. Med.16606–613. 10.1046/j.1525-1497.2001.016009606.x
43
Leana C. R. Feldman D. C. (1995). Finding new jobs after a plant closing –antecedents and outcomes of the occurrence and quality of reemployment.Hum. Relat.481381–1401. 10.1177/001872679504801201
44
Levy I. (2022). Stress, anxiety, and depression in times of COVID-19: Gender, individual quarantine, pandemic duration and employment.Front. Public Health10:999795. 10.3389/fpubh.2022.999795
45
Li S.-C. S. Wu T.-Y. Zeng H.-K. Lo S.-Y. (2022). Channels adopted for information seeking during COVID-19: Comparing social media with news media and interpersonal communication in Taiwan.Int. J. Environ. Res. Public Health19:321. 10.3390/ijerph19159321
46
Lv F. Zhu R. Hou X. Fang L. Wang Y. Du Z. et al (2023). Psychological health and risk factors of college students within the context of the COVID-19 pandemic: A cross-sectional study.Behav. Sci.13:796. 10.3390/bs13100796
47
Massazza A. Kienzler H. Al-Mitwalli S. Tamimi N. Giacaman R. (2023). The association between uncertainty and mental health: A scoping review of the quantitative literature.J. Ment. Health32480–491. 10.1080/09638237.2021.2022620
48
Ministry of Education of the People’s Republic of China (2020). Notice of the ministry of education on the postponement of the spring semester of 2020.Beijing: Ministry of Education of the People’s Republic of China.
49
Mojtahedi D. Dagnall N. Denovan A. Clough P. Hull S. Canning D. et al (2021). The relationship between mental toughness, job loss, and mental health issues during the COVID-19 pandemic.Front. Psychiatry11:607246. 10.3389/fpsyt.2020.607246
50
Mordeno I. G. Carpio J. G. E. Mendoza N. B. Hall B. J. (2018). The latent structure of major depressive symptoms and its relationship with somatic disorder symptoms among Filipino female domestic workers in China.Psychiatry Res.270587–594. 10.1016/j.psychres.2018.10.029
51
Morelli M. Cattelino E. Baiocco R. Trumello C. Babore A. Candelori C. et al (2020). Parents and children during the COVID-19 lockdown: The influence of parenting distress and parenting self-efficacy on children’s emotional well-being.Front. Psychol.11:584645. 10.3389/fpsyg.2020.584645
52
Negri A. Conte F. Caldiroli C. L. Neimeyer R. A. Castiglioni M. (2023). Psychological factors explaining the COVID-19 pandemic impact on mental health: The role of meaning, beliefs, and perceptions of vulnerability and mortality.Behav. Sci.13:162. 10.3390/bs13020162
53
Ng T. W. H. Feldman D. C. (2007). The school-to-work transition: A role identity perspective.J. Vocation. Behav.71114–134. 10.1016/j.jvb.2007.04.004
54
Okado Y. Scaramella C. Nguyen H. M. Mendoza B. Watarastaporn T. (2023). Psychosocial adjustment of US college students in the early months of the COVID-19 pandemic.J. Am. Coll. Health711281–1292. 10.1080/07448481.2021.1926268
55
Parneix M. Pericaud M. Clement J.-P. (2014). Irritability associated with major depressive episodes: Its relationship with mood disorders and temperament.Turk. J. Psychiatry25106–113.
56
Peng Y. Lv S. B. Low S. R. Bono S. A. (2023). The impact of employment stress on college students: Psychological well-being during COVID-19 pandemic in China.Curr. Psychol.5658–96. 10.1007/s12144-023-04785-w
57
Peng P. Wang Y. Q. Li Z. Q. Zhou Y. A. Wang J. Qu M. et al (2023). A network analysis of the long-term quality of life and mental distress of COVID-19 survivors 1 year after hospital discharge.Front. Public Health11:1223429. 10.3389/fpubh.2023.1223429
58
Pinquart M. Juang L. P. Silbereisen R. K. (2003). Self-efficacy and successful school-to-work transition: A longitudinal study.J. Vocation. Behav.63329–346. 10.1016/S0001-8791(02)00031-3
59
Qu Y. Li X. Ni B. He X. Zhang K. Wu G. (2021). Identifying the role of parent-child conflict and intimacy in Chinese adolescents’ psychological distress during school reopening in COVID-19 pandemic.Dev. Psychol.571735–1747. 10.1037/dev0001218
60
Schuler M. Wittmann M. Faller H. Schultz K. (2018). The interrelations among aspects of dyspnea and symptoms of depression in COPD patients – a network analysis.J. Affect. Disord.24033–40. 10.1016/j.jad.2018.07.021
61
Schweizer S. Lawson R. P. Blakemore S.-J. (2023). Uncertainty as a driver of the youth mental health crisis.Curr. Opin. Psychol.53:101657. 10.1016/j.copsyc.2023.101657
62
Shen H. Fu M. Pan H. Yu Z. Chen Y. (2020). The impact of the COVID-19 pandemic on firm performance.Emerg. Mark. Finance Trade562213–2230. 10.1080/1540496X.2020.1785863
63
Spitzer R. L. Kroenke K. Williams J. B. W. Lowe B. (2006). A brief measure for assessing generalized anxiety disorder - The GAD-7.Arch. Intern. Med.1661092–1097. 10.1001/archinte.166.10.1092
64
State Council Information Office of the People’s Republic of China (2020). China’s actions against the COVID-19 outbreak.Beijing: State Council Information Office of the People’s Republic of China.
65
Stieger S. Lewetz D. Swami V. (2021). Emotional well-being under conditions of lockdown: An experience sampling study in Austria during the COVID-19 pandemic.J. Happiness Stud.222703–2720. 10.1007/s10902-020-00337-2
66
Su J. Conroy I. Trevino A. Zheng Y. Kuo S. I. C. (2022). COVID-19 related stressors, parent-child relationship, and alcohol use and mental health profiles among white and hispanic/Latinx first-year college students.Child Psychiatry Hum. Dev.541287–1296. 10.1007/s10578-022-01337-4
67
Symonds J. Schoon I. Eccles J. Salmela-Aro K. (2019). The development of motivation and amotivation to study and work across age-graded transitions in adolescence and young adulthood.J. Youth Adolesc.481131–1145. 10.1007/s10964-019-01003-4
68
Szczygielski J. J. Brzeszczynski J. Charteris A. Bwanya P. R. (2022). The COVID-19 storm and the energy sector: The impact and role of uncertainty.Energy Econ.109:105258. 10.1016/j.eneco.2021.105258
69
Tan Y. Huang C. Geng Y. Cheung S. P. Zhang S. (2021). Psychological well-being in chinese college students during the COVID-19 pandemic: Roles of resilience and environmental stress.Front. Psychol.12:671553. 10.3389/fpsyg.2021.671553
70
Tibshirani R. (1996). Regression shrinkage and selection via the Lasso.J. R. Stat. Soc. Ser. B Stat. Methodol.58267–288. 10.1111/j.2517-6161.1996.tb02080.x
71
Toyoda Y. Katanoda K. Ishii K. Yamamoto H. Tabuchi T. (2021). Negative impact of the COVID-19 state of emergency on breast cancer screening participation in Japan.Breast Cancer281340–1345. 10.1007/s12282-021-01272-7
72
Van Borkulo C. D. Van Bork R. Boschloo L. Kossakowski J. J. Tio P. Schoevers R. A. et al (2022). Comparing network structures on three aspects: A permutation test.Psychol. Methods281273–1285. 10.1037/met0000476
73
Vance A. Winther J. (2021). Irritability, depressed mood, inattention and spatial working memory in children and adolescents with major depressive disorder with/without persistent depressive disorder.Child Psychiatry Hum. Dev.52800–807. 10.1007/s10578-020-01061-x
74
Ventura-León J. López-Jurado R. Porturas E. León-Mostacero I. Canchanya-Balbin S. E. (2022). Anxiety, depression, stress, worry about COVID-19 and fear of loneliness during COVID-19 lockdown in Peru: A network analysis approach.Front. Public Health10:946697. 10.3389/fpubh.2022.946697
75
Wang G. X. Zhang Y. Xie S. M. Wang P. Lei G. H. Bian Y. R. et al (2020). Psychological typhoon eye effect during the COVID-19 outbreak.Front. Public Health8:550051. 10.3389/fpubh.2020.550051
76
Wu D. Yu L. W. Yang T. Z. Cottrell R. Peng S. H. Guo W. et al (2020). The impacts of uncertainty stress on mental disorders of chinese college students: Evidence from a nationwide study.Front. Psychol.11:243. 10.3389/fpsyg.2020.00243
77
Wu Y. Yin G. Zhang Y. (2022). Experience and perceptions of chinese university students regarding the COVID-19 pandemic: A qualitative analysis.Front. Public Health10:872847. 10.3389/fpubh.2022.872847
78
Xiong J. Q. Lipsitz O. Nasri F. Lui L. M. W. Gill H. Phan L. et al (2020). Impact of COVID-19 pandemic on mental health in the general population: A systematic review.J. Affect. Disord.27755–64. 10.1016/j.jad.2020.08.001
79
Yang L. Murad M. Mirza F. Chaudhary N. I. Saeed M. (2022). Shadow of cyber ostracism over remote environment: Implication on remote work challenges, virtual work environment and employee mental well-being during a Covid-19 pandemic.ACTA Psychol.225:352. 10.1016/j.actpsy.2022.103552
80
Zhang Y. Abbas S. Abbas H. S. M. Ren H. L. Yang C. H. (2023). A model of post-traumatic growth and stress reaction in China under COVID-19: A mediating instrument for trauma and disaster reduction.Int. J. Disaster Risk Reduct.97:55. 10.1016/j.ijdrr.2023.104055
81
Zhang Y. Cao X. C. Aashiq, Xie Y. F. Zhong Q. Y. Lei G. H. et al (2021). Psychological stress of university students in the hardest-hit areas at different stages of the COVID-19 epidemic.Child. Youth Serv. Rev.125:980. 10.1016/j.childyouth.2021.105980
82
Zhang Y. Cao X. Wang P. Wang G. Lei G. Shou Z. et al (2020). Emotional “inflection point” in public health emergencies with the 2019 new coronavirus pneumonia (NCP) in China.J. Affect. Disord.276797–803. 10.1016/j.jad.2020.07.097
83
Zhong Q. Lei G. Wu H. Wang Z. Zhang Y. Zhang J. et al (2024). Practical and psychological challenges faced by Wuhan graduates after COVID-19 was controlled.J. Am. Coll. Health721127–1134. 10.1080/07448481.2022.2068958
84
Zhou T. Bao Y. Guo D. Bai Y. Wang R. Cao X. et al (2022). Intolerance of uncertainty and future career anxiety among Chinese undergraduate students during COVID-19 period: Fear of COVID-19 and depression as mediators.Front. Psychiatry10:1015446. 10.3389/fpubh.2022.1015446
85
Zhu Q. Cheong Y. Wang C. Sun C. (2022). The roles of resilience, peer relationship, teacher-student relationship on student mental health difficulties during COVID-19.Sch. Psychol.3762–74. 10.1037/spq0000492
86
Zilber R. Hazan Hazoref R. Kagan I. (2023). Self-efficacy, uncertainty and anxiety among nursing graduates in response to licensing test postponement due to the COVID-19 pandemic: A mixed-methods study.Int. J. Nurs. Pract.29:91. 10.1111/ijn.13091
87
Zou P. Sun L. Yang W. Zeng Y. Chen Q. Yang H. et al (2018). Associations between negative life events and anxiety, depressive, and stress symptoms: A cross-sectional study among Chinese male senior college students.Psychiatry Res.27026–33. 10.1016/j.psychres.2018.09.019
Summary
Keywords
network analysis, mental health, depression symptoms, anxiety symptoms, career-related stress, prospective graduates
Citation
Tang Q, Lei G, Zhang Y and Shi H (2024) The relation between mental health and career-related stress among prospective graduates in higher education stage during the COVID-19 pandemic: an evidence based on network analysis. Front. Psychol. 15:1381846. doi: 10.3389/fpsyg.2024.1381846
Received
04 February 2024
Accepted
19 June 2024
Published
08 July 2024
Volume
15 - 2024
Edited by
Omar Carlo Gioacchino Gelo, University of Salento, Italy
Reviewed by
Mihaela Laura Bratu, Lucian Blaga University of Sibiu, Romania
Fulvio Signore, University of Foggia, Italy
Updates
Copyright
© 2024 Tang, Lei, Zhang and Shi.
This is an open-access article distributed under the terms of the Creative Commons Attribution License (CC BY). The use, distribution or reproduction in other forums is permitted, provided the original author(s) and the copyright owner(s) are credited and that the original publication in this journal is cited, in accordance with accepted academic practice. No use, distribution or reproduction is permitted which does not comply with these terms.
*Correspondence: Yan Zhang, zhangyan1981@hust.edu.cnHui Shi, dlshihui@163.com
Disclaimer
All claims expressed in this article are solely those of the authors and do not necessarily represent those of their affiliated organizations, or those of the publisher, the editors and the reviewers. Any product that may be evaluated in this article or claim that may be made by its manufacturer is not guaranteed or endorsed by the publisher.