Abstract
Introduction:
This study explores the overlooked psychological and behavioral dynamics of employees in compliance management, applying the Stimulus-Organism-Response (SOR) framework to assess environmental stimuli’s impact on employees in international construction projects.
Methods:
A scenario-based survey involving 270 international construction employees was analyzed using Partial Least Squares Structural Equation Modeling (PLS-SEM) and Necessary Condition Analysis (NCA), focusing on the relationship between environmental stimuli and compliance intentions.
Results:
Findings categorize environmental influences on compliance into internal and external organizational dimensions, highlighting the significant impact of internal factors on compliance intentions. Key determinants identified for high compliance intention include individual traits and organizational climate, while project pressures, rules and regulations, and cultural differences show variable influence.
Conclusion:
This study enhances the understanding of the psychological factors driving non-compliant behaviors and introduces a binary micro-ecological approach to compliance management, effectively integrating individual and project organizational elements. In contrast to traditional corporate governance approaches, this strategy emphasizes the role of project organizational micro-ecology in the management of international construction projects. The strategy aims to improve compliance management among international contractors by influencing the psychological and behavioral compliance of frontline employees.
1 Introduction
In the globalized context, international construction projects are vital to cross-border infrastructure, engineering management, and technical exchange, bridging economic and cultural divides. These complex projects, extending beyond technical and managerial aspects, are situated within diverse legal, cultural, and regulatory contexts (Chan and Tse, 2003). This complexity underscores the importance of sophisticated compliance management strategies for international contractors, reflecting the dynamic challenges of global construction practices (Gao et al., 2023).
Compliance management, essential in international construction, involves aligning operations with legal, industry, and ethical standards (Zhao et al., 2012). Its importance is amplified in multinational projects involving various stakeholders and legal jurisdictions. Non-compliance can result in reputational damage, financial penalties, and even criminal charges (Rabbiosi and Santangelo, 2019; Bahoo et al., 2020; Wang et al., 2021). For instance, Specifically, in World Bank-financed projects, breaches such as fraud, collusion, corruption, or coercion can lead to debarment and cross-debarment from other development banks, underscoring the need for rigorous compliance adherence (Soreide et al., 2015).
Despite the acknowledged importance of compliance management in international construction, its implementation faces significant challenges. Studies indicate prevalent non-compliance in this sector, Such as bribery, corruption, conflict of interest and nepotism (Monteiro et al., 2022; Soni et al., 2024), often due to employees’ limited understanding of compliance standards. This superficial grasp leads to ineffective risk management (Okoye et al., 2016; Oluseye et al., 2024). Furthermore, many contractors adopt top-down compliance strategies, not fully addressing the unique demands of international projects or the specific needs of field employees, which impairs effective global risk mitigation.
In corporate governance, the efficacy of compliance management in curbing non-compliant worker behaviors is critical (Soltes, 2017). Worker compliance behavior is deeply rooted in their mindset and intentions (Furnham, 2012). The complexity and diversity of international construction projects require flexibility and precision in worker decision-making (Ofori, 2015). Environmental factors such as legal constraints, organizational climate, and project pressures significantly influence employees’ perception and emotional response to compliance (Gendolla, 2000; Al Jaffri Saad and Haniffa, 2014). Misconceptions or disagreements among employees about compliance can lead to non-compliant behaviors (Syahputra et al., 2022), emphasizing the need to understand the environmental triggers of psychological processes leading to compliance.
Current research in international construction compliance focuses on establishing compliance plans (Luo et al., 2022), assessing compliance (Yu et al., 2014), and identifying factors driving non-compliance like corruption (Shan et al., 2017). These studies emphasize macro-level and organizational aspects, such as regulatory and industry environments (Ben Khaled and Gond, 2020; Liu et al., 2024), yet underplay individual-level influences. This oversight points to the need for deeper examination of how individual perceptions within specific contexts shape compliance behaviors.
In research related to individual compliance, scholars have identified several key factors influencing compliance behavior in construction projects. Studies indicate that compliance among junior employees in indigenous construction companies is generally poor, often due to inadequate government supervision and lax law enforcement (Ebekozien, 2022). Additionally, the impact of environmental factors on individual compliance cannot be ignored. External environments, such as the completeness and effectiveness of the host country’s laws, profoundly affect employees’ perception of compliance risk (Liu et al., 2024), while internal environments, such as transformational leadership, also play a significant role (Shen et al., 2017). The characteristics of employees themselves are crucial as well. Individual traits such as situational awareness and emotional intelligence have a notable impact on safety compliance behavior, with the ability to regulate emotions being particularly important (Yan et al., 2023). Differences in cognitive levels also lead to variations in individuals’ adherence to safety norms (Ijaola et al., 2021). Overall, while existing research has made progress in understanding compliance at the macro and organizational levels, there is a need for greater focus on individual-level influences to comprehensively understand and improve compliance behavior in construction projects.
The Stimulus-Organism-Response (SOR) framework is pivotal for understanding the interaction between environmental factors and individual psychological processes in compliance behavior. This model posits environmental stimuli as influencing behavior via psychological processes (Jacoby, 2002; Laato et al., 2020). In international construction, recognizing how environmental factors affect worker psychology and behavior is crucial for designing effective compliance strategies. This approach contributes significantly to both theory and practice in managing compliance in complex project environments.
This study innovatively applies the SOR model to compliance management in international construction, identifying environmental factors influencing professional psychology and behavior. It suggests targeted strategies for optimizing environmental stimuli to guide compliance behavior effectively. This research enhances the theoretical understanding of psychological and behavioral processes in compliance management and provides novel strategies for international contractors, bridging theory with practical application in this dynamic field.
2 Theory and hypothesis
In behavioral sciences, while theories like Planned Behavior (TPB), Value-Belief-Norm (VBN) Theory, and Norm Activation Model (NAM) focus on attitudes and values, they often overlook environmental and emotional influences on behavior. Contrasting this, the SOR theory, an evolution of Thorndike’s SR (Stimulus–Response) framework, offers a comprehensive understanding by emphasizing the impact of external stimuli on psychological states and subsequent behaviors. The SOR model considers “stimulus” as external inputs, “organism” as cognitive and emotional processes, and “response” as resulting behavior, highlighting the intricate relationships between the environment and individual psychological processes (Moore, 2011; Song et al., 2022).
Traditionally used in consumer behavior research, the SOR theory describes how external stimuli evoke perceptual and emotional changes, leading to specific responses. This theory has been effectively applied to understand behavioral responses to environmental stimuli in various contexts, ranging from university students’ enrollment intentions to psychological changes during crises and public low-carbon behaviors (Nagoya et al., 2021; Pandita et al., 2021). In international construction projects, worker compliance is often directly influenced by environmental stimuli like legal and organizational factors. Thus, applying the SOR model to explore compliance behavior in this context is theoretically sound, providing a comprehensive framework that captures the complexities of international construction environments.
2.1 Environmental stimuli
“Environmental stimuli” in the SOR model refers to external influences processed through perception and emotional transformation, impacting individual behavior. In international construction, this encompasses both immediate environments like organizational culture and broader external factors such as industry norms and legal regulations, shaping worker behavior and attitudes (Hu et al., 2023).
Focusing on internal organizational elements, employees’ compliant behavior is shaped by “Individual Traits,” “Organizational Climate,” and “Project Pressures.” Research indicates personal capabilities, cognitive states, and work experience are key (Mitropoulos and Memarian, 2012; Humaidi and Balakrishnan, 2015; Chen et al., 2018). These traits, processed emotionally and perceptually, act as stimuli impacting behavior within the SOR framework (Moore, 2011). Organizational factors like measures (Stachowicz-Stanusch and Simha, 2013), transparency (Oyewobi et al., 2011), strategies (Wicks et al., 1999), and ethics link to non-compliance (Hansen and Beukema, 2014). These elements collectively form the “Organizational Climate,” representing employees’ shared perceptions and meanings about policies, practices, procedures, rewards, support, and expectations (Kutsch and Hall, 2010). Additionally, the project’s inherent pressures, including cost (Bowen et al., 2012), time (Tow and Loosemore, 2009), quality (Stansbury, 2005), and various other factors, serve as environmental stimuli influencing employees’ compliance decisions in international construction projects.
From the external organizational view, the stimuli can be classified into “Rules and Regulations” and “Cultural Differences “where the former guides compliance through legal policies, and the latter shapes compliance perceptions and behaviors via cultural variations. Policy formulation and legal enforcement provide essential guidance and boundaries for employees’ compliance behaviors (Sohail and Cavill, 2008). cultural differences affect not only work styles and communication patterns but also the interpretation and application of compliance standards (Yean Yng Ling et al., 2007). The impact of diverse cultural backgrounds on understanding and practicing compliance cannot be overlooked, as employees need to understand and adapt to these differences to make decisions that align with project requirements and objectives (Pheng and Leong, 2000).
2.2 Organism
In the SOR framework, “Organism” represents the cognitive and affective processes mediating between stimuli and responses. Attitudes, central to these processes, are predispositions influencing actions and behavior (Choi and Park, 2017). Widely acknowledged as predictors of behavioral intentions, attitudes are used as mediators across various contexts, including trust and behavior-specific attitudes (Arora et al., 2020; Tuncer, 2021). Thus, “Attitude toward Compliance” is a critical organism factor in this study.
In the SOR paradigm for consumer behavior, perceived value is a psychological assessment of cost–benefit analysis, influencing decisions (Chen and Prompanyo, 2021). Applied to compliance in international construction, this concept equates compliance to consumer behavior, shaped by cost, benefit, and reputation. Hence, “Perceived Behavior Value” is another crucial organism factor in this study, reflecting the psychological evaluation process in the context of compliance.
Interpersonal Behavior Theory (TIB) differentiates emotions from attitudes, suggesting environmental emotions manifest as positive or negative states (Triandis, 1979). Emotions, as psychological responses, are crucial in decision-making (Lewis et al., 2017). In the SOR framework, emotions, often categorized as positive or negative, play a key role as mediators (Song et al., 2022). “Emotional Positivity,” representing the positive psychological state elicited by compliance, is thus an essential organism factor in this study.
2.3 Response
In the SOR model, “Behavioral Intention” is a crucial concept for understanding individual behavior (Hofeditz et al., 2017). It’s commonly used as a response measure in studies, like gaging purchase intention in consumer behavior research (Tuncer, 2021). In international construction projects, “Compliance Intention” serves as a key predictor of compliant behavior, reflecting underlying motivations and likelihood of adherence to norms (Al Jaffri Saad and Haniffa, 2014). This study, therefore, incorporates “Compliance Intention” as the response variable, exploring the drivers of compliance behavior among employees in these projects.
2.4 Hypothesis
In international construction projects, individual traits like compliance experience and rule adherence are crucial for shaping positive compliance behaviors (Jaafar and Ajis, 2013). These traits are essential for making appropriate judgments across diverse legal and cultural landscapes, ensuring the integrity and reliability of project processes. Moreover, these individual characteristics significantly influence emotional stability and engagement in compliance-related tasks (Henle and Gross, 2014). Particularly under the pressures and challenges inherent in international construction projects, these traits contribute to maintaining a positive emotional disposition, mitigating the adverse effects of work-related stress and fostering a commitment to compliant behavior. Accordingly, this study posits the following hypotheses:
Hypothesis 1: Individual traits have a significant influence on attitude toward compliance.
Hypothesis 2: Individual traits have a significant influence on perceived behavior value.
Hypothesis 3: Individual traits have a significant influence on emotional positivity.
Organizational climate profoundly influences employees’ compliance behavior, with the organizational environment substantially shaping their enthusiasm for compliance (Cirka, 2000; Sillic, 2019). The culture and atmosphere of an organization significantly impact the psychological processes employees undergo when making decisions about compliance behavior (Schneider and Hall, 1972). A culture that emphasizes the importance of compliance can enhance employees’ attitudes toward compliant behavior during their work (Hu et al., 2012). Research indicates a positive correlation between organizational climate and organizational corruption (Stachowicz-Stanusch and Simha, 2013), suggesting that a compliance-oriented organizational atmosphere can reduce the allure of non-compliant behavior and heighten the value employees place on compliance. Moreover, a clear and comprehensive compliance plan provides a guideline for action, boosting employees’ positive emotional commitment and adherence to compliance amidst the complexities of international construction projects (Liu et al., 2017). Based on these insights, the study proposes the following hypotheses:
Hypothesis 4: Organizational climate significant influence attitude toward compliance.
Hypothesis 5: Organizational climate significant affect perceived behavior value.
Hypothesis 6: Organizational climate significant impact emotional positivity.
Project pressures, encompassing stringent timeframes, quality benchmarks, and cost control, along with intensified competition among contractors, represent a formidable aspect of international engineering endeavors (Dulaimi and Shan, 2002). In such high-stakes settings, employees may confront a dilemma between project success and adherence to compliance standards. The exigencies of project objectives can compel a compromise between efficiency and regulatory obedience. Despite a proactive stance toward compliance, the immediate pursuit of project milestones can overshadow the perceived value of compliance behaviors. Under such conditions, if compliance actions do not facilitate the attainment of project goals, the employees’ emotional positivity toward compliance could wane. Based on these considerations, the study posits the following hypotheses:
Hypothesis 7: Project pressures significant influence the perceived behavior value.
Hypothesis 8: Project pressures significant affect emotional positivity.
Clear and precise regulations and a keen understanding of cultural differences are essential for ensuring the smooth operation of international contractors’ businesses. These rules provide guidance for employees’ behavior against a backdrop of diverse cultures, while strict enforcement by regulatory bodies deepens employees’ recognition and value of compliance adherence. With explicit punitive mechanisms in place, employees more seriously consider the long-term value of compliance behaviors to avoid potential adverse outcomes (Manu et al., 2013). Moreover, the culture of the host country offers a framework of values and ethics for employees’ daily conduct, facilitating their understanding and integration into local business customs (Liu et al., 2015). However, if employees fail to adapt to cultural differences, their valuation and emotional investment in compliance behaviors may be negatively impacted, increasing compliance risks, and potentially leading to decreased efficiency and quality in compliance implementation. Therefore, this study posits the following hypotheses:
Hypothesis 9: Rules and regulations significant impact attitude toward compliance.
Hypothesis 10: Rules and regulations significant influence perceived behavior value.
Hypothesis 11: Cultural differences significant affect perceived behavior value.
Hypothesis 12: Cultural differences significant effect emotional positivity.
Attitude toward Compliance reflects a psychological inclination, considered a significant predictor of behavioral intention (Choi and Park, 2017). In international construction projects, the decision-making process of employees regarding compliance behaviors can be likened to a consumer’s purchasing process. Employees engage in compliant behaviors based on a judgment of perceived value, where the perceived benefits outweigh the costs, and perceived value is the most direct factor influencing consumer purchase behaviors (Chen and Prompanyo, 2021). Moreover, perceived value has been associated with a positive correlation with continuance intentions (Wang et al., 2020). Emotions play a crucial role in an individual’s ultimate behavior choices (Lewis et al., 2017), and research has identified a positive effect of emotions on behavior (Ibanez et al., 2017). Drawing upon these considerations, this study posits the following hypotheses:
Hypothesis 13: Attitude toward compliance significant influence compliance intention.
Hypothesis 14: Perceived behavior value significant affect compliance intention.
Hypothesis 15: Emotional positivity significant impact compliance intention.
Drawing on the preceding hypotheses, the conceptual model is depicted in Figure 1.
Figure 1

Hypothesized model.
3 Methods
3.1 Sample and data collection
In this study, a choice-based questionnaire survey was utilized as the data Research Topic method, as the variables within the model are subjective in nature. Considering the sensitive and covert aspects of compliance issues, three measures were employed to reduce defensive responses from the respondents (Brown and Loosemore, 2015). Firstly, to alleviate any concerns or apprehensions of the participants, it was clarified that the purpose of the questionnaire was academic research, with no right or wrong answers required, but rather responses based on personal experience. Secondly, participants were assured of the survey’s complete anonymity, ensuring that no personal information or results of the survey would be disclosed. Lastly, a hypothetical scenario method was adopted, where respondents were asked to answer questions based on scenarios rather than real events, which aids in mitigating social desirability bias (Hofeditz et al., 2017; Hong and Furnell, 2022).
To ensure the scenarios were easily comprehensible to respondents, common compliance situations were initially identified from case studies. Subsequently, interviews were conducted with five employees possessing extensive experience in international construction projects, to select the most suitable scenario for the questionnaire survey. The final scenario is as follows: Imagine Tom working on an international construction project. In this project, he is responsible for ensuring that the work is completed on time and within budget, while strictly adhering to the environmental, social, and governance (ESG) standards of the host country, and effectively preventing any corruption or fraud. Tom’s role involves collaborating with colleagues from diverse cultural backgrounds, navigating a range of complex legal and ethical issues, and managing the dual pressures of project progress and cost. In this multifaceted and challenging environment, one of the primary challenges he faces is finding a balance between complying with regulations and achieving project objectives. In this context, how would you anticipate Tom’s behavior?
The snowball sampling method was employed for data Research Topic for two main reasons. First, given the uncertainty in the number of personnel with international engineering experience, snowball sampling provides a statistically reliable sample (Oyewobi et al., 2019). Second, this method allows respondents to suggest individuals interested in participating in the survey. Considering the sensitive nature of compliance issues (Rabl and Kühlmann, 2008), this approach aids in obtaining more reliable data. Initially, 50 respondents were selected from the China Architectural Society, the alumni association of the researcher’s university, and the China International Contractors Association. They were then asked to recommend additional individuals suitable for the study. It is worth considering that the survey list originates from individuals who have been previously surveyed, and there may be similarities among them, which could potentially lead to deviations in the overall sample. At the outset of the survey, this study required surveyees to provide a list that meets the requirements while avoiding homogeneity as much as possible. Ultimately, 300 questionnaires were distributed, of which 273 were retrieved. Three were discarded due to incomplete or clearly erroneous responses, resulting in 270 valid questionnaires. Given the sensitivity surrounding compliance issues, obtaining a large sample size is somewhat unrealistic (Brown and Loosemore, 2015). The sample size for this study, while relatively small, is sufficient for an exploratory study involving a highly sensitive topic (Gunduz and Önder, 2013).
3.2 Characteristic of respondents
In terms of work experience, the majority of the 270 respondents had more than 5 years of relevant experience, with 42.96% having over 10 years of experience. In terms of position, 25.93% were in corporate management positions, including senior managers and department managers, while project managers and engineers working at the grassroots level of international construction projects accounted for 20.74 and 43.70% of respondents, respectively. Geographically, 85 respondents were from China, while the remaining 185 were working on international construction projects in Asia (excluding China), Africa, Europe, North America, South America, and Australia (Table 1).
Table 1
| Characteristics | Items | Frequency | Percentage |
|---|---|---|---|
| (n = 270) | |||
| Work experience | <3 | 21 | 7.78 |
| 3–5 | 48 | 17.78 | |
| 6–10 | 85 | 31.48 | |
| 11–15 | 67 | 24.81 | |
| >15 | 49 | 18.15 | |
| Rank | Senior manager | 42 | 15.56 |
| Department manager | 28 | 10.37 | |
| Project manager | 56 | 20.74 | |
| Engineer | 118 | 43.7 | |
| Else | 26 | 9.63 | |
| Area | China | 85 | 31.48 |
| Asia (except China) | 85 | 31.48 | |
| Africa | 49 | 18.15 | |
| Europe | 14 | 5.19 | |
| North America | 8 | 2.96 | |
| South America | 11 | 4.07 | |
| Australia | 18 | 6.67 |
Demographic characteristics of respondents.
3.3 Measures
The measurement items for the survey were initially developed based on a comprehensive review of relevant literature and were further tailored to fit the specifically designed scenarios of international construction compliance. To ensure the survey’s validity and reliability, a pilot study was conducted with 10 experts in the field of international construction, comprising 5 executives from international construction firms and 5 academics from both domestic and international universities. The survey’s questions were refined based on feedback from this pilot study. Following this, a select group of employees with significant experience in international construction was chosen to complete the questionnaire before its official distribution, to test its content and structure. The survey was structured into three sections: (1) a brief explanation of the designed scenarios related to international construction compliance; (2) questions pertaining to personal information such as years of work experience; and (3) the evaluation of related items (Table 2) based on respondents’ experience, using a Likert five-point scale ranging from 5 (strongly agree) to 1 (strongly disagree).
Table 2
| Category | Items | References |
|---|---|---|
| Individual traits (IT) | C1: Tom has compliance experience | Kwofie et al. (2018) |
| C2: Tom actively monitors external information | Wang and Mao (2012) | |
| C3: Tom adheres to rules | Peng and Chan (2019) | |
| Organizational climate (OC) | B1: Tom’s organization prioritizes compliance for growth | Weaver and Treviño (1999) |
| B2: Tom’s organization routinely engages in compliance activities | Li and Liu (2022) | |
| B3: Tom’s organization has a dynamic, explicit, and comprehensive compliance plan | Paine (1994) | |
| Project pressures (PP) | C1: Tom feels relaxed and manages well even under tight deadlines | Cohen et al. (1983) |
| C2: Tom efficiently balances maintaining project progress with compliance requirements | Mendl (1999) | |
| C3: Despite budget and time constraints, Tom consistently achieves full compliance | Beautement et al. (2008) | |
| Rules and regulations (RR) | D1: Tom clearly understands the laws and regulations of the project’s host countries | Aaltonen (2013) |
| D2: Regulatory bodies strictly enforce rules | Djankov et al. (2002) | |
| D3: Tom can effectively apply these rules and regulations in his work | Pistor et al. (2000) | |
| Cultural differences (CD) | E1: Tom feels comfortable communicating with colleagues from different cultural backgrounds | Hofstede (1984) |
| E2: Tom adapts his work style to align with different cultural norms in the project | Earley and Ang (2003) | |
| E3: Tom understands how cultural differences can impact project outcomes | Thomas (2008) | |
| Attitude toward compliance (AC) | F1: Tom believes that strict adherence to compliance is crucial for project success | Ajzen (1991) |
| F2: Tom views compliance as a moral obligation in his professional role | Treviño et al. (2006) | |
| F3: Tom considers compliance as an integral part of project management | Weaver and Trevino (2001) | |
| Perceived behavior value (PBV) | G1: Tom perceives that following compliance guidelines adds value to the project | Rokeach (1973) |
| G2: Tom believes that compliance activities contribute to the long-term sustainability of organization | Schwartz (1992) | |
| G3: Tom views compliance as a means to enhance the company’s reputation and trustworthiness | Donaldson and Dunfee (1999) | |
| Emotional positivity (EP) | H1: Tom feels confident in his ability to handle compliance-related challenges | Bandura et al. (1999) |
| H2: Tom maintains a positive attitude when dealing with compliance issues | Fredrickson (2001) | |
| H3: Tom feels motivated when working on compliance aspects of the project | Ryan and Deci (2000) | |
| Compliance intention (CI) | I1: Tom intends to strictly follow all compliance regulations in his work | Fishbein and Ajzen (1977) |
| I2: Tom plans to actively seek additional training or information related to compliance | Ajzen (2002) | |
| I3: Tom is committed to advocating for compliance within his project team | Kurland (1995) |
Scale items.
3.4 Data analysis
Structural Equation Modeling (SEM) was utilized in this study to elucidate and substantiate the interrelations among diverse constructs, while Necessary Condition Analysis (NCA) was applied to ascertain if environmental factors constitute indispensable conditions for the realization of Compliance Intention. The integration of SEM and NCA in data analysis allows for a comprehensive consideration of the intricacies inherent in causal relationships and the essentiality of conditions (Gao et al., 2023), thereby enriching the understanding of the role environmental factors play in the formation of compliance intention.
Due to the presence of nonnormal data and the constraint of a small sample size (Ringle et al., 2012; Le et al., 2014), the study utilized Partial Least Squares Structural Equation Modeling (PLS-SEM), with 270 samples deemed sufficient for robust analysis. Data analysis was conducted using Smart PLS 3 statistical software (Ringle et al., 2015), employing the “path” weighting scheme and setting the maximum iteration count to 300. For the purpose of bootstrapping, a bias-corrected and accelerated approach was chosen, involving 5,000 subsamples to ensure the accuracy and reliability of the results. To assess the potential impact of common method bias, Harman’s one-factor test was applied. The outcome of an unrotated exploratory factor analysis revealed that the most substantial of the 27 extracted factors accounted for only 30.13% of the total variance. This proportion, being significantly below the often-cited threshold of 50%, suggested the absence of common method bias in the study. Additionally, the application of PLS-SEM further mitigates concerns regarding response biases, a noted advantage of this methodology (Pertusa-Ortega et al., 2010). Confirmatory statistical tests comparing responses from early and late participants also indicated no significant differences, reinforcing the reliability of the survey results.
Subsequent to SEM analysis, factor scores derived from the latent variable model were normalized to a 1–5 scale for NCA utilizing R software. A sample size of 10,000, conforming to suggested standards, was utilized to investigate the necessary effect size and statistical significance, determining the extent to which a variable or construct is a necessary condition for an outcome (Richter et al., 2020). Additionally, the analysis incorporated the CR-FDH (Conditional Efficiency - Restricted Disposal Hull) method, an NCA technique that discerns the minimum requisite level of a variable, based on the dataset’s efficiency frontier, necessary for achieving or surpassing a specific result. CR-FDH posits that data points are not permissibly disposed below this frontier, establishing that even a singular data point at a particular variable level substantiates its necessity for the result. This approach offers a stringent avenue for identifying and validating a variable as a necessary condition for an outcome (Dul, 2016).
4 Results
4.1 Measurement model
The internal consistency of each latent variable was evaluated using Cronbach’s alpha, while Composite Reliability (CR) values and factor loadings were employed to assess the convergent validity of the measurement model. As presented in Table 3, all constructs exhibited Cronbach’s alpha values ranging from 0.756 to 0.870, well above the recommended threshold of 0.7. Additionally, Average Variance Extracted (AVE) values ranged from 0.632 to 0.825, exceeding the standard minimum of 0.6, and factor loadings varied between 0.744 and 0.929, all surpassing the 0.7 benchmark. These indicators collectively suggest robust internal consistency and convergent validity (Hair et al., 2010). Furthermore, the discriminant validity of the model was established, as evidenced by the square roots of the AVEs for each latent variable, which were significantly greater than their respective inter-variable structural correlation coefficients. Each variable also demonstrated maximum loading on its intended latent construct as shown in Table 4, confirming the validity and effectiveness of the theoretical model (Chin, 1998).
Table 3
| Variables* | Factor loading | AVE | CR | Cronbach’s alpha |
|---|---|---|---|---|
| IT | 0.798 ~ 0.901 | 0.697 | 0.873 | 0.793 |
| OC | 0.763 ~ 0.887 | 0.683 | 0.866 | 0.765 |
| PP | 0.862 ~ 0.913 | 0.791 | 0.919 | 0.804 |
| RR | 0.744 ~ 0.856 | 0.632 | 0.873 | 0.871 |
| CD | 0.832 ~ 0.891 | 0.753 | 0.901 | 0.77 |
| AC | 0.760 ~ 0.908 | 0.699 | 0.874 | 0.831 |
| PBV | 0.827 ~ 0.925 | 0.751 | 0.901 | 0.699 |
| EP | 0.865 ~ 0.929 | 0.818 | 0.931 | 0.801 |
| CI | 0.870 ~ 0.941 | 0.825 | 0.934 | 0.782 |
Factor loadings, composite reliability, and internal consistency.
*IT, individual traits; OC, organizational climate; PP, project pressures; RR, rules and regulations; CD, cultural differences; AC, attitude toward compliance; PBV, perceived behavior value; EP, emotional positivity; CI, compliance intention.
Table 4
| IT* | OC | PP | RR | CD | AC | PBV | EP | CI | |
|---|---|---|---|---|---|---|---|---|---|
| IT | 0.835 a | ||||||||
| OC | 0.458 | 0.826 | |||||||
| PP | 0.235 | 0.453 | 0.889 | ||||||
| RR | 0.19 | 0.231 | 0.321 | 0.795 | |||||
| CD | 0.389 | 0.294 | 0.203 | 0.28 | 0.868 | ||||
| AC | 0.083 | 0.217 | 0.198 | 0.312 | 0.325 | 0.836 | |||
| PBV | 0.273 | 0.145 | 0.123 | 0.179 | 0.256 | 0.672 | 0.867 | ||
| EP | 0.152 | 0.118 | 0.134 | 0.401 | 0.553 | 0.551 | 0.383 | 0.904 | |
| CI | 0.452 | 0.324 | 0.348 | 0.213 | 0.189 | 0.402 | 0.499 | 0.537 | 0.908 |
Result of discriminant validity.
*IT, individual traits; OC, organizational climate; PP, project pressures; RR, rules and regulations; CD, cultural differences; AC, attitude toward compliance; PBV, perceived behavior value; EP, emotional positivity; CI, compliance intention.
The bold values are the square root of AVE.
4.2 Structural model and hypothesis testing
This study validated 13 out of 15 proposed hypotheses (Table 5). Specifically, Hypothesis 10 (coefficient: 0.109) and Hypothesis 11 (coefficient: 0.082) were not supported, indicating that rules and regulations did not significantly impact employees’ perceived behavior value. Cultural differences did not have a significant effect on employees’ perceived behavior value. Hypothesis 1 (coefficient: 0.265, p < 0.001), Hypothesis 2 (coefficient: 0.297, p < 0.001), Hypothesis 3 (coefficient: 0.321, p < 0.001), Hypothesis 4 (coefficient: 0.338, p < 0.001), Hypothesis 5 (coefficient: 0.175, p < 0.01) and Hypothesis 6 (coefficient: 0.236, p < 0.001) were significantly supported, showing that individual traits and organizational climate had a substantial influence on attitude toward compliance, perceived behavior value, and emotional positivity. When the organizational climate increasingly views compliance as a pivotal job prerequisite, employees’ attitudes and affective responses toward compliance are anticipated to undergo enhancement. The presence of a greater number of factors within an individual’s traits that facilitate compliance-related endeavors is associated with a more optimal state of the organism factors. Hypothesis 7 (coefficient: 0.161, p < 0.05), Hypothesis 8 (coefficient: 0.181, p < 0.01), Hypothesis 9 (coefficient: 0.120, p < 0.05), and Hypothesis 12 (coefficient: 0.137, p < 0.05) were supported, indicating that project pressures impacted perceived behavior value and emotional positivity, rules and regulations had a certain influence on attitude toward compliance, and cultural differences influenced emotional positivity. The increased project pressure faced by employees may render it more difficult for them to maintain a high level of perceived behavioral value and emotional positivity. Furthermore, significant cultural differences can pose considerable challenges to the enhancement of employees’ emotional positivity. Finally, Hypothesis 13 (coefficient: 0.325, p < 0.001), Hypothesis 14 (coefficient: 0.288, p < 0.001), and Hypothesis 15 (coefficient: 0.368, p < 0.001) were validated, illustrating that attitude toward compliance, perceived behavior value, and emotional positivity significantly influenced compliance intention.
Table 5
| Standard | |||||
|---|---|---|---|---|---|
| Hypothesis | Path | Coefficient | Deviation | t-value | Conclusion |
| 1 | IT → AC | 0.265*** | 0.063 | 4.832 | Support |
| 2 | IT → PBV | 0.297*** | 0.052 | 6.871 | Support |
| 3 | IT → EP | 0.321*** | 0.059 | 7.713 | Support |
| 4 | OC → AC | 0.338*** | 0.051 | 6.872 | Support |
| 5 | OC → PBV | 0.175** | 0.053 | 2.832 | Support |
| 6 | OC → EP | 0.236*** | 0.052 | 4.282 | Support |
| 7 | PP → PBV | 0.161* | 0.064 | 2.126 | Support |
| 8 | PP → EP | 0.181** | 0.061 | 2.957 | Support |
| 9 | RR → AC | 0.120* | 0.06 | 2.353 | Support |
| 10 | RR → PBV | 0.109 | 0.064 | 1.571 | Unsupport |
| 11 | CD → PBV | 0.082 | 0.065 | 1.332 | Unsupport |
| 12 | CD → EP | 0.137* | 0.059 | 2.261 | Support |
| 13 | AC → CI | 0.325*** | 0.065 | 6.917 | Support |
| 14 | PBV → CI | 0.288*** | 0.051 | 7.281 | Support |
| 15 | EP → CI | 0.368*** | 0.063 | 9.738 | Support |
Results of hypothesis testing.
***p < 0.001; **p < 0.01; *p < 0.05.
4.3 Results of NCA
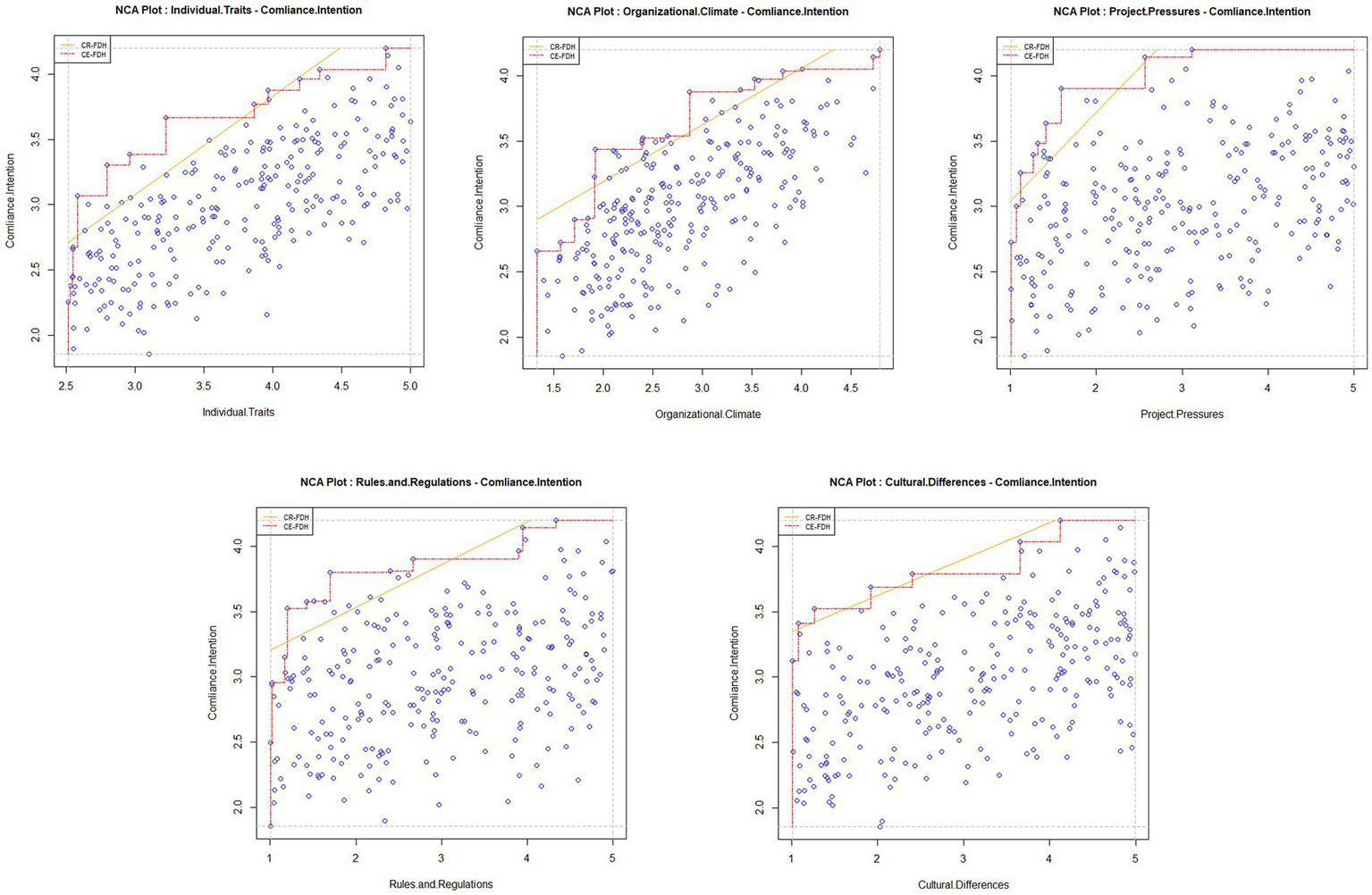
The findings presented in Table 6 delineated that individual traits and organizational climate as robustly necessary for compliance intention, with precision levels of 95.2 and 91.9%, upper boundaries exceeding 5.8 and 8.1, and substantial effect sizes of 0.253 and 0.241, complemented by p-values well under 0.001. While project pressures, rules and regulations, and cultural differences are also determined as necessary to an extent, their comparatively lower effect sizes and varied levels of statistical significance indicated a relatively weaker necessity in influencing compliance intention. Figure 2 provides scatterplot visualizations for the entire spectrum of correlations.
Table 6
| Condition | Precision | Upper bound | Range | Effect size (d) | p-value |
|---|---|---|---|---|---|
| Individual traits | 95.20% | 1.474 | 5.836 | 0.253 | 0.000 |
| Organizational climate | 91.90% | 1.951 | 8.109 | 0.241 | 0.000 |
| Project pressures | 95.60% | 0.986 | 9.373 | 0.105 | 0.167 |
| Rules and regulations | 95.60% | 1.522 | 9.386 | 0.162 | 0.013 |
| Cultural differences | 98.50% | 1.308 | 9.354 | 0.14 | 0.058 |
Results of NCA.
The condition refers to the calibrated fuzzy membership value; An effect size (d) between 0 and 0.1 is considered low; The permutation test in NCA analysis was conducted with 1,000 resamples.
Figure 2

Scatterplots of all correlations.
Bottleneck analysis elucidated that with rising compliance intention levels, the bottleneck incidence for each condition increased correspondingly. At full compliance intention, individual traits and organizational climate attained bottleneck incidences of 79.5 and 86.7%, underscoring their substantial role. Concurrently, project pressures, rules and regulations, and cultural differences manifested bottleneck percentages of 42.7, 76.1, and 76.8%, reflecting their significance as necessary conditions, albeit with a reduced impact (Table 7). Collectively, these outcomes confirm individual traits and organizational climate as critical for high compliance intention, whereas the necessity of project pressures, rules and regulations, and cultural differences is more pronounced at elevated levels of intention, albeit to a lesser extent.
Table 7
| Compliance intention | Individual traits | Organizational climate | Project pressures | Rules and regulations | Cultural differences |
|---|---|---|---|---|---|
| 0 | NN* | NN | NN | NN | NN |
| 10 | NN | NN | NN | NN | NN |
| 20 | NN | NN | NN | NN | NN |
| 30 | NN | NN | NN | NN | NN |
| 40 | 4.5 | NN | NN | NN | NN |
| 50 | 17 | 8.6 | NN | NN | NN |
| 60 | 29.5 | 24.2 | 8.1 | 4.7 | NN |
| 70 | 42 | 39.8 | 16.7 | 22.5 | 13.5 |
| 80 | 54.5 | 55.5 | 25.4 | 40.4 | 34.6 |
| 90 | 67 | 71.1 | 34 | 58.2 | 55.7 |
| 100 | 79.5 | 86.7 | 42.7 | 76.1 | 76.8 |
Results of bottleneck analysis.
*NN, not necessary.
5 Discussion
5.1 Result analysis
This study aims to explore the mechanism of environmental stimuli on the compliance psychology and behavior of international construction employees. The goal is to assist international contractors in identifying and prioritizing the factors most crucial for enhancing worker compliance. According to the results of SEM (Figure 3, ***p < 0.001, **p < 0.01, *p < 0.05, dashed lines indicate insignificant paths), five environmental factors have an impact on the compliance intentions of international construction employees by stimulating the organism. Compared to external organizational factors, internal factors have a greater impact on the organism. Notably, individual traits and organizational climate significantly affect three organism factors: attitude toward compliance, perceived behavior value, and emotional positivity. These findings support the perspectives of Lee and Foo (2022), Grojean et al. (2004), and Jeung and Chang (2021), which suggested that individual traits and organizational atmosphere can influence employees’ attitudes, emotions, and values.
Figure 3

Hypothesis test results.
Simultaneously, external factors such as rules and regulations and cultural differences have limited impact on the organism factors. In particular, the hypothesis regarding the influence of rules and regulations or cultural differences on employees’ perceived value was rejected, differing from the conclusions of Seegebarth on how cultural differences affect individual perceived values (Seegebarth et al., 2016). Furthermore, the NCA results revealed a strong necessity for individual traits and organizational climate, especially when the intention for compliance is high, indicating their critical importance to compliance intentions. In contrast, project pressure, rules and regulations, and cultural differences are also necessary conditions to some extent, but their necessity is relatively lower, especially when the level of compliance intention is not particularly high. This still supports Liu et al.’s research that project pressure will weaken employees’ compliance attitude, while supervision can enhance their compliance attitude (Liu et al., 2022).
International construction projects are characterized by their temporality and insularity. Employees often face significant feelings of unfamiliarity, cultural differences, and adaptation issues when moving from their home countries to host countries of the projects (Konanahalli et al., 2012). Their work and life are generally confined to the project site, forming a relatively closed organizational micro-ecosystem. In such contexts, employees’ psychology and behavior are mainly influenced by themselves, as well as colleagues and the organization. For instance, individuals with a strong sense of rules exhibit better attitudes toward compliance, and organizations that uphold a culture of compliance are less likely to experience violations internally (Langevoort, 2017). Additionally, in the micro-ecosystem of project organizations, employees generally do not have direct contact with the external environment, and most external information does not directly impact them. Legal regulations and cultural differences, among other information, are often filtered and absorbed by project organizations to influence employees’ behavioral decisions, such as through the issuance of worker behavior guidelines and the conducting of compliance training at the project level (McIlwraith, 2021). Therefore, individual traits and organizational climate can be considered key environmental stimuli in the compliance management of international construction projects.
5.2 Theoretical implications
This study explores the impact of environmental factors on the compliance intentions of international construction employees by applying and extending the SOR model. The research adapts the SOR model to the novel context of international construction projects and broadens its scope to encompass diverse environmental stimuli, including individual traits, organizational climate, project pressure, rules and regulations, and cultural differences. These stimuli are analyzed for their effects on key organism components such as attitudes toward compliance, perceived behavior value, and emotional positivity. Such an application and expansion of the SOR model offers fresh perspectives on its relevance and efficacy in multicultural and international business settings.
While previous studies have examined the impacts of organizational atmosphere and individual factors on compliance management (Neal et al., 2000; Zubaidah et al., 2012), they have predominantly done so from an organizational management perspective, often neglecting the psychological aspects of employees (Jaafar and Ajis, 2013). This research uncovers the distinct effects of both internal and external environmental factors on compliance intentions, offering an in-depth analysis of how these factors influence worker compliance behaviors in international construction projects. Importantly, the study highlights the significant influence of individual traits and organizational climate on the psychological and behavioral aspects of worker compliance. This revelation paves the way for novel compliance management strategies in international construction projects, emphasizing the critical role of employees’ psychological states.
Moreover, this study accentuates the distinctive micro-ecological characteristics of international construction projects, notably their temporality and insularity, and examines their influence on worker psychology and behavior. This approach offers fresh insights into the behavioral dynamics of employees within cross-cultural and evolving environments. The study also integrates the Necessary Condition Analysis (NCA) method to quantitatively evaluate the relative significance of different environmental factors in shaping compliance intentions in international construction projects. This integration presents an innovative analytical framework for investigating the complex interplay of various factors.
In summary, the theoretical contribution of this paper lies in applying and extending the SOR model to the field of international construction projects, providing an in-depth analysis of the impact of various environmental factors on compliance intentions, and offering new understandings and management strategies for international project management. This work lays a rich theoretical foundation and analytical tools for future research in this area.
5.3 Managerial implications
In managing compliance within international construction projects, objective factors such as rules and regulations, cultural differences, and project pressures invariably exist (Scott et al., 2011). While these environmental stimuli do impact the organism, businesses are largely unable to directly change these external factors. In contrast, aspects at the individual and organizational levels are key environmental stimuli that enterprises can more effectively manipulate. In response, this study proposes a binary compliance management strategy, as detailed in Figure 4, that concentrates on both the organizational structure and individual employees. This strategy enables international contractors to enact a series of targeted measures at both the organizational and personal levels. These measures are designed to positively influence employees’ psychological orientations, promoting attitudes supportive of compliance, enhancing value perception, and cultivating positive emotions. The aim is to develop strong compliance intentions among employees.
Figure 4

Dual compliance management strategies.
At the organizational level, it is imperative for international contractors to foster organizational transparency, a move that has been shown to reinforce worker trust (Berggren and Bernshteyn, 2007; Rawlins, 2008). Enhancing transparency not only fortifies team trust but also elevates the perceived importance of compliance among employees, thus encouraging their voluntary adherence to regulations. Leadership plays a critical role in this context, with leaders expected to exemplify moral standards, thereby setting a tone of integrity and compliance within the team (Sims and Brinkman, 2002). Additionally, it is essential for organizations to cultivate a communicative environment that supports the exchange of compliance-related knowledge and ideas (Jiacheng et al., 2010). This approach aids in developing a shared understanding of compliance issues and aligning viewpoints across the team. Furthermore, the implementation of well-designed incentive mechanisms is recommended. Such mechanisms should reward compliant behaviors, reinforcing positive actions, while also providing deterrents for non-compliance (Li and Hoffman, 2023). This balanced approach of rewards and penalties is pivotal in promoting and maintaining a culture of compliance within the organization.
At the individual level, enhancing self-discipline is crucial for employees. Highly self-disciplined individuals demonstrate clear judgment and rule adherence, especially when confronted with temptations to engage in non-compliant behaviors (Arthur and Graziano, 1996). This quality is especially vital for frontline project staff who regularly face a multitude of compliance challenges. Furthermore, elevating a sense of responsibility is imperative. According to Ali and Ahmad (2014), employees with heightened responsibility are more considerate of stakeholder needs and actively safeguard the company’s image and interests, often displaying greater positivity toward compliance initiatives. Cultivating self-reflection and the ability to adjust behavior in response to potential rule violations is another key trait. This self-awareness fosters a compliance-friendly mindset and enhances sensitivity to rule boundaries, which is instrumental in long-term adherence to correct procedures (Gerace et al., 2017). Additionally, fostering a culture of continuous learning is essential in an environment where rules and requirements are constantly evolving. This ongoing learning process enables employees to stay abreast of the latest compliance standards and skills. Engaging in reflective analysis of compliance issues across various scenarios deepens their understanding of the significance of compliance, thus acknowledging its role in bolstering the organization’s reputation and sustainable growth.
The binary compliance management strategy emphasized in this research underscores the critical role of frontline employees in a bottom-up approach to compliance management. This strategy, focusing on worker engagement in decision-making and problem-solving, contrasts with traditional top-down methods (Given, 1949; Lupton, 1991), facilitating the achievement of compliance objectives. Moreover, corporate compliance goals are not static; they evolve with increasing external regulatory demands, leading to more detailed and specific objectives. This dynamic nature of compliance goals guides adjustments in strategies at both organizational and individual levels, ensuring adaptability to changing external conditions.
5.4 Limitations and future research
This study, while insightful, has certain limitations. The snowball sampling method, primarily involving Chinese contractors, might limit the generalizability of the findings. Future research should focus on expanding the sample size and including contractors from diverse nationalities to enhance the applicability and precision of the results. Additionally, exploring a wider range of international engineering issues and integrating more varied methodological approaches could provide a broader perspective and deeper insights into global engineering challenges.
6 Conclusion
This study in international construction projects underscores the critical role of psychological and behavioral dynamics in worker compliance, heavily influenced by environmental stimuli. The research demonstrates that internal organizational factors, notably Individual Traits and Organizational Climate, are more influential on compliance intentions than external ones. The introduced ‘Binary Micro-Ecological Compliance Management Strategy’ champions a bottom-up approach, placing employees at the forefront of compliance activities. This strategy not only provides a practical guide for enhancing compliance management but also enriches the theoretical framework by elucidating the impact of environmental stimuli on worker behavior, laying the groundwork for future research in this area.
Statements
Data availability statement
The original contributions presented in the study are included in the article/supplementary material, further inquiries can be directed to the corresponding author.
Ethics statement
The studies involving humans were approved by Ethics Committee of School of Civil Engineering, Southeast University. The studies were conducted in accordance with the local legislation and institutional requirements. The participants provided their written informed consent to participate in this study.
Author contributions
TC: Conceptualization, Data curation, Funding acquisition, Investigation, Methodology, Resources, Software, Supervision, Writing – original draft, Writing – review & editing. YW: Conceptualization, Formal analysis, Methodology, Project administration, Supervision, Writing – original draft, Writing – review & editing. XD: Conceptualization, Resources, Writing – review & editing. XW: Software, Visualization, Writing – review & editing. YY: Visualization, Writing – review & editing.
Funding
The author(s) declare that financial support was received for the research, authorship, and/or publication of this article. This research was funded by the National Natural Science Foundation of China [grant number 72101053, 72171048], the Ministry of Education of Humanities and Social Science project in China [grant number 21YJCZH008], and the Fundamental Research Funds for the Central Universities.
Conflict of interest
The authors declare that the research was conducted in the absence of any commercial or financial relationships that could be construed as a potential conflict of interest.
Publisher’s note
All claims expressed in this article are solely those of the authors and do not necessarily represent those of their affiliated organizations, or those of the publisher, the editors and the reviewers. Any product that may be evaluated in this article, or claim that may be made by its manufacturer, is not guaranteed or endorsed by the publisher.
References
1
Aaltonen K. (2013). The establishment of legitimacy: the case of international projects. Int. J. Manag. Proj. Bus.6, 13–35. doi: 10.1108/17538371311291008
2
Ajzen I. (1991). The theory of planned behavior. Organ. Behav. Hum. Decis. Process.50, 179–211. doi: 10.1016/0749-5978(91)90020-T
3
Ajzen I. (2002). Perceived behavioral control, self-efficacy, locus of control, and the theory of planned behavior. J. Appl. Soc. Psychol.32, 665–683. doi: 10.1111/j.1559-1816.2002.tb00236.x
4
Al Jaffri Saad R. Haniffa R. (2014). Determinants of zakah (Islamic tax) compliance behavior. J. Islam. Account Bus. Res.5, 182–193. doi: 10.1108/JIABR-10-2012-0068
5
Ali A. Ahmad N. (2014). Trust and tax compliance among Malaysian working youth. Int. J. Public Adm.37, 389–396. doi: 10.1080/01900692.2013.858353
6
Arora S. Parida R. R. Sahney S. (2020). Understanding consumers' showrooming behaviour: a stimulus–organism–response (SOR) perspective. Int. J. Retail Distrib. Manag.48, 1157–1176. doi: 10.1108/IJRDM-01-2020-0033
7
Arthur W. Jr. Graziano W. G. (1996). The five-factor model, conscientiousness, and driving accident involvement. J. Pers.64, 593–618. doi: 10.1111/j.1467-6494.1996.tb00523.x
8
Bahoo S. Alon I. Paltrinieri A. (2020). Corruption in international business: a review and research agenda. Int. Bus. Rev.29:101660. doi: 10.1016/j.ibusrev.2019.101660
9
Bandura A. Freeman W. H. Lightsey R. (1999). Self-efficacy: The exercise of control. New York, NY: W H Freeman/Times Books/Henry Holt & Co.
10
Beautement A. Sasse M. A. Wonham M. (2008). “The compliance budget: managing security behavior in organisations” in Proceedings of the 2008 new security paradigms workshop, 47–58.
11
Ben Khaled W. Gond J. P. (2020). How do external regulations shape the design of ethical tools in organisations? An open polity and sociology of compliance perspective. Hum. Relat.73, 653–681. doi: 10.1177/0018726719828437
12
Berggren E. Bernshteyn R. (2007). Organizational transparency drives company performance. J. Manag. Dev.26, 411–417. doi: 10.1108/02621710710748248
13
Bowen P. A. Edwards P. J. Cattell K. (2012). Corruption in the south African construction industry: a thematic analysis of verbatim comments from survey participants. Constr. Manag. Econ.30, 885–901. doi: 10.1080/01446193.2012.711909
14
Brown J. Loosemore M. (2015). Behavioural factors influencing corrupt action in the Australian construction industry. Eng. Constr. Archit. Manag.22, 372–389. doi: 10.1108/ECAM-03-2015-0034
15
Chan E. H. Tse R. Y. (2003). Cultural considerations in international construction contracts. J. Constr. Eng. Manag.129, 375–381. doi: 10.1061/(ASCE)0733-9364(2003)129:4(375)
16
Chen X. Chen L. Wu D. (2018). Factors that influence employees’ security policy compliance: an awareness-motivation-capability perspective. J. Comput. Inf. Syst.58, 312–324. doi: 10.1080/08874417.2016.1258679
17
Chen H. Prompanyo M. (2021). The impact of customer perceived value of contemporary art Jewelry on purchase behavior: a case of Beijing, China. Mod. Econ.12, 1082–1091. doi: 10.4236/me.2021.126056
18
Chin W. W. (1998). The partial least squares approach to structural equation modeling. Modern Methods for Business Research295, 295–336.
19
Choi Y. J. Park J. W. (2017). The decision-making processes of duty-free shop users using a goal-directed behavior model: the moderating effect of gender. J. Hosp. Tour. Manag.31, 152–162. doi: 10.1016/j.jhtm.2016.11.001
20
Cirka C. C. (2000). Compliance and constructive contributions in organizations: Effects of managerial control styles on proactive employee behaviors. Philadelphia, PA: Temple University Press.
21
Cohen S. Kamarck T. Mermelstein R. (1983). A global measure of perceived stress. J. Health Soc. Behav.24, 385–396.
22
Djankov S. La Porta R. Lopez-de-Silanes F. Shleifer A. (2002). The regulation of entry. Q. J. Econ.117, 1–37. doi: 10.1162/003355302753399436
23
Donaldson T. Dunfee T. W. (1999). Ties that bind: A social contracts approach to business ethics. Brighton, MA: Harvard Business School Press.
24
Dul J. (2016). Necessary condition analysis (NCA): logic and methodology of “necessary but not sufficient” causality. Organ. Res. Methods19, 10–52. doi: 10.1177/1094428115584005
25
Dulaimi M. F. Shan H. G. (2002). The factors influencing bid mark-up decisions of large-and medium-size contractors in Singapore. Constr. Manag. Econ.20, 601–610. doi: 10.1080/01446190210159890
26
Earley P. C. Ang S. (2003). Cultural intelligence: Individual interactions across cultures. Redwood City, CA: Stanford University Press.
27
Ebekozien A. (2022). Construction companies’ compliance to personal protective equipment on junior staff in Nigeria: issues and solutions. Int. J. Build. Pathol. Adapt.40, 481–498. doi: 10.1108/IJBPA-08-2020-0067
28
Fishbein M. Ajzen I. (1977). Belief, attitude, intention, and behavior: An introduction to theory and research. Boston, MA, USA: Addison-Wesley.
29
Fredrickson B. L. (2001). The role of positive emotions in positive psychology: the broaden-and-build theory of positive emotions. Am. Psychol.56, 218–226. doi: 10.1037/0003-066X.56.3.218
30
Furnham A. (2012). The psychology of behaviour at work: The individual in the organization. East Sussex, UK: Psychology Press.
31
Gao L. Lu Y. Zhang N. Wang Y. Yang W. Deng X. (2023). Psychological resilience-based multifactorial framework of expatriate adjustment. Psychol. Res. Behav. Manag.16, 3907–3924. doi: 10.2147/PRBM.S423152
32
Gendolla G. H. (2000). On the impact of mood on behavior: an integrative theory and a review. Rev. Gen. Psychol.4, 378–408. doi: 10.1037/1089-2680.4.4.378
33
Gerace A. Day A. Casey S. Mohr P. (2017). ‘I think, you think’: understanding the importance of self-reflection to the taking of another person's perspective. J Relatsh Res.8:e9. doi: 10.1017/jrr.2017.9
34
Given W. B. Jr. (1949). Bottom-up management: People working together. New York, NY: HarperCollins.
35
Grojean M. W. Resick C. J. Dickson M. W. Smith D. B. (2004). Leaders, values, and organizational climate: examining leadership strategies for establishing an organizational climate regarding ethics. J. Bus. Ethics55, 223–241. doi: 10.1007/s10551-004-1275-5
36
Gunduz M. Önder O. (2013). Corruption and internal fraud in the Turkish construction industry. Sci. Eng. Ethics19, 505–528. doi: 10.1007/s11948-012-9356-9
37
Hair J. F. Anderson R. E. Tatham R. L. Black W. C. (2010). Multivariate data analysis: A global perspective. 7th Edn. Upper Saddle River, NJ: Prentice Hall.
38
Hansen S. Beukema P. (2014). Business sustainability requires ethics. ICSI 2014: creating infrastructure for a sustainable world. Reston, VA: ASCE, 853–867.
39
Henle C. A. Gross M. A. (2014). What have I done to deserve this? Effects of employee personality and emotion on abusive supervision. J. Bus. Ethics122, 461–474. doi: 10.1007/s10551-013-1771-6
40
Hofeditz M. Nienaber A. M. Dysvik A. Schewe G. (2017). Want to versus have to: intrinsic and extrinsic motivators as predictors of compliance behavior intention. Hum. Resour. Manag.56, 25–49. doi: 10.1002/hrm.21774
41
Hofstede G. (1984). Culture's consequences: international differences in work-related values, vol. 5. Thousand Oaks, CA: Sage.
42
Hong Y. Furnell S. (2022). Motivating information security policy compliance: insights from perceived organizational formalization. J. Comput. Inf. Syst.62, 19–28. doi: 10.1080/08874417.2019.1683781
43
Hu H. Deng X. Mahmoudi A. (2023). A cognitive model for understanding fraudulent behavior in construction industry. Eng. Constr. Archit. Manag.30, 1423–1443. doi: 10.1108/ECAM-08-2021-0703
44
Hu Q. Dinev T. Hart P. Cooke D. (2012). Managing employee compliance with information security policies: the critical role of top management and organizational culture. Decis. Sci.43, 615–660. doi: 10.1111/j.1540-5915.2012.00361.x
45
Humaidi N. Balakrishnan V. (2015). The moderating effect of working experience on health information system security policies compliance behaviour. Malays. J. Comput. Sci.28, 70–92. https://api.semanticscholar.org/CorpusID:60705383
46
Ibanez L. Moureau N. Roussel S. (2017). How do incidental emotions impact pro-environmental behavior? Evidence from the dictator game. J. Behav. Exp. Econ.66, 150–155. doi: 10.1016/j.socec.2016.04.003
47
Ijaola I. A. Omolayo O. H. Akerele A. O. Osas E. F. Sonibare S. A. (2021). Perceived implications of non-compliance with safety practices in construction projects: construction professionals’ awareness level. Int. J. Real Estate Stud.15, 16–26. doi: 10.11113/intrest.v15n1.5
48
Jaafar N. I. Ajis A. (2013). Organizational climate and individual factors effects on information security compliance behaviour. Int. J. Bus. Soc. Sci.4, 118–130. https://api.semanticscholar.org/CorpusID:16144215
49
Jacoby J. (2002). Stimulus-organism-response reconsidered: an evolutionary step in modeling (consumer) behavior. J. Consum. Psychol.12, 51–57. doi: 10.1207/S15327663JCP1201_05
50
Jeung D. Y. Chang S. J. (2021). Moderating effects of organizational climate on the relationship between emotional labor and burnout among Korean firefighters. Int. J. Environ. Res. Public Health18:914. doi: 10.3390/ijerph18030914
51
Jiacheng W. Lu L. Francesco C. A. (2010). A cognitive model of intra-organizational knowledge-sharing motivations in the view of cross-culture. Int. J. Inf. Manag.30, 220–230. doi: 10.1016/j.ijinfomgt.2009.08.007
52
Konanahalli A. Oyedele L. O. Coates R. Von Meding J. Spillane J. (2012). International projects and cross-cultural adjustments of British expatriates in Middle East: a qualitative investigation of influencing factors. Aust. J. Constr. Econ. Build.12, 31–54. doi: 10.5130/ajceb.v12i3.2580
53
Kurland N. B. (1995). Ethical intentions and the theories of reasoned action and planned behavior. J. Appl. Soc. Psychol.25, 297–313. doi: 10.1111/j.1559-1816.1995.tb02393.x
54
Kutsch E. Hall M. (2010). Deliberate ignorance in project risk management. Int. J. Project Manage.28, 245–255. doi: 10.1016/j.ijproman.2009.05.003
55
Kwofie T. Aigbavboa C. O. Mpambela J. S. (2018). Improving continuing professional development compliance among construction professionals through integrated strategies in South Africa [published online ahead of print, 2018 Aug 21]. J. Eng. Design Technol.16, 637–653. doi: 10.1108/JEDT-01-2018-0015
56
Laato S. Islam A. N. Farooq A. Dhir A. (2020). Unusual purchasing behavior during the early stages of the COVID-19 pandemic: the stimulus-organism-response approach. J. Retail. Consum. Serv.57:102224. doi: 10.1016/j.jretconser.2020.102224
57
Langevoort D. C. (2017). Cultures of compliance. Am. Crim. Law Rev.54:933. Available at SSRN: https://ssrn.com/abstract=2840762
58
Le Y. Shan M. Chan A. P. Hu Y. (2014). Investigating the causal relationships between causes of and vulnerabilities to corruption in the Chinese public construction sector. J. Constr. Eng. Manag.140:05014007. doi: 10.1061/(ASCE)CO.1943-7862.0000886
59
Lee C. K. Foo M. Y. (2022). Risk attitudes and the big five personality traits: a study on construction project practitioners in Malaysia. Int. J. Constr. Manag.22, 2435–2445. doi: 10.1080/15623599.2020.1793506
60
Lewis D. M. Al-Shawaf L. Conroy-Beam D. Asao K. Buss D. M. (2017). Evolutionary psychology: a how-to guide. Am. Psychol.72, 353–373. doi: 10.1037/a0040409
61
Li Y. J. Hoffman E. (2023). Designing an incentive mechanism for information security policy compliance: an experiment. J. Econ. Behav. Organ.212, 138–159. doi: 10.1016/j.jebo.2023.05.033
62
Li B. Liu J. (2022). Research of corporate compliance in China: review and reflections. Int. J. Law Crime Justice71:100559. doi: 10.1016/j.ijlcj.2022.100559
63
Liu J. Meng F. Fellows R. (2015). An exploratory study of understanding project risk management from the perspective of national culture. Int. J. Proj. Manag.33, 564–575. doi: 10.1016/j.ijproman.2014.08.004
64
Liu J. Wang Z. Tang J. Song J. (2024). “The impact of the institutional environment of the host country on the perception of compliance risk of the international engineering contractor: the moderating effect of absorptive capacity.” Engineering, Construction and Architectural Management31, 716–736. doi: 10.1108/ECAM-03-2022-0279
65
Liu J. Wang Y. Wang Z. (2022). Effect of pressure on construction company compliance attitudes: moderating role of organizational ethical climate. J. Constr. Eng. Manag.148:04022125. doi: 10.1061/(ASCE)CO.1943-7862.0002400
66
Liu J. Zhao X. Li Y. (2017). Exploring the factors inducing contractors’ unethical behavior: case of China. J. Prof. Issues Eng. Educ. Pract.143:04016023. doi: 10.1061/(ASCE)EI.1943-5541.0000316
67
Luo M. Hwang B. G. Deng X. Zhang N. Chang T. (2022). Major barriers and best solutions to the adoption of ethics and compliance program in Chinese international construction companies: a sustainable development perspective. Buildings12:285. doi: 10.3390/buildings12030285
68
Lupton T. (1991). Organisational change: ‘top-down’ or ‘bottom-up’ management?Pers. Rev.20, 4–10. doi: 10.1108/EUM0000000000788
69
Manu P. Ankrah N. Proverbs D. Suresh S. (2013). Mitigating the health and safety influence of subcontracting in construction: the approach of main contractors. Int. J. Proj. Manag.31, 1017–1026. doi: 10.1016/j.ijproman.2012.11.011
70
McIlwraith A. (2021). Information security and employee behaviour: How to reduce risk through employee education, training and awareness. London: Routledge.
71
Mendl M. (1999). Performing under pressure: stress and cognitive function. Appl. Anim. Behav. Sci.65, 221–244. doi: 10.1016/S0168-1591(99)00088-X
72
Mitropoulos P. Memarian B. (2012). Team processes and safety of workers: cognitive, affective, and behavioral processes of construction crews. J. Constr. Eng. Manag.138, 1181–1191. doi: 10.1061/(ASCE)CO.1943-7862.0000527
73
Monteiro B. K. Masiero G. de Souza F. R. (2022). Corruption in the construction industry: a review of recent literature. Int. J. Constr. Manag.22, 2744–2752. doi: 10.1080/15623599.2020.1823588
74
Moore J. (2011). Behaviorism. Psychol. Rec.61, 449–463. doi: 10.1007/BF03395771
75
Nagoya R. Bernarto I. Antonio F. Pramono R. Wanasida A. S. Purwanto A. (2021). Exploring intention to enroll university using an extended stimulus-organism-response model. Acad. Strateg. Manag. J.20, 1–12. Available at SSRN: https://ssrn.com/abstract=3987661
76
Neal A. Griffin M. A. Hart P. M. (2000). The impact of organizational climate on safety climate and individual behavior. Saf. Sci.34, 99–109. doi: 10.1016/S0925-7535(00)00008-4
77
Ofori G. (2015). Nature of the construction industry, its needs and its development: a review of four decades of research. J. Construct. Dev. Countries20:115. http://eprints.usm.my/id/eprint/41472
78
Okoye P. U. Ezeokonkwo J. U. Ezeokoli F. O. (2016). Building construction workers’ health and safety knowledge and compliance on site. J. Saf. Eng.5, 17–26. doi: 10.5923/j.safety.20160501.03
79
Oluseye O. Oyeyemi O. A. Ehis O. G. Aigbavboa C. (2024). Effects of building contractors’ value systems on corruption manifestations in Nigeria’s construction sector. Int. J. Constr. Educ. Res.20, 136–156. doi: 10.1080/15578771.2023.2203956
80
Oyewobi L. O. Ganiyu B. O. Oke A. A. Ola-awo W. A. Shittu A. A. (2011). Determinants of unethical performance in Nigerian construction industry. Journal of Sustainable Development, 4, 175. doi: 10.5539/jsd.v4n4p175
81
Oyewobi L. O. Oke A. E. Adeneye T. D. Jimoh R. A. (2019). Influence of organizational commitment on work–life balance and organizational performance of female construction professionals. Eng. Constr. Archit. Manag.26, 2243–2263. doi: 10.1108/ECAM-07-2018-0277
82
Paine L. S. (1994). Managing for organizational integrity. Harv. Bus. Rev.72, 106–117.
83
Pandita S. Mishra H. G. Chib S. (2021). Psychological impact of covid-19 crises on students through the lens of stimulus-organism-response (SOR) model. Child Youth Serv. Rev.120:105783. doi: 10.1016/j.childyouth.2020.105783
84
Peng L. Chan A. H. S. (2019). Exerting explanatory accounts of safety behavior of older construction workers within the theory of planned behavior. Int. J. Environ. Res. Public Health16:3342. doi: 10.3390/ijerph16183342
85
Pertusa-Ortega E. M. Molina-Azorín J. F. Claver-Cortés E. (2010). Competitive strategy, structure and firm performance: a comparison of the resource-based view and the contingency approach. Manag. Decis.48, 1282–1303. doi: 10.1108/00251741011076799
86
Pheng L. S. Leong C. H. (2000). Cross-cultural project management for international construction in China. Int. J. Proj. Manag.18, 307–316. doi: 10.1016/S0263-7863(99)00027-7
87
Pistor K. Raiser M. Gelfer S. (2000). Law and finance in transition economies. Econ. Transit.8, 325–368. doi: 10.1111/1468-0351.00047
88
Rabbiosi L. Santangelo G. D. (2019). Host country corruption and the organization of HQ–subsidiary relationships. J. Int. Bus. Stud.50, 111–124. doi: 10.1057/s41267-018-0169-1
89
Rabl T. Kühlmann T. M. (2008). Understanding corruption in organizations–development and empirical assessment of an action model. J. Bus. Ethics82, 477–495. doi: 10.1007/s10551-008-9898-6
90
Rawlins B. R. (2008). Measuring the relationship between organizational transparency and employee trust: Faculty Publications, 885.
91
Richter N. F. Schubring S. Hauff S. Ringle C. M. Sarstedt M. (2020). When predictors of outcomes are necessary: guidelines for the combined use of PLS-SEM and NCA. Ind. Manag. Data Syst.120, 2243–2267. doi: 10.1108/IMDS-11-2019-0638
92
Ringle C. M. Sarstedt M. Straub D. W. (2012). Editor's comments: a critical look at the use of PLS-SEM in "MIS quarterly.". MIS Q.36, iii–xiv. doi: 10.2307/41410402
93
Ringle C. M. Wende S. Becker J. -M. (2015). Smart PLS 3. Smart PLS GmbH. BoenningstedtAvailable at:http://www.smartpls.com
94
Rokeach M. (1973). The nature of human values. New York: Free Press.
95
Ryan R. M. Deci E. L. (2000). Intrinsic and extrinsic motivations: classic definitions and new directions. Contemp. Educ. Psychol.25, 54–67. doi: 10.1006/ceps.1999.1020
96
Schneider B. Hall D. T. (1972). Toward specifying the concept of work climate: a study of Roman Catholic diocesan priests. J. Appl. Psychol.56, 447–455. doi: 10.1037/h0033756
97
Schwartz S. H. (1992). “Universals in the content and structure of values: theoretical advances and empirical tests in 20 countries” in Advances in experimental social psychology, vol. 25 (Cambridge, MA: Academic Press), 1–65.
98
Scott W. R. Levitt R. E. Orr R. J. (Eds.) (2011). Global projects: Institutional and political challenges. Cambridge, UK: Cambridge University Press.
99
Seegebarth B. Behrens S. H. Klarmann C. Hennigs N. Scribner L. L. (2016). Customer value perception of organic food: cultural differences and cross-national segments. Br. Food J.118, 396–411. doi: 10.1108/BFJ-07-2015-0235
100
Shan M. Le Y. Yiu K. T. Chan A. P. Hu Y. (2017). Investigating the underlying factors of corruption in the public construction sector: evidence from China. Sci. Eng. Ethics23, 1643–1666. doi: 10.1007/s11948-016-9865-z
101
Shen Y. Ju C. Koh T. Y. Rowlinson S. Bridge A. J. (2017). The impact of transformational leadership on safety climate and individual safety behavior on construction sites. Int. J. Environ. Res. Public Health14:45. doi: 10.3390/ijerph14010045
102
Sillic M. (2019). Critical impact of organizational and individual inertia in explaining non-compliant security behavior in the shadow IT context. Comput. Secur.80, 108–119. doi: 10.1016/j.cose.2018.09.012
103
Sims R. R. Brinkman J. (2002). Leaders as moral role models: the case of John Gutfreund at Salomon brothers. J. Bus. Ethics35, 327–339. doi: 10.1023/A:1013826126058
104
Sohail M. Cavill S. (2008). Accountability to prevent corruption in construction projects. J. Constr. Eng. Manag.134, 729–738. doi: 10.1061/(ASCE)0733-9364(2008)134:9(729)
105
Soltes E. (2017). Evaluating the effectiveness of corporate compliance programs: Establishing a model for prosecutors, courts, and firms. NYUJL & Bus14:965. Available at:https://heinonline.org/HOL/LandingPage?handle=hein.journals/nyujolbu14&div=27&id=&page
106
Song Y. Zhang L. Zhang M. (2022). Research on the impact of public climate policy cognition on low-carbon travel based on SOR theory—evidence from China. Energy261:125192. doi: 10.1016/j.energy.2022.125192
107
Soni S. Manqoba S. M. Smallwood J. J. (2024). Perceptions of corruption in the south African construction industry. Int. J. Constr. Educ. Res.20, 43–64. doi: 10.1080/15578771.2023.2179138
108
Soreide T. Groning L. Wandall R. (2015). An efficient anticorruption sanctions regime-the case of the World Bank. Chicago J. Int.16:523. doi: 10.2139/ssrn.2602839
109
Stachowicz-Stanusch A. Simha A. (2013). An empirical investigation of the effects of ethical climates on organizational corruption. J. Bus. Econ. Manag.14, S433–S446. doi: 10.3846/16111699.2012.744345
110
Stansbury N. (2005). Exposing the foundations of corruption in construction. Global Corruption Report2005, 36–38.
111
Syahputra O. Lubis I. T. Batubara S. Kaur M. Safira V. (2022). The effect of taxpayer awareness and Fiscus services on taxpayer compliance of Medan City of Medan in the Covid-19 pandemic. J. Econ. Fin. Manag. Stud.5, 2113–2120. doi: 10.47191/jefms/v5-i8-02
112
Thomas D. C. Cultural intelligence: People skills for global business. Available at:ReadHowYouWant.com (2008).
113
Tow D. Loosemore M. (2009). Corporate ethics in the construction and engineering industry. J. Leg. Aff. Disput. Resolut. Eng. Constr.1, 122–129. doi: 10.1061/(ASCE)LA.1943-4170.0000012
114
Treviño L. K. Weaver G. R. Reynolds S. J. (2006). Behavioral ethics in organizations: a review. J. Manag.32, 951–990. doi: 10.1177/0149206306294258
115
Triandis H. C. (1979). “Values, attitudes, and interpersonal behavior” in Nebraska symposium on motivation (Lincoln, NE: University of Nebraska Press). 27, 195–259.
116
Tuncer I. (2021). The relationship between IT affordance, flow experience, trust, and social commerce intention: an exploration using the SOR paradigm. Technol. Soc.65:101567. doi: 10.1016/j.techsoc.2021.101567
117
Wang L. F. Mao P. (2012). External factors influencing the ethical responsibility of construction project. Appl. Mech. Mater.226, 2273–2277. doi: 10.4028/www.scientific.net/AMM.226-228.2273
118
Wang C. Teo T. S. Liu L. (2020). Perceived value and continuance intention in mobile government service in China. Telemat. Inform.48:101348. doi: 10.1016/j.tele.2020.101348
119
Wang Z. Yang X. Chan A. P. Liu J. (2021). Are project-based organizations willing to learn compliance lessons from sanctioned organizations close to them? The moderating effect of knowledge base compatibility and strength of the event. Int. J. Proj. Manag.39, 672–682. doi: 10.1016/j.ijproman.2021.06.002
120
Weaver G. R. Treviño L. K. (1999). Compliance and values oriented ethics programs: influences on employees’ attitudes and behavior. Bus. Ethics Q.9, 315–335. doi: 10.2307/3857477
121
Weaver G. R. Trevino L. K. (2001). The role of human resources in ethics/compliance management: a fairness perspective. Hum. Resour. Manag. Rev.11, 113–134. doi: 10.1016/S1053-4822(00)00043-7
122
Wicks A. C. Berman S. L. Jones T. M. (1999). The structure of optimal trust: moral and strategic implications. Acad. Manag. Rev.24, 99–116. doi: 10.2307/259039
123
Yan D. Zhao X. Kalutara P. Jiang Z. (2023). Modeling antecedents of safety compliance of construction workers in Australia: a perspective of trait activation theory. Eng. Constr. Archit. Manag. doi: 10.1108/ECAM-09-2022-0829
124
Yean Yng Ling F. Ming Hsia Ang A. Su Yu Lim S. (2007). Encounters between foreigners and Chinese: perception and management of cultural differences. Eng. Construct. Architect. Management14, 501–518. doi: 10.1108/09699980710828987
125
Yu S. Evans M. Delgado A. (2014). Building energy efficiency in India: compliance evaluation of energy conservation building code. PNNL. doi: 10.2172/1128633
126
Zhao Z. Y. Zhao X. J. Davidson K. Zuo J. (2012). A corporate social responsibility indicator system for construction enterprises. J. Clean. Prod.29-30, 277–289. doi: 10.1016/j.jclepro.2011.12.036
127
Zubaidah I. Doostdar S. Harun Z. (2012). Factors influencing the implementation of a safety management system for construction sites. Saf. Sci.50, 418–423. doi: 10.1016/j.ssci.2011.10.001
Summary
Keywords
compliance management, international engineering, corruption, SOR model, organizational behavior
Citation
Chang T, Wu Y, Deng X, Wang X and Yan Y (2024) The impact of environmental stimuli on the psychological and behavioral compliance of international construction employees. Front. Psychol. 15:1395400. doi: 10.3389/fpsyg.2024.1395400
Received
07 March 2024
Accepted
29 May 2024
Published
11 June 2024
Volume
15 - 2024
Edited by
Hanliang Fu, Xi'an University of Architecture and Technology, China
Reviewed by
Wenying Ji, George Mason University, United States
Ming Shan, Central South University, China
Liang Wang, Dalian Maritime University, China
Updates
Copyright
© 2024 Chang, Wu, Deng, Wang and Yan.
This is an open-access article distributed under the terms of the Creative Commons Attribution License (CC BY). The use, distribution or reproduction in other forums is permitted, provided the original author(s) and the copyright owner(s) are credited and that the original publication in this journal is cited, in accordance with accepted academic practice. No use, distribution or reproduction is permitted which does not comply with these terms.
*Correspondence: Yi Wu, 220221474@seu.edu.cn
Disclaimer
All claims expressed in this article are solely those of the authors and do not necessarily represent those of their affiliated organizations, or those of the publisher, the editors and the reviewers. Any product that may be evaluated in this article or claim that may be made by its manufacturer is not guaranteed or endorsed by the publisher.