Your new experience awaits. Try the new design now and help us make it even better

ORIGINAL RESEARCH article

Front. Psychol., 10 October 2025

Sec. Cultural Psychology

Volume 16 - 2025 | https://doi.org/10.3389/fpsyg.2025.1656033

This article is part of the Research TopicIntercultural Communication and International StudentsView all 25 articles

How teachers’ caring behavior impacts the socio-cultural adaptability of international students: a chain mediation model

Updated
Zilong Yin
&#x;Zilong Yin1*Yuhao Zhao&#x;Yuhao Zhao1Yuefang Wang
Yuefang Wang2*
  • 1School of Teacher Education, Jiangsu University, Zhenjiang, Jiangsu, China
  • 2School of Psychology and Educational Sciences, Zaozhuang University, Zaozhuang, Shandong, China

Enhancing socio-cultural adaptability (SCA) is critical to improving the educational quality of international students. Guided by cultural adaptation theory, this study tested whether teachers’ caring behavior (TCB) promotes SCA in online education and examined the mediating roles of perceived social support (PSS) and resilience (RS). A sample of international students (N = 872) completed validated scales for TCB, PSS, RS, and SCA; data were analyzed with SPSS 27.0 and AMOS 21.0 using stratified linear regression and mediation models. Results showed that TCB significantly and positively predicted SCA, RS partially mediated the TCB–SCA association, and PSS affected the TCB–SCA relationship only indirectly through RS. These findings clarify the interplay among TCB, PSS, RS, and SCA in online settings and provide theoretical and practical guidance for interventions that enhance international students’ SCA by strengthening resilience and supportive environments.

1 Introduction

In the 2020–2021 academic year, amid the global disruption caused by the COVID-19 pandemic, the international students registered in China came from 195 countries and regions, with 76% of them pursuing academic degrees—a significant increase of 35 percentage points compared to 2012 (Ministry of Education of PRC, 2022). As the world’s largest source country for international students and the leading destination for higher education in Asia, China has demonstrated vast potential in developing its “Study Abroad in China” initiative. In line with this trend, the Ministry of Education issued a policy in 2020 emphasizing the need to strengthen the “Study Abroad in China” brand and improve the quality and management of education and training for international students (Ministry of Education of PRC, 2020). Enhancing the global competitiveness of China’s higher education system relies not only on institutional reforms but also on the engagement of teachers and the socio-cultural adaptability (SCA) of international students. Prior research has shown that SCA plays a crucial role in fostering international students’ personal development and academic achievement in cross-cultural learning environments (Fong, 2020; Shadiev et al., 2021).

Cultural adaptation theory, rooted in behavioral science, provides a foundational framework to explore how individuals adapt to new cultural contexts. It defines SCA as comprising both cultural and psychological adaptation, underpinned by mechanisms such as cultural learning and stress-coping processes (Fanari, 2025). Communication is central to this adaptation process, and teacher–student interactions are recognized as vital to international students’ behavioral adjustment in unfamiliar cultural environments. Cross-cultural adaptation is influenced by a range of variables that evolve over time, with cultural learning experiences emerging as a major predictor (Ward, 2001; Searle and Ward, 1990). For international students, the pressures of adjusting to different academic systems, educational norms, and cultural values can lead to heightened stress, affecting both mental health and subjective well-being (Bethel et al., 2020). Empirical findings from Turkey further confirm a strong positive correlation between SCA and psychological adaptation (Gibbs et al., 2020).

In the Chinese context, factors such as students’ learning styles and psychological states (Li et al., 2023), teacher–student relationships (Liu, 2025), and the buffering role of social support in enhancing well-being (Bethel et al., 2020) have all been shown to influence SCA. According to self-determination theory, individuals are more likely to regulate their behaviors autonomously when motivated by intrinsic values and personal goals (Yang et al., 2023). Furthermore, studies have established that perceived social support (PSS) and resilience (RS) can alleviate stress and improve psychological outcomes, thereby facilitating better adaptation (Tang, 2024; Almukdad, 2024; Tol et al., 2013). Teachers, as primary figures in students’ academic and emotional lives, play a significant role in this process. Teachers’ caring behavior (TCB)—reflected through emotional, instructional, and moral support—has been shown to reduce anxiety and enhance learning outcomes (Hou, 2024; Sutton and Wheatley, 2003). Moreover, educational interactions can foster cross-cultural competence (Shadiev et al., 2021), while strong teacher–student relationships offer critical social support that enhances international students’ SCA (Cifuentes-Faura et al., 2021). However, despite these insights, few studies have examined how teachers’ caring behavior influences socio-cultural adaptability in online contexts using a chain mediation model, especially in Eastern cultural settings (Yu et al., 2019).

Therefore, this study integrates the cultural adaptation theory from Ward et al. with self-determination theory to investigate the mechanism through which TCB impacts international students’ SCA. Specifically, it explores the mediating roles of PSS and RS, aiming to provide empirical evidence and practical guidance for educators to enhance the adaptive experiences of international students in digital learning environments. This research also contributes to practical applications in academia and student support, providing insights into meeting the unique needs of international students in educational environments. Grounded in cross-cultural adaptation theory and self-determination theory, the proposed model establishes theoretical foundations for the hypothesized relationships. Cross-cultural adaptation theory posits that individuals experience behavioral and psychological adjustments when adapting to a new cultural environment, emphasizing the importance of cultural learning, stress-coping, and interpersonal interactions (Ward, 2001; Fanari, 2025). Teachers’ caring behavior (TCB) serves as a key interpersonal factor that facilitates international students’ adaptation by providing emotional and instructional support, thereby reducing acculturative stress and enhancing socio-cultural adaptability (H1). Furthermore, TCB enhances perceived social support (PSS), a vital external resource in adaptation processes (H2), and fosters resilience (RS), a personal trait that supports coping with cultural stressors (H3). Self-determination theory further explains how TCB satisfies students’ basic psychological needs for autonomy, competence, and relatedness (Ryan and Deci, 2000), thereby promoting internal motivation that contributes to greater resilience and stronger perceptions of support. By integrating both theories, this study proposes a chain mediation mechanism (H4) in which PSS and RS sequentially mediate the relationship between TCB and socio-cultural adaptability, offering a comprehensive framework to understand how external care translates into internal adjustment capacities.

2 Literature review

2.1 SCA and TCB

SCA refers to the ability to adapt to the local socio-cultural environment and whether individuals can effectively communicate with the local people (Ward and Kennedy, 1992). Ward and his colleagues distinguish SCA from psychological adaptation (Fanari, 2025), and this distinction has been widely recognized in contemporary cultural adaptation research (Khazhgaliyeva, 2023). It integrates knowledge and skills, including not only proficiency in basic communication and social interaction skills but also adaptation to new environments, norms, values, and worldviews, emphasizing the pivotal role of communication in cross-cultural encounters (Fanari, 2025). Sam and Berry (2010) also agree with the importance of communication, stating that whether cross-cultural learners can achieve good cross-cultural communication mainly depends on how individuals change themselves, and divides cultural adaptation into four levels according to the degree to which they can change themselves, namely integration, assimilation, separation, and marginalization. Bhawuk (1998) believed that the opportunity to learn and acquire specific cultural knowledge is a prerequisite for SCA. Due to the fact that SCA refers to behavioral skills and is set within the framework of cultural learning, research on its antecedents or predictive factors mainly focuses on contextual variables related to the learning process, such as general knowledge about a new culture (Fanari, 2025). As cultural learning is largely a form of social learning, the role of cross-cultural interaction in the process of SCA is also emphasized (Searle and Ward, 1990).

In Bronfenbrenner’s “ecosystem theory,” schools act as vital living and learning contexts for international students, providing crucial social support beyond their families (Zhang, 2025). The main and most typical cross-cultural interactions happen in school settings for international students, namely interactions with Chinese teachers and international students, a largely overlooked area of SCA influence.

TCB refers to the many teacher activities aimed at building good teacher-student relationships, ensuring the expected education results, fulfilling teaching tasks with due diligence in the education or teaching process, investing sufficient time and energy to support students development, and providing a tolerant attitude toward students (Hou, 2024). These behaviors include encouraging students to express their own opinions, providing rich extracurricular course selection content, treating each student with patience and respect, and other interactions during teaching. Teachers’ inclusive professional attitude plays an important role in the educational process and teacher-student interactions (Barnová et al., 2022). The quality of a teacher is one of the most essential environmental factors that affect the growth of young people in schools as they can help students actively cope with various challenges and adapt to society better (Sutton and Wheatley, 2003). According to the social learning theory of Albert Bandura, students learn relevant interpersonal relationships and conflict resolution strategies by observing teachers’ behavior and consequences. What’s more, successful teachers will not only enable students to achieve greater academic achievement but also help them learn better emotional reactions and enjoy a more positive classroom atmosphere (Goodenow, 1993; Teven, 2007). Some research results indicate that the reciprocal and guided discovery teaching style can help students master knowledge, enhance adaptive cognition, and achieve emotional reflection (Chaliawala, 2025). Also, students can gain more confidence and interest in a subject based on teacher skill. Indicating that teachers’ behavior is related to students’ performance (Gabrhelová and Čepelová, 2022).

Participation, interaction, and mutual assistance is precisely what TCB emphasizes (Zhang, 2024) and shows that TCB is a factor that may affect the adaptability of international students. Due to the impact of the COVID-19 pandemic, international students around the world have been attending online classes for nearly 3 years. Although the Chinese government’s policy changes on the COVID-19 pandemic at the end of 2022 revitalized the education of international students, online teaching as a gradually familiar teaching method had penetrated into the hearts of teachers and students. Online teaching relies on a degree of digitization, including the digital equipment of universities and the degree of teachers’ digitization level (Soekamto et al., 2022). There are currently only a few empirical studies on the TCB of online instruction. The first aim of the current study is to verify the relationship between TCB and the SCA of international students and to prove the effect of on-line teaching activities for SCA of international students. Combined with the previous findings and theoretical basis above, we hypothesized that:

H1: TCB is positively associated with the SCA of international students.

2.2 The mediating role of PSS

PSS refers to the subjective perception and evaluation individuals feel when they are supported, understood, and respected by the outside world (Sarason et al., 1991). Discussed in a large deal of literature in the form of mediation or moderator variables, social support plays a vital role in psychology, education, clinical medicine, and other fields (Tang, 2024; Wilcox et al., 2005). The existing research results show that PSS has a directly negative predictive effect on social anxiety (Lyu C. 2024; Lyu Y. 2024). Steese et al. (2006) found that PSS can protect college students from psychological distress and plays a role in buffering pressure. Recent research has also shed light on how adaptability is significantly related to PSS (Burns et al., 2018). When an individual arrives in a new environment, social support can stabilize the individual and enhance the relationship between the individual and SCA (Jyoti and Kour, 2017). At the same time, Chavajay (2013) illuminated that social support from the host culture plays a vital role in helping international students adjust their lives and study in new cultural context. Research has found that international students who lack PSS have the worst adaptability and tend to be marginalized (Holliman et al., 2021). Still, TCB allows students to perceive the positive attention of the teacher toward themselves, generating an emotional experience of being respected, supported, and understood; in other words, TCB can affect students’ PSS (Almukdad, 2024). Teachers act as “important others” for international students in the school environment, and the self-determination theory suggests that important others influence people’s motivation and behavior (He, 2024). When important others hold a caring and encouraging attitude toward an individual’s behavior, the individual can fully tap into their inner potential and actively improve and develop themselves (Ye et al., 2017). Consequently, due to the positive influence of TCB, international students are likely to consider teachers as a source of social support and positively associated with their SCA. In summary, the research review fully demonstrates the pivotal role of PSS in SCA, yet more validation is required to ascertain whether PSS can mediate the relationship between TCB and SCA. Accordingly, the following hypothesis is put forward that:

H2: The PSS plays a mediating role in the influence of TCB toward the SCA of international students.

2.3 The mediating role of RS

RS is the effective response and adaptation of individuals facing loss, difficulty, or adversity and is related to the interaction between their internal forces and external support factors obtained from the social environment. It is generally considered a protective factor to decrease the level of distress (Gundogan, 2021). In this study, more attention is paid to the qualitative definition of RS, which is regarded as a characteristic of an individual (Yu, 2024).

Self-determination theory proposes that once individual comprehend their own needs and environmental information, individual behavior becomes autonomous, accentuating a proactive personal role (Yang et al., 2023). When international students recognize cross-cultural environmental information and the need to adapt to the environment, they will modify their RS because of self-protection to help themselves adapt to the environment and overcome the difficulties brought about by cross-cultural communication (Tan et al., 2021; Gabrielli et al., 2022).

Although researchers have clearly shown a direct connection between RS and cultural adaptability (Tol et al., 2013), the exact mechanism by which RS affects international students’ SCA in school settings is still unclear. International students face more daily challenges due to cross-cultural environments, minor yet persistent. The daily interactions between teachers and international students, such as meticulous attention to life and learning, support, and respect for their perspectives, all have a significant impact on their happiness, and there may be significance to defining the basic rules of the school’s routine, potentially impacting the RS of international students (Dong et al., 2024). Previous studies clarified that RS is a crucial intermediary factor of SCA, which is associated with reduced psychological pressure, and also individuals with strong RS can adjust their own state and cognition more actively and effectively to cope with sudden changes in the environment and setbacks, thereby improving their SCA (Liao et al., 2019).

Furthermore, in the process of school education through interaction with teachers, students can maintain a positive attitude when facing difficulties if they can obtain satisfactory emotional support from teachers, thus learning effectively (Larcombe, 2024). These caring behaviors help students resist adversity and setbacks and overcome difficulties quickly, which benefits RS. Students with high RS actively seek teacher support and care and are more likely to successfully overcome school-related pressures, maintain optimal motivation levels to enhance their participation in learning, and achieve high performance, including exceptional grades and adaptation (Romano et al., 2021). We suggest exploring whether RS plays a mediating role in the relationship between TCB and the SCA of international students, and the following hypothesis is put forward that:

H3: The RS plays a mediating role in the influence of TCB toward SCA of international students.

2.4 The chain mediating role of PSS and RS

It is worth mentioning that good teacher-student interactions can make international students feel more social support (Wilcox et al., 2005). This kind of social support can act as an external protective factor for RS, helping international students alleviate the negative impact of the cross-cultural context on RS (Wilks, 2008). Empirical studies have also shown that PSS can positively predict RS (Sippel et al., 2015), and RS is also an important predictor of individual SCA (Tol et al., 2013). Thus, it is reasonable to assume that PSS and RS are mediating variables between TCB and SCA. However, although these two variables have been included in cross-cultural studies (Khawaja et al., 2017; Wang and Zhang, 2020), the chain mediating role of PSS and RS remain unexplored among international students in the framework of cross-cultural adaptation theory. Based on the above empirical findings and theory, we hypothesized that:

H4: PSS and RS act as chain mediators in the relationship between TCB and SCA of international students.

2.5 The present study

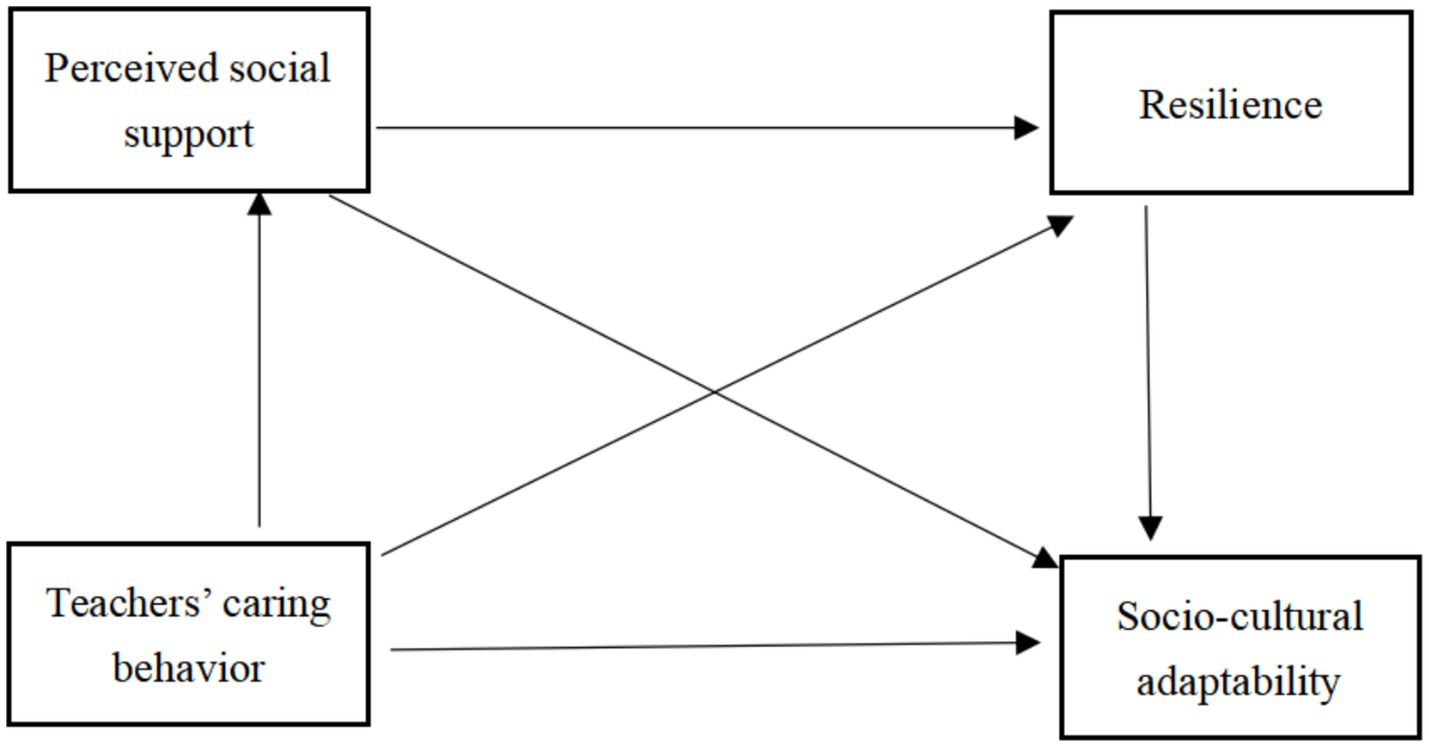
The present study examined the relationship between TCB and the SCA and possible mediating factors among international students studying in China. However, there is no model that directly describes the relationship between the two variables. Based on the cross-cultural adaptation theory (Berry et al., 2006; Sam and Berry, 2010) and previous literature (e.g., Chavajay, 2013; Khawaja et al., 2017; Fanari, 2025; Larcombe, 2024; Sippel et al., 2015; Steese et al., 2006; Teven, 2007), we constructed a chain mediation model to test our hypotheses (see Figure 1). This model assumed that TCB is an independent variable, SCA is the dependent variable, and the mediators are the PSS and RS of international students studying in China. This study attempts to explain the relationship between them and reflect on incorporating these relationships into models that can be applied in the future as well as into some feasible intervention strategies. The aim is to provide support for international students to cope with their cross-cultural adaptation problems and promote their mental health and academic development.

Figure 1
Flowchart depicting relationships between four concepts:

Figure 1. Conceptual mediation model.

3 Methods

3.1 Participants and procedure

The study was conducted at five comprehensive universities in the Jiangsu, Zhejiang, and Shanghai regions of China. A total of 994 international students filled out the scales, and 872 questionnaires remained after deleting invalid ones (incomplete responses, blank questionnaires, etc.), and the effective response rate was 87.73%. The participants (N = 872) were aged between 18 and 33 years (M = 23.14, SD = 3.21), and 54.2% were female. They came from 38 countries, with the majority originating from Asia (48.8%), Africa (28.5%), and Europe (12.6%). Regarding learning formats, 62.5% reported engaging in fully online learning, while 37.5% participated in a hybrid mode combining online and in-person courses. To assess the constructs of this study, we employed well-established and reliable instruments. Table 1 summarizes the measurement scales, their dimensions, item counts, and reliability coefficients (Cronbach’s α). Stratified regression analysis was conducted to examine the mediation effects while controlling for age, gender, student category, region of origin, and learning format. Furthermore, to address potential common method bias, Harman’s single-factor test was performed. The first factor accounted for only 26.7% of the total variance, suggesting that common method variance was not a serious concern in this study.

Table 1
www.frontiersin.org

Table 1. Summary of measurement instruments, dimensions, item counts, and reliability.

The participants came from various countries in Asia, Europe, America, and Africa, having enrolled in Chinese universities before 2021 and continuing their studies into the spring semester of 2023. Following the adoption of the open-door policy by the Chinese government in early 2023 in response to the COVID-19 pandemic, international students who were quarantined outside of China were allowed to decide when to return to their universities based on their individual circumstances (e.g., financial situation, study duration, etc.). During the transitional period from fully online to offline teaching, Chinese universities continued to offer online instruction, and international students residing in China could also opt for online learning due to factors such as internet access or classroom composition. All international students who participated in this study chose to engage in online learning for all or part of their courses. Contact teachers at each university, responsible for managing international student affairs, distributed the questionnaire link and explained the purpose of the study. All participants voluntarily completed the online survey and were informed of their right to withdraw at any point. Confidentiality of the data was strictly maintained. Among the 872 participants (male = 397, 45.5%), there were four categories of international students: 151 (17.3%) were preparatory students, 304 (34.9%) were undergraduates, 241 (27.6%) were master’s students, and 176 (20.2%) were doctoral students. This constitutes a convenience sample suitable for statistical analysis (Putri, 2024).

3.2 Measures

3.2.1 Teachers’ caring behavior scale

Li et al. (2021) developed the teachers’ caring behavior scale (TCBS) in Online Teaching on the basis of the previous scale; the Cronbach’s alpha of the entire scale is 0.952. The 17-item scale is composed of four parts: clarity (0.880), inclusiveness (0.902), participation (0.883) and accessibility (0.890). Some items of the scale include “Encourage and allow students to share different opinions or experiences from the teacher” and “Provide rich elective content online to facilitate students to expand on their own.” Participants gave their answers on a 5-point Likert scale ranging from 1 (not applicable to me) to 5 (very applicable to me). In the present study, the retest Cronbach’s alpha is 0.908, and the 4-factor load coefficients are 0.768, 0.853, 0.812, and 0.844, indicating that the scale is suitable for international students studying in China and also suitable for TCB in online and offline mixed teaching. Wu et al. (2024) validated the reliability of this scale.

3.2.2 Perceived social support scale

The perceived social support scale (PSSS) used in this study is developed by Dahlem et al. (1991). The scale has 12 items in total and consists of three subscales: family support (relatives), friend support (classmates), and other support (teachers). Some items of the scale include “There is a special person who is around when I am in need” and “I can talk about my problems with my friends.” Participants answered on a 5-point Likert scale where 1 indicated “Did not apply to me at all” and 5 indicated “Applied to me very much.” The Cronbach’s alpha of the full scale and the three subscales are 0.91, 0.90, 0.94, and 0.95, respectively. In this scale, the main change is from “leaders, relatives, and colleagues” to “teachers, relatives, and classmates.” Such adjustments have shown reliable results, as shown in previous studies (Hefner and Eisenberg, 2009). The reset Cronbach’s alpha by perceived social support sources is full scale, 0.833. The result indicates that this scale is suitable for measuring the SCA of international students in China.

3.2.3 Connor-Davidson resilience scale

In this study, RS was measured using the Connor-Davidson resilience scale (CD-RISC) (Wong, 2024); the scale consists of 25 items divided into three sub-factors: tenacity, self-improvement, and optimism. Some items of the scale include “Able to adapt to change” and “Pride in your achievements.” Answers were given on a 5-point Likert scale, where 1 indicated “Never” and 5 indicated “Always.” The Cronbach’s alpha of the full scale and the three subscales are 0.91, 0.88, 0.88, and 0.60, respectively. According to the realities of the respondents, the scale was slightly adjusted and the respondents were asked to answer questions according to the overall situation of the past month. The Cronbach’s alpha of the full scale in the present study is 0.916. Previous research has proved this scale’s robust reliability (Liu et al., 2020).

3.2.4 Socio-cultural adaptability scale

This study adopted the socio-cultural adaptability scale (SCAS) compiled by Ward and Kennedy (1999) to measure the adaptability of international students. Specifically, they responded to 29 questions on a scale anchored from 1 (strongly disagree) to 5 (strongly agree), where high scores indicated high cultural adaptability. Some items of the scale include “Adapting to local accommodation” and “Being able to see two sides of an intercultural issue.” The Cronbach’s alpha of this scale is 0.75–0.91 (M = 0.85). In this study, the Cronbach’s alpha was 0.945, and the factor load coefficients of cultural adaptation and psychological adaptation were 0.792 and 0.814, the results, respectively, indicating that this scale is suitable for measuring the SCA of international students in China. Sam and Berry (2010) also demonstrated the high reliability of this scale.

3.3 Data analysis

Data analysis was performed with the SPSS Statistic Software version 27.0 and AMOS Software version 21.0. Based on a literature review, a hypothetical model was constructed. In this model, we considered the international students’ gender, age, family income, student category, learning style, and residence as control variables. The hypothesis is that TCB can directly predict the SCA of international students and the PSS and RS can serve as mediating variables to influence the relationship between TCB and SCA. Firstly, we conducted CFA testing on the model, and the results are shown in Table 2. According to Thompson’s (2004) suggestion, the fit of the model is acceptable. Based on this hypothetical model, correlation analysis was conducted on all variables in the study, and the results are shown in Table 3. According to the correlation results, the model fit was recalculated by adding three control variables (gender, student type, and learning style) to the existing model. It was found that χ2/df = 3.084, CFI = 0.959, RMSEA = 0.056, and the model fit was significantly better than before. Then, stratified regression tests were conducted on the influencing factors in the model to determine which factors have a greater impact on the SCA of international students during their cross-cultural learning process. Finally, the hypotheses of this study were validated by calculating the model path using Bootstrap in AMOS.

Table 2
www.frontiersin.org

Table 2. Discriminant validity.

Table 3
www.frontiersin.org

Table 3. Correlation results.

4 Results

4.1 Confirmatory factor analysis test

This study used AMOS software and confirmatory factor analysis (CFA) to test the discriminant validity of the four variables in the research model, namely, TCB, PSS, RS, and SCA. Results in Table 2 demonstrate that the 4-factor model shows a good fit (χ2/df = 3.638, RMSEA = 0.076) and that the four variables have good discrimination validity, significantly better than that of the other three competition models. At the same time, the analysis results confirm that there is no obvious common method bias in the data of this study.

4.2 Pearson’s correlation analysis

In this study, SPSS27.0 was used to analyze the correlation of various research variables, and the results are shown in Table 3. At first, TCB, PSS, and RS were significantly positively correlated with the SCA of international students. TCB, PSS, and RS were also significantly positively correlated. In the end, there was a significant positive correlation between TCB and PSS. In the demography variable test of international students, it was found that students’ gender, student category, and learning style show various degrees of correlation with the independent and dependent variables, while age, residence, family income, and other factors do not show a correlation, so they are not shown in Table 3. Thus, the gender, student category, and learning style (online or mixed learning) of international students will be listed as control variables in the following research. To facilitate interpretation, Table 2 presents the descriptive statistics and Pearson correlation coefficients among the key variables. The results indicate that teachers’ caring behavior (TCB) is positively correlated with perceived social support (PSS, r = 0.58, p < 0.001), resilience (RS, r = 0.52, p < 0.001), and socio-cultural adaptability (SCA, r = 0.49, p < 0.001). These significant correlations support the hypotheses and lay the foundation for the mediation analysis.

4.3 Direct effects

In the study, SPSS was used to standardize all variables. Linear regression was then used to analyze the direct effects with all variables including control variables. The result is shown in Table 4. In Step 1, TCB significantly predicted SCA (β = 0.49, p < 0.001). In Step 2, the inclusion of PSS and RS as mediators reduced the direct effect of TCB on SCA (β = 0.18, p < 0.01), while both PSS (β = 0.28, p < 0.01) and RS (β = 0.32, p < 0.001) showed significant predictive effects, suggesting a partial mediation effect. While some of the control variables cannot significantly affect the SCA of international students in China, the regression results of student categories show that (β = 0.072, p < 0.001) they significantly and positively affected the RS of them. Meanwhile, the regression results of gender show that (β = 0.155, p < 0.001), which indicates a significant gender difference regarding PSS but no difference regarding SCA. TCB has a significant positive impact on the SCA of international students studying in China (β = 0.589, p < 0.001), so the H1 was supported. Moreover, through the calculation results of the linear regression, we know that TCB has a significant positive impact on RS (β = 0.691, p < 0.001) and PSS (β = 0.633, p < 0.001). The results also support the subsequent path analysis research of this study to verify further the hypotheses.

Table 4
www.frontiersin.org

Table 4. Direct effect.

4.4 Indirect effects

This study utilized a structural equation model to test the mediating effect of PSS and RS on TCB and SCA. The present study used the Bootstrap method of repeated sampling 5,000 times in AMOS to calculate the mediating role of PSS and RS between TCB and SCA. According to the hypothesized model, the values of 4 paths within a 95% confidence interval were calculated to validate H2, H3, and H4. The specific results are shown in Table 5.

Table 5
www.frontiersin.org

Table 5. Indirect effect.

The results indicate that TCB cannot affect SCA through PSS, as the 95% confidence interval is [−0.008, 0.087], and the interval includes 0 (Parlak, 2025), p > 0.05, which means the mediating role effect is not tenable and H2 was not supported. However, TCB can significantly positively affect SCA through RS, as the 95% confidence interval is [0.155, 0.273], and the interval does not include 0 (p < 0.000), which means the independent mediating effect of RS is established and H3 was supported. Although TCB cannot affect SCA through PSS, PSS can have an impact on SCA through the mediation of RS, with a 95% confidence interval result of [0.125, 0.207], where the interval does not include 0 (p < 0.000). Therefore, the chain mediating effect of PSS and RS is established and H4 was supported. Meanwhile, the direct impact of TCB on SCA is 0.168 (p < 0.01), indicating that PSS and RS play a partial mediating role in the relationship between TCB and SCA (see Figure 2). In the structural equation model (Figure 2), all standardized path coefficients and significance levels are presented to provide clarity. The path from TCB to PSS is significant (β = 0.60, p < 0.001), as is the path from PSS to RS (β = 0.45, p < 0.001) and from RS to SCA (β = 0.34, p < 0.001). These results confirm the chain mediation model.

Figure 2
Flowchart illustrating the relationships between variables: “Teachers’ caring behavior” leads to “Perceived social support” (0.64) and “Socio-cultural adaptability” (0.18). “Perceived social support” to “Resilience” (0.38). “Resilience” to “Socio-cultural adaptability” (0.65). Dashed lines represent weaker connections: “Teachers’ caring behavior” to “Resilience” (0.32) and “Socio-cultural adaptability” (0.06). Asterisks denote statistical significance.

Figure 2. Results of the study model (***p < 0.001).

5 Discussion

This study investigates the relationships among socio-cultural adaptability (SCA), perceived social support (PSS), resilience (RS), and teachers’ caring behavior (TCB) experienced by international students studying in China. The findings validate several hypotheses through the construction of a chain mediation model that explores how TCB influences SCA in the context of online teaching, as well as the mediating roles of PSS and RS.

First, based on the cultural adaptation theory proposed by Ward et al., the study examined the SCA of international students who participated in online learning during the COVID-19 pandemic. The results help refine the objective factors influencing SCA and contribute to a deeper understanding of cultural adaptation theory. The study found no significant differences in SCA based on gender, student category, or learning style among international students in China, which differs from the findings of Fong (2020) but aligns with those of Kwak and Berry (2001). This discrepancy may be attributed to the Chinese government’s efforts to help international students integrate into Chinese life and better understand Chinese culture. Notably, “Overview of China” is a compulsory course required for all international students across Chinese universities, and passing this course is a prerequisite for graduation regardless of the student’s academic level. To ensure optimal learning outcomes, universities offer the course in bilingual formats and tailor the content according to the academic level of different students. Additionally, as part of the “Study Abroad in China” initiative, the Chinese government has prioritized enhancing the quality of teaching and international student satisfaction, which may also serve as an objective factor contributing to improved SCA.

Second, the results indicate that, even in online teaching environments, TCB is significantly and positively associated with SCA among international students in China, thereby confirming H1. This finding enriches the theoretical scope of cross-cultural adaptation, extends its application to online education, and underscores the crucial role teachers play in enhancing the SCA of international students. The study provides practical insights for fostering optimal teacher-student interaction. Furthermore, it affirms the positive psychological impact of educators and supports the effectiveness of online teaching in promoting teacher-student engagement, consistent with prior research (Osterman, 2023; Zhan et al., 2021). Such effective teacher-student communication plays a key role in supporting the SCA of cross-cultural learners (Fanari, 2025). Although online education creates physical distance between students and teachers, instructors are encouraged to adopt diverse interactive teaching strategies to deliver course content effectively, gather feedback, and maintain student engagement. This increased interaction aligns with the principles of TCB and is central to cross-cultural communication. Previous studies have confirmed that communication with locals enhances SCA (Ward and Kennedy, 1992), even in virtual contexts. Moreover, compared to face-to-face instruction, the frequency and diversity of teacher-student communication tools have significantly increased in online settings, facilitating deeper engagement and feedback.

Finally, the study further confirms that both PSS and RS play a partial chain mediating role between TCB and SCA. While PSS alone does not independently mediate the relationship between TCB and SCA, RS does function as an independent mediator. Therefore, PSS and RS jointly form a partial chain of mediation. As such, H2 is not supported, while H3 and H4 are validated. These findings enrich the understanding of the psychological mechanisms underlying SCA in international students, particularly in Eastern educational contexts, and add depth to cross-cultural adaptation theory. In addition to language proficiency and communication skills, the psychological experiences of cross-cultural learners play a pivotal role in SCA, offering a theoretical foundation for cross-cultural educational practices. The results also reveal that RS varies across student types and that gender differences exist in levels of PSS, consistent with previous research (Antonucci and Akiyama, 1987; Lyu C. 2024; Lyu Y. 2024; Winfield, 1991). Mediation analysis shows that RS significantly enhances SCA, suggesting that teachers’ caring behavior is linked to improved adaptability among international students in China, in line with prior studies (Liao et al., 2019; Romano et al., 2021; Tol et al., 2013). Although online communication, social interaction, and the provision of teaching resources (as aspects of TCB) offer social support for students (Cifuentes-Faura et al., 2021), this support was not significantly associated with improvements in SCA. These findings carry practical implications for fostering SCA in international students and offer further insight into the limited role of PSS in online contexts, supplementing previous findings (Burns et al., 2018; Chavajay, 2013; Jyoti and Kour, 2017). While the study confirms the feasibility of enhancing SCA through online instruction, it also emphasizes the need to strengthen students’ RS, as social support systems were not significantly correlated with SCA in an online learning context. For prospective international students preparing to study in China, early-stage training via online platforms could be beneficial in enhancing their SCA.

One notable limitation of the present study lies in the lack of measurement invariance testing across cultural subgroups. While all international students were treated as a single sample, differences in cultural interpretations of key constructs may exist. Due to the limited sample size, multi-group CFA by region or language of instruction could not be conducted. Future studies should incorporate such analyses to verify the consistency of factor structures and ensure cross-cultural comparability of findings.

The non-significant mediating effect of perceived social support (PSSS) in the relationship between teacher caring behavior (TCB) and socio-cultural adaptability (SCA) warrants further discussion. One possible explanation lies in cultural variation in how international students recognize or respond to perceived support. In some collectivist cultures, social support may be interpreted as implicit or indirect and not always consciously acknowledged. Furthermore, the widespread use of online and hybrid learning models during the pandemic may have reduced opportunities for students to engage in direct support-seeking behaviors from peers or teachers. These contextual and cultural factors may have weakened the role of perceived support as a psychological bridge between TCB and SCA.

6 Conclusion

The current study describes the relationship mechanism between TCB and SCA of international students studying in China and explores and details the mediating role of RS and PSS. The results identify RS as a partially independent mediator that can affect the relationship between TCB and SCA, and RS must mediate PSS to impact SCA. The current findings not only validate existing adaptation theories and increase our understanding of the relationships between TCB, PSS, RS, and SCA but also offer practical strategies for universities aiming to better support their international student populations. Meanwhile, these factors together could explain the relatively high SCA among international students in China compared to other contexts. Furthermore, the findings suggest that educators should pay more attention to the RS of international students because RS can not only directly promote international students’ SCA but also intervene in international students’ SCA by developing PSS, thereby improving RS and forming a virtuous circle.

This study provides theoretical contributions by extending the traditional cross-cultural adaptation framework into the context of online education. While most prior research focused on physical immersion in host cultures, our findings demonstrate that online teaching modes can also facilitate socio-cultural adaptation through mechanisms such as teacher caring behavior and resilience development. This reveals that the processes of adaptation are not limited to face-to-face interactions but can occur within virtual learning environments, which broadens the applicability of adaptation theory in a post-pandemic world.

From a practical standpoint, our findings offer actionable insights for universities aiming to improve the experience of international students. Specifically, institutions should emphasize the development of students’ resilience through both formal programs and informal support structures. Teacher training programs can also integrate modules on intercultural sensitivity and emotional support strategies to enhance the effectiveness of online instruction. Moreover, while perceived social support did not directly mediate socio-cultural adaptation in our model, it can still contribute to resilience and should be considered as a part of comprehensive support strategies.

It must be pointed out that online teaching is positively linked to international students’ SCA. The spread of the COVID-19 pandemic has been a severe blow to international higher education, but it is also a huge opportunity for online education. During the 3 years of the pandemic, online education has experienced unprecedented development, from refining online courses’ details to the check-in for classes, simulation experiments, online evaluations, exam systems, etc. And various communication apps have been used more frequently. The communication between teachers and students is not limited to small classrooms but extends to various parts of the world. Although separated by distance, the Internet helps teachers and students remove barriers, allowing them to have more communication channels and making it easier to open up and understand each other truly. This process facilitates students’ cross-cultural learning and is associated with higher levels of SCA. This extends the scope of cross-cultural adaptation research into hybrid education formats and provides timely insight post-pandemic. Therefore, developing online teaching is one way by which the internationalization of education in China can be achieved to effectively promote the improvement of the quality of education for international students.

7 Limitations and future directions

This study attempted to infer causality through path analysis, yet the cross-sectional design fundamentally limits any causal interpretation. Future longitudinal studies could further deepen the understanding of the impact mechanisms of SCA., such as measuring the effect of study time in China on SCA. Not only that, this study focuses on cross-cultural learning groups in China, but foreigners in China include too many other groups, so our study cannot cover all of them in the study subjects. Therefore, more in-depth exploration can be conducted from the following aspects in future research on SCA. Longitudinal research can be carried out further to deepen the understanding of the impact mechanism of SCA. Then, there is a need to expand the research object to other cross-cultural groups, provide a more comprehensive understanding of SCA, and propose feasible and targeted educational opinions. At the variable level, this study also fails to consider the duration of stay in China, Chinese language proficiency, cross-cultural experience, and other factors of the research subjects, which need to be further expanded in subsequent studies. A potential limitation of this study is the use of self-reported data from the same respondents, which may lead to shared-method variance. Although we conducted CFA comparisons to initially test for common-method bias, the risk of inflated correlations due to method effects cannot be completely ruled out. Future studies may benefit from incorporating multi-source or longitudinal data to mitigate this issue. Another limitation lies in the omission of potentially relevant covariates in the model. Factors such as students’ length of stay in China, previous cross-cultural experience, host language proficiency, and program level may influence their perceived social support, resilience, and socio-cultural adaptability. Future research should consider including these variables to better control for individual differences and improve the precision of model estimation.

Data availability statement

The original contributions presented in the study are included in the article/supplementary material, further inquiries can be directed to the corresponding authors.

Ethics statement

The studies involving humans were approved by the Medical Ethics Committee of Jiangsu University(Approval Number: JSDX20231115093). The studies were conducted in accordance with the local legislation and institutional requirements. Written informed consent for participation in this study was provided by the participants’ legal guardians.

Author contributions

ZY: Conceptualization, Data curation, Formal analysis, Investigation, Resources, Validation, Visualization, Writing – review & editing, Writing – original draft. YZ: Methodology, Investigation, Project administration, Supervision, Validation, Writing – review & editing. YW: Formal analysis, Investigation, Project administration, Software, Validation, Writing – original draft.

Funding

The author(s) declare that no financial support was received for the research and/or publication of this article.

Acknowledgments

We would like to express our sincere gratitude to the universities in Jiangsu, Zhejiang, and Shanghai for their support in data collection. We also appreciate the participation of international students who contributed to this research.

Conflict of interest

The authors declare that the research was conducted in the absence of any commercial or financial relationships that could be construed as a potential conflict of interest.

Correction note

A correction has been made to this article. Details can be found at: 10.3389/fpsyg.2025.1730687.

Generative AI statement

The authors declare that no Gen AI was used in the creation of this manuscript.

Any alternative text (alt text) provided alongside figures in this article has been generated by Frontiers with the support of artificial intelligence and reasonable efforts have been made to ensure accuracy, including review by the authors wherever possible. If you identify any issues, please contact us.

Publisher’s note

All claims expressed in this article are solely those of the authors and do not necessarily represent those of their affiliated organizations, or those of the publisher, the editors and the reviewers. Any product that may be evaluated in this article, or claim that may be made by its manufacturer, is not guaranteed or endorsed by the publisher.

References

Almukdad, M. (2024). Culture shock among international students in Turkey: effects of self-efficacy and life satisfaction. BMC Psychol. 12:41. doi: 10.1186/s40359-024-01641-9

Crossref Full Text | Google Scholar

Antonucci, T. C., and Akiyama, H. (1987). An examination of sex differences in social support among older men and women. Sex Roles 17, 737–749. doi: 10.1007/BF00287685

Crossref Full Text | Google Scholar

Barnová, S., Kožuchová, M., Krásna, S., and Osaďan, R. (2022). Teachers’ professional attitudes towards inclusive education. Emerg. Sci. J. 6, 13–24. doi: 10.28991/ESJ-2022-SIED-02

Crossref Full Text | Google Scholar

Berry, J. W., Phinney, J. S., Sam, D. L., and Vedder, P. (2006). Immigrant youth: Acculturation, identity, and adaptation. Applied Psychology, 55, 303–332. doi: 10.1111/j.1464-0597.2006.00256.x

Crossref Full Text | Google Scholar

Bethel, A., Ward, C., and Fetvadjiev, V. H. (2020). Cross-cultural transition and psychological adaptation of international students: the mediating role of host national connectedness. Front. Educ. 5:539950. doi: 10.3389/feduc.2020.539950

Crossref Full Text | Google Scholar

Bhawuk, D. P. (1998). The role of culture theory in cross-cultural training: a multimethod study of culture-specific, culture-general, and culture theory-based assimilators. J. Cross-Cult. Psychol. 29, 630–655. doi: 10.1177/0022022198295003

Crossref Full Text | Google Scholar

Burns, E. C., Martin, A. J., and Collie, R. J. (2018). Adaptability, personal best (PB) goals setting, and gains in students’ academic outcomes: a longitudinal examination from a social cognitive perspective. Contemp. Educ. Psychol. 53, 57–72. doi: 10.1016/j.cedpsych.2018.02.001

Crossref Full Text | Google Scholar

Chaliawala, K. S. (2025). Investigating psychological well-being and resilience among international students in the U.S. Couns. Psychol. Q. 15, 77–94. doi: 10.32674/jkv65t83

Crossref Full Text | Google Scholar

Chavajay, P. (2013). Perceived social support among international students at a US university. Psychol. Rep. 112, 667–677. doi: 10.2466/17.21.PR0.112.2.667-677

PubMed Abstract | Crossref Full Text | Google Scholar

Cifuentes-Faura, J., Obor, D. O., To, L., and Al-Naabi, I. (2021). Cross-cultural impacts of COVID-19 on higher education learning and teaching practices in Spain, Oman, Nigeria and Cambodia: a cross-cultural study. J. Univ. Teach. Learn. Pract. 18:8. doi: 10.53761/1.18.5.8

Crossref Full Text | Google Scholar

Dahlem, N. W., Zimet, G. D., and Walker, R. R. (1991). The multidimensional scale of perceived social support: a confirmation study. J. Clin. Psychol. 47, 756–761. doi: 10.1002/1097-4679(199111)47:6<756::AID-JCLP2270470605>3.0.CO;2-L

Crossref Full Text | Google Scholar

Dong, S., Ge, H., Su, W., Guan, W., Li, X., Liu, Y., et al. (2024). Enhancing psychological well-being in college students: the mediating role of perceived social support and resilience in coping styles. BMC Psychol. 12:393. doi: 10.1186/s40359-024-01902-7

PubMed Abstract | Crossref Full Text | Google Scholar

Fanari, A. (2025). Exploring international students’ communicative resilience in the U.S. J. Cross-Cult. Psychol. 108:102229. doi: 10.1016/j.ijintrel.2025.102229

Crossref Full Text | Google Scholar

Fong, J. (2020). An evaluation of an education abroad program on the intercultural learning and cross-cultural adaptability skills of university undergraduates. High. Educ. Eval. Dev. 14, 55–68. doi: 10.1108/HEED-01-2020-0002

Crossref Full Text | Google Scholar

Gabrhelová, G., and Čepelová, S. (2022). Are activation teaching methods really effective? HighTech Innovat. J. 3, 443–471. doi: 10.28991/HIJ-2022-03-04-06

Crossref Full Text | Google Scholar

Gabrielli, G., Longobardi, S., and Strozza, S. (2022). The academic resilience of native and immigrant-origin students in selected European countries. J. Ethn. Migr. Stud. 48, 2347–2368. doi: 10.1080/1369183X.2021.1935657

Crossref Full Text | Google Scholar

Gibbs, R., Guneri, O. Y., Pankau, T., and Bikos, L. (2020). Birds of a feather hare less well together: modeling predictors of international student adaptation. Sustainability 12:2317. doi: 10.3390/su12062317

Crossref Full Text | Google Scholar

Goodenow, C. (1993). Classroom belonging among early adolescent students: relationships to motivation and achievement. J. Early Adolesc. 13, 21–43. doi: 10.1177/0272431693013001002

Crossref Full Text | Google Scholar

Gundogan, S. (2021). The mediator role of the fear of COVID-19 in the relationship between psychological resilience and life satisfaction. Curr. Psychol. 40, 6291–6299. doi: 10.1007/s12144-021-01525-w

PubMed Abstract | Crossref Full Text | Google Scholar

Hefner, J., and Eisenberg, D. (2009). Social support and mental health among college students. Am. J. Orthopsychiatry 79, 491–499. doi: 10.1037/a0016918

PubMed Abstract | Crossref Full Text | Google Scholar

He, Z. (2024). Testing a dual-process serial mediation model: Online social support to resilience via social capital. Comput. Hum. Behav. 18:10826. doi: 10.1016/j.chb.2024.108276

Crossref Full Text | Google Scholar

Holliman, A. J., Waldeck, D., Jay, B., Murphy, S., Atkinson, E., Collie, R. J., et al. (2021). Adaptability and social support: examining links with psychological well being among UK students and non-students. Front. Psychol. 12:205. doi: 10.3389/fpsyg.2021.636520

Crossref Full Text | Google Scholar

Hou, Y. (2024). The association between perceived social support and psychological resilience among university students. Psychol. Insight J. 8, 67–77. doi: 10.59429/esp.v9i8.2944

Crossref Full Text | Google Scholar

Jyoti, J., and Kour, S. (2017). Factors affecting cultural intelligence and its impact on job performance: role of cross-cultural adjustment, experience and perceived social support. Pers. Rev. 46, 767–791. doi: 10.1108/PR-12-2015-0313

Crossref Full Text | Google Scholar

Khawaja, N. G., Ibrahim, O., and Schweitzer, R. D. (2017). Mental well being of students from refugee and migrant backgrounds: the mediating role of resilience. School Ment. Health 9, 284–293. doi: 10.1007/s12310-017-9215-6

Crossref Full Text | Google Scholar

Khazhgaliyeva, G. (2023). Social adjustment of online learners in a multicultural environment. Eur. J. Educ. Stud. 35, 309–341. doi: 10.1080/11356405.2023.2177007

PubMed Abstract | Crossref Full Text | Google Scholar

Kwak, K., and Berry, J. W. (2001). Generational differences in acculturation among Asian families in Canada: a comparison of Vietnamese, Korean, and east-Indian groups. Int. J. Psychol. 36, 152–162. doi: 10.1080/00207590042000119

Crossref Full Text | Google Scholar

Larcombe, W. (2024). Are international students relatively resilient? High. Educ. Res. Dev. 43, 1–15. doi: 10.1080/07294360.2023.2234315

Crossref Full Text | Google Scholar

Liao, Y., Ye, B., and Li, A. (2019). Teachers’ caring behavior and socio-cultural adaptability among minority preparatory students in Han district. Chin. J. Clin. Psychol. 27, 124–128. doi: 10.16128/j.cnki.1005-3611.2019.01.025 (In Chinese)

Crossref Full Text | Google Scholar

Liu, C. H., Zhang, E., Wong, G. T. F., and Hyun, S. (2020). Factors associated with depression, anxiety, and PTSD symptomatology during the COVID-19 pandemic: clinical implications for US young adult mental health. Psychiatry Res. 290:113172. doi: 10.1016/j.psychres.2020.113172

PubMed Abstract | Crossref Full Text | Google Scholar

Liu, X. (2025). The mediating role of cross-cultural adaptation and interpersonal communication competence. SAGE Open 15, 1–15. doi: 10.1177/21582440251336507

Crossref Full Text | Google Scholar

Li, Y., Wang, L., and Yao, Q. (2021). Development of teachers’ caring behavior scale in online teaching. Mod. Distance Educ. 195, 52–61. doi: 10.13927/j.cnki.yuan.20210512.005 (In Chinese)

Crossref Full Text | Google Scholar

Li, Z., Lou, X., Chen, M., Li, S., Lv, L., Song, S., et al. (2023). Students’ online learning adaptability and their continuous usage intention across different disciplines. Humanit. Soc. Sci. Commun. 10:838. doi: 10.1057/s41599-023-02376-5

Crossref Full Text | Google Scholar

Lyu, C. (2024). Relations between perceived social support and prosocial behavior during online learning. J. Psychol. Stud. 12, 45–59. doi: 10.1016/j.heliyon.2024.e37677

Crossref Full Text | Google Scholar

Lyu, Y. (2024). Social support and psychological resilience significantly influence social adjustment among Chinese secondary school students. Psychol. Res. Behav. Manag. 17, 100–115. doi: 10.2147/PRBM.S477608

Crossref Full Text | Google Scholar

Ministry of Education of PRC. (2020) Opinions of the Ministry of Education and eight other departments on accelerating and expanding the opening up of education in the new era to the outside world. (In Chinese). Available online at: http://www.moe.gov.cn/jyb_xwfb/s271/202006/t20200617_466545.html (Accessed Retrieved April 27, 2023).

Google Scholar

Ministry of Education of PRC. (2022). Introduction to international cooperation and exchange in education since the 18th National Congress of the Communist Party of China (In Chinese). Available online at: http://www.moe.gov.cn/fbh/live/2022/54849/twwd/202209/t20220920_663141.html (Accessed April 27, 2023).

Google Scholar

Osterman, K. F. (2023). Teacher practice and students’ sense of belonging. In second international research handbook on values education and student wellbeing. Hempstead, NY: Springer Nature Switzerland AG.

Google Scholar

Parlak, M. (2025). Shared international student identity and new group memberships offer a sense of social support and resilience which, in turn, alleviates psychological distress. Psychol. Sch. doi: 10.1002/pits.23122

Crossref Full Text | Google Scholar

Putri, G. A. (2024). Social support and educational resilience: a systematic review of students facing academic challenges. Vifada J. Educ. 2, 24–44. doi: 10.70184/hnxrcx44

Crossref Full Text | Google Scholar

Romano, L., Angelini, G., Consiglio, P., and Fiorilli, C. (2021). Academic resilience and engagement in high school students: the mediating role of perceived teacher emotional support. Eur. J. Investigat. Health Psychol. Educ. 11, 334–344. doi: 10.3390/ejihpe11020025

PubMed Abstract | Crossref Full Text | Google Scholar

Ryan, R. M., and Deci, E. L. (2000). Self-determination theory and the facilitation of intrinsic motivation, social development, and well-being. American Psychologist, 55, 68–78. doi: 10.1037/0003-066X.55.1.68

Crossref Full Text | Google Scholar

Sam, D. L., and Berry, J. W. (2010). Acculturation: when individuals and groups of different cultural backgrounds meet. Perspect. Psychol. Sci. 5, 472–481. doi: 10.1177/1745691610373075

PubMed Abstract | Crossref Full Text | Google Scholar

Sarason, B. R., Pierce, G. R., Shearin, E. N., Sarason, I. G., Waltz, J. A., and Poppe, L. (1991). Perceived social support and working models of self and actual others. J. Pers. Soc. Psychol. 60, 273–287. doi: 10.1037/0022-3514.60.2.273

Crossref Full Text | Google Scholar

Searle, W., and Ward, C. (1990). The prediction of psychological and sociocultural adjustment during cross-cultural transitions. Int. J. Intercult. Relat. 14, 449–464. doi: 10.1016/0147-1767(90)90030-Z

Crossref Full Text | Google Scholar

Shadiev, R., Wang, X., Wu, T. T., and Huang, Y. M. (2021). Review of research on technology-supported cross-cultural learning. Sustainability 13:1402. doi: 10.3390/su13031402

Crossref Full Text | Google Scholar

Sippel, L. M., Pietrzak, R. H., Charney, D. S., Mayes, L. C., and Southwick, S. M. (2015). How does social support enhance resilience in the trauma-exposed individual? Ecol. Soc. 20, 136–145. doi: 10.5751/ES-07832-200410

Crossref Full Text | Google Scholar

Soekamto, H., Nikolaeva, I., Abbood, A. A. A., Grachev, D., Kosov, M., Yumashev, A., et al. (2022). Professional development of rural teachers based on digital literacy. Emerg. Sci. J. 6, 1525–1540. doi: 10.28991/ESJ-2022-06-06-019

Crossref Full Text | Google Scholar

Steese, S., Dollette, M., Phillips, W., Hossfeld, E., and Taormina, G. (2006). Understanding girls’ circle as an intervention on perceived social support, body image, self-efficacy, locus of control, and self-esteem. Adolescence 41, 55–74.

Google Scholar

Sutton, R. E., and Wheatley, K. F. (2003). Teachers’ emotions and teaching: a review of the literature and directions for future research. Educ. Psychol. Rev. 15, 327–358. doi: 10.1023/A:1026131715856

Crossref Full Text | Google Scholar

Tang, L. (2024). The effects of perceived cultural distance on cross-cultural adaptation. J. Cross-Cult. Psychol. 55, 320–335. doi: 10.1016/j.ijintrel.2024.102083

Crossref Full Text | Google Scholar

Tan, Y., Huang, C., Geng, Y., Cheung, S. P., and Zhang, S. (2021). Psychological well-being in Chinese college students during the COVID-19 pandemic: roles of resilience and environmental stress. Front. Psychol. 12:671553. doi: 10.3389/fpsyg.2021.671553

PubMed Abstract | Crossref Full Text | Google Scholar

Teven, J. J. (2007). Teacher caring and classroom behavior: relationships with student affect and perceptions of teacher competence and trustworthiness. Commun. Q. 55, 433–450. doi: 10.1080/01463370701658077

Crossref Full Text | Google Scholar

Thompson, B. (2004). Exploratory and confirmatory factor analysis: Understanding concepts and applications. Washington, DC: American Psychological Association.

Google Scholar

Tol, W. A., Song, S., and Jordans, M. J. (2013). Annual research review: resilience and mental health in children and adolescents living in areas of armed conflict – a systematic review of findings in low-and-middle-income countries. J. Child Psychol. Psychiatry 54, 445–460. doi: 10.1111/jcpp.12053

PubMed Abstract | Crossref Full Text | Google Scholar

Wang, S., and Zhang, D. (2020). The impact of perceived social support on students’ pathological internet use: the mediating effect of perceived personal discrimination and moderating effect of emotional intelligence. Comput. Hum. Behav. 106:106247. doi: 10.1016/j.chb.2020.106247

Crossref Full Text | Google Scholar

Ward, C. (2001). “The a, B, cs of acculturation” in The handbook of culture and psychology, 411–445.

Google Scholar

Ward, C., and Kennedy, A. (1992). Locus of control, mood disturbance, and social difficulty during cross-cultural transitions. Int. J. Intercult. Relat. 16, 175–194. doi: 10.1016/0147-1767(92)90017-O

Crossref Full Text | Google Scholar

Ward, C., and Kennedy, A. (1999). The measurement of sociocultural adaptation. Int. J. Intercult. Relat. 23, 659–677. doi: 10.1016/S0147-1767(99)00014-0

Crossref Full Text | Google Scholar

Wilcox, P., Winn, S., and Fyvie-Gauld, M. (2005). ‘It was nothing to do with the university, it was just the people’: the role of social support in the first-year experience of higher education. Stud. High. Educ. 30, 707–722. doi: 10.1080/03075070500340036

Crossref Full Text | Google Scholar

Wilks, S. E. (2008). Resilience amid academic stress: the moderating impact of social support among social work students. Adv. Soc. Work 9, 106–125. doi: 10.18060/51

Crossref Full Text | Google Scholar

Winfield, L. F. (1991). Resilience, schooling, and development in African-American youth: a conceptual framework. Educ. Urban Soc. 24, 5–14. doi: 10.1177/0013124591024001001

Crossref Full Text | Google Scholar

Wong, R. (2024). The socio-cultural experience of Chinese international students in Australia. Int. J. Intercult. Relat. 85, 89–102. doi: 10.1080/20590776.2024.2371131

Crossref Full Text | Google Scholar

Wu, X., Wu, X., Wu, R., and Cheng, L. (2024). Influence of OTC on OLE for college students: mediating effect of academic emotion and moderating effect of gender. Curr. Psychol. 43, 3973–3986. doi: 10.1007/s12144-023-04571-8

PubMed Abstract | Crossref Full Text | Google Scholar

Yang, F., He, Y., and Xia, Z. (2023). The effect of perceived discrimination on cross-cultural adaptation of international students: moderating roles of autonomous orientation and integration strategy. Curr. Psychol. 42, 19927–19940. doi: 10.1007/s12144-022-03106-x

Crossref Full Text | Google Scholar

Ye, B. J., Fu, H. H., Yang, Q., You, Y. Y., Lei, X., and Chen, J. W. (2017). Teacher’s caring behavior and adolescents’ internet addiction: a chain mediating model. Chin. J. Clin. Psychol. 25, 1168–1174. (In Chinese)

Google Scholar

Yu, B. (2024). Paradoxes in intercultural communication and acculturation among international students. J. Intercult. Commun. Res. 53, 150–168. doi: 10.1080/01434632.2024.2407909

Crossref Full Text | Google Scholar

Yu, B., Bodycott, P., and Mak, A. S. (2019). Language and interpersonal resource predictors of psychological and sociocultural adaptation: international students in Hong Kong. J. Stud. Int. Educ. 23, 572–588. doi: 10.1177/1028315318825336

Crossref Full Text | Google Scholar

Zhang, K. (2024). Wechat use and cross-cultural adaptation of international students in China. Intercult. Educ. 24, 56–67. doi: 10.36923/jicc.v24i4.967

Crossref Full Text | Google Scholar

Zhang, K. (2025). Mediating and moderating effects of WeChat use on cross-cultural adaptation among international students in China. J. Commun. 106:102160. doi: 10.1016/j.ijintrel.2025.102160

Crossref Full Text | Google Scholar

Zhan, Z., Wu, Q., He, W., Cheng, S., Lu, J., and Han, Y. (2021). K12 teacher-student interaction patterns in the smart classrooms. Int. J. Innov. Learn. 29, 267–286. doi: 10.1504/IJIL.2021.114511

Crossref Full Text | Google Scholar

Keywords: teachers’ caring behavior, socio-cultural adaptability, perceived social support, resilience, international students

Citation: Yin Z, Zhao Y and Wang Y (2025) How teachers’ caring behavior impacts the socio-cultural adaptability of international students: a chain mediation model. Front. Psychol. 16:1656033. doi: 10.3389/fpsyg.2025.1656033

Received: 10 July 2025; Accepted: 05 September 2025;
Published: 10 October 2025;
Corrected: 11 November 2025.

Edited by:

Anastassia Zabrodskaja, Tallinn University, Estonia

Reviewed by:

Huilin Wang, Hunan University of Science and Technology, China
Bishal Patangia, Christ University, India

Copyright © 2025 Yin, Zhao and Wang. This is an open-access article distributed under the terms of the Creative Commons Attribution License (CC BY). The use, distribution or reproduction in other forums is permitted, provided the original author(s) and the copyright owner(s) are credited and that the original publication in this journal is cited, in accordance with accepted academic practice. No use, distribution or reproduction is permitted which does not comply with these terms.

*Correspondence: Zilong Yin, emx5aW5AdWpzLmVkdS5jbg==; Yuefang Wang, d2FuZ3lmenpAcXEuY29t

These authors have contributed equally to this work

Disclaimer: All claims expressed in this article are solely those of the authors and do not necessarily represent those of their affiliated organizations, or those of the publisher, the editors and the reviewers. Any product that may be evaluated in this article or claim that may be made by its manufacturer is not guaranteed or endorsed by the publisher.