Your new experience awaits. Try the new design now and help us make it even better

SYSTEMATIC REVIEW article

Front. Sports Act. Living, 30 September 2025

Sec. Exercise Physiology

Volume 7 - 2025 | https://doi.org/10.3389/fspor.2025.1630584

Exploring the role of the core in sports performance: a systematic review of the effects of core muscle training

  • 1Faculty of Education, University of Pamplona, Pamplona, Colombia
  • 2Faculty of Health, Universidad Santiago de Cali, Cali, Colombia

Introduction: The Core or central area of the body, is a group of muscles in charge of providing stability and postural control, being crucial in sports performance. In sports, the practice of exercises to strengthen this region can improve different performance variables. However, most of these programs in athletes focus on direct and specific strengthening of the extremities, largely ignoring the role that this part of the body can have on strength and power. Therefore, the aim of this study is to systematically review the literature on the effects of core muscle training on key athletic performance parameters in competitive athletes, focusing primarily on core strength, dynamic balance, sprint speed, jump height, and agility.

Materials and methods: A systematic review was carried out using a search strategy applied to Scopus, Science Direct, WebScience, Sportdiscuss and Sage Journal databases. Randomized con-trolled trials, quasi-experimental studies and prospective observational cohort studies evaluating the effect of core training on performance in competitive athletes participating at regional, national, or international levels were included.

Results: Core training showed improvements in trunk extensor strength, core endurance, dynamic balance, and sprint speed in athletes. However, results regarding trunk flexor muscle strength, jump height and agility were not precise.

Conclusion: In athletes, core training can improve core strength, dynamic balance, and sprint speed. However, its efficacy on other sports performan ce variables, such as agility or power, is not clear.

Systematic Review Registration: https://www.crd.york.ac.uk/PROSPERO/view/CRD420251036787, identifier CRD420251036787.

1 Introduction

The Core or central area corresponds to the nucleus, or group of muscles located in the central part of the body. This muscle complex is crucial for athletic performance. This central area of the body, which encompasses the muscles of the abdomen, lower back, but-tocks, and pelvis, plays a critical role in several aspects of different sports. A strong core provides stability, improves the transfer of power from the legs to the pedals, maintains a proper posture on the bike, increases energy efficiency by allowing you to maintain an aerodynamic position for longer, prevents injuries by protecting the spine, improves balance. The muscles of the spine, trunk, abdomen and hips must be able to accelerate and decelerate the movements of the upper and lower limbs in a harmonic, coordinated and fluid synchrony (1). Maintaining a good stability of this complex depends mainly on an adequate interaction between the passive, active and neural subsystems (2). In this way, the core can be considered as a link and the center of almost all kinetic chains, playing an important role in maximizing the functions of the upper and lower extremities and athletic performance (3).

The importance of the function of the central core of the body for stabilization and force generation in all sports activities is increasingly recognized. “Core stability” is considered critical for efficient biomechanical function that maximizes force generation and minimizes joint loads in all types of activities, from running to throwing (4).

For example, in cycling the core muscles maintain the neutral pelvic position on the bike when both anterior and posterior muscle components are balanced (5). To prevent injury, proper bike adjustment is critical so that constant, low limb alignment is adopted throughout the ride (6). However, decreased core strength could artificially induce misalignment of the lower extremity in an effort to maintain a certain posture, while factors related to core stability may predict the risk of knee injuries (7, 8).

The impact of core strength training on lower limb power in athletes is an area that, to date, lacks sufficient conclusive studies. This gap in the scientific literature justifies the need for our research, which focuses on examining the relationship between core area muscle training and strength development in athletes. Therefore, the objective of this study is to provide a systematic review of the literature of core muscle training and its impact on athletic performance.

Traditionally, training to improve performance in sport has focused on the direct strengthening of the lower or upper limbs, prioritizing exercises such as squats, deadlifts and leg presses, among others also for upper limbs. Several studies have shown the effectiveness of these exercises to increase strength and power in the arms and legs. For example, Ronnestad et al. found significant improvements in the power of cyclists after a strength training program focused on the legs (9). Similarly, increases in maximum lower limb strength have been reported in cyclists after a period of weight training (10). However, emerging evidence suggests that a strong core is essential to optimize lower extremity function.

The effect of core training on leg strength and athletic performance is a topic that needs further investigation. Although there are some studies looking at how core stability affects athlete performance, there is little specific work on how core strengthening influences strength and power. This creates a lack of information in this field. Therefore, this research tries to fill this gap in the scientific literature, studying the relationship between the training of the core muscles and the increase of different variables such as speed, agility, power, among other variables of sports performance.

2 Materials and methods

This study was conducted following the recommendations of the Cochrane Collaboration and the PRISMA statement. El protocolo fue registrado en el registro prospectivo internacional de revisiones sistemáticas (PRÓSPERO): CRD420251036787.

The review focused on studies that included the following PICO structure: Population(P): Competitive athletes (between 18 and 65 years old, of both sexes) who regularly participated in competitions at the regional, national or international level. This broad age range was chosen to ensure a comprehensive search that would be inclusive of masters-level competitive athletes. Intervention (I): Core training programs (e.g., planks, stability exercises, Swiss ball training). Comparison (C): absence of core training, alternative workouts (such as limb-centered strength training), or control groups. Results (O): primary: core strength (measured by isometric or endurance tests such as plank time); secondary: dynamic balance (e.g., Star Excursion Balance Test), sprint speed (such as times in 10–20 m sprints), jump height (such as countermovement jumping), agility (e.g., Illinois Agility Test), and sport-specific performance (such as striking speed in soccer).

2.1 Inclusion criteria

We included randomized controlled trials, quasi-experimental studies (pre-post intervention with or without non-randomized control group) and prospective observational cohort studies evaluating the effect of core training on performance in athletes.

2.2 Exclusion criteria

Studies with participants who are not athletes (e.g., students, older adults, etc.); studies with interventions that do not include a core training program or that combine it with other interventions without an independent analysis of the effect of core training; interventions that focus solely on flexibility or stretching without a strengthening component; studies with methodological designs not suitable for a systematic review.

2.2.1 Participants

Athletes (18–65 years old) of both sexes, competitive, defined by regular participation in competitions (regional, national or international).

2.2.2 Factor to be evaluated

Analysis of Core musculature training protocols in athletes.

2.3 Primary result

2.3.1 Sources of information

The literature search was conducted in the databases: Scopus, Science Direct, WebofScience, Sportdiscuss and Sage Journal, controlled clinical trials, case-control, cohort and cross-sectional studies were included from inception to December 2024, to ensure literature saturation, references of relevant articles identified through references, congresses, thesis databases, Open Grey, Google Scholar and Clinicaltrials.gov were scanned.

The search was performed using DeCS/Mesh terms and related words, the different combinations with the Boolean operators were used. No language or time restrictions were imposed.

2.4 Collect data

The information extraction process was carried out by two researchers, who reviewed each reference by title and summary. Subsequently, the full texts of the relevant studies were scanned, applying previously established inclusion and exclusion criteria, and extracting the relevant data. Any disagreement between the investigators was resolved by consensus.

Two trained reviewers used a standardized form to independently extract the following information from each article: study design, location, author names, title, objectives, number of patients included, study duration, outcome definitions, results obtained, and measures of association.

2.5 Risk of bias assessment (quality)

The quality of the studies and the risk of bias, in terms of clinical trials, the Pedro scale was applied, which examines randomization, blinding and the presentation of results. Studies that scored 4–6 on this scale.

3 Results

304 studies were initially identified from database searches. After excluding duplicate studies, 107 studies were evaluated by title and abstract, of which 90 were excluded be-because they were systematic reviews, letters to the editor, intervention protocols or because they were not related to the topic of interest. Subsequently, 17 full-text studies were analyzed, of which 7 did not meet the inclusion criteria, and finally, 7 studies were evaluated with the PEDro scale, which were finally included in this review (Figure 1).

Figure 1
Flowchart titled \

Figure 1. Flowchart of study selection process.

3.1 Characteristics of included studies

7 articles were included, in their entirety they were of the controlled clinical trial type, 4 of the articles included were from the Asian continent (1114), 2 from the European continent (15, 16) and 1 from the American continent (17): Taiwan, Turkey, Indonesia, China, Germany, Italy, and the United States, all of them in English (Table 1).

Table 1
www.frontiersin.org

Table 1. Characteristics of the included studies.

3.2 Characteristics of excluded studies

Excluded items showed no connection to the result of interest. In addition, letters to the editor, systematic/narrative reviews, medication intervention protocols were dispensed with.

3.3 Methodological quality

The average score on the PEDro scale for the studies analyzed, was 5 points with methodological quality studies, observing that the most frequent omissions were observed in the blinding of all therapists who administered the therapy and in the blinding of all evaluators who measured at least one key outcome.

3.4 Characteristics of the participants

Table 2 presents the characteristics of the participants, where it is observed that the samples varied between 8 and 30 participants. The age of the subjects included in the studies ranged from approximately 10–40 years. Regarding the sex of the participants, it was reported that in 3 of the studies it was carried out in males (11, 15, 16), 2 mixed (12, 17), and in 2 studies the sex was not specified (13, 14), thus being the male sex the most predominant. As for the sport practiced, in the studies it is mentioned that in 2 studies soccer (15, 16), 1 volleyball (11), 1 basketball (14), 1 badminton (12), 1 Pencak Silat (13), 1 career (16) are practiced. In addition, the practice time of the included athletes is known, which ranges from 1 to 10 years, however, in 4 of the studies this characteristic is not specified (1315, 17).

Table 2
www.frontiersin.org

Table 2. Characteristics of the intervention.

3.5 Most evaluated sports performance parameters

The sports performance parameters most evaluated in the studies were core strength, dynamic balance and sprint speed. Core strength was measured primarily through the maximum isometric force (MIF) of trunk flexors and extensors, and core strength through endurance tests such as the plank test, abdominal fatigue test (aft), back extensor test (bet), and lateral bridge test (SBT). Dynamic balance was frequently assessed using the Star Excursion Balance Test (SEBT), analyzing range in different directions. Sprint speed was commonly measured over short distances (ex. 10–20 m). Other parameters such as the height of the countermovement jump (CMJ), agility (e.g., Agility Test T, Illinois Agility Test) and performance in specific sports gestures (e.g., football kicks) were evaluated less fre-quently, although their inclusion varies according to the specificity of the sport studied. Parameters such as power, local limb muscle endurance, flexibility, and aerobic endurance were reported to a lesser extent, suggesting a need for further research in these areas within the context of core training.

3.6 Results of the evaluated sports performance parameters

In the studies reviewed, core strength (Table 3), as measured through MIF, showed mixed results. While trunk extender MIF improved consistently after core training on both stable and unstable surfaces, flexor MIF showed no significant changes in most studies. Core endurance, as assessed by tests such as plank, aft, BET, and SBT, generally improved after training, with significant increases in endurance times.

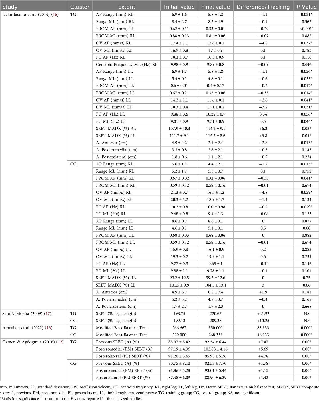
Table 3
www.frontiersin.org

Table 3. Core strength results.

Studies that used SEBT to assess dynamic balance showed significant improvements in range in all three directions assessed (anterior, posteromedial, and posterolateral), with greater improvements often observed in the group that trained with unstable surfaces (Table 4).

Table 4
www.frontiersin.org

Table 4. Balance results.

In terms of sprint speed (Table 5), most studies reported significant improvements, especially in short sprints (ex. 10–20 m), regardless of the type of core training. However, the results for CMJ height were inconsistent, with some studies showing improvements and others showing no significant changes.

Table 5
www.frontiersin.org

Table 5. Sprint speed results.

Agility (Table 6), measured through tests such as Agility T or Illinois, showed no solid improvements after core training in most studies, suggesting that this type of training may not transfer benefits directly to agility.

Table 6
www.frontiersin.org

Table 6. Agility results.

Finally, in studies that evaluated specific sports performance (Table 7), such as kick speed in soccer, improvements were observed after core training, but the magnitude of these improvements and their statistical significance varied between the studies analyzed.

Table 7
www.frontiersin.org

Table 7. Sports performance results.

4 Discussion

This systematic review analyzed the effect of core strength training on athletic performance in athletes of different practices. After an exhaustive literature search, 7 studies (1117), were identified which met the inclusion criteria, evaluated with the PEDro scale (mean score of 5 points). The studies, predominantly controlled clinical trials, covered various sports disciplines (football, volleyball, basketball, badminton, Pencak Silat and running) and geographical contexts (Asia, Europe and America). The total sample of participants, aged between 10 and 40 years, was predominantly male. The considerable heterogeneity in training methodologies, which encompassed variations in duration (ranging from 4 to 9 weeks), frequency, and modalities (e.g., Swiss ball, slings, stable and/or unstable surfaces) together with the diversity of performance parameters assessed, constitutes an inherent limitation for evidence synthesis and adds complexity to the interpretation and generalization of findings. This variability may have masked specific effects or contributed to the inconsistency of certain outcomes, underscoring the difficulty of establishing optimal and universally applicable core training protocols based solely on the current body of studies.

The most researched variables were core strength, dynamic balance, and sprint speed. Core strength, measured through the maximum isometric force (MIF) of trunk flexors and extensors, showed dissimilar results. While extender MIF improved consistently after training, as reported by Prieske et al. (15), in elite young footballers, flexor MIF did not experience significant changes in most studies, consistent with the observations of Ozmen and Aydogmus (12), in badminton players. This discrepancy could be attributed to the greater involvement of trunk extensors in postural stabilization and force transfer during sports practice (4). In contrast, the results for maximal isometric trunk flexor strength (MIF) were less conclusive, with most studies reporting no significant changes. This discrepancy, compared with the improvements observed in the extensors, may be due to the fact that the reviewed core training protocols did not sufficiently emphasize maximal loading of the flexors, or that the nature of the exercises prioritized stability and endurance over maximal strength in this direction. It is possible that the neural and structural mechanisms involved in isokinetic flexor strength require different or more specific training stimuli than those implemented in the included studies. Core endurance, as assessed by plank, aft, BET, and SBT, improved after the intervention, showing an increase in endurance times. This result is similar to different previous studies demonstrating the efficacy of core training to improve the endurance of the trunk musculature (18). Similarly, research has been conducted on core stability exercises that strengthen the abdominal, lower back, and pelvic muscles, improving stability and control during the throwing motion (19).

Dynamic balance, assessed primarily with SEBT, showed significant improvements in all three axes of movement (anterior, posteromedial, and posterolateral), particularly in the group that trained on unstable surfaces (12). However, it is important to consider that the magnitude of the improvement in balance may vary according to the level of previous training of the athletes, as suggested by Granacher et al. (20), in their study with adolescents. In terms of sprint speed, most studies, including that of Prieske et al. (15), showed significant improvements, especially over short distances. This could be explained by the greater stability of the core, which allows a more efficient transfer of force to the lower extremities during the stroke (21).

Similarly, the results for countermovement jump (CMJ) height were inconsistent, with some studies reporting improvements while others did not. The CMJ is a multifactorial action that largely depends on lower-limb explosive strength, intermuscular coordination, and jump technique (22). Core training, while essential for providing a stable base, is unlikely to be the primary limiting factor for CMJ performance in athletes; rather, its impact may be more indirect and contingent upon integration with plyometric and lower-limb strength training. With respect to agility, as assessed through tests such as the T-Test or Illinois Agility Test, the results were particularly weak and showed no consistent improvements in most studies following core training (12, 15). This finding suggests a limited transfer from isolated core training to agility. Agility is a complex skill that not only requires trunk stability and strength but also cognitive components (perception and decision-making), rapid changes of direction, acceleration and deceleration, and braking ability. While a strong core provides a foundation, specific agility training that integrates these elements in sport-related contexts is essential to achieve meaningful improvements (23, 24). Therefore, core training may be more effective as a foundational component that prepares athletes for more specific and functional agility programs, rather than serving as a substitute for them.

Finally, in studies that evaluated specific sports performance, such as kick speed in soccer (14), improvements were observed after core training. However, the magnitude of these findings and their statistical significance were variable. This reinforces the importance of the principle of specificity in training, where adaptations are specific to the type of activity performed (25), also as Hawley points out, which indicates that this principle predicts that the closer the training routine comes to the requirements of the desired result (i.e., a specific exercise task or performance criteria), the better the result (26).

In summary, core training seems to have a positive effect on the different variables studied such as the strength of the trunk extenders, core resistance, dynamic balance and sprint speed.

Finally, it is imperative to acknowledge the inherent limitations of the included studies that affect the reliability of our findings. Most trials involved relatively small sample cohorts (ranging from 8 to 30 participants), which reduces statistical power and limits the generalizability of the results to broader athletic populations. Furthermore, while our inclusion criteria encompassed a broad age range (18–65 years) to potentially include masters athletes, the literature search only yielded studies with participants up to 40 years of age. Consequently, our findings cannot be generalized to older competitive athletes, and the effects of core training in that specific demographic remain an area for future investigation. Moreover, methodological quality, as assessed with the PEDro scale (average score of 5), revealed frequent omissions in therapist and assessor blinding. The lack of therapist blinding introduces a risk of performance bias, while the absence of assessor blinding may lead to detection bias, whereby the expectations of researchers or participants influence the reported outcomes. These methodological factors must be critically considered when interpreting the magnitude and consistency of the effects of core training.

5 Conclusions

Despite the limitations to which this review was subjected, due to the number of studies selected and the heterogeneity in the methods used by them, the findings suggest that core musculature training could constitute a valuable tool for improving certain performance parameters in sport. Overall, there is a trend toward improvement in trunk extension strength, core endurance, dynamic balance, and sprint speed in athletes who added core training to their training protocols. However, results regarding trunk flexor strength, CMJ height, and agility were inconclusive. These results have scientific and clinical implications. From a scientific perspective, it is proposed that future research adopt more rigorous methodological control, including appropriately calculated sample sizes to ensure statistical power and representativeness. Prioritizing assessor blinding and, whenever ethically feasible, participant or therapist blinding is crucial to minimize the risk of detection and performance bias. More homogeneous training protocols are recommended; alternatively, any heterogeneity should be explicitly justified and discussed to enhance understanding of the specific relationship between core training and components of sports performance. Future research should also explore designs that allow for the analysis of interactions between core training and other training modalities (e.g., plyometric, agility-specific), in order to better elucidate how the core contributes to holistic and functional athletic performance. From a clinical perspective, these preliminary results suggest that exercises that focus on the core area would be beneficial for athletes in various sports, particularly those that focus on endurance and dynamic stability. Contributing in this way to the improvement of strength, speed and balance. Even so, it is necessary to act with caution when generalizing these findings, due to the limitations presented and the variability in the individual response to training. Sports and health professionals are encouraged to take into account the specificity of each sport and the individual needs of athletes when designing and implementing core area muscle training programs.

Data availability statement

The original contributions presented in the study are included in the article/Supplementary Material, further inquiries can be directed to the corresponding author.

Author contributions

JB: Data curation, Supervision, Methodology, Writing – original draft, Investigation, Writing – review & editing, Conceptualization, Software, Visualization, Project administration, Formal analysis, Validation. FA: Software, Funding acquisition, Investigation, Writing – original draft, Writing – review & editing, Resources, Formal analysis, Data curation, Visualization, Methodology, Supervision, Conceptualization, Validation, Project administration.

Funding

The author(s) declare that financial support was received for the research and/or publication of this article. This research has been funded by Dirección General de Investigaciones of Universidad Santiago de Cali under call No. DGI-01-2025.

Acknowledgments

To dirección General de Investigaciones of Universidad Santiago de Cali.

Conflict of interest

The authors declare that the research was conducted in the absence of any commercial or financial relationships that could be construed as a potential conflict of interest.

Generative AI statement

The author(s) declare that no Generative AI was used in the creation of this manuscript.

Any alternative text (alt text) provided alongside figures in this article has been generated by Frontiers with the support of artificial intelligence and reasonable efforts have been made to ensure accuracy, including review by the authors wherever possible. If you identify any issues, please contact us.

Publisher's note

All claims expressed in this article are solely those of the authors and do not necessarily represent those of their affiliated organizations, or those of the publisher, the editors and the reviewers. Any product that may be evaluated in this article, or claim that may be made by its manufacturer, is not guaranteed or endorsed by the publisher.

Supplementary material

The Supplementary Material for this article can be found online at: https://www.frontiersin.org/articles/10.3389/fspor.2025.1630584/full#supplementary-material

References

1. Asplund CA, Ross M. Core stability and bicycling. Curr Sports Med Rep. (2010) 9(3):155–60. doi: 10.1249/JSR.0b013e3181de0f91

PubMed Abstract | Crossref Full Text | Google Scholar

2. San Emeterio C, Cochrane D, Guillén-Rogel P, Marín PJ. Short-term effects of lumbopelvic complex stability training in elite female road cyclists. J Musculoskelet Neuronal Interact. (2022) 22(1):62–9. Available online at: https://www.ncbi.nlm.nih.gov/pmc/articles/PMC8919659/ (Accessed October 10, 2024). 35234160

PubMed Abstract | Google Scholar

3. Schulte S, Bopp J, Zschorlich V, Büsch D. The multi-component structure of core strength. J Funct Morphol Kinesiol. (2024) 9(4):249. doi: 10.3390/jfmk9040249

PubMed Abstract | Crossref Full Text | Google Scholar

4. Kibler WB, Press J, Sciascia A. The role of core stability in athletic function. Sports Med. (2006) 36(3):189–98. doi: 10.2165/00007256-200636030-00001

PubMed Abstract | Crossref Full Text | Google Scholar

5. Abt JP, Smoliga JM, Brick MJ, Jolly JT, Lephart SM, Fu FH. Relationship between cycling mechanics and core stability. J Strength Cond Res. (2007) 21(4):1300–4. doi: 10.1519/R-21846.1

PubMed Abstract | Crossref Full Text | Google Scholar

6. Burke ER. High-Tech Cycling. Champaign, IL: Human Kinetics (1996).

Google Scholar

7. Willson JD, Ireland ML, Davis I. Core strength and lower extremity alignment during single leg squats. Med Sci Sports Exerc. (2006) 38(5):945–52. doi: 10.1249/01.mss.0000218140.05074.fa

PubMed Abstract | Crossref Full Text | Google Scholar

8. Zazulak BT, Hewett TE, Reeves NP, Goldberg B, Cholewicki J. Deficits in neuromuscular control of the trunk predict knee injury risk. Am J Sports Med. (2007) 35(7):1123–30. doi: 10.1177/0363546507301585

PubMed Abstract | Crossref Full Text | Google Scholar

9. Rønnestad BR, Hansen J, Hollan I, Ellefsen S. Strength training improves performance and pedaling characteristics in elite cyclists. Scand J Med Sci Sports. (2015) 25(1):e89–98. doi: 10.1111/sms.12257

PubMed Abstract | Crossref Full Text | Google Scholar

10. Sunde A, Støren Ø, Bjerkaas M, Larsen MH, Hoff J, Helgerud J. Maximal strength training improves cycling performance in competitive cyclists. J Strength Cond Res. (2010) 24(8):2157–65. doi: 10.1519/JSC.0b013e3181aeb16a

PubMed Abstract | Crossref Full Text | Google Scholar

11. Tsai YJ, Chia CC, Lee PY, Lin LC, Kuo YL. Landing kinematics, sports performance, and isokinetic strength in adolescent male volleyball athletes: influence of core training. J Sport Rehabil. (2020) 29(1):65–72. doi: 10.1123/jsr.2018-0015

PubMed Abstract | Crossref Full Text | Google Scholar

12. Özmen T, Aydoğmuş M. Effect of core strength training on dynamic balance and agility in adolescent badminton players. J Bodyw Mov Ther. (2016) 20(3):565–70. doi: 10.1016/j.jbmt.2015.12.006

Crossref Full Text | Google Scholar

13. Amrullah R, Sari S, Fallo IS, Agus Lauh WD, Purnomo E. Swiss ball-based core stability exercise for students-athletes of pencak silat in pontianak: experimental study. Int J Hum Mov Sports Sci. (2022) 10(4):700–8. doi: 10.13189/saj.2022.100410

Crossref Full Text | Google Scholar

14. Liu Q, Zhu C, Huang Q. Effects of sling exercise on the core endurance and performance of basketball players. Rev Bras Med Esporte. (2023) 29(6):e2021_0013. doi: 10.1590/1517-8692202329012021_0013

Crossref Full Text | Google Scholar

15. Prieske O, Muehlbauer T, Borde R, Gube M, Bruhn S, Behm DG, et al. Neuromuscular and athletic performance following core strength training in elite youth soccer: role of instability. Scand J Med Sci Sports. (2016) 26(1):48–56. doi: 10.1111/sms.12403

PubMed Abstract | Crossref Full Text | Google Scholar

16. Iacono AD, Martone D, Alfieri A, Buono P. Core stability training program (CSTP) effects on static and dynamic balance abilities. Riv Med. (2014) 173(4):197. Available online at: https://www.researchgate.net/publication/270159851 (Accessed April 18, 2025).

Google Scholar

17. Sato K, Mokha M. Does core strength training influence running kinetics, lower-extremity stability, and 5,000-m performance in runners? J Strength Cond Res. (2009) 23(1):133–40. doi: 10.1519/JSC.0b013e31818eb0c5

PubMed Abstract | Crossref Full Text | Google Scholar

18. Willardson JM. Core stability training: applications to sports conditioning programs. J Strength Cond Res. (2007) 21(3):979–85. doi: 10.1519/R-20255.1

PubMed Abstract | Crossref Full Text | Google Scholar

19. Kanakapura Chananke Gowda VK, Subramanian SS, Gaowgzeh RM, Alsenany SA, Abdelaliem SMF, Alabdullah SA, et al. Effect of kinematic chain exercise protocol on throwing performance and shoulder muscle strength among university shot put athletes: a randomized controlled trial. J Clin Med. (2024) 13(17):4993. doi: 10.3390/jcm13174993

PubMed Abstract | Crossref Full Text | Google Scholar

20. Granacher U, Schellbach J, Klein K, Prieske O, Baeyens JP, Muehlbauer T. Effects of core strength training using stable versus unstable surfaces on physical fitness in adolescents: a randomized controlled trial. BMC Sports Sci Med Rehabil. (2014) 6(1):40. doi: 10.1186/2052-1847-6-40

PubMed Abstract | Crossref Full Text | Google Scholar

21. McGill SM. Low Back Disorders: Evidence-Based Prevention and Rehabilitation. 3rd ed. Champaign, IL: Human Kinetics (2016).

Google Scholar

22. Behm DG, Anderson KG. The role of instability with resistance training. J Strength Cond Res. (2006) 20(3):716–22. doi: 10.1519/R-18475.1

PubMed Abstract | Crossref Full Text | Google Scholar

23. Young W, Farrow D. A review of agility: practical applications for strength and conditioning. Strength Cond J. (2006) 28(5):24–9. doi: 10.1519/1533-4295(2006)28[24:AROAPA]2.0.CO;2

Crossref Full Text | Google Scholar

24. Horníková H, Zemková E. The importance of core strength for change of direction speed. Front Physiol. (2024) 15:1376422. doi: 10.3389/fphys.2024.1376422

PubMed Abstract | Crossref Full Text | Google Scholar

25. Behm DG, Sale DG. Intended rather than actual movement velocity determines velocity-specific training response. J Appl Physiol. (1993) 74(1):359–68. doi: 10.1152/jappl.1993.74.1.359

PubMed Abstract | Crossref Full Text | Google Scholar

26. Hawley JA. Specificity of training adaptation: time for a rethink? J Physiol. (2008) 586(1):1–2. doi: 10.1113/jphysiol.2007.147397

PubMed Abstract | Crossref Full Text | Google Scholar

Keywords: abdominal core, exercise, athletic performance, muscle strength, lower extremity

Citation: Bustos Carvajal JS and Arias Coronel F (2025) Exploring the role of the core in sports performance: a systematic review of the effects of core muscle training. Front. Sports Act. Living 7:1630584. doi: 10.3389/fspor.2025.1630584

Received: 18 May 2025; Accepted: 11 September 2025;
Published: 30 September 2025.

Edited by:

Daniel Rojas-Valverde, National University of Costa Rica, Costa Rica

Reviewed by:

Souhail Hermassi, Qatar University, Qatar
Luis Miguel Ferreira, Escola Superior de Enfermagem do Porto, Portugal

Copyright: © 2025 Bustos Carvajal and Arias Coronel. This is an open-access article distributed under the terms of the Creative Commons Attribution License (CC BY). The use, distribution or reproduction in other forums is permitted, provided the original author(s) and the copyright owner(s) are credited and that the original publication in this journal is cited, in accordance with accepted academic practice. No use, distribution or reproduction is permitted which does not comply with these terms.

*Correspondence: Florencio Arias Coronel, ZmxvcmVuY2lvYXJpYXMwMEB1c2MuZWR1LmNv

Disclaimer: All claims expressed in this article are solely those of the authors and do not necessarily represent those of their affiliated organizations, or those of the publisher, the editors and the reviewers. Any product that may be evaluated in this article or claim that may be made by its manufacturer is not guaranteed or endorsed by the publisher.