ORIGINAL RESEARCH article
Front. Sports Act. Living
Sec. Exercise Physiology
Effects of repeated sprint training with constant versus incremental rest intervals on the decrement score, blood lactate concentration, and Wingate anaerobic test performance: A pilot study
Provisionally accepted- 1Hokkaido University of Science, Sapporo, Japan
- 2North Asia Daigaku, Akita, Japan
- 3Shimizu Corporation Koutoh Blue Sharks, yokohama, Japan
- 4Well-I Inc, Tokyo, Japan
Select one of your emails
You have multiple emails registered with Frontiers:
Notify me on publication
Please enter your email address:
If you already have an account, please login
You don't have a Frontiers account ? You can register here
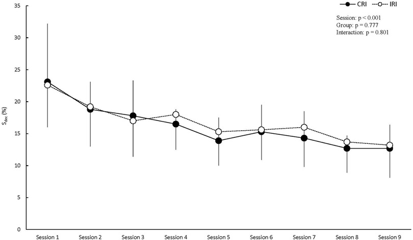
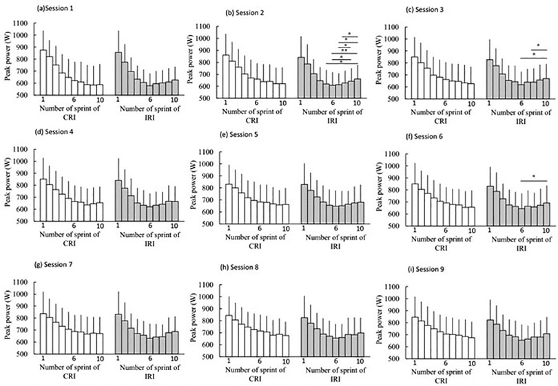
The effects of repeated sprint training with constant rest interval (CRI) versus incremental rest interval (IRI), without matching the total rest duration, on muscle fatigue, glycolytic metabolism and anaerobic work capacity remain unclear. Therefore, we aimed to examine the effects of repeated sprint training with CRI versus IRI on the decrement score, a measure of muscle fatigue, blood lactate concentration, and Wingate anaerobic test performance. We hypothesized that the decrement score, a measure of muscle fatigue, would be significantly lower with repeated sprint training with IRI than with repeated sprint training with CRI, that the blood lactate concentrationwould be equivalent in IRI and CRI, and that Wingate anaerobic test performance would be equally improved. Seventeen males performed nine sessions of repeated sprint training (10 set × 10-s maximal pedaling) within 3 weeks. They were assigned to either the repeated sprint training with CRI (30-s rest interval between sets) or IRI group (30-s rest interval until the fifth set, and then the rest interval was increased by 10-s for each set from the sixth set onwards). The decrement score showed no statistically significant difference between the groups in all sessions. The blood lactate concentration was measured in sessions 1 and 9 and significantly decreased from sessions 1 to 9 in both groups (p < 0.05). However, the blood lactateconcentrationdid not differ significantly between the groups in sessions 1 and 9. From pre-training to post-training, peak power during the Wingate anaerobic test did not increase in either group. The mean power during the Wingate anaerobic test increased significantly in both groups (p < 0.05), but there was no significant difference between the groups. These results suggest that RST with IRI may not provide additional benefits over RST with CRI in untrained young adults.
Keywords: Muscle Fatigue, Glycolytic metabolism, maximal pedaling, peak power, Mean power
Received: 05 Jun 2025; Accepted: 13 Oct 2025.
Copyright: © 2025 Tomabechi, Nakazawa, Okuhara and Aoki. This is an open-access article distributed under the terms of the Creative Commons Attribution License (CC BY). The use, distribution or reproduction in other forums is permitted, provided the original author(s) or licensor are credited and that the original publication in this journal is cited, in accordance with accepted academic practice. No use, distribution or reproduction is permitted which does not comply with these terms.
* Correspondence: Nobuyasu Tomabechi, nobuyasu.tomabechi@gmail.com
Disclaimer: All claims expressed in this article are solely those of the authors and do not necessarily represent those of their affiliated organizations, or those of the publisher, the editors and the reviewers. Any product that may be evaluated in this article or claim that may be made by its manufacturer is not guaranteed or endorsed by the publisher.
