Your new experience awaits. Try the new design now and help us make it even better

ORIGINAL RESEARCH article

Front. Sports Act. Living, 28 October 2025

Sec. Sport, Leisure, Tourism, and Events

Volume 7 - 2025 | https://doi.org/10.3389/fspor.2025.1651771

SDG3 sustainable development model for Chinese ethnic intangible cultural heritage sports projects: a quantitative study

  • 1Nantong Institute of Technology, Nantong, China
  • 2Sports School, Sichuan Technology and Business University, Sichuan, China
  • 3Jiangsu Open University, Nanjing, China
  • 4Sports School, Nantong Normal College, Nantong, China
  • 5Sichuan University, Sichuan, China

Objective: Background: The World Intellectual Property Organization (WIPO) 2022 report emphasizes that 75% of intangible cultural heritage projects worldwide face the “modernization trap”, with the intensity of risk positively correlated with the degree of commercialization of the project. Sports projects should avoid this concrete phenomenon. The sustainable development of China's ethnic intangible cultural heritage sports projects must be based on a comprehensive/integrated model that encompasses sports culture (culture, economy, society, and resources).

Method: Using integrated model theory, a sustainable development model was created. A group of 10 experts was established, and data was obtained through two rounds of questionnaires administered to the expert group. Through sports culture theory, combined with the EGG model (aggregation model), identify risk factors for safety accidents, identify risk factors for the lack of sports culture (intangible cultural heritage), and identify the relationship between the two types of risks. Based on a multi-subject collaboration mechanism, the Decision-Making Trial and Evaluation Laboratory (DEMATEL) is incorporated as a multi-criteria decision-making method to calculate the prominence and correlation of influencing factors and assess the degree of impact of risk factors.

Results: A fault tree analysis of 54 indicators (risk factors) was conducted to determine a model for the sustainable development of intangible cultural heritage sports projects (EGG), including 5 first-level indicators, 11 s-level indicators, and 38 third-level indicators. The most prominent and influential factors (risk factors) that have been identified include five third-level indicators and one first-level indicator. Risks level-3 indicators) are divided into 5 major prominent causes/factors (T5, T6, T17, T23, and T34), and 4 major related causes/factors (T3, T7, T20, T33, and T36). The F5 intangible cultural heritage (sports) dimension, as an important dimension of the sustainable development model (representing well-being), was observed (third prominent indicator, not last place; the lowest related causes/factors; sustainable well-being is not yet apparent).

Conclusion: The results indicate that quantitative (calculation) integrated models are scientific and reliable tools, which can be used to reduce the risk assessment of sustainable development in Chinese ethnic intangible cultural heritage sports projects.

1 Introduction

China's strategy to become a sporting powerhouse has given rise to demands for the globalization of sports culture (1). In line with the fundamental spirit of the United Nations 2030 Agenda for Sustainable Development (2), the globalization of sports culture must be led by national intangible cultural heritage sports projects, bringing good health and well-being to people. The World Intellectual Property Organization (WIPO) 2022 report (Page 86) emphasizes that 75% of intangible cultural heritage projects worldwide face the “modernization trap”, with the intensity of risk positively correlated with the degree of commercialization of the project. The predicament of sports projects should avoid this concrete phenomenon (3). China's ethnic intangible cultural heritage sports projects (CEICHSP), which is intangible cultural heritage projects in the field of sports that embody traditional Chinese culture, have cultural symbol value in the construction of a sports powerhouse, but their modernization is facing systemic risks, especially excessive commercial development, which has led to a triple paradox (lack of cultural identity, low local community participation, and intellectual property confusion), Such as Tang Dynasty culture (4). The traditional risk management framework is no longer adequate to address the complex risk landscape of intangible cultural heritage sports. There is an urgent need to establish an adaptive governance system, including comprehensive models/integrated models (CM/IM). Therefore, this study proposes a CM/IM for assessing CEICHSP.

The World Bank's 2021 Cultural Heritage Risk Assessment Framework shows that the “risk chain reaction” model has a destructive force that grows 4.7 times within a 3–5-year window (5). CEICHSP risks exhibit cross-sector transmission characteristics, and a single risk may trigger a systemic crisis. Traditional risk management tools have significant limitations when dealing with the complexity of CEICHSP (6). CM/IM is a novel and feasible approach to promote sustainable development in response to the comprehensive risks of CEICHSP (7).

Cultural identity is the core driving force behind CEICHSP's continued existence (8). Living heritage emphasizes the ability of CEICHSP to continue in dynamic practice (9). These two are the core characteristics of CEICHSP's cultural sustainability (8, 9). In addition to cultural characteristics, CEICHSP's sustainability also encompasses three aspects: environment (10), society (11), and economy (12). Therefore, the sustainable development of CEICHSP is a complex multi-subject system.

Past and current research evidence indicates that cultural safety is a spatial concept (inheritance of intangible cultural heritage projects, emphasizing cross-cultural differences as risk factors/incidents), enhancing the resilience of intangible cultural heritage (cultural identity and living transmission), and promoting inclusivity and equity in public health (13, 14). The Egg Aggregated Model (EAM) is a safety science framework rooted in organizational behavior studies (15). It is employed to elucidate qualitative relationships among variables within organizational systems (16) and is claimed to be applicable across disciplines (17). Thus, EAM may serve as an effective approach for systematically and vividly describing the cultural security (risks/factors) of sustainable development in intangible cultural heritage sports projects. Based on system dynamics, FTA is an important and widely used method for identifying hazards (top-level events) and causal relationships (incidents and system components) (18, 19). The sustainable development of cultural safeguarding for intangible cultural heritage sports projects, based on the EAM and FTA approaches, requires ongoing attention.

In order to quantitatively assess the comprehensive risks to the sustainable development of CEICHSP, this paper focuses on a quantitative CM/IM, based on system dynamics theory/complexity theory and multi-subject coordination theory (2022). Our research objectives mainly include (1): Design/build a sustainable CM/IM (structure and factors) for risk/safety assessment. (2) Steps for risk/safety assessment of sustainable development using integrated models. (3) Quantitative algorithms to identify the causes (risk factors) of sustainability risks/incidents in the EAM and FTA system. (4) Quantitative algorithms are used to identify complex risk interactions (Classified by Risk Category) for decision-making management mechanisms.

2 Methods

2.1 Research design

The research design of this paper uses quantitative methods to assess the relationship between CM/IM and risk factors for sustainable development model (SDM) in CEICHSP. Our study was approved by the Institutional Review Board (NIT-2024PE-008).

We formed research working group to control the reliability and validity of the overall research process. The research team consisted of all five authors of the study, four of whom hold PhD degrees and three of whom are associate professors. Three of them are CEICHSP research project leaders, and one is a CEICHSP disseminator. The research team also invited an expert in mathematics to help researchers control the accuracy of mathematical calculations in the study. The research team worked together in an equal manner, collaborating randomly according to the first author's work procedures to complete the research task.

In order to quantitatively assess the comprehensive risks to the sustainable development of ethnic intangible cultural heritage sports projects, this study proposes a CM/IM (risk/safety) model, as shown in Figure 1. Throughout the CM/IM, CEICHSP's risk assessment study was divided into three phases:

Figure 1
Flowchart consisting of three sections labeled A, B, and C. Section A involves the Egg Aggregation Model, Fault Tree Analysis, and the Risk Factor Identification Phase. Section B includes Prominence + Relation, Decision-Making Trial and Evaluation Laboratory, and Risk Decision Stage. Section C covers Safety Accident Risks, Risks of Lack of Sports Culture, and Risk Factor Assessment Stage. Arrows indicate flow and progression between stages.

Figure 1. Sustainable development (Integrated/comprehensive) model.

The first stage [Figure 1A] is the risk factor identification phase, with the primary task of incorporating the Egg Aggregation Model (EAM) to systematically and comprehensively describe the sustainable development system (23); Then, fault tree analysis (FTA) is incorporated (24), combined with sports culture, to determine the topological structure of safety incident (risk) factors (human, equipment, environment, and management dimensions) and intangible cultural heritage (sports) cultural (risk) factors (physical activity and competition performance), systematically and comprehensively explaining the relationships (causes) between risk factors in the sustainable development system. A systematic and comprehensive risk factor represents an expression of the entire causal system. A detailed and clear expression entails that the risk factor encompasses all levels of indicators (Level 1, Level 2, and Level 3).

The second stage [Figure 1B] is the risk decision stage, whose main task is to implement decision management mechanisms (quantitative algorithms), incorporated into the Decision-Making Trial and Evaluation Laboratory (DEMATEL) to quantify complex risk interactions (Prominence and Relation), and determine the causes of further modeling (CM/IM) (18).

The third stage [Figure 1C] is the risk factor assessment stage, whose main task is to analyze the risk factors for sustainable development, including a vertical analysis of safety incidents (risk factors) and a horizontal analysis of sports culture (risk factors), to assess the scientific nature and effectiveness of SDM.

2.2 Research materials (EAM, FTA and questionnaire)

EAM is the basis of the entire study and can systematically and comprehensively explain the concretization of SDM. It is a subsystem of CM/IM. Safety behaviors in sports culture based on human dynamics are the logical starting point behind CEICHSP's EAM system (23). EAM provides a complete and clear structure and relationship, divided into the easiest part to observe (egg yolk), the more difficult part to observe (egg protein), the most difficult part to observe (air), and the barrier part (eggshell).

FTA is a method for determining the topological relationships within the internal structure of an EAM system (24). Based on system dynamics, FTA is an important and widely used method for identifying hazards (top-level events) and causal relationships (incidents and system components) (19, 25). Based on the established internal structure of EAM, this paper uses hierarchical methods and binomial classification methods to determine the accident factors of SDM at three levels (26, 27).

The questionnaire is the implementation tool for this study. Following the work of the research team on EAM and FTA, a comprehensive survey questionnaire (CEICHSP SDM Assessment Questionnaire) was developed.

The first part of the questionnaire covers basic demographic information, including gender, age, role, education level, length of service, professional qualifications, and intangible cultural heritage projects. The roles include managers/heirs/promoters, trainers/athletes, teachers/coaches, and referees. Among them, professional qualifications include ungraded, junior, intermediate, and senior levels. Our study does not intend to statistically analyze demographic variables or add basic information, but only to ensure the validity and reliability of the study and the reliability of the sample selection.

The second part of the survey questionnaire is a standard Likert scale questionnaire. This version of the questionnaire consists of four sections and 38 items, which are derived from the accident factors identified by the FTA. This version of the questionnaire uses a five-point Likert scale for scoring (1 = extremely likely, 2 = likely, 3 = occasionally, 4 = unlikely, 5 = very unlikely; total score ranges from 18 to 225) (28).

A project portfolio was identified through meta-analysis and meta-synthesis methodologies.

The research group prepared a project pool by searching five major databases (China National Knowledge Infrastructure, ERIC, ScienceDirect, Scopus, and Sport), using the keywords intangible cultural heritage, sports management, and risk management (risk factors).

It is well known that safety/accidents fall within the scope of research in both industrial settings and sports. In the field of public health, new research (safety culture) has been directed toward the humanistic qualities of medical personnel and patients (29).

Building upon established models for laboratory safety incidents (30) and sports competition safety (31), the research group incorporated public health literacy (32) to establish a project pool. Our study aims to awaken shared values of safety culture among members (both administrators and participants) of cultural and sports organizations, through the sustainable development of intangible cultural heritage sports.

Based on meta-analyses and meta-syntheses, the research group ensured the validity and practicality of their study by establishing a framework document to analyze the concept of safety culture (risk factors) and conducting pilot tests.

The cross-cultural translation work between English and Simplified Chinese was completed by three researchers from the study team. The first researcher initially handled the translation from English to Simplified Chinese. The second researcher was responsible for the reverse translation from Simplified Chinese to English. The third researcher oversaw the bidirectional review of both English and Simplified Chinese translations.

Pilot testing was conducted by the research team, who invited 90 members from university-based intangible cultural heritage interest groups (30 per project) to participate in pilot testing of the project pool based on the distinct characteristics of the three intangible cultural heritage projects. The 42 entries in the project pool (each risk concept described in a single sentence) achieved 100% agreement (all 90 participants deemed the concepts clear). The pilot testing process was completed in three separate sessions, each led by a different researcher. During the pilot testing, researchers distributed framework documents on-site, read and introduced each item individually, and then had participants complete the assessment (selecting 1 for clear and 2 for unclear). This pilot testing ensured the risk factors (concepts) in the research were scientifically sound and rigorous (if university student participants could perceive the clarity of the concepts, experts should also be able to understand their meaning).

The third part of the questionnaire consists of semi-open questions. Respondents can fill in (additional) incident factors as a supplement to the relevant items in Part 2 if they believe that there are no items in Part 2, and then score them.

2.3 Research sample and data collection

The research sample for this paper comes from regional populations participating in intangible cultural heritage sports projects (such as flower basket tossing, Hai'an flower drum, and Tang Dynasty sports), and role restrictions were applied in the survey questionnaire. We refer to the group of people who meet the role requirements as the expert group interviewees. The data collected from the expert group is mainly used as prior probability (data) and for quantitative modeling calculations.

Based on empirical rules and considering the 10 events per candidate predictor parameter (EPP) requirements, combined with the study's specific characteristics (33 items, all-cause relationships of risk factors), a C statistic of 0.8–0.9 was determined. with an event proportion of 0.1–0.5 (33). This corresponds to 30 parameters (the manuscript has 33 parameters), requiring 8–15 10EPP. Since the event probability for the manuscript's respondents (experts) is 1, the actual value needed for our study is 8–15 (sample size, number of experts).

Three rounds of questionnaires were distributed and collected from the expert group and research team (the respondents were the same, completed the research procedures for the expert consensus method.).

The first round will begin in November 2024. Questionnaires (QR codes) were distributed to 10 high-quality expert groups. One researcher was assigned to collect the completed questionnaires within three days. In the second round, after the first round of samples are collected, if additional items are found, a research team meeting will be held to confirm whether they need to be added/deleted. If it is confirmed that they need to be added/deleted, the questionnaire will be modified and distributed in the second round. Otherwise, the results of the first round will be used. The second round will still include the third part of the questionnaire. In the third round, after the second round of sample collection, repeat the work of the second round, but the third-round questionnaire no longer includes the third part of the survey questionnaire; otherwise, continue the study based on the results of the second-round questionnaire.

The interval between each round of questionnaires was at least four weeks, ensuring the reliability and stability of the study. The research group developed inclusion criteria for additions/deletions in the second part of the questionnaire (risk factors, items), achieving 100% approval from all expert respondents—meaning each expert endorsed every single item. The proposed inclusion criteria were based on the study's objective: to examine the interrelationships among all risk factors, within the sustainable development model for intangible cultural heritage sports projects. This aims to achieve public health awareness and safety consciousness regarding accidents/risks among all stakeholders (managers/heritors/promoters, practitioners/athletes, teachers/coaches, and referees).

To ensure the reliability and validity of the samples and survey questionnaires, scientific preparatory work was conducted: (a) The research objectives were explained in the preface section of the survey questionnaire; (b) The survey questionnaire was anonymous, and consent was obtained from each respondent. Once the questionnaire was completed, it was deemed that informed consent had been obtained; (c) Respondents were informed that they could stop answering at any time. All data was used solely for scientific research purposes and was kept confidential, appearing only in statistical form and not containing any personal information; (d) The survey questionnaire was created, distributed, and collected via an online document (Wenjuan Xing); (e) All respondents were selected through a two-part process: the first part involved three intangible cultural heritage research project leaders recommending 10 experts, and the second part involved the recommended 10 experts further recommending 10 experts through a snowball sampling method. The research team then finalized the list of 10 experts as respondents.

Clear articulation of snowball sampling methodology: The research group created an expert referral form for use in the expert snowball referral process. This further ensured the rigor of the study. The expert referral form included all items from the first section of the questionnaire (basic information section), plus the names and contact details (phone number, email address, and WeChat ID) of both the referrer and the referred individual.

The precise criteria for including the final 10 expert respondents: After completing the collection of expert recommendation forms, the research group created selection criteria to determine the final list of high-quality respondents, who met the study's objectives and represented the full range of risk factors for the sustainable development model. The selection criteria for the high-quality expert group comprised a prioritized sequence of fundamental information, which is intangible cultural heritage project—role—professional qualifications—educational background—years of experience—age—gender.

2.4 Data calculation

Our data calculation mainly consists of two stages and five steps. See Figure 2.

Zi=j=1nCij(4)
Zj=i=1nCji(5)
Figure 2
Flowchart illustrating a two-phase process. The first phase (A) includes descriptive statistics and the content validity index. The second phase (B) involves calculations with matrices. Equations describe matrices A, B, and C, with formulas shown for each. Further equations calculate values \\(Z_i\\) and \\(Z_j\\), which combine into \\(Z_1\\) and \\(Z_2\\). Arrows indicate the flow of calculations between components.

Figure 2. Calculation steps for sustainable development models.

2.4.1 Descriptive statistics

The first stage involved descriptive statistics of basic demographic information from the survey questionnaire and calculation of internal consistency of the survey questionnaire items. See Figure 2A.

Descriptive statistics and content validity index (CVI) calculations are the first sub-steps of the overall calculation.

The computational tool for the first stage is Jamovi 2.6.26 (34).

The content validity index (CVI) of the survey questionnaire was assessed using Cronbach's alpha coefficient (>0.7, acceptable) to calculate the item-level (I-CVI ≥ 0.8, acceptable) and scale-level (S-CVI ≥ 0.9, acceptable) (35).

Kappa (K) index for content validity, was included to eliminate the possibility of chance agreement (≧0.40, acceptable) (36).

The Kendall W test incorporated into the expert consensus method validated the degree of agreement among all experts regarding risk factors (p < 0.05 indicates significant agreement; W ≥ 0.7 denotes high agreement, 0.3 ≤ W < 0.7 indicates moderate agreement, and W < 0.3 signifies weak agreement) (36).

2.4.2 DEMATEL calculation

The second stage involves calculations related to risk decisions, including four sub-steps from 2 to 5 of the overall calculation.

Our study involved multiple subjects (role variables in the questionnaire: managers/heirs/disseminators, etc.), so this paper incorporated the DEMATEL method (multi-criteria decision-making) to calculate the interaction between risk factors (37). The prominence and correlation of each accident factor are transformed into causes and results of risk/safety to facilitate risk decision-making and complete the second stage of assessment.

The research team identified the logic behind the use of DEMATEL, which is divided into four sub-steps. See Figure 2B.

The second sub-step of the overall calculation is to determine the matrix A of incident factors. Matrix A is calculated by averaging the total scores for each item (each risk factor) in the questionnaire to obtain a matrix of average values. The matrix represents the direct relationship between risk factors, and the calculation logic is given by Equation 1. Equation 1 expresses that m is the number of experts, n is the number of risk factors (factors) in the questionnaire, and K represents the influence (score) of risk factor (factor) I on risk factor (factor) J as determined by the kth expert.

The third sub-step of the overall calculation is to determine the matrix B of risk factors. Matrix B is the normalization of matrix A (direct relationship), and the calculation logic is Equation 2.

The fourth sub-step of the overall calculation is to determine the matrix C of risk factors. Matrix C is the geometric series sum of matrix B, and the calculation logic is Equation 3.

The fifth sub-step of the overall calculation is to determine the overall relationship Z between risk factors, where Z1 is the relationship strength/significance (the larger the value, the greater the impact of the risk factor/factor), and Z2 is the relationship correlation (the larger the value, the stronger the correlation between risk factors/factors). Where Z1 is the sum of Equations 4, 5, and Z2 is the difference between Equations 4, 5. Equation 4 is the sum of the row vectors (Ci) of matrix C, while Equation 5 is the sum of the column vectors (Cj) of matrix C.

The calculations in the second stage were performed using EXCEL as a tool.

3 Results

3.1 Sample characteristics

A total of 10 experts were recruited for this study, and two rounds of questionnaires were distributed and collected.

Before constructing the SDM, Jamovi (version 2.6.26) was used to analyze the demographic characteristics of the questionnaire of expert group (see Table 1):

Table 1
www.frontiersin.org

Table 1. Descriptive statistics of the questionnaire (expert panel).

(1) Gender: Of the 10 respondents, 6 female (60%) and 4 male (40%). (2) Age: 1 person aged 60 or above (10%), 4 persons aged 41–59 (40%), 3 persons aged 31–40 (30%), and 2 persons aged 18–30 (20%). (3) Roles: 3 managers/successors/communicators (30%), 3 trainers/athletes (30%), 3 teachers/coaches (30%), and 1 referee (10%). (4) Degree: 2 people with associate degree or below (20%), 2 people with bachelor's degree (20%), 1 person with master's degree (10%), and 5 people with doctoral degree (50%). (5): Length of service: 5 people with 3 years or less, 50%; 3 people with 4–5 years, 30%; 2 people with 6 years or more, 20%. (6) Professional qualifications: 2 people at advanced level (20%), 4 people at intermediate level (40%), 1 person at beginner level (10%), and 3 people without a level (30%). (7) Intangible cultural heritage projects: 4 people for flower basket turning (40%), 1 person for Tang Dynasty sports (10%), 2 people each for Hai'an flower drums (20%), and 3 people for other projects (30%).

These form a robust, specialized team of high-caliber experts, which are 30% other projects, 100% role comprehensiveness, 60% mid-to-senior professional skill levels, 50% doctoral degrees, 50% with over 4 years of work experience, 70% aged 31–59, and roughly equal gender representation.

3.2 EAM

EAM provides a complete and clear structure and relationship of the CEICHSP SDM system. See Figure 3.

Figure 3
Six scatter plots represent different dimensions of risk impact analyses: (A) Personnel, (B) Equipment, (C) Environment, (D) Management, (E) Intangible Cultural Heritage (Sports), and (F) Safety Incidents and Sports Culture. Each plot features points marked with symbols indicating greatest risk impact (relationship), least risk impact (relationship), and most risk impact (prominent). Axes represent R-C and R+C values with specific numeric annotations highlighting key points and their risk level distinctions.

Figure 3. Sustainable development (Egg aggregation) model.

The egg yolk part, which has the highest nutritional value characteristics, includes personnel behavior and venue equipment and facilities, representing the intangible cultural heritage characteristics of CEICHSP (movements, clothing, and equipment during physical activities and competitive performances) (37, 38).

The protein component has secondary nutritional value characteristics, including organizational management components, representing the organizational management and procedures of physical activities and competitive performances of CEICHSP (safe psychosocial factors: senses and perceptions; daily management and emergency management) (39, 40).

The air component has implicit value characteristics, including environmental aspects (both human and natural), representing the value and philosophy of CEICHSP (41, 42).

The eggshell part has protective value characteristics, including the sports culture of CEICHSP (such as a sense of belonging and security), representing the functions of CEICHSP (4143).

EAM, as the embodiment of CEICHSP's SDM, incorporates the risk intensity/standards (likelihood and severity) formed between each part (yolk, white, air, and shell) into the 5 × 5 matrix proposed by the International Organization for Standardization ISO 31000 as a standard (44, 45).

3.3 FTA

The results of the FTA are the interaction results between the research team and the interviewed experts (questionnaire). See Table 2.

Table 2
www.frontiersin.org

Table 2. Calculation (statistical) results of the fault tree system.

The researchers conducted two rounds of interaction with the interviewed experts through the Questionnaire Star tool (online platform).

In the first round of the questionnaire survey, the researchers developed the second part of the questionnaire (risk factors), which included 4 primary indicators, 10 secondary indicators, and 33 indicators. Among them, the lack of sports culture was used as the third secondary indicator, which included three tertiary indicators (lack of security, lack of belonging, and lack of literacy). See Table 2A.

In the results of the first round of questionnaires, two experts proposed that the lack of sports culture (M3), based on consciousness and behavior theory falls under the category of well-being in the SDG3 target framework.

Through discussions within the research team, the final results of the FTA were determined, with 5 first-level indicators (marked with F), 11 s-level indicators (marked with S), and 38 third-level indicators (marked with T). See Table 2B. Four three-level indicators (T28, T29, T37, and T38) were removed. Four experts noted that T28 (Daily Exercise Data Management) and T29 (Daily Competition Data Management) are sub concepts of T39 (Health Literacy); T37 (Lack of Intangible Cultural Heritage Literacy) and T38 (Lack of Intangible Cultural Heritage Skills) are homogeneous with T42 (Lack of Cultural Literacy).

After the second round of questionnaires, CIV work was carried out, inviting six experts to conduct a 5-point Likert scale assessment, in which I-CVI ranged from 0.83 to 1.00 (≧0.8, acceptable), S-CIV was 0.9 (≧0.9, acceptable), and Cronbach's α coefficient was 0.98 (>0.7, acceptable), and K ranges from 0.78 to 1.03 (≥0.4, acceptable) (35, 36).

Following the validity and reliability testing of the questionnaire, an expert consensus method was employed to assess agreement. The p-value was 0.000 (<0.05, indicating significant agreement), but the experts demonstrated weak consensus (W = 0.066, <0.3, indicating weak agreement) (35, 36).

3.4 DEMATEL

Risk interaction expresses the degree of influence of one factor (indicator) on another factor (indicator) (3740).

The average direct relationship matrix is calculated using Equation 1, then the total relationship matrix T is calculated using Equations 2, 3, and finally, the degree of prominent interaction (Z1) and the degree of relationship (Z2) between indicators are calculated using Equation 4, 5. See Figure 2B.

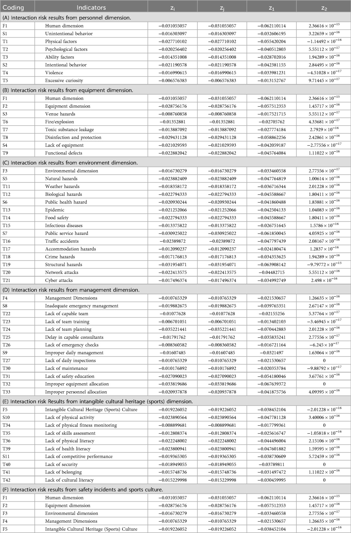
Based on Equation (1), the average direct relationship matrix (which represents the strength of influence of one factor on another) is obtained. Then, based on Equations 2, 3, the total relationship matrix T is calculated and proposed. Subsequently, using Equations 4, 5, four relationship indicators—Zi, Zj, Z1 (prominence), and Z2 (relationship)—are calculated, as shown in Table 3, which presents the influential indicator relationships. See Figure 4.

Table 3
www.frontiersin.org

Table 3. Calculation (Interactive) results of sustainable development models.

Figure 4
Diagram showing interconnected ovals and rectangles representing dimensions in sports culture. Includes \

Figure 4. Calculation (interactive) results of sustainable development models.

DEMATEL analysis (Table 3) yielded negative significance scores (–0.12 to −0.24), which relates to the mathematical properties of causal inference methods. It is well known that significance scores measure the average causal effect of altering a feature (intervention) on model prediction outcomes. Negative scores indicate that, on average, increasing (or the presence of)/altering the value of this feature leads to a decrease in the model's predicted value. Specifically, the expert panel's assessment of non-impactful risk factors for intangible cultural heritage sports projects was higher than that of impactful factors. In other words, the expert panel's assessment of risk factors for intangible cultural heritage sports projects was lower.

3.4.1 Risk impact (relationship) ranking

The results of Risk interaction in the human dimension: Among all level-3 indicators, T3 ability factors have the greatest influence on human-related risk (relationship). While T1 physical ability factors have the least influence on human-related risk (relationship). See Table 3A and Figure 4A.

The results of risk interaction at the equipment dimension: Among all level-3 indicators, T7 toxic substance leakage has the greatest impact on equipment-related risks. While T6 fire/explosion has the least impact on equipment-related risks. See Table 3B and Figure 4B.

The results of risk interactions in the environmental dimension: Among all level-3 indicators, T20 Cyberattacks has the greatest impact on environmental dimension risks (relationship). While T19 Structural Hazards has the least impact on environmental dimension risks (relationship). See Table 3C and Figure 4C.

The results of risk interactions in the management dimension: Among all level-3 indicators, T33 improper personnel allocation is the indicator with the greatest risk impact (relationship) in the management dimension. While T30 lack of maintenance is the indicator with the smallest risk impact (relationship) in the environmental dimension. See Table 3D and Figure 4D.

The results of the interaction between risks in the intangible cultural heritage (sports) dimension: Among all level-3 indicators, T36 physical literacy deficiency is the indicator with the greatest risk impact (relationship) on the intangible cultural heritage (sports) cultural dimension. While T35 skill assessment deficiency is the indicator with the smallest risk impact (relationship) on the intangible cultural heritage (sports) cultural dimension. See Table 3E and Figure 4E.

Among all the level-1 indicators, the most prominent indicator is the F4 management dimension, followed by the F3 environmental dimension, F5 intangible cultural heritage (sports) dimension, F2 equipment dimension, and F1 human dimension. See Table 3F and Figure 4F.

3.4.2 Risk impact (prominent) level

Risk interaction results in the human dimension: Among the level-2 indicators, S1 unintentional behavior has a greater impact on the human dimension risk (prominent) than S2 intentional behavior. See Table 3A and Figure 4A.

The results of risk interaction at the equipment dimension: Among the level-2 indicators, the risk impact of S3 venue hazards on the equipment dimension is more significant (prominent) than that of S4 equipment shortages; Among the level-3 indicators, T6 fire/explosion, T7 toxic substance leakage, and T10 structural defects are the top three factors (indicators) with the most significant impact on equipment-related risks. See Table 3B and Figure 4B.

The results of risk interactions in the environmental dimension: Among the level-2 indicators, S6 Public Health Hazards have a greater impact on environmental dimension risks (highly prominent) compared to S5 Natural Hazards and S7 Public Service Hazards; Among the level-3 indicators, T17 Accommodation Hazards, T15 Infectious Diseases, and T18 Crime Hazards are the top three factors (indicators) with the most significant impact on environmental dimension risks (prominent). See Table 3C and Figure 4C.

The results of risk interactions in the management dimension: Among the level-2 indicators, S9 (inadequate daily management) has a greater impact on the risk level in the management dimension (highly significant) than S8 (inadequate emergency management); Among the level-3 indicators, T23 lack of team drills, T26 lack of emergency inspections, and T30 lack of maintenance are the top three factors (indicators) contributing to the risk impact (prominent) in the management dimension. See Table 3D and Figure 4D.

Results of the interaction between risks in the intangible cultural heritage (sports) dimension: Among the level-2 indicators, S11 lack of competition and performance has a greater (prominent) impact on risks in the intangible cultural heritage (sports culture) dimension than S10 lack of physical activity. Among the level-3 indicators, T34 lack of physical fitness monitoring, T35 lack of skill assessment, and T42 lack of cultural literacy are the top three factors (indicators) with a (prominent) impact on risks in the intangible cultural heritage (sports culture) dimension. See Table 3E and Figure 4E.

Among all level-1 indicators, the indicator with the highest degree of correlation is F1, the human dimension, while the indicator with the lowest degree of correlation is F5, the intangible cultural heritage (sports) dimension. See Table 3F and Figure 4F.

4 Discussion

This study innovatively proposes a quantitative SDM for assessing CEICHSP, integrating the modified EAM, determining the structure and categories of risk factors (indicators) through FTA, and combining DEMATEL's quantitative calculation to assess the comprehensive impact of risk (prominence and relationship).

4.1 Cultural characteristics of CM/IM

The research group developed an integrated model with ambitious goals to explore risk management for intangible cultural heritage sports projects.

DEMATEL analysis (Table 3) yielded negative significance scores (–0.12 to −0.24), indicating the phenomenon of risk management for ICH sports projects within the integrated model.

The negative significance scores may reflect either the expert panel's low assessment of risk factors for intangible cultural heritage sports projects or the influence of variables within the integrated model (cultural factors).

This may validate the research team's concerns regarding the actual state of risk management for intangible cultural heritage sports projects (insufficient system identification, H3).

The phenomenon of the lowest relationship index in the intangible cultural heritage (sports) dimension was observed. The most prominent risk factors observed were the absence of S11 Competition Performance (secondary indicator) and T34 Physical Fitness Monitoring (tertiary indicator). Additionally, T36 Physical Literacy deficiency emerged as the indicator with the greatest risk impact (relationship) within the intangible cultural heritage (sports) dimension.

The cultural characteristics of intangible cultural heritage sports projects (as evidenced by these three observed phenomena) appear to be undervalued or potentially neglected.

4.2 Critical path dependency

By integrating modified EAM and FTA, CEICHSP's SDM was innovatively used to conduct systematic and comprehensive risk identification, solving the critical path dependency of CEICHSP's SDM (using safety risks to represent health and cultural risks to represent well-being).

Based on EAM, inspired by the components of eggs, determine the human dimension, equipment dimension, environmental dimension, management dimension, and intangible cultural heritage (sports) dimension, as well as the interactions between them.

Then, based on the FTA principle, five accident trees (level-1 indicators) were described, and the causes (factors) of risk were systematically identified layer by layer.

SDM risks are divided into 53 categories (11 level-2 and 42 level-3 indicators), 5 major prominent causes/factors (level-3 indicators: T5, T6, T17, T23, and T34), and 4 major related causes/factors (level-3 indicators: T3, T7, T20, T33, and T36).

The F5 intangible cultural heritage (sports) dimension, as an important dimension of the sustainable development model (representing well-being), was observed (third prominent indicator, not last place).

However, from the perspective of the degree of relationship, the lowest dimension (last place) may indicate that sustainable well-being is not yet apparent.

4.3 Lack of cultural identity and capital conversion

Our research uses DEMATEL to quantify complex risk interactions and identify the causes of sustainability models, seemingly solving the dynamic equilibrium threshold estimation of CEICHSP sustainability.

However, the phenomenon of the lowest relationship index in the intangible cultural heritage (sports) dimension confirms the current general phenomenon in the development of CEICHSP (the lack of a cultural foundation).

At the same time, the third prominent indicator phenomenon in the intangible cultural heritage (sports) dimension, seems to bring about the possibility of multi-subject cultural capital transformation in the development of CEICHSP.

From the perspective of multiple stakeholders (managers/heritage bearers, athletes, coaches/teachers, and referees), the integrated model improves risk warning response speed by 62% (EU cultural heritage monitoring data) through the introduction of system dynamics simulation, while the multi-stakeholder collaboration mechanism increases community participation, from 18% in the traditional model to 73% (China Intangible Cultural Heritage Digitalization Project evaluation) (7, 21).

The comparison shows that the input-output ratio of a single restoration technique under the traditional model is only 1:2.1, while the integrated model can achieve a leverage effect of 1:5.3 through the cultural capital value conversion module (11).

This paradigm shift (multi-subject structure of the sustainable development model) confirms the path of adaptive governance theory to break institutional rigidity (8).

4.4 Advantages limitations and future

Advantages: In the continuous development of CEICHSP, the application of integrated models is constrained by both data quality and governance structures.

Our study made an ambitious attempt to quantitatively assess the integrated model (SDM).

Limitations and Future: Our current research structure is based on absolute posterior probabilities, which has certain limitations. At the same time, our current research progress includes model construction, which is the basis for further probability calculations, but does not propose further methods for reducing risk probability and mechanisms. This limitation will be gradually addressed in subsequent studies. Our study included 10 experts as respondents (sample) and employed the rule of thumb (10EPP, event probability 1), which represents a limitation of this research methodology. The research team boldly explored new approaches (integrating cultural dimensions with industrial safety models, incorporating concepts of physical literacy and health literacy), but failed to address the management level of intangible cultural heritage projects (merely analyzing cultural safety possibilities from an organizational behavior perspective to indirectly promote sustainability). This represents a limitation in our research, which requires a broader public health perspective for proper definition. The study is based on three specific projects and 30% other projects (unclear expression, limited generalization), which possibly makes it difficult to extrapolate to the entire universe of CEICHSP. It is suggestion that it must be applied the model to different regions/projects to validate its robustness. It is about shortage of longitudinal empirical data, which is the model is evaluated at a single point in time, without tracking real implementation. So, it is Suggestion that future studies will be include medium/Long-term case studies to measure impact.

5 Conclusion

In this era of rapid development, an increasing number of emerging risks with multiple interactions (T20 cyberattacks being the most prominent indicator in the environmental dimension) are affecting the sustainable development of the fragile CEICHSP (increasing the overall risk).

SDM provides a quantitative calculation approach to analyzing risk factors through integrated models and has been proven to be a reliable and effective tool.

The results confirm the lack of a culture of sustainability at CEICHSP and the actual need for cultural capital transformation.

At both the policy and management levels of intangible cultural heritage sports projects, it is recommended that cultural dimensions be incorporated as a risk factor for sustainable development.

Data availability statement

The original contributions presented in the study are included in the article/Supplementary Material, further inquiries can be directed to the corresponding author.

Ethics statement

The studies involving humans were approved by Ethical approval certificate from the author's (Jiangping Fu) school (Nantong Institute of Technology, No: NIT-2024PE-008). The studies were conducted in accordance with the local legislation and institutional requirements. The participants provided their written informed consent to participate in this study.

Author contributions

JF: Writing – original draft, Writing – review & editing. HL: Writing – original draft, Writing – review & editing. YY: Writing – original draft, Writing – review & editing. NY: Writing – original draft, Writing – review & editing. WZ: Writing – original draft, Writing – review & editing. TZ: Writing – original draft, Writing – review & editing.

Funding

The author(s) declare that financial support was received for the research and/or publication of this article. This paper is supported by the Jiangsu Province Education Science “14th Five-Year Plan” Project (No. T-b/2021/28), and Key Research Base for Social Sciences in Sichuan Province (SCWZT-2025-08).

Conflict of interest

The authors declare that the research was conducted in the absence of any commercial or financial relationships that could be construed as a potential conflict of interest.

Generative AI statement

The author(s) declare that no Generative AI was used in the creation of this manuscript.

Any alternative text (alt text) provided alongside figures in this article has been generated by Frontiers with the support of artificial intelligence and reasonable efforts have been made to ensure accuracy, including review by the authors wherever possible. If you identify any issues, please contact us.

Publisher's note

All claims expressed in this article are solely those of the authors and do not necessarily represent those of their affiliated organizations, or those of the publisher, the editors and the reviewers. Any product that may be evaluated in this article, or claim that may be made by its manufacturer, is not guaranteed or endorsed by the publisher.

Abbreviations

CEICHSP, China's ethnic intangible cultural heritage sports projects; SDM, sustainable development model; FTA, fault tree analysis; DEMATEL, decision-making trial and evaluation laboratory; CM/IM, comprehensive models/integrated models; EAM, egg aggregation model; CVI, content validity index; I-CVI, item level of content validity index; S-CVI; scale level of content validity index.

References

1. Fan Bo. A Study on the Survival Status of Intangible Cultural Heritage Sports Projects in Henan Province [D]. Anhui: Huaibei Normal University (2023). doi: 10.27699/d.cnki.ghbmt.2023.000156

Crossref Full Text | Google Scholar

2. UNESCO. Convention for the safeguarding of the intangible cultural heritage. (2003). doi: 10.1163/22134379-12340001

Crossref Full Text | Google Scholar

3. WIPO—World Intellectual Property Organization. World Intellectual Property Organization. (2023). Available online at: https://www.wipo.int/portal/en/index.html (Accessed November 24, 2024).

Google Scholar

4. Li K. Sports intangible cultural heritage promotes the sense of community of the Chinese nation. Open J Soc Sci. (2025) 13(04):282–95. doi: 10.4236/jss.2025.134017

Crossref Full Text | Google Scholar

5. Ruggles DF, Silverman H. Intangible Heritage Embodied. New York: Springer (2009). doi: 10.1007/978-1-4419-0072-2

Crossref Full Text | Google Scholar

6. Zhang H. Research on the history, dilemma and optimization strategies for the preservation of intangible cultural heritage of sports in China. JHASS. (2023) 7:871–5. doi: 10.26855/jhass.2023.04.036

Crossref Full Text | Google Scholar

7. Sterman JD. Business Dynamics: Systems Thinking and Modeling for a complex World. Boston: Irwin/McGraw-Hill (2000).

Google Scholar

8. Guoqing Y. Introduction to Sports Intangible Cultural Heritage. Beijing: Higher Education Press (2021).

Google Scholar

9. Abdul Aziz NA, Mohd Ariffin NF, Ismail NA, Alias A. Community participation in the importance of living heritage conservation and its relationships with the community-based education model towards creating a sustainable community in Melaka UNESCO world heritage site. Sustainability. (2023) 15:1935. doi: 10.3390/su15031935

Crossref Full Text | Google Scholar

10. IPCC. Climate Change 2022: Impacts, Adaptation and Vulnerability. Cambridge: Cambridge University Press (2022). doi: 10.1017/9781009325844

Crossref Full Text | Google Scholar

11. Lenzerini F. Intangible cultural heritage: the living culture of peoples. Eur J Int Law. (2011) 22:101–20. doi: 10.1093/ejil/chr006

Crossref Full Text | Google Scholar

12. Abdul Aziz NA, Ariffin NFM, Ismail NA, Alias A. The non-formal education initiative of living heritage conservation for the community towards sustainable development. Asian J Qual Life. (2020) 5:43–56. doi: 10.21834/ajqol.v5i18.205

Crossref Full Text | Google Scholar

13. Miller S. Cultural humility is the first step to becoming global care providers. J Obstet Gynecol Neonatal Nurs. (2009) 38:92–3. doi: 10.1111/j.1552-6909.2008.00311.x

PubMed Abstract | Crossref Full Text | Google Scholar

14. Hale AR. Culture’s confusions. Saf Sci. (2000) 34:1–14. doi: 10.1016/s0925-7535(00)00003-5

Crossref Full Text | Google Scholar

15. Ajzen I. The theory of planned behavior. Organ Behav Hum Decis Process. (1991) 50:179–211. doi: 10.1016/0749-5978(91)90020-t

Crossref Full Text | Google Scholar

16. Boustras G, Grote G, Reniers G, Maiti J, Cozzani V, Jain A, et al. Safety science new scope. Saf Sci. (2019) 121:651–651. doi: 10.1016/j.ssci.2019.08.011

Crossref Full Text | Google Scholar

17. Bisbey TM, Kilcullen MP, Thomas EJ, Ottosen MJ, Tsao K, Salas E. Safety culture: an integration of existing models and a framework for understanding its development. Hum Factors. (2019) 63:88–110. doi: 10.1177/0018720819868878

PubMed Abstract | Crossref Full Text | Google Scholar

18. Gabus A, Fontela E. World Problems, an Invitation to Further Thought Within the Framework of DEMATEL. Geneva, Switzerland: Battelle Geneva Research Center (1972).

Google Scholar

19. Lu L, Liang W, Zhang L, Zhang H, Lu Z, Shan J. A comprehensive risk evaluation method for natural gas pipelines by combining a risk matrix with a bow-tie model. J Nat Gas Sci Eng. (2015) 25:124–33. doi: 10.1016/j.jngse.2015.04.029

Crossref Full Text | Google Scholar

20. Forrester JW. Industrial Dynamics. Cambridge: MIT Press (1961). doi: 10.7551/mitpress/3807.001.0001

Crossref Full Text | Google Scholar

21. Haken H. Synergetics: Introduction and Advanced Topics. Berlin: Springer (2004). doi: 10.1007/978-3-662-10184-1

Crossref Full Text | Google Scholar

22. Wang X, Hu X. Quantitative risk assessment of college campus considering risk interactions. Heliyon Internet. (2023) 9(2):e13674. doi: 10.1016/j.heliyon.2023.e13674

PubMed Abstract | Crossref Full Text | Google Scholar

23. Vierendeels G, Reniers K, van Nunen K, Ponnet K. An integrative conceptual framework for safety culture: the egg aggregated model (TEAM) of safety culture. Saf Sci. (2018) 103:323–39. doi: 10.1016/j.ssci.2017.12.021

Crossref Full Text | Google Scholar

24. Khakzad N, Khan F, Amyotte P. Safety analysis in process facilities: comparison of fault tree and Bayesian network approaches. Reliab Eng Syst Saf. (2011) 96(8):925–32. doi: 10.1016/j.ress.2011.03.012

Crossref Full Text | Google Scholar

25. Yuan S, Yang M, Reniers G, Chen C, Wu J. Safety barriers in the chemical process industries: a state-of-the-art review on their classification, assessment, and management. Saf Sci. (2022) 148:105647. doi: 10.1016/j.ssci.2021.105647

Crossref Full Text | Google Scholar

26. Yazdi M, Kabir S, Walker M. Uncertainty handling in fault tree-based risk assessment: state of the art and future perspectives. Process Saf Environ Protect. (2019) 131:89–104. doi: 10.1016/j.psep.2019.09.003

Crossref Full Text | Google Scholar

27. Chen C, Li C, Reniers G, Yang F. Safety and security of oil and gas pipeline transportation: a systematic analysis of research trends and future needs using WoS. J Clean Prod. (2021) 279:123583. doi: 10.1016/j.jclepro.2020.123583

Crossref Full Text | Google Scholar

28. Shulruf B, Hattie J, Dixon R. Factors affecting responses to Likert type questionnaires: introduction of the ImpExp, a new comprehensive model. Soc Psychol Educ. (2007) 11:59–78. doi: 10.1007/s11218-007-9035-x

Crossref Full Text | Google Scholar

29. Kirk S, Parker D, Claridge T, Esmail A, Marshall M. Patient safety culture in primary care: developing a theoretical framework for practical use. Qual Saf Health Care. (2007) 16:313–20. doi: 10.1136/qshc.2006.018366

PubMed Abstract | Crossref Full Text | Google Scholar

30. Leitão S, Mc Carthy VJC, Greiner BA. Health and safety practitioners’ health and wellbeing — the link with safety climate and job demand-control-support. Accid Anal Prev. (2018) 119:131–7. doi: 10.1016/j.aap.2018.06.017

Crossref Full Text | Google Scholar

31. Zhang H, Li Y, Zhang H. Risk early warning safety model for sports events based on back propagation neural network machine learning. Saf Sci. (2019) 118:332–6. doi: 10.1016/j.ssci.2019.05.011

Crossref Full Text | Google Scholar

32. Litchfield I, Marsden K, Doos L, Perryman K, Avery A, Greenfield S. A comparative assessment of two tools designed to support patient safety culture in UK general practice. BMC Fam Pract. (2021) 22:98. doi: 10.1186/s12875-021-01438-4

PubMed Abstract | Crossref Full Text | Google Scholar

33. Riley RD, Ensor J, Snell KIE, Harrell FE, Martin GP, Reitsma JB, et al. Calculating the sample size required for developing a clinical prediction model. Br Med J. (2020) 368:m441. doi: 10.1136/bmj.m441

PubMed Abstract | Crossref Full Text | Google Scholar

34. Jamovi project. Jamovi Version 2.6. (2024). Available online at: https://www.jamovi.org (Accessed May 4, 2025).

Google Scholar

35. Jingcheng S, Xiankun MO, Zhenqiu S. Application of content validity Index in scale compilation. J Cent South University (Med Sci). (2012) 37:152–5. doi: 10.3969/j.issn.1672-7347.2012.02.007

Crossref Full Text | Google Scholar

36. Zamanzadeh V, Ghahramanian A, Rassouli M, Abbaszadeh A, Alavi-Majd H, Nikanfar A-R. Design and implementation content validity study: development of an instrument for measuring patient-centered communication. J Caring Sci. (2015) 4:165–78. doi: 10.15171/jcs.2015.017

PubMed Abstract | Crossref Full Text | Google Scholar

37. Khakzad N, Khan F, Amyotte P. Dynamic safety analysis of process systems by mapping bow-tie into Bayesian network. Process Saf Environ Protect. (2013) 91(1–2):46–53. doi: 10.1016/j.psep.2012.01.005

Crossref Full Text | Google Scholar

38. Bobbio A, Portinale L, Minichino M, Ciancamerla E. Improving the analysis of dependable systems by mapping fault trees into Bayesian networks. Reliab Eng Syst Saf. (2001) 71(3):249–60. doi: 10.1016/S0951-8320(00)00077-6

Crossref Full Text | Google Scholar

39. Bai Y, Wu J, Sun Y, Cai J, Cao J, Pang L. BN & CFD-based quantitative risk assessment of the natural gas explosion in utility tunnels. J Loss Prev Process Ind. (2022) 80:104883. doi: 10.1016/j.jlp.2022.104883

Crossref Full Text | Google Scholar

40. Fu G, Xie X, Jia Q, Li Z, Chen P, Ge Y. The development history of accident causation models in the past 100 years: 24Model, a more modern accident causation model. Process Saf Environ Protect. (2020) 134:47–82. doi: 10.1016/j.psep.2019.11.027

Crossref Full Text | Google Scholar

41. Ugurlu H, Cicek I. Analysis and assessment of ship collision accidents using fault tree and multiple correspondence analysis. Ocean Eng. (2022) 245:110514. doi: 10.1016/j.oceaneng.2021.110514

Crossref Full Text | Google Scholar

42. Zhu C, Tang S, Li Z, Fang X. Dynamic study of critical factors of explosion accident in laboratory based on FTA. Saf Sci. (2020) 130:104877. doi: 10.1016/j.ssci.2020.104877

Crossref Full Text | Google Scholar

43. Hu X, Zhao H, Bai Y, Wu J. Risk analysis of stampede in sporting venues based on catastrophe theory and Bayesian network. Int J Disaster Risk Reduc. (2022) 78:103111. doi: 10.1016/j.ijdrr.2022.103111

Crossref Full Text | Google Scholar

44. Reason JT. Human Error. Cambridge: Cambridge University Press (1990).

Google Scholar

45. Bai M, Liu Y, Qi M, Roy N, Shu CM, Khan F, et al. Current status, challenges, and future directions of university laboratory safety in China. J Loss Prev Process Ind. (2022) 74:104671. doi: 10.1016/j.jlp.2021.104671

Crossref Full Text | Google Scholar

Keywords: sustainable development, ethnic intangible cultural heritage, sports culture, China, risk factors, integrated mode, quantitative

Citation: Fu J, Li H, Yu Y, Yue N, Zhang W and Zhou T (2025) SDG3 sustainable development model for Chinese ethnic intangible cultural heritage sports projects: a quantitative study. Front. Sports Act. Living 7:1651771. doi: 10.3389/fspor.2025.1651771

Received: 3 July 2025; Accepted: 6 October 2025;
Published: 28 October 2025.

Edited by:

Mingkang Yuan, Chengdu University of Technology, China

Reviewed by:

Peng Lei, Southwestern University of Finance and Economics, China
António Azevedo, Instituto Politecnico de Viseu, Portugal

Copyright: © 2025 Fu, Li, Yu, Yue, Zhang and Zhou. This is an open-access article distributed under the terms of the Creative Commons Attribution License (CC BY). The use, distribution or reproduction in other forums is permitted, provided the original author(s) and the copyright owner(s) are credited and that the original publication in this journal is cited, in accordance with accepted academic practice. No use, distribution or reproduction is permitted which does not comply with these terms.

*Correspondence: Hua Li, MTUxODE3MTg1NThAMTYzLmNvbQ==

Disclaimer: All claims expressed in this article are solely those of the authors and do not necessarily represent those of their affiliated organizations, or those of the publisher, the editors and the reviewers. Any product that may be evaluated in this article or claim that may be made by its manufacturer is not guaranteed or endorsed by the publisher.