ORIGINAL RESEARCH article
Front. Sports Act. Living
Sec. Elite Sports and Performance Enhancement
BODY COMPOSITION AND ANAEROBIC POWER: CORRELATIONAL ANALYSIS IN MALE ATHLETES
Provisionally accepted- 1Nutrition and Food Technology, School of Agriculture, The University of Jordan, Aljubeiha, Jordan
- 2Department of Movement Sciences and Sports Training, School of Sport Sciences, The University of Jordan; Amman 11942, Jordan, Amman, Jordan
Select one of your emails
You have multiple emails registered with Frontiers:
Notify me on publication
Please enter your email address:
If you already have an account, please login
You don't have a Frontiers account ? You can register here
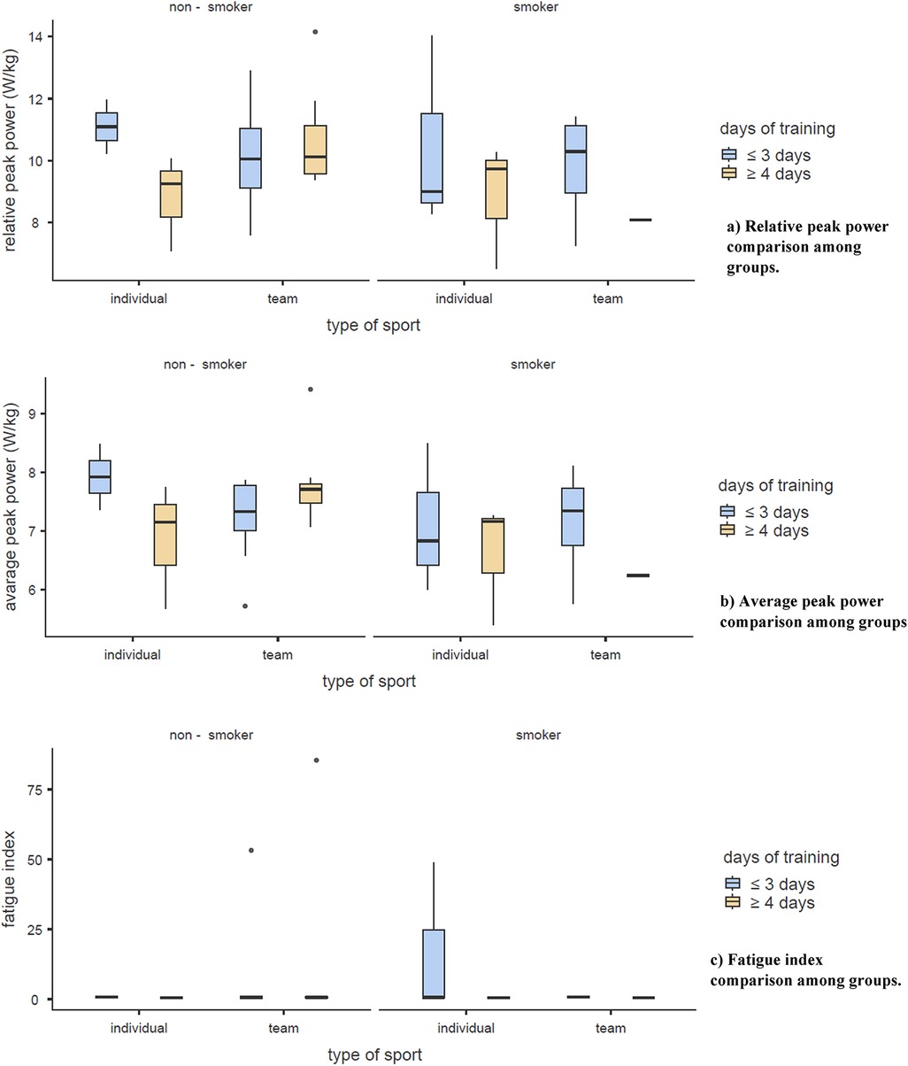
Background: Body composition monitoring is vital to improve functional performance outcomes such as power output and fatigue resistance in athletes. Objective: To assess the correlation between body composition parameters (body fat percentage, percentage of muscle mass, and visceral fat VF) and anaerobic performance measures, specifically relative peak power (RPP) and fatigue index (FIWAnT), in male athletes. Along with exploring the potential influence of sport type, training frequency and smoking status. Methods: A cross-sectional study of 31 healthy male athletes aged 18 to 35 years was conducted. Participants were categorized by weekly training frequency and sport type. Bioelectrical Impedance Analysis was used to assess Body composition, and the 30-second Wingate test for Anaerobic performance. Results: A significant positive correlation was found between muscle percentage and both RPP (r = 0.51, p < 0.01) and average RPP (r = 0.47, p < 0.01). A significant negative correlation was found between average RPP and both Fat percentage (r = −0.45, p < 0.05) and VF (r = −0.50, p < 0.05). No significant correlation was found between FIWAnT and any body composition measures. Conclusion: Body composition has a critical role in the integrity of anaerobic performance among athletes.
Keywords: Body Composition, muscle mass, visceral fat, Anaerobic Performance, Wingate test
Received: 16 Jul 2025; Accepted: 27 Oct 2025.
Copyright: © 2025 Abdalla, Omoush, AMAWI, Ay and Ghazzawi. This is an open-access article distributed under the terms of the Creative Commons Attribution License (CC BY). The use, distribution or reproduction in other forums is permitted, provided the original author(s) or licensor are credited and that the original publication in this journal is cited, in accordance with accepted academic practice. No use, distribution or reproduction is permitted which does not comply with these terms.
* Correspondence: Hadeel ALi Ghazzawi, h.ghazzawi@ju.edu.jo
Disclaimer: All claims expressed in this article are solely those of the authors and do not necessarily represent those of their affiliated organizations, or those of the publisher, the editors and the reviewers. Any product that may be evaluated in this article or claim that may be made by its manufacturer is not guaranteed or endorsed by the publisher.
