ORIGINAL RESEARCH article
Front. Sports Act. Living
Sec. Sport Psychology
The Impact of Perceived Teacher-Student Relationship and Friendship Quality on Adolescents'Interest in Physical Education: A Latent Profile Analysis
Provisionally accepted- Physical Education College, Jiangxi Normal University, Nanchang, China
Select one of your emails
You have multiple emails registered with Frontiers:
Notify me on publication
Please enter your email address:
If you already have an account, please login
You don't have a Frontiers account ? You can register here
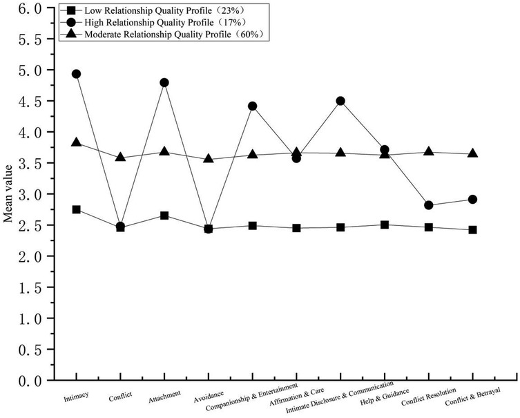
Objective: This study employed a person-centered Latent Profile Analysis(LPA) to explore adolescents' perceived teacher-student and peer relationships in the school environment and to examine their association with interest in physical education(interest in PE). Methods: A survey was conducted among 3,613 adolescents from September 10 to October 25, 2023, using the Teacher-student relationship(TSR) Scale, the friendship quality(FQ) Scale, and the interest in PE Scale. LPA was applied to identify relationship quality profiles, and multinomial logistic regression was used to test gender differences and associations with interest in PE. Results: LPA classified adolescents into three profiles: Low relationship quality (23%, n=855), High relationship quality (17%, n=602), and Moderate relationship quality (60%, n=2156). Significant differences were found across profiles on all dimensions of teacher-student and peer relationships (all p < 0.001). Adolescents with lower levels of PE interest were substantially more likely to belong to the Low profile rather than the Moderate profile (OR = 0.01, 95% CI [0.01, 0.02]); Males had higher odds of being classified into the High profile compared with females(OR = 1.93, 95% CI [1.59, 2.35]). Adolescents with stronger PE interest were also significantly more likely to belong to the High profile(OR = 4.29, 95% CI [3.44, 5.35]). Conclusion: Adolescents exhibit heterogeneous experiences of teacher-student and peer relationships, which are systematically linked to differences in interest in PE. These findings underscore the importance of school-based efforts to strengthen autonomy-supportive teacher-student interactions and foster cooperative peer environments, thereby sustaining students' engagement and promoting a broader appreciation of physical education as a meaningful subject.
Keywords: interest in physical education, teacher-student relationship, adolescents, Friendship quality, latent profile analysis
Received: 07 Aug 2025; Accepted: 28 Oct 2025.
Copyright: © 2025 Chen, Huang and Hu. This is an open-access article distributed under the terms of the Creative Commons Attribution License (CC BY). The use, distribution or reproduction in other forums is permitted, provided the original author(s) or licensor are credited and that the original publication in this journal is cited, in accordance with accepted academic practice. No use, distribution or reproduction is permitted which does not comply with these terms.
* Correspondence: 
Xinyi  Chen, 17770337577@163.com
Wenying  Huang, huangwenying66@163.com
Chang  Hu, huchang@jxnu.edu.cn
Disclaimer: All claims expressed in this article are solely those of the authors and do not necessarily represent those of their affiliated organizations, or those of the publisher, the editors and the reviewers. Any product that may be evaluated in this article or claim that may be made by its manufacturer is not guaranteed or endorsed by the publisher.
