Abstract
We theoretically investigate the enhancement of the charging power in a Dicke quantum battery which consists of an array of N two-level systems (TLS)coupled to a single mode of cavity photons. In the limit of small N, we analytically solve the time evolution for the full charging process. The eigenvectors of the driving Hamiltonian are found to be pseudo-Hermite polynomials and the evolution is thus interpreted as harmonic oscillator like behaviour. Then we demonstrate the average charging power using a collective protocol is times larger than that of the parallel protocol when transferring the same amount of energy. Unlike previous studies, we point out that such quantum advantage does not originate from entanglement but is due to the coherent cooperative interactions among the TLSs. Our results provide intuitive quantitative insight into the dynamic charging process of a Dicke battery and can be observed under realistic experimental conditions.
1 Introduction
Batteries have become ubiquitous in modern technology, supplying power to devices as small as nano-robots and as large as automotive engines. However, the continuing miniaturization technology gradually pushes those traditional batteries into the atomic limit, i.e., the quantum world. This trend, rather than bringing us into an uncontrollable regime, offers the possibility of utilizing quantum properties for investigating and developing more efficient energy manipulations [1–5].
The topic of quantum batteries, started by Alicki and Fannes [6], is aimed at searching for adequate protocols based on quantum coherence and entanglement in order to achieve the efficient charging-discharging energy transfer. In general, a quantum battery is a system possessing discrete energy levels and interacting with external driving and consumption sources in a controllable fashion. The internal energy of a quantum battery is defined as tr [ρHB], with ρ the density matrix describing the state of the battery and HB the battery Hamiltonian (see Section 2). Charging (discharging) of a quantum battery means evolving into a higher (lower) energetic state ρ′ by cyclic operations. From the viewpoint that information is a form of energy, research on quantum batteries intrinsically involves using the notions and techniques of quantum information [7]. Questions like whether entanglement plays a role in speeding up the energy transfer and how does entropy (and related concepts) evolve in specific battery systems are under active research [8–16].
As an answer to these questions, Binder et al. suggested that energy can be deposited into an array of N working qubits with speedup in charging time T such that Tglobal = Tpar/N for the use of a globally entangling charging Hamiltonian compared to a parallel individual protocol [17]. In consequence, the average charging power defined by is N fold stronger for the entangling charging protocol compared to the parallel one. However, such a global entangling operation involves highly non-local interactions, which might be difficult to realize in practice. Le et al. therefore designed a practical model consisting of a solid state spin-chain driven under experimentally available resources such as electron spin resonance and exchange interactions [18]. They predicted that in the strong coupling regime the time-averaged charging power for an entangling protocol is actually worse than the individual charging protocol. While the instantaneous charging power could be large, the total amount of energy stored in a spin chain is negligibly small. This conflicting scenario leads us to investigate if the enhancement of charging can always be attributed to the shortened passage through the entangled subspace [18].
Another practical setting for global charging is based on the Dicke model [19], which describes an array of two-level systems (TLS) enclosed in a photon cavity whose frequency is on resonance with the Zeeman splitting of those TLSs. A recent paper shows in the thermodynamic limit (i.e. the number of TLS N ≫ 1), quantum enhancement of charging power is proportional to in the normal phase and N in the superradiant phase [20, 21]. It is argued in Ref. [20] that the cause of such enhancement is the entanglement between TLSs, which is induced by the sharing of photons in the cavity. However, the conclusion from Ref. [22] suggests there is actually no entanglement generated in the Dicke superradiant phase. Based on this conclusion and the conjecture of Ref. [18] that entanglement may not be the only cause of quantum speedup, we investigate in this paper the question whether for other cases of Dicke quantum battery there is also a speedup effect in charging and whether entanglement plays a role. In particular, we analytically prove that in the opposite limit, when the number of TLSs (N) is much smaller than the number of cavity photons (n), i.e., N/n ≪ 1, there is also an enhancement of charging efficiency. According to experimental practice, we limit the Dicke Hamiltonian to a range where the coupling strength is smaller than the Zeeman splitting of the TLS and thus the rotating wave approximation (RWA) is applied. To the first-order approximation of , the eigenvectors of the driving Hamiltonian are found to be pseudo-Hermite polynomials and the evolution is thus interpreted as harmonic oscillator like behavior. We calculate the time of charging all the TLSs from the ground state to excited state and find it stays as a constant irrelevant to the number of TLSs N. Given this universal flipping duration we argue that the power for a collective charging protocol is times larger than for an individual charging protocol. Quite contrary to previous studies [6, 17, 20], there is no entanglement created during such a process. By solving the von Neumann equation, we clearly see the source of speedup comes from the coherent but non-entangling cooperative interaction among the spins.
2 Model description
The model of a quantum battery, shown in Figure 1A, is an array of two level systems enclosed in a photon cavity. Since there is an equivalence between the ground/excited state of two level system to the spin down/up state of Zeeman splitting, we will refer to these TLSs as spins in the following. Without loss of generality, we set the spin down to be the ground state and initialize the battery system into the state of all spins down . When applying a magnetic filed Bz the internal Hamiltonian of the battery system readswhere g* is the engineerable electron g-factor, μB is the Bohr magneton constant, and with index j refers to the jth spin inside the cavity and σz denotes the Pauli spin operator in the z-direction. Sz is the projected spin operator, counting the Zeeman splitting for all the spins. Working in units of ℏ = 1, the battery Hamiltonian (1) can be simplified aswhere the frequency ωa can be tuned by changing the external magnetic field Bz. The initial energy for such a N-spin battery corresponds to be for Sz = 1/2, and the energy stored in the battery is given byIn this paper, we focus on the time required to flip all spins down state into all spins up state . So the energy stored in the battery by this process is expected to beand the average charging power isThe cavity, as the charger, is set to stay in a single mode of the electromagnetic field. Its internal Hamiltonian reads Hc = ωca†a, with ωc the photon frequency and a†, a the creation and annihilation operators of cavity photons. We assume the cavity has high quality factor and the leakage of photons can be ignored. As the flipping duration is short enough, the relaxation and dephasing effect of TLS can also be safely neglected. Moreover, we assume that by tuning the external magnetic field Bz, the Zeeman splitting of the spins is on resonance with the cavity photons, i.e., ωc = ωa. Originating from magnetic dipole interactions, the coupling between the cavity photons and spins is modeled as the Dicke interaction Hint = g (a†+a) (S++S−), where are the (summed) raising and lowering operators and g is the coupling constant. The full Hamiltonian describing the charger-battery system is now given byHere λ(t) is a time-dependent coupling signal set to be 1 during the charging period [0, τ] and 0 otherwise, as illustrated in Figure 1B. Before t = 0 there is no coupling between photons and spins, and the cavity is assumed to stay in a n-photon Fock state . The initial state of total system then readsAt t = 0+ the coupling is turned on. Driven by the Dicke Hamiltonian (6) energy starts to be transferred from cavity photons to battery spins. The coupling is kept constant during this charging period t ∈ [0, τ] and shall be switched off at t = τ. The quantum state of the total system will then be static again with the battery spins expected to be fully flipped up. Similar process of start and pause of swapping has been achieved with high fidelity in recent experiment setup consists of superconducting quantum circuit within which multi qubits were inter-connected by the photon cavity [23].
FIGURE 1

(A) Schematic representation of a Dicke quantum battery as an array of identical two level systems with energy splitting ℏωa. The ground state (black bar) and excited state (red bar) are equivalent to the states of spin down and up (see arrows). The batteries are charged inside a single cavity (green background) of photonic mode ωc and g is the coupling constant among TLSs and cavity photons. (B) Initially the coupling signal λ is set to be 0 and the batteries are prepared in the ground state. The coupling is switched on at time t =0+ and maintained as constant g for a period of τ. Then we turn off the coupling and the charging process therefore stops. Energy is transferred from cavity photons into the batteries whose final states are expected to be fully charged (all spins up).
In typical experiment settings, the coupling constant g is much smaller than cavity energy ωc so that the Dicke interaction can be simplified using the rotating wave approximation which results in the Tavis-Cumming Hamiltonian [24].We point out four prominent properties of this charging protocol. I) When the photon frequency is on resonance with Zeeman energy, we have [H, a†a+Sz] = 0, i.e. the “excitation number” is conserved during the evolution. For example if we have 3 spins inside the cavity, the initial state can be denoted as with and standing for the state of three spins down and n the initial photon number. During the evolution this charger-battery system can only evolve into states , , and , keeping the excitation number conserved. II) The coupling term in Eq. 8 commutes with the remaining part of Hamiltonian H, meaning that there is no thermodynamic work cost for switching on and off the coupling [12]. III) The Tavis-Cummings Hamiltonian is not exactly solvable except for two limiting cases. The first one is for the number of spins N approaches thermodynamic limit. In this situation the collective spin operators can be transformed using the Holstein-Primakoff transformation which leads to a simplified Hamiltonian of quadratic form [25]. A second case is for the number of spins N much less than the number of photons, N ≪ n. To the first-order approximation [26], the second case will result in solving a symmetric tridiagonal matrix which can be done analytically. IV) The initial Fock state is relatively difficult to prepare in practice. But according to the conclusion of Ref. [12], the same efficiency of energy transfer can be achieved by replacing the Fock state with a coherent state of the same energy.
3 Collective charging of a Dicke quantum battery
We calculate the time of flipping the spins in Schrödinger picture by analytically solving the matrix representation of the charging Hamiltonian (8). Due to the conservation of excitation number, the quantum states of such charger-battery system flipping from to can only evolve within the subspace in which the total spin momentum is preserved. Thus the matrix representation of the Hamiltonian is limited to dimension N+1 instead of 2N. Taking these states as basis and within the first-order approximation of N ≪ n, i.e., the strong field of driving photons [27], the charging Hamiltonian is represented as , with the excitation number andwhere each element and k = 1, 2, … , N. Since the first term of H only adds a common phase factor to the quantum state which does not influence the spin-flip duration, we then ignore it and only include the second part of H into the calculation of propagator .
The charging Hamiltonian can be diagonalized as such that the propagator is readily rewrote as U(t) = Ve−iDtV†. The calculation of eigenvalues and eigenvectors of matrix (9) involves rather technical details, we therefore only present the main results. The eigenvalues of areDisregarding the common factor , these eigenvalues form a sequence running from N to −N with a consecutive difference of −2. These results coincide with the numerical analysis of the Rabi splitting for Tavis-Cumming Hamiltonian in the large photon limit [28]. The eigenvector corresponding to eigenvalue iswith each of the column entries given byThe characteristic polynomials Pk(ξ) obey the recursion relation,They are orthogonal to each other and alternating between even and odd parity. Actually, as the number of spins N approaches the thermodynamic limit, these polynomials converge into the Hermite polynomials. In particular, ξ = 0, 1, … , N so we have N−2ξ = N, N−1, … , − N. If we let N−2ξ = Nx, then the x goes from 1 to −1 in discrete steps and the recursion relation (13) readswhose corresponding Rodrigues’ formula isEq. 14 is just the scaled version of the standard Hermite polynomials whose Rodrigues’ formula is . We therefore point out an illuminating phenomenon that the characteristic polynomials of eigenvectors of converge into Hermite polynomials if the number of spins approaches the thermodynamic limit. Because Hermite polynomials represent the eigenstates of quantum harmonic oscillator (QHO) [29], thus for an array with finite number of spins, the spectrum resembles that of a pseudo-harmonic oscillator with equally spaced eigenvalues and corresponding eigenvectors (Eq. 13) of the pseudo-Hermite form. One should notice that for QHO the coordinate in eigenvectors is a continuous variable in real space, while the coordinate x in expression (14) takes the form of discrete variables in the (N+1)-dimensional spin space. Thus it could be understood that if the number of spins stays finite, the battery subsystem behaves like a pseudo-harmonic oscillator swinging in quantized energy levels.
Equipped with the eigenvalues (10) and eigenvectors (11) of , we can now substitute the expression of D and V and we find the integrated Schrödinger equationcan be rephrased into two algebraic equations with even and odd number of spins respectively. For odd numbers of spins N = 2m + 1, the algebraic formula corresponding to Eq. 16 isOne see that if thensuch that the left-hand side of Eq. 17 becomesSo in case N is odd, the flip duration . For even number of spins N = 2m, the algebraic formula corresponding to Eq. 16 is given bySimilar to the odd-spin case, for such that the left-hand side of Eq. 18 becomesThus in case N is even, the flip duration is also given by . We conclude that the time required to flip all the spins is , independent to the number of spins N. This result is derived based on the Tavis-Cummings charging Hamiltonian and it is worth mentioning that this periodic evolution of spins is limited to the first-order approximation of the parameter . The higher order terms diminish in the strong field setting [30].
Based on the above analysis, we now claim that if the time of flipping N spins equals , then the average charging power for collective charging protocol is times larger than for the corresponding parallel (individually charging) protocol. Let us set N = 3 as an example. The proof can be straightforwardly extended to arbitrary N spins. First, it is easy to see the time of flipping three spins in parallel is the same as the time required to flip each spin individually. That is, where n denotes the number of driving photons in each cavity (as shown in Figure 2A). Therefore, the total amount of photons for driving 3 spins simultaneously should be summed to be 3n. In order to make a fair comparison, it is important to make sure that the energy of the charging field in the collective protocol (shown in Figure 2B) equals to the parallel one. That is, in this example the number of photons in collectively charging cavity should set to be 3n (instead of n). Thus the time required to flip three spins in a single cavity is given by . In both protocols, the energy transferred to the 3-spin battery is the same; only the time of charging collectively is times faster than the parallel one. As a result, the average charging power for collective protocol is times stronger than the parallel protocol. One can easily extend this result to a N-spin battery as long as the assumption N ≪ n is preserved.
FIGURE 2

(A) Individually charging three spins in a parallel protocol. Each cavity is filled with n photons and in total 3n number of photons are used. (B) The three spins are collectively charged inside a single cavity. To make a fair comparison the same amount of photons should be provided as in the parallel protocol.
4 Quantum speedup originating from coherent cooperative interactions
In order to understand the origin of the speedup effect described in previous section, we first calculate the quantum speed limit (QSL) which forms the lower bound of the evolution duration that could possibly be achieved by corresponding Hamiltonian. For the parallel protocol, its energy variance reads and the number of charging photons is nN. According to Refs. [17, 31], we have the QSL asFor collective charging, the energy variance for the same number of charging photons is , and the corresponding QSL isWe see that due to the collective effect, the quantum speed limit has also been pushed down by a factor of . This analysis agrees with the discussion in Ref. [32], stating that the speed limit for parallel driving is times larger than that of the collective one. Together with the previous result of , we conjecture that the coherent cooperative effect among N spins inside the cavity leads to a shortcut of duration by factor for all time related phenomena.
By taking partial trace of the density matrix of the collectively charged spins, we calculate and plot the development of entanglement during the evolution. As shown in Figure 3, no entanglement develops during the flipping process. Upon detailed numerical inspection, one finds all spins process exactly in step, i.e., follow the same evolution. This result differs from the conclusion of Ref. [20], which states that long-range entangling interactions among the spins will be formed due to the mediation of the common photon field inside the cavity. We have thus found an example where it is not the globally entangling operations that lead to the enhancement of charging. This raises the question for what is the source of quantum speedup in our model, if there is no entanglement involved.
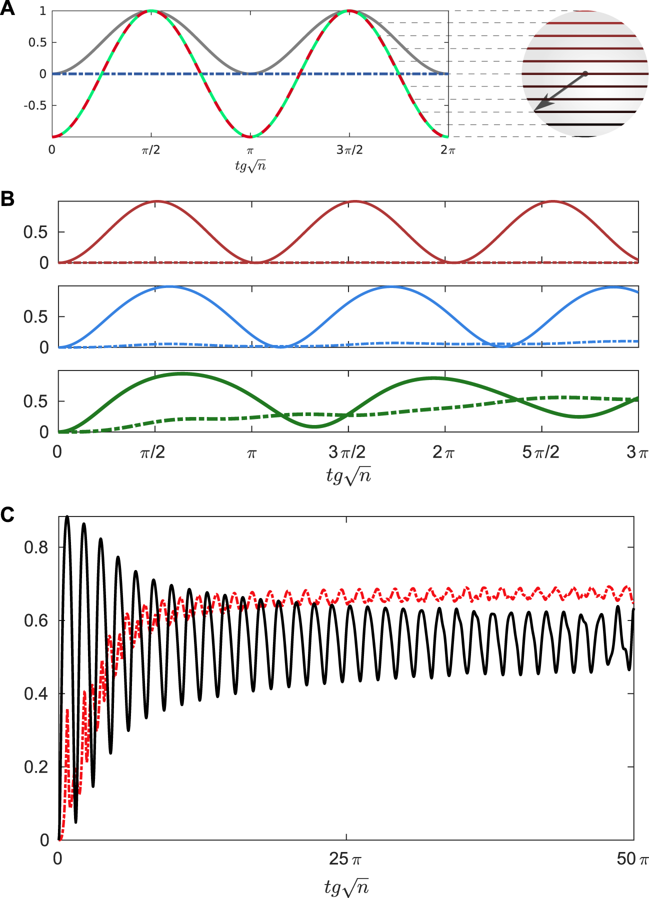
FIGURE 3

(A) The evolution of 10 spins under the 104 cavity driving photons with the charging Hamiltonian Eq. 8. The gray curve stands for the energy deposited into each battery (in dimensionless units), which evolves periodically as the spins are consistently flipped from down to up and vice-versa. We take the Von Neumann entropy of the first spin from reduced density matrix as a measure for the amount of entanglement of the batteries. This indicator (blue dotted line) stays 0 meaning that there is no entanglement being created during the process. The overlapping green and red curves depict the evolution of cos θj, with θj the angle between and the z+ axis for the jth spin (shown as the right sphere). Here the red curve stands for the first spin, i.e., j =1 and the green one represents for another randomly picked spin out of the batteries. This overlap means all spins in the cavity evolve exactly in step. (B) From top to bottom these three subplots indicate the charging of 10 spins with 100, 20, and 12 photons respectively. As before, solid curves refer to the deposited energy on each spin and the dotted line stands for the amount of entanglement. As the number of cavity photons shrinks, entanglement shows up and the spins cannot be fully charged. Such a result suggests that the requirement of N/n ≪1 can be reached as long as the photons outnumber the spins by an order of magnitude. (C) The supplementary plot for the evolution of 100 spins driven by 90 photons. As time progresses, dynamical equilibrium between the photons and spins will be formed as indicated in Ref. [33].
To answer this question we symbolically solve the von Neumann equation with Hamiltonian Eq. 8Here j = 1, 2, … , N numbers the spins inside the cavity. Solving the dynamic equation for operator a(t) one findsSubstituting these expressions back into Eq. 21 we obtain the equation of motion for a single spinEquation 23 shows that by integrating out the photon field, the effective force applied on an arbitrary spin j is proportional to . We see the interactions between the spins mediated by cavity photons act cooperatively, leading to an evenly distributed enhancement of the driving force on each of the battery spins. Since numerical calculation indicates that all spins follow the same evolution in time, we can replace S± in Eq. 23 with leading to the spin dynamicsThis final form explicitly shows the coupling strength of each spin has been increased by times. With this in mind, it is easy to understand that all the time related phenomenon that depend linearly on the coupling strength would be accelerated by a factor of .
As argued by Binder et al. quantum speedup originates from two different sources. One is the reduction of path length between initial and final state in projected Hilbert space by following the geodesic curve. Another is the enhancement of driving energy felt by each local spin. Focusing on the fact that all spins follow the same evolution as if they are charged individually, we realize the path length of evolution is the same for both protocols. Therefore the collective protocol in our setup does not create entanglement among spins and it explains that the speedup we observe in this paper is -fold instead of N-fold because the Tavis-Cumming Hamiltonian only increases the energy per spin but does not shorten the length of passage in the projected Hilbert space [34].
5 Conclusion and discussion
We have studied the energy transfer efficiency of an ideal Dicke quantum battery within the limit N/n ≪ 1. Under the constraint of full charging, we predicted a -fold boost of the charging power for a collective protocol compared to the parallel one. Using the matrix representation of the driving Hamiltonian we analytically solved the eigenenergies and eigenstates for this charger-battery system. We found that the collective dynamic of spins mimics the process of swinging a pseudo-pendulum in quantized and finite-dimensional energy levels. We then applied these tools to the unitary evolution equation of the spins and demonstrated the existence of a universal flipping time for arbitrary number of spins. Based on this, we shown a boost of the averaged charging power for collective protocol than the parallel protocol. Contrary to previous studies (see e.g., Refs. [17, 20]) which require multi-particle entanglement as the key part of quantum speedup, in our model there is no entanglement generated for the collective charging protocol. However, those are the coherent cooperative interactions inside the cavity that lead to increased coupling strength for each spin. Such effect results in the lowering of the quantum speed limit by a factor . In conclusion, for our Dicke battery the boost of charging power arises from the enhanced driving forces exerted on each spin, and not from a shortened path length in the projected Hilbert space.
Although the Dicke battery presented here only shows ‘half’ the amount of speedup (factor instead of N), it exhibits a scalable quantum advantage for faster energy transfer. Moreover, by cutting-edge development of cavity spintronics this battery setup may be implemented in practice. For instance, nitrogen-vacancy (NV) centers are well suited for studying spin dynamics. NV spins can be optically implanted, initialized, and read out [35]. As shown in Ref. [36], the implantation of a few NV spins into the L3 photonic crystal cavity for coherent manipulations has already been realized. And the coupling of an ensemble of NV spins to a frequency tunable superconductor resonator has also been reported [37].
Future work could focus on adding entangling interactions between the spins in order to further explore the remaining factor of speedup. An interesting line of research is to include spin decay and the injection of photons, which leads to a non-Hermitian quantum mechanical system [38]. By careful tuning such that the rate of injecting photons matches the decay rate of spins, this system allows for a transition into the regime of parity and time reversal symmetry, i.e. symmetry [39, 40]. Within symmetry, the eigenvalues of the non-Hermitian Hamiltonian become real and several exceptional properties such as the increase of coupling strength and the decrease of the quantum speed limit would be expected [41, 42]. Another possible direction is to attach the cavity to a non-Markovian bath whose memory effect may assistant the recycling of energy and therefore improves the charging power [43, 44].
Statements
Data availability statement
The original contributions presented in the study are included in the article, further inquiries can be directed to the corresponding author.
Author contributions
This work is conducted by XZ under the supervisor MB.
Funding
This work was supported by China Postdoctoral Science Foundation, Grant No. 2022M710402.
Conflict of interest
The authors declare that the research was conducted in the absence of any commercial or financial relationships that could be construed as a potential conflict of interest.
Publisher’s note
All claims expressed in this article are solely those of the authors and do not necessarily represent those of their affiliated organizations, or those of the publisher, the editors and the reviewers. Any product that may be evaluated in this article, or claim that may be made by its manufacturer, is not guaranteed or endorsed by the publisher.
References
1.
Crescente A Carrega M Sassetti M Ferraro D . Charging and energy fluctuations of a driven quantum battery. New J Phys (2020) 22:063057. 10.1088/1367-2630/ab91fc
2.
Caravelli F Coulter-De Wit G García-Pintos LP Hamma A . Random quantum batteries. Phys Rev Res (2020) 2:023095. 10.1103/PhysRevResearch.2.023095
3.
Barra F . Dissipative charging of a quantum battery. Phys Rev Lett (2019) 122:210601. 10.1103/PhysRevLett.122.210601
4.
Liu J Segal D Hanna G . Loss-free excitonic quantum battery. The J Phys Chem C (2019) 123:18303–14. 10.1021/acs.jpcc.9b06373
5.
Ghosh S Chanda T Sen(De) A . Enhancement in the performance of a quantum battery by ordered and disordered interactions. Phys Rev A (2020) 101:032115. 10.1103/PhysRevA.101.032115
6.
Alicki R Fannes M . Entanglement boost for extractable work from ensembles of quantum batteries. Phys Rev E (2013) 87:042123. 10.1103/PhysRevE.87.042123
7.
Goold J Huber M Riera A del Rio L Skrzypczyk P . The role of quantum information in thermodynamics–a topical review. J Phys A: Math Theor (2016) 49:143001. 10.1088/1751-8113/49/14/143001
8.
Giovannetti V Lloyd S Maccone L . The role of entanglement in dynamical evolution. Europhys Lett (2003) 62:615–21. 10.1209/epl/i2003-00418-8
9.
Borras A Zander C Plastino AR Casas M Plastino A . Entanglement and the quantum brachistochrone problem. Europhys Lett (2008) 81:30007. 10.1209/0295-5075/81/30007
10.
dos Santos EM Duzzioni EI . Elucidating dicke superradiance by quantum uncertainty. Phys Rev A (2016) 94:023819. 10.1103/PhysRevA.94.023819
11.
Henao I Serra RM . Role of quantum coherence in the thermodynamics of energy transfer. Phys Rev E (2018) 97:062105. 10.1103/PhysRevE.97.062105
12.
Andolina GM Farina D Mari A Pellegrini V Giovannetti V Polini M . Charger-mediated energy transfer in exactly solvable models for quantum batteries. Phys Rev B (2018) 98:205423. 10.1103/PhysRevB.98.205423
13.
Andolina GM Keck M Mari A Campisi M Giovannetti V Polini M . Extractable work, the role of correlations, and asymptotic freedom in quantum batteries. Phys Rev Lett (2019) 122:047702. 10.1103/PhysRevLett.122.047702
14.
Andolina GM Keck M Mari A Giovannetti V Polini M . Quantum versus classical many-body batteries. Phys Rev B (2019) 99:205437. 10.1103/PhysRevB.99.205437
15.
Julià-Farré S Salamon T Riera A Bera MN Lewenstein M . Bounds on the capacity and power of quantum batteries. Phys Rev Res (2020) 2:023113. 10.1103/PhysRevResearch.2.023113
16.
Zhang XM Cui ZW Wang X Yung MH . Automatic spin-chain learning to explore the quantum speed limit. Phys Rev A (2018) 97:052333. 10.1103/PhysRevA.97.052333
17.
Binder FC Vinjanampathy S Modi K Goold J . Quantacell: Powerful charging of quantum batteries. New J Phys (2015) 17:075015. 10.1088/1367-2630/17/7/075015
18.
Le TP Levinsen J Modi K Parish MM Pollock FA . Spin-chain model of a many-body quantum battery. Phys Rev A (2018) 97:022106. 10.1103/PhysRevA.97.022106
19.
Dicke RH . Coherence in spontaneous radiation processes. Phys Rev (1954) 93:99–110. 10.1103/PhysRev.93.99
20.
Ferraro D Campisi M Andolina GM Pellegrini V Polini M . High-power collective charging of a solid-state quantum battery. Phys Rev Lett (2018) 120:117702. 10.1103/PhysRevLett.120.117702
21.
Emary C Brandes T . Chaos and the quantum phase transition in the dicke model. Phys Rev E (2003) 67:066203. 10.1103/PhysRevE.67.066203
22.
Wolfe E Yelin SF . Certifying separability in symmetric mixed states of n qubits, and superradiance. Phys Rev Lett (2014) 112:140402. 10.1103/PhysRevLett.112.140402
23.
Wang Z Li H Feng W Song X Song C Liu W et al Controllable switching between superradiant and subradiant states in a 10-qubit superconducting circuit. Phys Rev Lett (2020) 124:013601. 10.1103/PhysRevLett.124.013601
24.
Soykal OO Flatté ME . Strong field interactions between a nanomagnet and a photonic cavity. Phys Rev Lett (2010) 104:077202. 10.1103/PhysRevLett.104.077202
25.
Holstein T Primakoff H . Field dependence of the intrinsic domain magnetization of a ferromagnet. Phys Rev (1940) 58:1098–113. 10.1103/PhysRev.58.1098
26.
Kozierowski M Mamedov AA Chumakov SM . Spontaneous emission by a system of n two-level atoms in terms of the su(2)-group representations. Phys Rev A (1990) 42:1762–6. 10.1103/PhysRevA.42.1762
27.
Chumakov SM Klimov AB Sanchez-Mondragon JJ . General properties of quantum optical systems in a strong-field limit. Phys Rev A (1994) 49:4972–8. 10.1103/PhysRevA.49.4972
28.
Chiorescu I Groll N Bertaina S Mori T Myiashita S . Magnetic strong coupling in a spin-photon system and transition to classical regime. Phys Rev B (2010) 82:024413. 10.1103/PhysRevB.82.024413
29.
Shankar R . Principles of quantum mechanics. New York: Springer US (1994). 10.1007/978-1-4757-0576-8
30.
Kozierowski M Chumakov SM Światlowski J Mamedov AA . Collective collapses and revivals in spontaneous emission of a partially inverted system of two-level atoms: Analytical solution. Phys Rev A (1992) 46:7220–7. 10.1103/PhysRevA.46.7220
31.
Giovannetti V Lloyd S Maccone L . Quantum limits to dynamical evolution. Phys Rev A (2003) 67:052109. 10.1103/PhysRevA.67.052109
32.
Binder FC thesis PD . Work, heat, and power of quantum processes. Oxford: University of Oxford (2016). Section 3.6.
33.
Soykal OO Flatté ME . Size dependence of strong coupling between nanomagnets and photonic cavities. Phys Rev B (2010) 82:104413. 10.1103/PhysRevB.82.104413
34.
Carlini A Hosoya A Koike T Okudaira Y . Time-optimal quantum evolution. Phys Rev Lett (2006) 96:060503. 10.1103/PhysRevLett.96.060503
35.
de Lange G Wang ZH Ristè D Dobrovitski VV Hanson R . Universal dynamical decoupling of a single solid-state spin from a spin bath. Science (2010) 330:60–3. 10.1126/science.1192739
36.
Schröder T Walsh M Zheng J Mouradian S Li L Malladi G et al Scalable fabrication of coupled nv center - photonic crystal cavity systems by self-aligned n ion implantation. Opt Mater Express (2017) 7:1514–24. 10.1364/OME.7.001514
37.
Kubo Y Ong FR Bertet P Vion D Jacques V Zheng D et al Strong coupling of a spin ensemble to a superconducting resonator. Phys Rev Lett (2010) 105:140502. 10.1103/PhysRevLett.105.140502
38.
Bender CM Brody DC Jones HF . Complex extension of quantum mechanics. Phys Rev Lett (2002) 89:270401. 10.1103/PhysRevLett.89.270401
39.
Liu YL Wu R Zhang J Özdemir SK Yang L Nori F et al Controllable optical response by modifying the gain and loss of a mechanical resonator and cavity mode in an optomechanical system. Phys Rev A (2017) 95:013843. 10.1103/PhysRevA.95.013843
40.
Bender CM Boettcher S . Real spectra in non-hermitian Hamiltonians HavingPTSymmetry. Phys Rev Lett (1998) 80:5243–6. 10.1103/PhysRevLett.80.5243
41.
Zhang D Luo XQ Wang YP Li TF You JQ . Observation of the exceptional point in cavity magnon-polaritons. Nat Commun (2017) 8:1368. 10.1038/s41467-017-01634-w
42.
Bender CM Brody DC Jones HF Meister BK . Faster than hermitian quantum mechanics. Phys Rev Lett (2007) 98:040403. 10.1103/PhysRevLett.98.040403
43.
Kamin FH Tabesh FT Salimi S Kheirandish F Santos AC . Non-markovian effects on charging and self-discharging process of quantum batteries. New J Phys (2020) 22:083007. 10.1088/1367-2630/ab9ee2
44.
Ghosh S Chanda T Mal S Sen(De) A . Fast charging of a quantum battery assisted by noise. Phys Rev A (2021) 104:032207. 10.1103/PhysRevA.104.032207
Summary
Keywords
quantum battery, Tavis-Cumming Hamiltonian, Dicke model, pseudo-Hermite polynomials, quantum speedup
Citation
Zhang X and Blaauboer M (2023) Enhanced energy transfer in a Dicke quantum battery. Front. Phys. 10:1097564. doi: 10.3389/fphy.2022.1097564
Received
14 November 2022
Accepted
19 December 2022
Published
09 January 2023
Volume
10 - 2022
Edited by
Jamal Berakdar, Martin Luther University of Halle-Wittenberg, Germany
Reviewed by
Levan Chotorlishvili, Rzeszów University of Technology, Poland
H. Z. Shen, Northeast Normal University, China
Updates
Copyright
© 2023 Zhang and Blaauboer.
This is an open-access article distributed under the terms of the Creative Commons Attribution License (CC BY). The use, distribution or reproduction in other forums is permitted, provided the original author(s) and the copyright owner(s) are credited and that the original publication in this journal is cited, in accordance with accepted academic practice. No use, distribution or reproduction is permitted which does not comply with these terms.
*Correspondence: Xiang Zhang, zhangxiang@baqis.ac.cn
†These authors share first authorship
This article was submitted to Condensed Matter Physics, a section of the journal Frontiers in Physics
Disclaimer
All claims expressed in this article are solely those of the authors and do not necessarily represent those of their affiliated organizations, or those of the publisher, the editors and the reviewers. Any product that may be evaluated in this article or claim that may be made by its manufacturer is not guaranteed or endorsed by the publisher.