Your new experience awaits. Try the new design now and help us make it even better

ORIGINAL RESEARCH article

Front. Psychol., 23 October 2024

Sec. Educational Psychology

Volume 15 - 2024 | https://doi.org/10.3389/fpsyg.2024.1483090

This article is part of the Research TopicAlong the Path to Recovery: Supporting Student Learning Motivation, Engagement and Development in Post-Pandemic Higher EducationView all 19 articles

Achievement motivation and mental health among medical postgraduates: the chain mediating effect of self-esteem and perceived stress

Updated
Mu-yun MaMu-yun Ma1Yao LiYao Li1Li GuoLi Guo1Guan-e Yang,
Guan-e Yang1,2*
  • 1Department of Applied Psychology, School of Humanities and Social Sciences, Shanxi Medical University, Jinzhong, China
  • 2Department of Traditional Chinese Pharmacology, School of Pharmaceutical Sciences, Shanxi Medical University, Jinzhong, China

Introduction: Medical postgraduates generally experience high levels of depression and anxiety. Previous studies have investigated the impact of various achievement motivations on depression/anxiety among medical students.

Methods: This study focused on self-esteem and perceived stress, examining the internal mechanisms through which achievement motivation affects depression/anxiety. 530 medical postgraduate students (66.04% female and 33.96% male) were administered the Achievement Goal Orientation Scale, Self-Esteem Scale, Perceived Stress Scale, and Depression-Anxiety-Stress Scale.

Results: Results indicated that: (1) mastery-approach goals were negatively correlated with depression/anxiety; mastery-avoidance goals were positively correlated with depression/anxiety; performance-avoidance goals positively predicted depression/anxiety; (2) self-esteem mediated the relationship between achievement motivation and depression/anxiety; (3) perceived stress played a mediating role in the relationship between achievement motivation and depression/anxiety; (4) self-esteem and perceived stress played a chain mediating role in the relationship between achievement motivation and depression/anxiety; (5) there was no significant linear correlation between mastery-approach goals and depression/anxiety.

Discussion: Although this study employed a cross-sectional design and self-report scales, both of which have certain limitations, the findings still hold significant theoretical and practical implications. The research reveals a mediating pathway between achievement goals and mental health, offering new insights into mental health education for medical graduate students.

Introduction

Depression and anxiety are key indicators in assessing individual mental health. Depression is associated with low mood, reduced learning or work efficiency, insomnia, and an increased risk of suicide (Liu and Bai, 2014). Anxiety is related to lower subjective well-being, poorer sleep quality, and increased procrastination (Huang et al., 2023; Malone and Wachholtz, 2018; Zhou A.-x., 2022). Notably, mental health problems among medical postgraduates are prominent (Dong et al., 2020; Tan et al., 2021; Zhou et al., 2022), with detection rates of depression and anxiety at 37.1 and 26.8% (Zhao et al., 2019). As the backbone of China’s future healthcare industry, the psychological health of medical students is crucial in reducing their attrition and preventing the loss of medical talent (Zhou W., 2022), which is of great significance to China’s healthcare industry (Mao et al., 2020). This study aims to examine the relevant factors affecting the mental health of medical postgraduates and provide recommendations for cultivating qualified highly educated medical talents.

Achievement motivation is an important psychological driving force that affects an individual’s level of effort when pursuing success (Yang et al., 2016). Varied achievement motivations can lead to different mental health conditions (Hu and Lin, 2010; Kuroda and Sakurai, 2011; Vergara and Roberts, 2011). Achievement motivation was initially divided into two dimensions: approach goals and avoidance goals. Subsequently, Elliot (1999) and Pintrich (2000) proposed achievement goals including mastery-approach goal (MAP), mastery-avoidance goal (MAV), performance-approach goal (PAP), performance-avoidance goal (PAV). When individuals hold a MAP orientation, they strive to master learning and work tasks to enhance their abilities. Individuals who hold an MAV orientation are more concerned about avoiding misunderstandings of knowledge. Individuals holding a PAP orientation focus on showcasing their abilities and expect to receive positive feedback from others. Individuals who hold a PAV orientation are afraid of exposing their flaws and receiving negative evaluations. Previous longitudinal studies have shown that achievement motivation is a dynamic process. There have been many longitudinal and cross-sectional studies summarizing the relationship between achievement motivation and mental health. Some longitudinal studies with Chinese college students as participants have found that achievement goals among college students decrease from freshman to junior year, but rebound in senior year (Liu et al., 2023; Liu et al., 2024). The anxiety problem of college students is alleviated during their 4 years in college. In the longitudinal trajectories of achievement goals, except for the performance-avoidance goal, more students belong to the decreasing class than to the increasing class. These data indicate that achievement motivation and mental health are dynamic processes. Previous studies have shown that MAP negatively predicts depression and anxiety (Liu and Guo, 2003; Wang et al., 2021; Zhang, 2019), indicating that a MAP may offer a protective effect on depression and anxiety. A PAV positively predicts depression and anxiety (Wang et al., 2022; Wang et al., 2021). Individuals who hold PAV are concerned about receiving negative feedback from others while achieving their goals, and therefore experience more depression and anxiety. A MAV is significantly associated with increased anxiety, negative emotions, and fear of failure (Sideridis, 2008), especially in stressful situations where individuals tend to develop a fear of failure. The relationship between PAP and emotions is relatively complex. Some studies have shown that a PAP orientation is negatively correlated with depression and anxiety (Sideridis, 2005). However, other studies have reached opposite conclusions (Linnenbrink and Pintrich, 2000). Therefore, we assume that:

Hypothesis 1a: A MAP may relieve symptoms of depression and anxiety.

Hypothesis 1b: A MAV may make individuals more vulnerable to depression and anxiety.

Hypothesis 1c: A PAV is a risk factor for mental symptoms.

However, existing studies have primarily explored the direct relationship between different dimensions of achievement motivation and depression/anxiety, yet the internal mechanisms remain unclear. Ames points out that achievement goals are a flexible motivational structure that is influenced by situational factors. Mischel (1990) emphasizes that when exploring achievement motivation, it is necessary to consider individual personality traits, as well as value situational factors. Therefore, current research introduces self-esteem and perceived stress to analyze the impact mechanism of achievement motivation on depression/anxiety among medical students.

Self-esteem is a positive or negative attitude toward themselves (Rosenberg, 1965). The Terror Management Theory (TMT) posits that self-esteem is an experience of one’s value and sense of meaning, which can alleviate anxiety caused by inherent fears of death (e.g., failure, forgetting, and rejection) (Greenberg et al., 1986), symbolically transcending death and promoting mental health. Therefore, self-esteem serves as a psychological mechanism for adapting to the environment and reducing anxiety. The Vulnerability Model indicates that low self-esteem is one reason individuals experience depressive symptoms (Gao et al., 2015). The negative self-schema of individuals constitutes cognitive susceptibility to depression. Therefore, low self-esteem is related to psychological problems (Huang, 2021; Ostrov, 1982; Sahlan et al., 2021). Self-esteem can maintain mental health (Macinnes, 2006; Rosenberg, 1979) and buffer the impact of negative events (Gerard and Buehler, 2004; Moksnes et al., 2022). Additionally, self-esteem can be influenced by achievement motivation. Covington’s self-worth theory suggests that individuals are born with a need to maintain self-esteem by taking various measures, such as pursuing success to demonstrate their abilities or avoiding failure (Covington, 1998). Dweck believes that individuals with malleable intelligence theory tend to adopt mastery goals, while individuals with fixed intelligence theory tend to form performance goals and the helpless pattern. Once individuals perform worse or fall behind others, they may feel that their abilities are insufficient and worthless, resulting in low self-esteem. Research has supported this (Chen et al., 2017; Gębka, 2014; Heimpel et al., 2006; Komarraju and Dial, 2014; Shim et al., 2012), indicating that self-esteem is positively correlated with MAP and negatively correlated with MAV and PAV. However, the relationship between self-esteem and PAP remains inconsistent. Based on the above theoretical analysis and empirical research, we speculate that individuals who hold MAP have higher self-esteem and lower depression and anxiety. Individuals holding MAV and PAV are the opposite. Therefore, we hypothesize that:

Hypothesis 2a: Self-esteem meditates the association between MAP and depression/anxiety.

Hypothesis 2b: Self-esteem plays a mediating role between MAV and depression/anxiety.

Hypothesis 2c: PAV could further influence depression/anxiety through the meditation of self-esteem.

The Diathesis-Stress theory posits that mental health depends on the interplay between an individual’s inherent diathesis and external stressors (Liang, 2012). This suggests that symptoms of anxiety and depression are also influenced by perceived stress (Sun et al., 2022). Stress is a primary factor contributing to emotional disorders in individuals (Abela et al., 2007; Ren et al., 2011). In the collaborative training model of medical education, Chinese medical postgraduates face enormous academic and scientific research pressures, as well as clinical responsibilities such as documenting case histories and doctor-patient communication. Consequently, medical students are susceptible to various psychological problems (Wu et al., 2020). Nonetheless, not all medical students experience emotional imbalance under immense pressure. Stress affects individuals’ mental health through their characteristics such as motivation and cognition (Baumann et al., 2005; Mansell et al., 2023). Individuals with diverse motivational goals exhibit varied cognitive, emotional, and behavioral responses to stress. Dweck notes that performance goals are associated with a helpless mode and low self-esteem. Therefore, individuals with performance goals adopt a more conservative self-protection attitude and exhibit boredom while performing tasks. Those with master goals frequently adjust efforts and strategies in response to failure, attributing setbacks to strategy rather than ability (Diener and Dweck, 1978). Empirical research also demonstrates that perceived stress correlates not only with depression but also with goal orientation. In stressful situations, individuals pursuing performance goals are reluctant to make efforts, fearing that others attribute their (possible) failures to inadequate abilities (Vandewalle et al., 2019). Those with PAV tend to avoid failure and care about their performance in stressful situations, resulting in elevated anxiety and self-regulation failure (Sideridis, 2018). Further research reveals that, MAP has a protective effect on depression through the mediating effect of perceived stress, whereas PAV and perceived stress deepen depressive symptoms (Wang et al., 2021). Therefore, we hypothesize that:

Hypothesis 3a: MAP can reduce depression/anxiety through perceived stress.

Hypothesis 3b: Perceived stress could mediate the relationship between MAV and depression/anxiety.

Hypothesis 3c: PAV may aggravate symptoms via perceived stress.

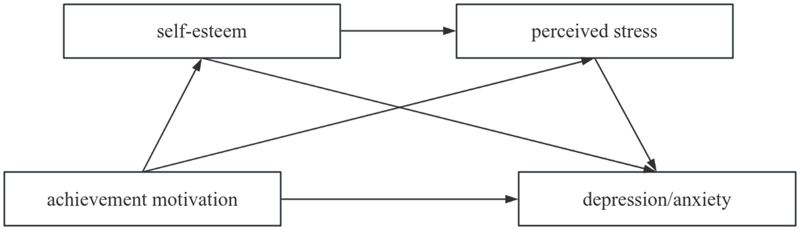
In addition, perceived stress is influenced by self-esteem. As an adaptive mechanism, individuals with high self-esteem have stronger adaptability and believe they can cope with challenges (Campbell and Foster, 2013). Self-esteem can alleviate the negative impact of stress on individuals and protect them (Byrne et al., 2007), enabling them to feel less stress (Zhu Y.-l. et al., 2023). Medical students with high self-esteem have a more positive and stable self-awareness, allowing them to adjust their mindset and adopt more positive coping strategies when faced with external pressure (Xu et al., 2022). However, postgraduates with low self-esteem tend to engage in negative self-attribution when struggling to withstand external pressure, leading to unreasonable self-evaluation and increased stress. Based on this, we propose that (Figure 1):

Figure 1

Figure 1. Conceptual model.

Hypothesis 4a: MAP is negatively related to depression/anxiety through the integrated mediation of self-esteem and perceived stress.

Hypothesis 4b: MAV could affect depression/anxiety through the serial mediation of self-esteem and perceived stress.

Hypothesis 4c: Self-esteem and perceived stress could play a chain-mediating role in the association between PAV and depression/anxiety.

Methods

Procedures

The protocol of the current study was approved by the Ethics Review Committee of the author’s organization. From August to December 2023, Data were collected at a medical university in Shanxi Province. Before data collection, Informed consent was obtained from all participants. Completion of the questionnaire did not affect course grades. The subjects filled out demographic information (such as age, gender, etc.), and completed questionnaires related to this study. If a participant requested an explanation of the questionnaire results, researchers would send the results to the participant’s email within a week.

Participants

We adopted a convenient sampling method in this study. Medical postgraduate students were selected as participants in this survey. A total of 543 questionnaires were distributed, and 13 invalid questionnaires were excluded. We eliminated invalid questionnaires by specifying criteria such as instructed items, questionnaire completion time, continuity options, and outlier analysis to ensure questionnaire quality. First, we set up one “Instructed items” (“Please choose ‘strongly disagree’ for this question”), and the data of participants who did not choose this option were excluded. Secondly, due to the fact that the response time of participants to survey items is unlikely to exceed 2 s per item (Huang et al., 2012), and since this survey contained a total of 75 items, data from participants who completed the questionnaire for less than 150 s were excluded. Thirdly, if the number of consecutive responses exceeds half of the questionnaire length, we will consider it as invalid data. Additionally, researchers have paid attention to outliers that appeared in the participant’s answer data. For example, if a participant fills in an age below 20 years old, the data would be excluded. The research sample mainly came from China’s Shanxi Province, and may not represent all Chinese medical postgraduate students.

Finally, 530 medical students completed the questionnaires, yielding a response rate of 97.6%. All of the subjects were aged between 21 and 36 years old (M = 23.62, SD = 1.99). Of the participants, 350 were female (66.04%), 180 were male (33.96%); 257 came from rural areas (48.49%), 273 came from urban areas (51.51%);133 were single-child (25.09%), 397 were non-single-child (74.91%).

Measures

General information

The general information of the questionnaire included age, gender, major, permanent residence, and whether the single child.

Achievement goal orientations scale

The Chinese revised version of the achievement goal orientations scale (Liu and Guo, 2003) was used to measure the achievement goals of medical postgraduate students, including 29 items. Each item was rated on a scale from 1 (never) to 5 (always). The questionnaire comprises four dimensions: mastery-approach goals, performance-approach goals, mastery-avoidance goals, and performance-avoidance goals. In our study, Cronbach’s α for each subscale were 0.856, 0.889, 0.814, and 0.866, respectively.

Self-esteem scale

We used the 10-item Chinese revision of the Rosenberg Self-Esteem Scale (Shen and Cai, 2008) to assess the degree of self-esteem. Subjects responded on a 4-point scale with values ranging from 1 (strongly disagree) to 4 (strongly agree). Higher scores indicated higher self-esteem. The Cronbach’s α of the scale in this study was 0.852.

Perceived stress scale

We adopted the Chinese version of the Perceived Stress Scale (CPSS) developed by Cohen and revised by Yang to measure perceived stress of participants (Cohen et al., 1983; Yang and Huang, 2003), which consists of 14 items. Given a 5-point scale, response options ranged from 0 (never) to 4 (most days). The scale is divided into two dimensions: nervousness and a sense of loss of control. In the study, Cronbach’s α for each subscale were 0.789 and 0.904.

Depression-anxiety-stress scale

This study used the Simplified Chinese version of the Depression Anxiety Stress Scale (DASS-21) compiled by Lovibond and Lovibond (1995) and revised by Gong et al. (2010), in which the Depression and Anxiety subscales measured depression and anxiety. Each of these two subscales comprises 7 items. Responses used the original 4-point format from 0 (strongly does not fit me) to 3 (strongly fits me). Higher scores on the subscale indicate more intense corresponding negative emotional experiences.

Statistical analysis

We used SPSS 23.0 and PROCESS 4.0 plugins for data processing. Firstly, descriptive statistics and Pearson correlation analyses were initially conducted with SPSS 23.0. Secondly, the Common Method Bias test was performed using Harman’s single-factor test. Finally, integrated mediation analysis was conducted using Model 6 of the PROCESS macro program, employing the Bootstrap method with a sample size of 5,000. The significance of the integrated mediation effect was assessed within a 95% confidence interval.

Results

Common method bias test

Due to the use of self-report scales in our study, there may be common method biases. Harman’s single-factor test was employed to assess common method bias (Zhou and Long, 2004), revealing 11 factors with eigenvalues greater than 1 that were not rotated. The first factor accounted for 22.14% of the variance (<40%), so there was no severe common method bias in this study.

The descriptive statistics and correlation coefficients between variables are shown in Table 1. Mastery-approach goal (MAP) was negatively correlated with perceived stress (PS), depression (DS), and anxiety (AS), and positively correlated with self-esteem (SE). Mastery-avoidance goal (MAV) was positively correlated with PS, DS, and AS, and negatively correlated with SE. Performance-avoidance goal (PAV) was positively correlated with PS, DS, and AS, and negatively correlated with SE. There was no significant correlation between performance-approach goal (PAP) and PS, SE, DS, and AS.

Table 1
www.frontiersin.org

Table 1. Descriptive statistics and correlations between variables.

Test of chain meditation

In the study, Model 6 from the PROCESS plugin was used to analyze the chain meditation role of self-esteem (SE) and perceived stress (PS) in the relationship between achievement goals and depression (DS)/anxiety (AS).

Analysis of the effect of mastery-approach goal (MAP) on depression/anxiety

Table 2, MAP positively predicted SE (β = 0.28, p < 0.001), and negatively predicted PS (β = −0.32, p < 0.001). SE significantly negatively predicted PS (β = −0.41, p < 0.001), DS (β = −0.33, p < 0.001), and AS (β = −0.24, p < 0.001). PS positively predicted DS (β = 0.35, p < 0.001) and AS (β = 0.42, p < 0.001). Self-esteem and perceived stress mediated the relationship between mastery-approach goal and depression/anxiety.

Table 2
www.frontiersin.org

Table 2. The direct and indirect effects of MAP on depression and anxiety.

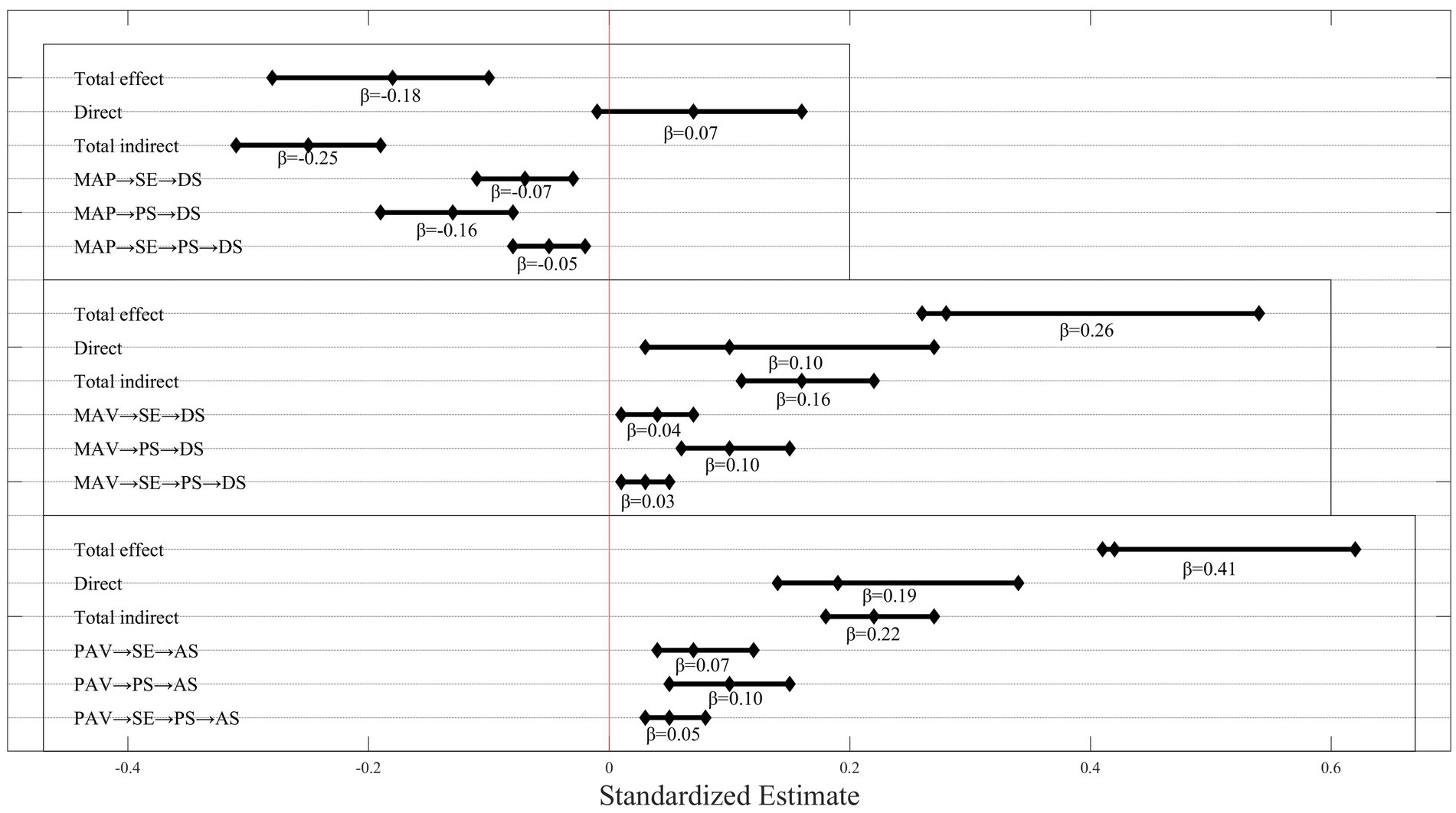
Figure 2, the overall effect of MAP on DS was significant (β = −0.22, 95% CI = [−0.35, −0.16]), a non-significant direct effect (β = 0.02, 95% CI = [−0.06, 0.11]), and a significant indirect effect (β = −0.24, 95% CI = [−0.32, −0.17]). The indirect pathway from MAP to DS was mediated by SE (β = −0.09, 95% CI = [−0.32, −0.17]), PS (β = −0.11, 95% CI = [−0.16, −0.05]), and SE → PS (β = −0.04, 95% CI = [−0.07, −0.02]). Self-esteem and perceived stress played a complete mediating role between mastery-approach goal and depression.

Figure 2

Figure 2. Effects from MAP, MAV, or PAV to DS.

Figure 3, the overall effect of MAP on AS was significant, with a negative prediction of anxiety (β = −0.18, 95% CI = [−0.28, −0.10]), a non-significant direct effect (β = 0.07, 95% CI = [−0.01, 0.16]), and a significant indirect effect (β = −0.25, 95% CI = [−0.31, −0.19]). The indirect path from MAP to AS was mediated by SE (β = −0.07, 95% CI = [−0.11, −0.03]), PS (β = −0.13, 95% CI = [−0.19, −0.08]), and SE → PS (β = −0.05, 95% CI = [−0.08, −0.02]), respectively. Self-esteem and perceived stress play a complete mediating role between mastery-approach goal and anxiety.

Figure 3

Figure 3. Effects from MAP, MAV, or PAV to AS.

The results provided support for Hypothesis 1a, 2a, 3a, and 4a.

Analysis of the effect of mastery-avoidance goal (MAV) on depression/anxiety

Table 3, MAV negatively predicted SE (β = −0.16, p < 0.001) and positively predicted PS (β = 0.28, p < 0.001). SE negatively predicted PS (β = −0.45, p < 0.001) and negatively predicted DS (β = −0.33, p < 0.001) and AS (β = −0.23, p < 0.001). PS positively predicted DS (β = 0.33, p < 0.001) and AS (β = 0.36, p < 0.001). Therefore, self-esteem and perceived stress mediated the relationship between mastery-avoidance goals and depression/anxiety.

Table 3
www.frontiersin.org

Table 3. The direct and indirect effects of MAV on depression and anxiety.

Figure 2, the overall effect of MAV on DS was significant and positively predicted depression (β = 0.20, 95% CI = [0.19, 0.47]). The direct effect was not significant (β = 0.03, 95% CI = [−0.08, 0.17]), while the indirect effect was significant (β = 0.17, 95% CI = [0.11, 0.23]). The indirect pathway from MAV to DS was mediated by SE (β = 0.05, 95% CI = [0.02, 0.10]), PS (β = 0.09, 95% CI = [0.05, 0.14]), and SE → PS (β = 0.02, 95% CI = [0.01, 0.04]), accounting for 25.00, 45.00, and 10.00% of the total effect, respectively. Self-esteem and perceived stress played a complete mediating role between mastery-avoidance goals and depression.

Figure 3, MAV had a significant overall effect on AS, positively predicting anxiety (β = 0.26, 95% CI = [0.28, 0.54]). The direct effect and indirect effect were significant (β = 0.10, 95% CI = [0.03, 0.27]; β = 0.16, 95% CI = [0.11, 0.22]). There were three indirect paths from MAV to AS, namely MAV → SE → AS (β = 0.04, 95% CI = [0.01, 0.07]), MAV → PS → AS (β = 0.10, 95% CI = [0.06, 0.15]), MAV → SE → PS → AS (β = 0.03, 95% CI = [0.01, 0.05]). The effect sizes of the three paths were 15.38, 38.46, and 11.54%. Self-esteem and perceived stress partially mediated the relationship between mastery-avoidance goals and anxiety.

These results supported Hypothesis 1b, 2b, 3b, and 4b.

Analysis of the effect of performance-avoidance goal (PAV) on depression/anxiety

Table 4, PAV negatively predicted SE (β = −0.39, p < 0.001), while positively predicting PS (β = 0.29, p < 0.001). SE significantly and negatively predicted PS (β = −0.38, p < 0.001), DS (β = −0.30, p < 0.001), and AS (β = −0.19, p < 0.001). PS positively predicted DS (β = 0.29, p < 0.001) and AS (β = 0.33, p < 0.001). Self-esteem and perceived stress thus played a mediating role in the association between performance-avoidance goals and depression/anxiety.

Table 4
www.frontiersin.org

Table 4. The direct and indirect effects of PAV on depression and anxiety.

Figure 2, the overall effect of PAV on DS was significant, with a positive prediction of depression (β = 0.39, 95% CI = [0.42, 0.64]). There was also a significant direct effect (β = 0.15, 95% CI = [0.10, 0.31]) and a significant indirect effect (β = 0.24, 95% CI = [0.19, 0.30]). The indirect pathway from PAV to DS was influenced by the simple mediation of SE (β = 0.12, 95% CI = [0.07, 0.17]), the simple mediation of PS (β = 0.08, 95% CI = [0.04, 0.14]), and the serial mediation of SE to PS (β = 0.04, 95% CI = [0.02, 0.07]). The three mediating pathways contributed 30.77, 20.51, and 10.26% to the total effect. Self-esteem and perceived stress partially mediated the relationship between performance-avoidance goals and depression.

Figure 3, PAV had a significant overall effect on AS, positively predicting AS (β = 0.41, 95% CI = [0.42, 0.62]). The direct effect (β = 0.19, 95% CI = [0.14, 0.34]) and indirect effect (β = 0.22, 95% CI = [0.18, 0.27]) were also significant. There were three indirect pathways from PAV to AS, specifically, PAV → SE → AS (β = 0.07, 95% CI = [0.04, 0.12]), PAV → PS → AS (β = 0.10, 95% CI = [0.05, 0.15]), and PPAV→SE → PS → AS (β = 0.05, 95% CI = [0.03, 0.08]), explaining 17.07, 24.39, and 12.20% of the variance.

In summary, the above results validated Hypothesis 1c, 2c, 3c, and 4c.

Discussion

This study discussed the relationship and internal mechanisms between achievement motivation and mental health. In particular, MAP negatively predicted depression/anxiety. MAV and PAV positively predicted depression/anxiety. Self-esteem played a mediating role in the relationship between achievement motivation and depression/anxiety. Perceived stress mediated the relationship between achievement motivation and depression/anxiety. Self-esteem and perceived stress played a chain intermediary role in the relationship between achievement motivation and depression/anxiety. There was no significant correlation between performance-approach goal (PAP) and depression/anxiety.

Achievement goal and depression/anxiety

Descriptive statistical data showed achievement goals and overall mental health status of medical postgraduates. Research has shown that achievement motivation is dynamic, which exhibits diversity over different populations and time (Liu et al., 2023; Liu et al., 2024). Compared with other major postgraduates in China, there was no significant difference in the scores of medical postgraduates in MAP and MAV in this study. However, in terms of PAP (t = −3.757, p < 0.001) and PAV (t = −4.125, p < 0.001), the score of medical students was significantly lower than that of postgraduate students in other majors (Jia, 2017). There was no significant difference in the scores of mastery goals between the two groups, which may be because postgraduates in different majors need to acquire a lot of knowledge and improve their abilities during their postgraduate studies to meet academic requirements. However, the performance goals of medical students were lower than those of other professional postgraduate students, indicating that medical students do not overly care about positive or negative feedback from others when completing relevant learning tasks. Like other major postgraduates, medical master graduates not only require completion of research tasks, but also additional clinical work required for residency training (Xiong et al., 2024). Due to time constraints and heavy academic tasks, medical students are more concerned with whether tasks are completed on time, rather than their own academic rankings or evaluations from others. In addition, considering the dynamic nature of achievement motivation, we compared the achievement goals of medical postgraduate students with those of undergraduate medical students in China in this study (Wang et al., 2021). The results showed that compared with undergraduate medical students, the MAP (t = −4.538, p < 0.001), PAP (t = −12.232, p < 0.001), and PAV (t = −15.676, p < 0.001) of medical master’s students were significantly lower, while the MAV was significantly higher than that of medical undergraduate students (t = 9.459, p < 0.001). Undergraduates and postgraduate students differ in course content, learning methods, and training objectives. Undergraduate courses focus on comprehensive learning of basic medical knowledge and skills, while postgraduate studies place greater emphasis on depth and specialization. In contrast, undergraduate students have more enough study time and a stronger motivation to learn in order to master medical knowledge. However, medical postgraduates usually involves choosing a specific direction or entering a department for in-depth study, with a stronger purpose, direction, and autonomy to meet the requirements of clinical and research tasks. Therefore, the medical postgraduates tends to have lower MAP goals, while MAV goals are higher. Due to different training objectives, undergraduate students are more focused on their academic performance, while postgraduates are more concerned about publishing papers, and their attention to ranking and grades has decreased. This also determines that the PAP and PAV of medical postgraduates are frequently relatively low.

In this study, 22.45% of medical postgraduates reported moderate or severe depression, and 31.13% reported moderate or severe anxiety. These data were consistent with previous research findings, which suggest that approximately 20–30% of medical students experience depression or anxiety problems (Li et al., 2024; Wu and Ke, 2023; Zhao et al., 2019). Negative emotions not only pose a threat to the physical and mental health of medical students, but may also trigger a series of chain reactions. For example, Negative affect may lead to insomnia (Li et al., 2024), which in turn affects daily learning and life. In addition, negative emotions may also weaken the confidence and motivation of medical students, thereby having varying degrees of negative impact on their professional identity and future career performance (Duarte et al., 2022). More seriously, long-term negative emotions may even undermine medical students’ sense of professional mission, causing them to doubt and waver in their career choices (Wu and Ke, 2023). Medical postgraduate students are in a critical transition period from campus to society. They not only shoulder the dual roles of students and doctors, but also face severe challenges in clinical practice and increasingly fierce employment competition. In such a context, they may inevitably feel confused and anxious, but it is also an indispensable part of their growth process. Therefore, we must attach great importance to the mental health status of medical students and take effective measures to help them cope with negative emotions, in order to promote their comprehensive development and healthy growth.

Additionally, consistent with our hypotheses, this study found that MAP negatively predicted depression and anxiety (Hypothesis 1a), while MAV and PAV positively predicted depression/anxiety (Hypothesis 1b and 1c). These results validated previous research (Skaalvik, 2018; Steare et al., 2023). First, MAP was negatively correlated with depression/anxiety (Hypothesis 1b and 1c). Individuals with MAP hold positive achievement beliefs, characterized by deep learning (Phanudulkitti et al., 2018), and have less action crises when encountering difficulties (Katz-Vago and Benita, 2023). They view difficulties as challenges, with less pressure and emotional exhaustion (Tuominen-Soini et al., 2008). They also actively seek social support and feedback to alleviate psychological symptoms (Wang et al., 2021) and report higher happiness (Guo et al., 2023). Secondly, MAV was positively correlated with depression/anxiety (Hypothesis 1b). Approach goals are related to positive affect and behavioral activation systems, while avoidance goals are associated with negative affect and behavioral inhibition systems (Elliot and Thrash, 2002). Medical students who hold MAV pursue the growth of their abilities and make more efforts in studies. However, they worry that they cannot achieve their goals, thus facing more pressure, negative emotions, and cognitive anxiety, making them fear failure (Sideridis, 2008). Thirdly, PAV deepened depression/anxiety (Hypothesis 1c). Depression and anxiety are positively correlated with PAV (Sideridis, 2007), stress, and self-regulation failure (Sideridis, 2018). Another study found that insecure striving, shame, and self-compassion mediate between PAV and test anxiety (Santos, 2020). Individuals with PAV tend to worry about negative evaluation and poorer performance than others. To protect self-esteem, individuals may imply to themselves, “I am not incapable, I just have not put in enough effort.” Subsequently, procrastination frequently occurs among individuals with PAV (An and Jia, 2018; Chen, 2023), exacerbating their levels of depression and anxiety (Jiang, 2021; Zhang, 2023).

Thus, it can be observed that different achievement goals held by individuals can lead to varied emotional outcomes.

The mediating role of self-esteem

This study found that self-esteem mediated the relationship between achievement goals and depression/anxiety, supporting hypotheses 2a, 2b, and 2c. For medical postgraduates, self-esteem negatively predicted psychological symptoms (Macinnes, 2006). Students with low self-esteem are more likely to be depressed or anxious (Greenberg et al., 1992; Orth et al., 2009a; Orth et al., 2009b; Rossi et al., 2020), with weaker motivation to recover from negative emotions after failures (Heimpel et al., 2002), resulting in poorer performance (Baumeister and Tice, 1985).

Besides, motivation affects psychological symptoms through self-esteem. Individuals with high self-esteem are driven by self-enhancement motivation, whereas those with low self-esteem are motivated by self-protection (Baumeister et al., 1989). The self-improvement motivation aligns with approach motivation, self-protection is similar to avoidance motivation (Heimpel et al., 2006). Therefore, high self-esteem is associated with approach motivation, while low self-esteem is related to avoidance motivation. The results also confirmed this. MAP and self-esteem alleviate psychological symptoms (hypothesis 2a). Students who hold MAP have higher self-esteem and do not care about external evaluations. They are unlikely to adopt self-protection and self-handicapping strategies (Schwinger and Stiensmeier-Pelster, 2011). Even if they fail, they will perceive it as a lack of effort (a controllable and modifiable factor) rather than an inability, making them far from emotional disorders. MAV was negatively correlated with self-esteem and mental illness (hypothesis 2b) (Liu, 2012). Individuals with MAV are dedicated to completing tasks accurately and without errors, driven by a fear of failure and concerns about their abilities to handle the current task. Consequently, their self-esteem is lower, leading to elevated depression and anxiety. The protective effect of self-esteem on depression/anxiety was influenced by PAV (hypothesis 2c). Individuals holding PAV may have lower self-esteem (Kandemir, 2014; Shim et al., 2012). Avoidance goals are related to a high behavioral inhibition system and low behavioral activation system (Elliot and Thrash, 2002), as well as fear of failure (Elliot and Sheldon, 1997) and insecure attachment (Elliot and Reis, 2003). For medical students driven by PAV, the fear of poor performance and denial about their abilities further lower their self-esteem. They may behave more negatively and passively when completing tasks, and thus experience deeper frustration and self-involvement (Liu et al., 2006), increasing their vulnerability to depression and anxiety.

Mental Health Education should be more targeted. High self-esteem medical students should be guided to use their internal psychological resources to cope with stress (Zhong, 2007). For students with low self-esteem, it is necessary to improve their learning motivation and engage in group counseling to enhance self-acceptance and self-esteem.

The mediating role of perceived stress

This study replicated and extended previous research findings (Chi, 2018; Wang et al., 2021). Perceived stress mediated the relationship between achievement goals and depression/anxiety, confirming hypotheses 3a, 3b, and 3c. Perceived stress is positively correlated with negative emotions (Anyan and Hjemdal, 2016; Liu et al., 2021; Luo et al., 2021; Yang et al., 2021; Zhu L. et al., 2023). According to statistics, nearly 70% of primary depression is caused by stress, and stress accounts for 20–50% of the onset of depression (Hammen, 2005; Monroe and Harkness, 2005). Moreover, when individuals perceive excessive pressure and are unable to utilize existing resources to cope with the current situation, they may feel overwhelmed and anxious (Arpaia and Andersen, 2019). The relationship between stress and mental illness is a bidirectional prediction (Grant et al., 2004). Medical students face various pressures, which increase the risk of depression and anxiety (Tan, 2022; Wang et al., 2013; Ye et al., 2018).

Additionally, the study also found that achievement goals affect depression and anxiety through the mediating role of perceived stress. MAP negatively predicted perceived stress and depression/anxiety (Hypothesis 3a). Students who hold MAP perceive less pressure, prioritizing pursuing more challenges and long-term value goals (Chen, 2023). They view challenging tasks as opportunities, putting in more effort to achieve goals, and experiencing less negative emotions (Liu et al., 2006). MAV positively predicted perceived stress and depression/anxiety (Hypothesis 3b). Unlike medical students who study to develop their abilities, students holding MAV strive to show their capacities (Wang and Liu, 2023). Given the stringent academic and clinical standards expected of medical postgraduates, they need to split limited time to avoid clinical mistakes caused by inaccurate understandings of knowledge. These pressures exacerbate mental symptoms. PAV deepened depression/anxiety through the mediating effect of perceived stress (Hypothesis 3c). Students with high scores of PAV lack enthusiasm and initiative when facing learning and work, exhibiting low self-efficacy (Wang, 2012) and perceiving more pressure. Their engagement in learning is relatively low (Wang and Liu, 2023). This further leads to a decrease in their learning efficiency, and academic procrastination (Chen, 2023), exacerbating depression and anxiety.

The series mediating effects of self-esteem and perceived stress

According to our hypotheses, self-esteem is related to perceived stress. Thus, self-esteem and perceived stress sequentially mediated the relationship between achievement goals and depression/anxiety (Hypotheses 4a, 4b, 4c). Threatening situations refer to the scenario perceived by individuals that may cause physiological or psychological harm or loss to themselves (Chi, 2018). Medical postgraduates face daily and challenging situations in clinical work and research activities. Failure to meet the required standards may bring pressure to students, undermining their self-esteem and status within the group. Self-esteem can influence individuals’ strategies for coping with threats and buffer the negative impact of stress or threats on medical students (Gerard and Buehler, 2004). Thus, perceived stress negatively predicts self-esteem.

Performance-approach goal (PAP) and depression/anxiety

Of note, there was no significant correlation between PAP and depression/anxiety. Indeed, the impact of PAP is complex (Darnon et al., 2007), with contradictory research findings (Huang, 2011). Some researchers have proposed that the underlying causes of PAP deserve attention (Li et al., 2023). PAP characterized by strong autonomy is negatively correlated with anxiety and positively correlated with self-efficacy, whereas those characterized by strong control show positive correlations with anxiety and negative correlations with self-efficacy (Li et al., 2023). The linear correlation between PAP and depression/anxiety was not found in the present study, suggesting a complex relationship between both variables (Wang et al., 2021). Further attention may be needed on the role of other motivational variables.

Implications and limitations

Previous studies have seldom investigated the internal mechanisms of achievement motivation and mental health. The current study extended prior research by integrating the personality trait of self-esteem with the environmental factor of perceived stress for the first time. We have put forward some research suggestions based on the research conclusions. Firstly, future research should also consider the role of other variables in the relationship between achievement motivation and depression anxiety, such as individuals’ coping styles with stress and their level of engagement in academics. Secondly, due to the dynamic changes in achievement motivation and mental health, it is particularly important to conduct research on the longitudinal trajectory of postgraduate students’ achievement motivation and depression/anxiety. Furthermore, most of the current research on achievement motivation is quantitative, and future research can use qualitative methods such as text analysis, single-case research design, and interview to explore the relationship between achievement motivation and psychological status. For example, in the current context of artificial intelligence, future researchers may use technologies such as API interfaces, web crawlers, and natural language processing (NLP) to collect and crawl comments, posts, and related research content from graduate students on social media, forums, blogs, and other platforms. Researchers could perform feature extraction and sentiment analysis, construct machine learning models, and visualize the data to analyze the psychological status and achievement motivation of the postgraduates, thereby supplementing existing quantitative research results. Lastly, researchers and practitioners in the field of psychology should collaborate to design and develop online and offline group counseling activities with achievement motivation as the main theme. They should also design virtual simulation experiments based on online group counseling projects to achieve the goal of practicing and growing anytime, anywhere. Researchers should design experiments to observe and measure the improvement effects of group counseling activities on students’ achievement motivation, learning engagement, and psychological state.

Moreover, the current study holds significant practical value. Firstly, attention should be paid to the pressures faced by medical students. Regular lectures or group counseling should be held to improve students’ cognition and coping strategies related to stress. Secondly, counselors should emphasize the role of achievement motivation, reduce students’ performance-avoidance and mastery-avoidance goals through lectures and training, and promote mastery-approach goals. Thirdly, universities and hospitals should concentrate on developing practical scientific research and clinical skills among medical students, thereby boosting their confidence in handling academic challenges. Finally, based on the different needs and characteristics of medical students, diverse motivational methods should be adopted to stimulate their competitiveness and initiative.

This study also had certain limitations. Methodologically, a cross-sectional design was adopted, limiting the inference of causal relationships between variables. Longitudinal studies could be employed to further investigate the longitudinal trajectory of achievement motivation among medical postgraduate students. In addition, the medical students from Shanxi Province were recruited. Future research should include medical postgraduates from diverse regions of China to expand sample representativeness. Finally, the utilization of self-report scales involved subjectivity and social desirability effect.

Data availability statement

The raw data supporting the conclusions of this article will be made available by the authors, without undue reservation.

Ethics statement

The studies involving humans were approved by the Ethics Review Committee of Shanxi Medical University. The studies were conducted in accordance with the local legislation and institutional requirements. The participants provided their written informed consent to participate in this study.

Author contributions

M-yM: Conceptualization, Data curation, Writing – original draft. YL: Conceptualization, Investigation, Validation, Writing – review & editing. LG: Data curation, Investigation, Resources, Writing – review & editing. G-eY: Conceptualization, Methodology, Project administration, Resources, Writing – review & editing.

Funding

The author(s) declare that financial support was received for the research, authorship, and/or publication of this article. This work was supported by the Graduate Excellent Teaching Materials Project of the Graduate Education Innovation Plan (2023JC11), the special project of “Internet plus Education” in 2020 of the 13th Five Year Plan for Educational Sciences in Shanxi Province (HLW-20034), and the Planning Project of Philosophy and Social Sciences in Shanxi Province (2019B224).

Conflict of interest

The authors declare that the research was conducted in the absence of any commercial or financial relationships that could be construed as a potential conflict of interest.

Correction note

A correction has been made to this article. Details can be found at: 10.3389/fpsyg.2025.1712745.

Publisher’s note

All claims expressed in this article are solely those of the authors and do not necessarily represent those of their affiliated organizations, or those of the publisher, the editors and the reviewers. Any product that may be evaluated in this article, or claim that may be made by its manufacturer, is not guaranteed or endorsed by the publisher.

References

Abela, J. R. Z., Aydin, C. M., and Auerbach, R. P. (2007). Responses to depression in children: Reconceptualizing the relation among response styles. J Abnorm Child Psych. 35, 913–927. doi: 10.1007/s10802-007-9143-2

PubMed Abstract | Crossref Full Text | Google Scholar

An, X., and Jia, S.-l. (2018). Research on postgraduate academic quality: the influence of achievement goal orientation on academic procrastination among Praduate students. J. Mod. Educ., 73–78. doi: 10.3969/j.issn.1671-1610.2018.03.010

Crossref Full Text | Google Scholar

Anyan, F., and Hjemdal, O. (2016). Adolescent stress and symptoms of anxiety and depression: resilience explains and differentiates the relationships. J Affect Disorders. 203, 213–220. doi: 10.1016/j.jad.2016.05.031

PubMed Abstract | Crossref Full Text | Google Scholar

Arpaia, J., and Andersen, J. P. (2019). The unease modulation model: An experiential model of stress with implications for health, stress management, and public policy. Front. Psych. 10:379. doi: 10.3389/fpsyt.2019.00379

PubMed Abstract | Crossref Full Text | Google Scholar

Baumann, N., Kaschel, R., and Kuhl, J. (2005). Striving for unwanted goals: stress-dependent discrepancies between explicit and implicit achievement motives reduce subjective well-being and increase psychosomatic symptoms. J. Pers. Soc. Psychol. 89, 781–799. doi: 10.1037/0022-3514.89.5.781

PubMed Abstract | Crossref Full Text | Google Scholar

Baumeister, R. F., and Tice, D. M. (1985). Self-esteem and responses to success and failure: subsequent performance and intrinsic motivation. J. Pers. 53, 450–467. doi: 10.1111/j.1467-6494.1985.tb00376.x

Crossref Full Text | Google Scholar

Baumeister, R. F., Tice, D. M., and Hutton, D. G. (1989). Self-presentational motivations and personality differences in self-esteem. J. Pers. 57, 547–579. doi: 10.1111/j.1467-6494.1989.tb02384.x

Crossref Full Text | Google Scholar

Byrne, D. G., Davenport, S. C., and Mazanov, J. (2007). Profiles of adolescent stress: the development of the adolescent stress questionnaire (ASQ). J Adolescence. 30, 393–416. doi: 10.1016/j.adolescence.2006.04.004

PubMed Abstract | Crossref Full Text | Google Scholar

Campbell, W. K., and Foster, J. D. (2013). “Self-esteem: evolutionary roots and historical cultivation chapter” in Self-esteem issues and answers. ed. M. H. Kernis (Hove, East Sussex, England UK: Psychology Press).

Google Scholar

Chen, W.-g. (2023). A study on the relationship between self-control and achievement goal orientation and academic procrastination behavior of college students majoring in physical education. YangZhou, China: Yangzhou University.

Google Scholar

Chen, Z., Sun, K., and Wang, K. (2017). Self-esteem, achievement goals, and self-handicapping in college physical education. Psychol. Rep. 121, 690–704. doi: 10.1177/0033294117735333

PubMed Abstract | Crossref Full Text | Google Scholar

Chi, X.-j. (2018). The relationship between freshman's self esteem, academic pressure and achievement goal in university. ChangChun, China: Northeast Normal University.

Google Scholar

Cohen, S., Kamarck, T., and Mermelstein, R. (1983). A global measure of perceived stress. J. Health Soc. Behav. 24, 385–396. doi: 10.2307/2136404

Crossref Full Text | Google Scholar

Covington, M. V. (1998). The will to learn: a guide for motivating young people. Cambridge, United Kingdom: Cambridge University Press.

Google Scholar

Darnon, C., Harackiewicz, J. M., Butera, F., Mugny, G., and Quiamzade, A. (2007). Performance-approach and performance-avoidance goals: when uncertainty makes a difference. Pers Soc Psychol B. 33, 813–827. doi: 10.1177/0146167207301022

PubMed Abstract | Crossref Full Text | Google Scholar

Diener, C. I., and Dweck, C. S. (1978). An analysis of learned helplessness: continuous changes in performance, strategy, and achievement cognitions following failure. J. Pers. Soc. Psychol. 36, 451–462. doi: 10.1037/0022-3514.36.5.451

Crossref Full Text | Google Scholar

Dong, Y.-l., Zhao, T., and Gu, X.-f. (2020). The current status and influencing factors of anxiety and depression in professional master degree of clinical medicine in a medical college. Chin. J. Med. Educ. 40, 586–589. doi: 10.3760/cma.j.cn115259-20190819-00667

Crossref Full Text | Google Scholar

Duarte, I., Alves, A., Coelho, A., Ferreira, A., Cabral, B., Silva, B., et al. (2022). The mediating role of resilience and life satisfaction in the relationship between stress and burnout in medical students during the COVID-19 pandemic. Int. J. Environ. Res. Public Health 19:2822. doi: 10.3390/ijerph19052822

PubMed Abstract | Crossref Full Text | Google Scholar

Elliot, A. J. (1999). Approach and avoidance motivation and achievement goals. Educ Psychol. Us. 34, 169–189. doi: 10.1207/s15326985ep3403_3

Crossref Full Text | Google Scholar

Elliot, A. J., and Reis, H. T. (2003). Attachment and exploration in adulthood. J. Pers. Soc. Psychol. 85, 317–331. doi: 10.1037/0022-3514.85.2.317

Crossref Full Text | Google Scholar

Elliot, A. J., and Sheldon, K. M. (1997). Avoidance achievement motivation: a personal goals analysis. J. Pers. Soc. Psychol. 73, 171–185. doi: 10.1037/0022-3514.73.1.171

PubMed Abstract | Crossref Full Text | Google Scholar

Elliot, A. J., and Thrash, T. M. (2002). Approach-avoidance motivation in personality: approach and avoidance temperaments and goals. J. Pers. Soc. Psychol. 82, 804–818. doi: 10.1037/0022-3514.82.5.804

PubMed Abstract | Crossref Full Text | Google Scholar

Gao, S., Zhang, X.-k., Xu, X.-l., Chi, X.-j., and Cui, M.-s. (2015). A meta-analysis of the relationship between self-esteem and depression and anxiety in the Chinese college students: based on mental health. Adv. Psychol. Sci. 23:1499. doi: 10.3724/SP.J.1042.2015.01499

Crossref Full Text | Google Scholar

Gębka, B. (2014). Psychological determinants of university students’ academic performance: An empirical study. J Furth Higher Educ. 38, 813–837. doi: 10.1080/0309877X.2013.765945

Crossref Full Text | Google Scholar

Gerard, J. M., and Buehler, C. (2004). Cumulative environmental risk and youth maladjustment: the role of youth attributes. Child Dev. 75, 1832–1849. doi: 10.1111/j.1467-8624.2004.00820.x

PubMed Abstract | Crossref Full Text | Google Scholar

Gong, X., Xie, X.-y., Xu, R., and Luo, Y.-j. (2010). Psychometric properties of the Chinese versions of DASS-21 in Chinese college students. Chin. J. Clin. Psychol. 18, 443–446. doi: 10.16128/j.cnki.1005-3611.2010.04.020

Crossref Full Text | Google Scholar

Grant, K. E., Compas, B. E., Thurm, A. E., McMahon, S. D., and Gipson, P. Y. (2004). Stressors and child and adolescent psychopathology: measurement issues and prospective effects. J Clin Child Adolesc. 33, 412–425. doi: 10.1207/s15374424jccp3302_23

PubMed Abstract | Crossref Full Text | Google Scholar

Greenberg, J., Pyszczynski, T., and Solomon, S. (1986). “The causes and consequences of a need for self-esteem: a terror management theory” in Public self and private self. ed. R. F. Baumeister (New York, NY: Springer).

Google Scholar

Greenberg, J., Solomon, S., Pyszczynski, T., Rosenblatt, A., Burling, J., Lyon, D., et al. (1992). Why do people need self-esteem? Converging evidence that self-esteem serves an anxiety-buffering function. J. Pers. Soc. Psychol. 63, 913–922. doi: 10.1037/0022-3514.63.6.913

PubMed Abstract | Crossref Full Text | Google Scholar

Guo, J., Hu, X., Elliot, A. J., Marsh, H. W., Murayama, K., Basarkod, G., et al. (2023). Mastery-approach goals: a large-scale cross-cultural analysis of antecedents and consequences. J. Pers. Soc. Psychol. 125, 397–420. doi: 10.1037/pspp0000436

PubMed Abstract | Crossref Full Text | Google Scholar

Hammen, C. (2005). Stress and depression. Annu Rev Clin Psycho. 1, 293–319. doi: 10.1146/annurev.clinpsy.1.102803.143938

Crossref Full Text | Google Scholar

Heimpel, S. A., Elliot, A. J., and Wood, J. V. (2006). Basic personality dispositions, self-esteem, and personal goals: An approach-avoidance analysis. J. Pers. 74, 1293–1320. doi: 10.1111/j.1467-6494.2006.00410.x

Crossref Full Text | Google Scholar

Heimpel, S. A., Wood, J. V., Marshall, M. A., and Brown, J. D. (2002). Do people with low self-esteem really want to feel better? Self-esteem differences in motivation to repair negative moods. J. Pers. Soc. Psychol. 82, 128–147. doi: 10.1037/0022-3514.82.1.128

PubMed Abstract | Crossref Full Text | Google Scholar

Hu, H.-y., and Lin, R.-m. (2010). A correlation between achievement motivation and mental health of college students : CLMH, 378–379. doi: 10.3969/j.issn.1673-1662.2010.06.007

Crossref Full Text | Google Scholar

Huang, C. (2011). Achievement goals and achievement emotions: a meta-analysis. Educ. Psychol. Rev. 23, 359–388. doi: 10.1007/s10648-011-9155-x

Crossref Full Text | Google Scholar

Huang, W. S. (2021). The effect and intervention of interpersonal problems on loneliness: taking self-esteem as the mediator. ChongQing, China: Southwest University.

Google Scholar

Huang, J. L., Curran, P. G., Keeney, J., Poposki, E. M., and DeShon, R. P. (2012). Detecting and deterring insufficient effort responding to surveys. J. Bus. Psychol. 27, 99–114. doi: 10.1007/s10869-011-9231-8

Crossref Full Text | Google Scholar

Huang, L.-s., Xu, X., and Wang, J.-j. (2023). The impact of college students' mobile phone dependence on subjective well-being: the chain mediating effect of anxiety and procrastination. Psychologies Mag. 18, 40–43. doi: 10.19738/j.cnki.psy.2023.05.012

Crossref Full Text | Google Scholar

Jia, S.-l., (2017). The impact of achievement goal orientation on graduate academic procrastination. Lanzhou, China: Northwest Normal University.

Google Scholar

Jiang, H.-t. (2021). Study on the influencing factors and intervention for college students' test anxiety. AnHui, China: Anhui Normal University.

Google Scholar

Kandemir, M. (2014). Predictors of approach/avoidance achievement goals: personality traits, self-esteem and academic self-efficacy. Int. Online J. Educ. Sci. 6:10. doi: 10.15345/iojes.2014.01.010

Crossref Full Text | Google Scholar

Katz-Vago, I., and Benita, M. (2023). Mastery-approach and performance-approach goals predict distinct outcomes during personal academic goal pursuit. Brit J Educ Psychol. 94, 309–327. doi: 10.1111/bjep.12645

PubMed Abstract | Crossref Full Text | Google Scholar

Komarraju, M., and Dial, C. (2014). Academic identity, self-efficacy, and self-esteem predict self-determined motivation and goals. Learn. Individ. Differ. 32, 1–8. doi: 10.1016/j.lindif.2014.02.004

Crossref Full Text | Google Scholar

Kuroda, Y., and Sakurai, S. (2011). Social goal orientations, interpersonal stress, and depressive symptoms among early adolescents in Japan: a test of the diathesis-stress model using the trichotomous framework of social goal orientations. J Early Adolescence. 31, 300–322. doi: 10.1177/0272431610363158

Crossref Full Text | Google Scholar

Li, D., Lang, Q.-z., Cao, Y.-q., Yang, J.-h., Cheng, Y.-f., and Cao, Y. (2024). Correlation analysis between sleep quality and negative emotions among medical graduate students in Guizhou Province. Modern Med. J. 52, 335–342. doi: 10.3969/j.issn.1671-7562.2024.03.002

Crossref Full Text | Google Scholar

Li, B., Turner, J. E., Xue, J., and Liu, J. (2023). When are performance-approach goals more adaptive for Chinese EFL learners? It depends on their underlying reasons. Iral Int Rev Appl Li. 61, 1607–1638. doi: 10.1515/iral-2021-0208

Crossref Full Text | Google Scholar

Liang, B.-y. (2012). Psychological health diathesis assessment system: basic concepts, theories, and it’s developing plan. Stud. Psychol Behav. 10, 241–247. doi: 10.3969/j.issn.1672-0628.2012.04.001

Crossref Full Text | Google Scholar

Linnenbrink, E. A., and Pintrich, P. R. (2000). “Chapter 8 – multiple pathways to learning and achievement: the role of goal orientation in fostering adaptive motivation, affect, and cognition” in Intrinsic and extrinsic motivation. eds. C. Sansone and J. M. Harackiewicz (San Diego: Academic Press), 195–227.

Google Scholar

Liu, H.-s. (2012). A study on the relationship of “2 x 2” achievement goal orientation, self-esteem and self-handicapping in Sport. TianJin, China: Tianjin University of Sport.

Google Scholar

Liu, X.-q., and Bai, Z.-j. (2014). A meta-analysis of risk factors for suicide in patients with major depression disorder. Chin. J. Health Psychol. 22, 291–294. doi: 10.16128/j.cnki.1005-3611.2014.02.010

Crossref Full Text | Google Scholar

Liu, H.-j., and Guo, D.-j. (2003). A study on the relationship between pre-test anxiety, achievement goals and test scores. Psychol. Dev. Educ. 18, 64–68. doi: 10.16187/j.cnki.issn1001-4918.2003.02.012

Crossref Full Text | Google Scholar

Liu, H.-j., Guo, D.-j., Li, H.-l., and Gao, P.-x. (2006). The relationship between achievement goal orientation, test anxiety, and working memory. Acta Psychol. Sin. 38, 254–261.

Google Scholar

Liu, X., Zhang, Y., and Cao, X. (2023). Achievement goal orientations in college students: longitudinal trajectories, related factors, and effects on academic performance. Eur. J. Psychol. Educ. 39, 2033–2055. doi: 10.1007/s10212-023-00764-8

Crossref Full Text | Google Scholar

Liu, X., Zhang, Y., Cao, X., and Gao, W. (2024). Does anxiety consistently affect the achievement goals of college students? A four-wave longitudinal investigation from China. Curr. Psychol. 43, 10495–10508. doi: 10.1007/s12144-023-05184-x

Crossref Full Text | Google Scholar

Liu, Z.-x., Zhen, K.-l., Chu, J., Ding, Z.-x., Song, Q., Wang, Y.-k., et al. (2021). The mediation of resilience and neuroticism on the relationship between perceived stress and depression: based on path analysis. Chin. J. Clin. Psychol. 29, 352–356. doi: 10.16128/j.cnki.1005-3611.2021.02.027

Crossref Full Text | Google Scholar

Lovibond, S. H., and Lovibond, P. F. (1995). Depression anxiety stress scales. Psychol. Assessment. 8, 234–245. doi: 10.1037/t01004-000

Crossref Full Text | Google Scholar

Luo, Y., Fei, S., Gong, B., Sun, T., and Meng, R. (2021). Understanding the mediating role of anxiety and depression on the relationship between perceived stress and sleep quality among health care workers in the COVID-19 response. Nat Sci Sleep. 13, 1747–1758. doi: 10.2147/NSS.S313258

PubMed Abstract | Crossref Full Text | Google Scholar

Macinnes, D. L. (2006). Self-esteem and self-acceptance: an examination into their relationship and their effect on psychological health. J Psychiatr Ment Hlt. 13, 483–489. doi: 10.1111/j.1365-2850.2006.00959.x

PubMed Abstract | Crossref Full Text | Google Scholar

Malone, C., and Wachholtz, A. (2018). The relationship of anxiety and depression to subjective well-being in a mainland Chinese sample. J. Relig. Health 57, 266–278. doi: 10.1007/s10943-017-0447-4

Crossref Full Text | Google Scholar

Mansell, P., Sparks, K., Wright, J., Roe, L., Carrington, S., Lock, J., et al. (2023). “Mindset: performing under pressure” – a multimodal cognitive-behavioural intervention to enhance the well-being and performance of young athletes. J. Appl. Sport Psychol. 36, 623–642. doi: 10.1080/10413200.2023.2296900

Crossref Full Text | Google Scholar

Mao, S.-l., Luo, S., Li, F., Zhang, B.-p., Wang, P.-w., Li, M.-j., et al. (2020). Research on the anxiety and depression status of medical postgraduates in the late epidemic. J. Harbin Med. Univ. 54, 560–563. doi: 10.3969/j.issn.1000-1905.2020.05.026

Crossref Full Text | Google Scholar

Mischel, W. (1990). “Personality dispositions revisited and revised: a view after three decades” in Handbook of personality: Tteory and research (New York, NY, US: The Guilford Press), 111–134.

Google Scholar

Moksnes, U. K., Bjørnsen, H. N., Ringdal, R., Eilertsen, M.-E. B., and Espnes, G. A. (2022). Association between loneliness, self-esteem and outcome of life satisfaction in Norwegian adolescents aged 15–21. Scand J Public Healt. 50, 1089–1096. doi: 10.1177/14034948221081287

PubMed Abstract | Crossref Full Text | Google Scholar

Monroe, S. M., and Harkness, K. L. (2005). Life stress, the “kindling” hypothesis, and the recurrence of depression: considerations from a life stress perspective. Psychol. Rev. 112, 417–445. doi: 10.1037/0033-295X.112.2.417

PubMed Abstract | Crossref Full Text | Google Scholar

Orth, U., Robins, R. W., and Meier, L. L. (2009a). Disentangling the effects of low self-esteem and stressful events on depression: findings from three longitudinal studies. J. Pers. Soc. Psychol. 97, 307–321. doi: 10.1037/a0015645

PubMed Abstract | Crossref Full Text | Google Scholar

Orth, U., Robins, R. W., Trzesniewski, K. H., Maes, J., and Schmitt, M. (2009b). Low self-esteem is a risk factor for depressive symptoms from young adulthood to old age. J. Abnorm. Psychol. 118, 472–478. doi: 10.1037/a0015922

PubMed Abstract | Crossref Full Text | Google Scholar

Ostrov, E. (1982). “The self-concept” in Vol. 2: theory and research on selected topics. eds. R. C. Wylie, P. J. Miller, S. S. Cowles, and A. W. Wilson (American Journal of Sociology). doi: 10.1086/227622

Crossref Full Text | Google Scholar

Phanudulkitti, C., Farris, K., Makmee, P., and Kittisopee, T. (2018). Deep approach to learning of pharmacy students: a multilevel analysis. Pharm. Educ. 18, 99–109. doi: 10.58837/chula.the.2017.521

Crossref Full Text | Google Scholar

Pintrich, P. R. (2000). An achievement goal theory perspective on issues in motivation terminology, theory, and research. Contemp. Educ. Psychol. 25, 92–104. doi: 10.1006/ceps.1999.1017

PubMed Abstract | Crossref Full Text | Google Scholar

Ren, Z.-h., Jiang, G.-r., and Ye, Y.-d. (2011). The relationship between class environment and adolescent depression: the mediating and moderating role of core self-evaluation. J. Psychol. Sci. 34, 1106–1112. doi: 10.16719/j.cnki.1671-6981.2011.05.006

Crossref Full Text | Google Scholar

Rosenberg, M. (1965). Society and the adolescent self-image. Princeton, United States: Princeton University Press.

Google Scholar

Rosenberg, M., (1979). Conceiving the self. (New York: Basic Books).

Google Scholar

Rossi, A., Panzeri, A., Pietrabissa, G., Manzoni, G. M., Castelnuovo, G., and Mannarini, S. (2020). The anxiety-buffer hypothesis in the time of COVID-19: when self-esteem protects from the impact of loneliness and fear on anxiety and depression. Front. Psychol. 11:2177. doi: 10.3389/fpsyg.2020.02177

PubMed Abstract | Crossref Full Text | Google Scholar

Sahlan, R. N., Williams, B. M., Forrest, L. N., Saunders, J. F., Fitzsimmons-Craft, E. E., and Levinson, C. A. (2021). Disordered eating, self-esteem, and depression symptoms in Iranian adolescents and young adults: a network analysis. Int J Eat Disorder. 54, 132–147. doi: 10.1002/eat.23365

PubMed Abstract | Crossref Full Text | Google Scholar

Santos, R.F., (2020). Performance-avoidance goal orientation and test anxiety: the mediating role of insecure striving, shame and self-compassion. (Coimbra, Portugal: University of Coimbra).

Google Scholar

Schwinger, M., and Stiensmeier-Pelster, J. (2011). Prevention of self-handicapping — the protective function of mastery goals. Learn. Individ. Differ. 21, 699–709. doi: 10.1016/j.lindif.2011.09.004

Crossref Full Text | Google Scholar

Shen, Z.-l., and Cai, T.-s. (2008). Disposal to the 8th item of Rosenberg serf-esteem scale. Chin. Ment. Health J. 22, 661–663. doi: 10.3321/j.issn:1000-6729.2008.09.009

Crossref Full Text | Google Scholar

Shim, S. S., Ryan, A. M., and Cassady, J. (2012). Changes in self-esteem across the first year in college: the role of achievement goals. Educ Psychol 32, 149–167. doi: 10.1080/01443410.2011.627837

Crossref Full Text | Google Scholar

Sideridis, G. D. (2005). Goal orientation, academic achievement, and depression: evidence in favor of a revised goal theory framework. J. Educ. Psychol. 97, 366–375. doi: 10.1037/0022-0663.97.3.366

Crossref Full Text | Google Scholar

Sideridis, G. D. (2007). Why are students with LD depressed?: a goal orientation model of depression vulnerability. J Learn Disabil 40, 526–539. doi: 10.1177/00222194070400060401

PubMed Abstract | Crossref Full Text | Google Scholar

Sideridis, G. D. (2008). The regulation of affect, anxiety, and stressful arousal from adopting mastery-avoidance goal orientations. Stress. Health 24, 55–69. doi: 10.1002/smi.1160

Crossref Full Text | Google Scholar

Sideridis, G. D. (2018). A physiological analysis of achievement goal orientations under pressure: An experimental analysis. Int J Sch Educ Psych. 8, 227–238. doi: 10.1080/21683603.2018.1538913

Crossref Full Text | Google Scholar

Skaalvik, E. M. (2018). Mathematics anxiety and coping strategies among middle school students: relations with students’ achievement goal orientations and level of performance. Soc. Psychol. Educ. 21, 709–723. doi: 10.1007/s11218-018-9433-2

Crossref Full Text | Google Scholar

Steare, T., Lewis, G., Lange, K., and Lewis, G. (2023). The association between academic achievement goals and adolescent depressive symptoms: a prospective cohort study in Australia. Lancet Child Adolesc Health. 8, 413–421. doi: 10.1101/2023.11.02.23297905

Crossref Full Text | Google Scholar

Sun, Q., Yan, J.-y., Yao, J., Yang, X.-j., and Liu, H.-q. (2022). The effect of childhood traumatic on depression in senior high school students: the mediating effect of stress perception. Chin. J. Clin. Psychol. 30, 81–84. doi: 10.16128/j.cnki.1005-3611.2022.01.017

Crossref Full Text | Google Scholar

Tan, T.-c. (2022). Status and influencing factors of depression and anxiety among medical college graduates in the post-epidemic era. GuangZhou, China: Southern Medical University.

Google Scholar

Tan, T.-c., Hu, G.-l., Zhang, X.-y., and Li, H.-y. (2021). Status of depression and anxiety in graduates of clinical medicine and its correlation with coping styles for depression and anxiety. Chin. Neurosurg. J. 26, 95–97. doi: 10.13798/j.issn.1009-153X.2021.02.010

Crossref Full Text | Google Scholar

Tuominen-Soini, H., Salmela-Aro, K., and Niemivirta, M. (2008). Achievement goal orientations and subjective well-being: a person-centered analysis. Learn. Instr. 18, 251–266. doi: 10.1016/j.learninstruc.2007.05.003

Crossref Full Text | Google Scholar

Vandewalle, D., Nerstad, C. G. L., and Dysvik, A. (2019). Goal orientation: a review of the miles traveled and the miles to go. Annu Rev Organ Psych. 6, 115–144. doi: 10.1146/annurev-orgpsych-041015-062547

Crossref Full Text | Google Scholar

Vergara, C., and Roberts, J. E. (2011). Motivation and goal orientation in vulnerability to depression. Cognit. Emot. 25, 1281–1290. doi: 10.1080/02699931.2010.542743

PubMed Abstract | Crossref Full Text | Google Scholar

Wang, X.-j. (2012). The relationships among achievement goal, academic self-efficiency and undergraduate's engagement. Harbin, China: Harbin Normal University.

Google Scholar

Wang, S., and Liu, C.-s. (2023). How to assist high school students in learning based on career education: the impact of achievement goals on learning engagement. CEJEME, 92–102. doi: 10.16518/j.cnki.emae.2023.02.010

Crossref Full Text | Google Scholar

Wang, Y., Liu, L., Ding, N., Li, H., and Wen, D. (2021). The mediating role of stress perception in pathways linking achievement goal orientation and depression in Chinese medical students. Front. Psychol. 12:614787. doi: 10.3389/fpsyg.2021.614787

PubMed Abstract | Crossref Full Text | Google Scholar

Wang, H.-e., Pan, X.-l., and Feng-Ji, (2013). Investigation and research about pressure influence to mental health of medical postgraduate students. China Higher Med. Educ., 123–124. doi: 10.3969/j.issn.1002-1701.2013.09.065

Crossref Full Text | Google Scholar

Wang, J.-y., Yao, M.-l., and Liu, H.-r. (2022). Relationships among teachers’ achievement goals, self-efficacy, anxiety, and work engagement: variable-centered and person-centered perspectives. Studies Psychol Behav. 20, 122–129. doi: 10.12139/j.1672-0628.2022.01.018

Crossref Full Text | Google Scholar

Wu, M., and Ke, L. (2023). The relationship between negative emotions and professional sense of mission in medical students: the mediating role of resilience. Chin. J. Soc. Med. 40, 281–285. doi: 10.3969/j.issn.1673-5625.2023.03.009

Crossref Full Text | Google Scholar

Wu, X.-h., Zhang, M.-t., Zhao, J.-b., Mai, Y.-l., Fang, Y., and Zhao, J.-b. (2020). A two-year follow-up study of the psychological symptoms in medical students. Chin. Ment. Health J. 34, 445–450. doi: 10.3969/j.issn.1000-6729.2020.5.010

Crossref Full Text | Google Scholar

Xiong, Z.-d., Zhai, D.-x., Huang, Y.-l., Deng, F.-m., and Jia, C.-s. (2024). Analysis of psychological status and promotion strategies for Master's degree students in clinical medicine. J. Chengdu Med. College., 1–10.

Google Scholar

Xu, N., Xu, B.-b., Hou, X.-h., and Wang, S.-q. (2022). Future time perception and career decision-making difficulties of college students: the chain mediating role of self-esteem and positive coping style. Chin. J. Health Psychol. 30, 1893–1897. doi: 10.13342/j.cnki.cjhp.2022.12.026

Crossref Full Text | Google Scholar

Yang, T.-z., and Huang, H.-t. (2003). An epidemiological study on stress among urban residents in social transition period. Chin J Epidemiol. 24, 11–15. doi: 10.3760/j.issn:0254-6450.2003.09.004

Crossref Full Text | Google Scholar

Yang, D., Liang, S.-c., and Wu, H.-m. (2016). The relationship between college students achievement motivation and learning burnout: Hope as a mediator. Chin. J. Health Psychol. 24, 255–259. doi: 10.13342/j.cnki.cjhp.2016.02.026

Crossref Full Text | Google Scholar

Yang, R., Wang, Q.-l., He, P., Xiang, H.-n., Deng, X.-t., and Yang, M. (2021). Relationship between perception of stress, depression and anxiety in primary and secondary school teachers: the mediating role of coping. Chin. J. Health Psychol. 29, 1842–1848. doi: 10.13342/j.cnki.cjhp.2021.12.019

Crossref Full Text | Google Scholar

Ye, R., Li, Y.-f., and Zhao, J.-y. (2018). “Factors affecting the mental health and the intervention measures among postgraduates with clinical medical professional degree” in Chin. Rural Health Serv. eds. R. Ye, Y.-f. Li, and J.-y. Zhao 38, 10–12. doi: 10.3969/j.issn.1005-5916.2018.01.004

Crossref Full Text | Google Scholar

Zhang, R.-j. (2019). High school students achievement goal influence on test anxiety: the mediating role of academic self-efficacy. WuHan, China: South-Central Minzu University.

Google Scholar

Zhang, M. (2023). The influence of Mobile phone dependence on depression among middle school students: interpersonal disturbance and academic procrastination as mediators. ChengDu, China: Sichuan Normal University.

Google Scholar

Zhao, X.-j., Zhu, F.-x., Zeng, L., Li, S., and An, Y.-z. (2019). Anxiety and depression state and their associated factors of eight-year program medical students at postgraduate stage. Chin J Med Edu. 39, 30–34. doi: 10.3760/cma.j.issn.1673-677X.2019.01.008

Crossref Full Text | Google Scholar

Zhong, L.-f. (2007). Review of psychological capital research. Adv. Psychol. Sci. 15, 482–487. doi: 10.3969/j.issn.1671-3710.2007.03.015

Crossref Full Text | Google Scholar

Zhou, A.-x. (2022). Study on correlation between sleep quality and anxiety disorder in patients with anxiety disorder. J. Sleep Med 9, 102–103. doi: 10.3969/j.issn.2095-7130.2022.01.035

Crossref Full Text | Google Scholar

Zhou, W. (2022). Overlapping characteristics of burnout and depression symptoms in neurology postgraduates. ChongQing, Chin: Chongqing Medical University.

Google Scholar

Zhou, H., and Long, L.-r. (2004). Statistical remedies for common method biases. Adv. Psychol. Sci. 12, 942–950. doi: 10.3969/j.issn.1671-3710.2004.06.018

Crossref Full Text | Google Scholar

Zhou, C., Zhang, Z., Sun, C.-c., Cui, M.-h., and Zhang, Y.-z. (2022). The state of mental health problems of medical postgraduates in a college and some solutions. China Higher Med. Educ., 132–134. doi: 10.3969/j.issn.1002-1701.2022.02.071

Crossref Full Text | Google Scholar

Zhu, Y.-l., Li, J., Li, W., Xie, W.-y., Yuan, J., and Tao, Y. (2023). Effect of employment pressure on life satisfaction and depression in college graduates under the COVID-19 pandemic: the mediating effect of self-esteem. Chin. J. Health Psychol., 191–198. doi: 10.13342/j.cnki.cjhp.2023.02.006

Crossref Full Text | Google Scholar

Zhu, L., Li, D.-w., Xu, Y.-f., and Su, Y.-y. (2023). Effect of stress perception on anxiety and depression in police officers. A moderated mediation model. Chin. J. Health Psychol., 1527–1533. doi: 10.13342/j.cnki.cjhp.2023.10.018

Crossref Full Text | Google Scholar

Keywords: medical postgraduates, achievement motivation, depression, anxiety, self-esteem, perceived stress

Citation: Ma M-y, Li Y, Guo L and Yang G-e (2024) Achievement motivation and mental health among medical postgraduates: the chain mediating effect of self-esteem and perceived stress. Front. Psychol. 15:1483090. doi: 10.3389/fpsyg.2024.1483090

Received: 19 August 2024; Accepted: 04 October 2024;
Published: 23 October 2024
Corrected: 15 October 2025.

Edited by:

Mei Tian, Xi’an Jiaotong University, China

Reviewed by:

Qi Shen, Tongji University, China
Xinqiao Liu, Tianjin University, China

Copyright © 2024 Ma, Li, Guo and Yang. This is an open-access article distributed under the terms of the Creative Commons Attribution License (CC BY). The use, distribution or reproduction in other forums is permitted, provided the original author(s) and the copyright owner(s) are credited and that the original publication in this journal is cited, in accordance with accepted academic practice. No use, distribution or reproduction is permitted which does not comply with these terms.

*Correspondence: Guan-e Yang, eWFuZ2d1YW5lQGFsaXl1bi5jb20=

Disclaimer: All claims expressed in this article are solely those of the authors and do not necessarily represent those of their affiliated organizations, or those of the publisher, the editors and the reviewers. Any product that may be evaluated in this article or claim that may be made by its manufacturer is not guaranteed or endorsed by the publisher.