ORIGINAL RESEARCH article
Front. Plant Sci.
Sec. Sustainable and Intelligent Phytoprotection
This article is part of the Research TopicMachine Vision and Machine Learning for Plant Phenotyping and Precision Agriculture, Volume IIView all 42 articles
Cluster Segmentation and Stereo Vision-Based Apple Localization Algorithm for Robotic Harvesting
Provisionally accepted- College of Information Engineering, Tarim University, Alar, China
Select one of your emails
You have multiple emails registered with Frontiers:
Notify me on publication
Please enter your email address:
If you already have an account, please login
You don't have a Frontiers account ? You can register here
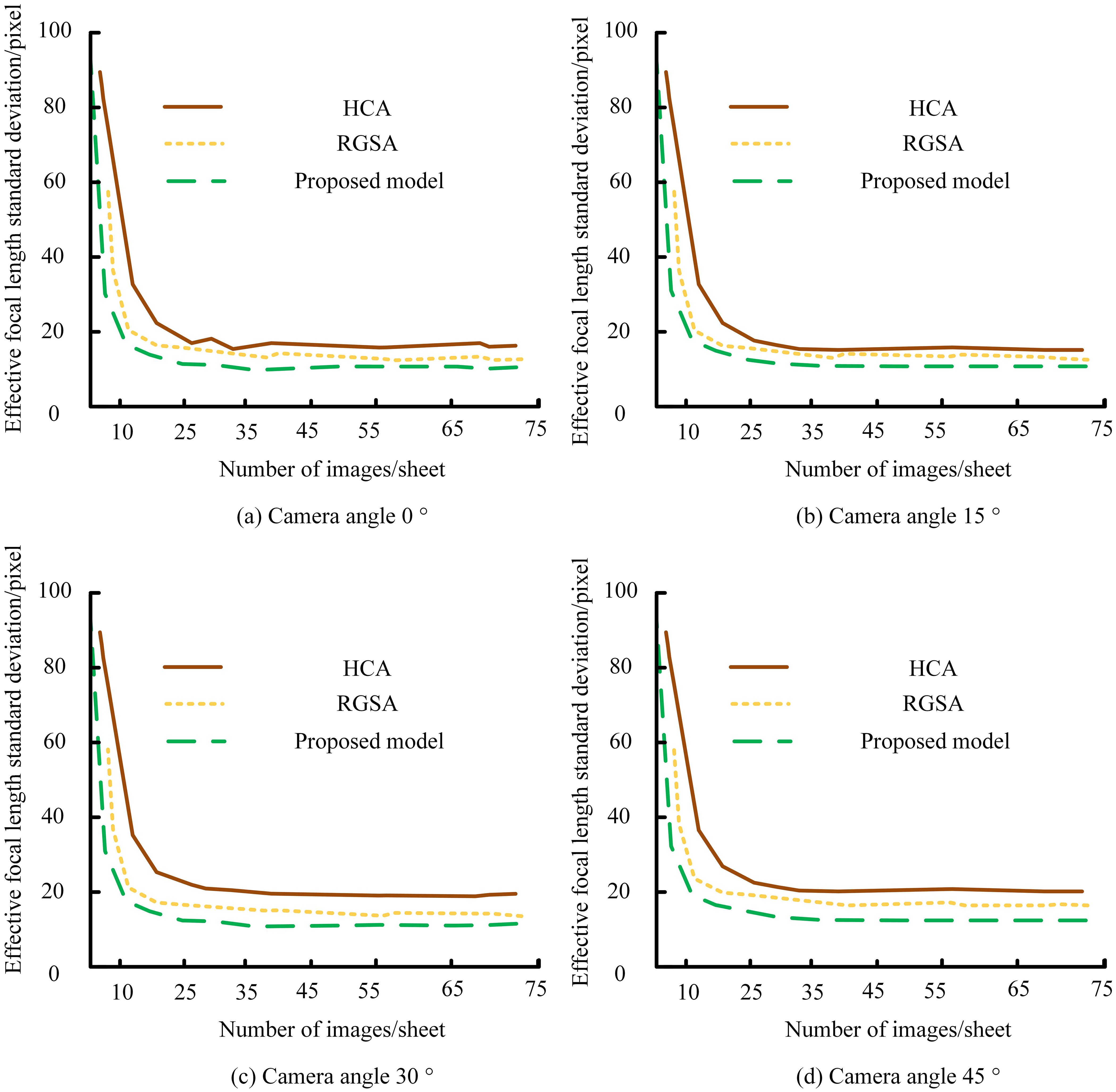
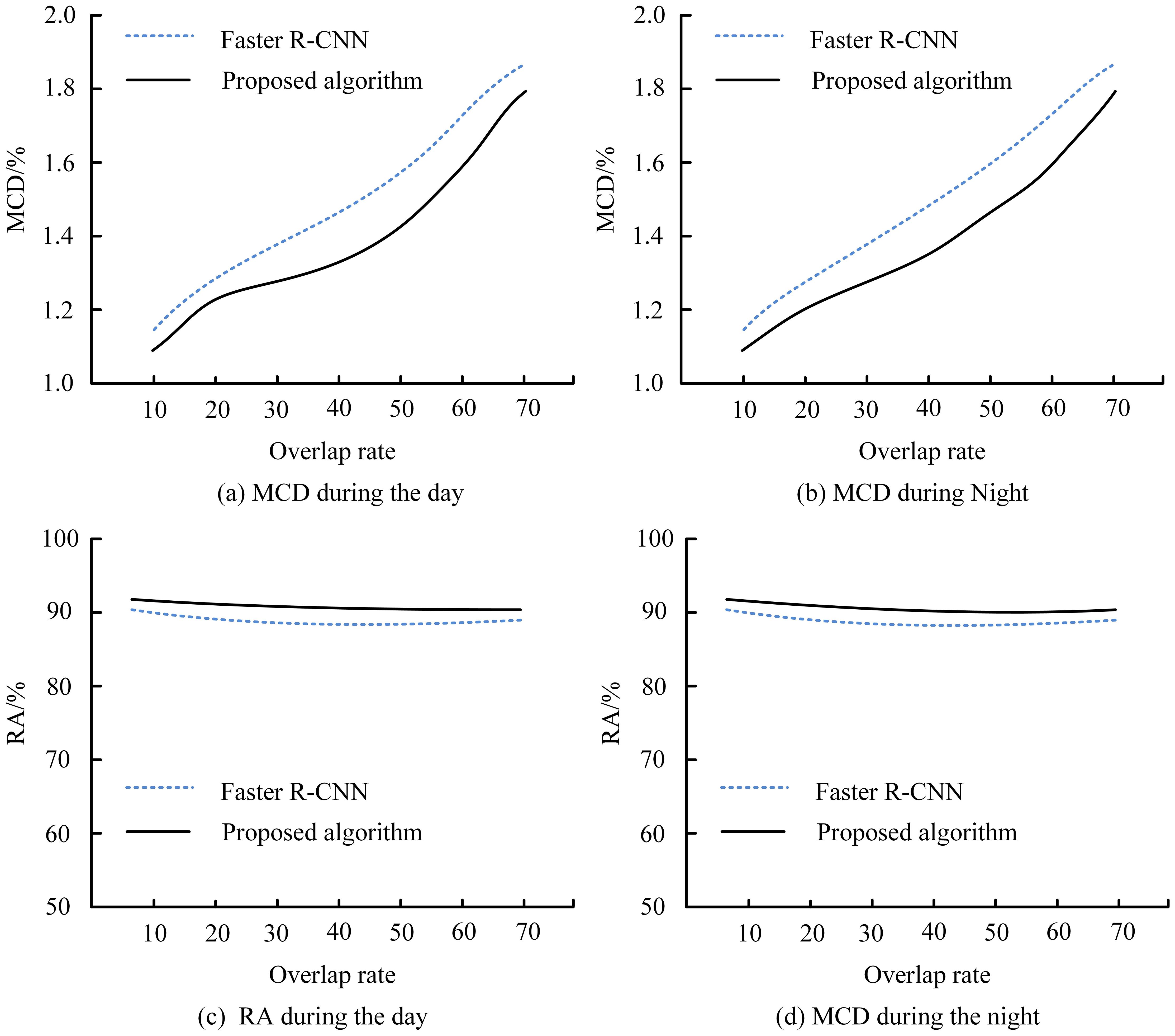
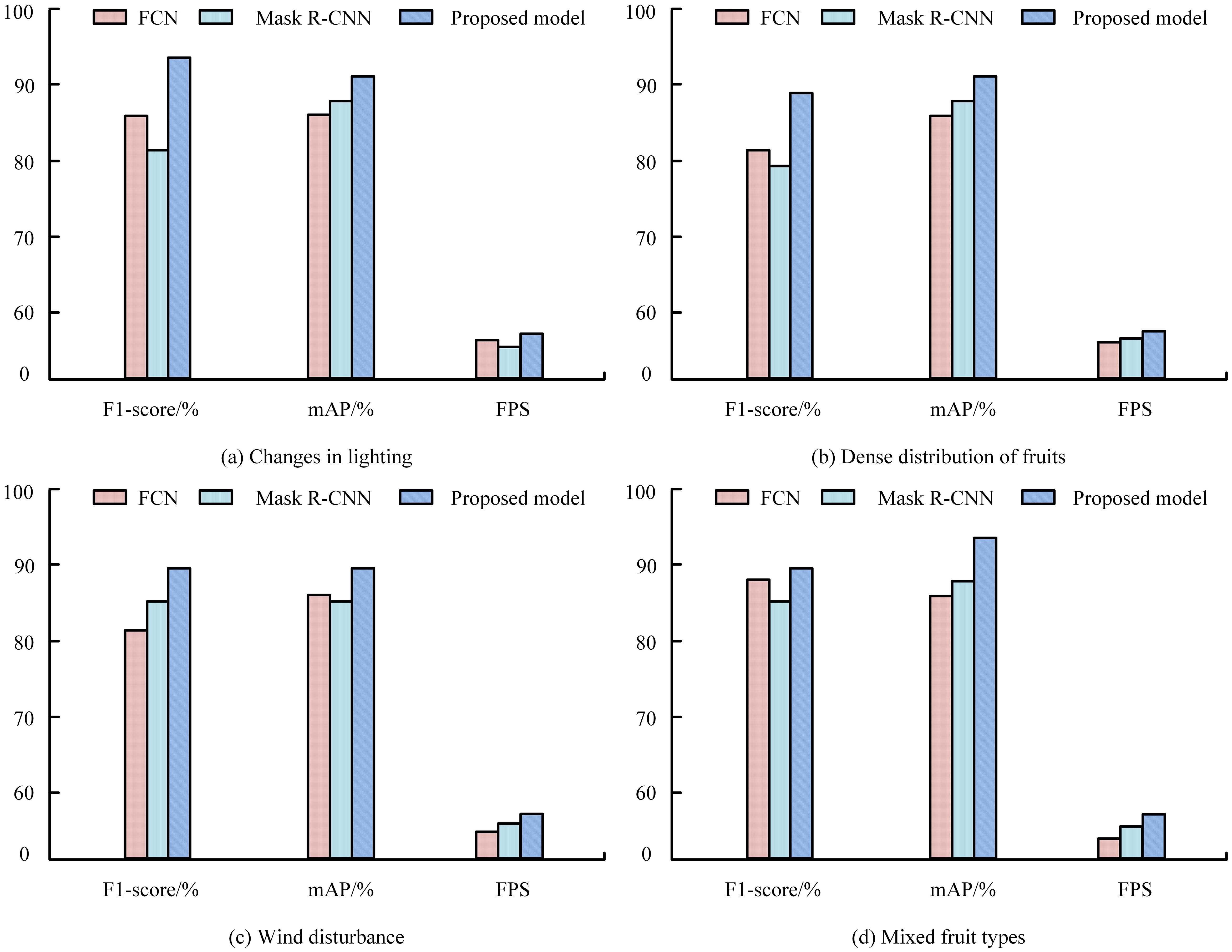
Automated apple detection and localisation in orchards are challenged by overlapping fruits, variable lighting, and diverse growth orientations. Conventional deep learning methods such as Faster R-CNN and YOLO, while accurate, demand large datasets and high computational resources, and often struggle with precise depth estimation needed for real-time harvesting. In this study, we present an enhanced clustering-based segmentation method integrated with a stereo-vision system to address these limitations. The approach combines colour, morphology, and texture features with adaptive clustering to achieve robust segmentation and accurate 3D localisation under complex orchard conditions. Compared with state-of-the-art deep learning models, the method demonstrates higher stability, reduced computational cost, and reliable detection at varied viewing angles. These results highlight the potential of clustering-based stereo vision as a practical, low-resource solution for intelligent orchard harvesting systems
Keywords: Apple detection, Stereo vision system, Orchard robotics / Robotic harvesting, Clustering-based segmentation, 3D localization, precision agriculture
Received: 24 Mar 2025; Accepted: 04 Nov 2025.
Copyright: © 2025 Wang and Sun. This is an open-access article distributed under the terms of the Creative Commons Attribution License (CC BY). The use, distribution or reproduction in other forums is permitted, provided the original author(s) or licensor are credited and that the original publication in this journal is cited, in accordance with accepted academic practice. No use, distribution or reproduction is permitted which does not comply with these terms.
* Correspondence: Wenbing Sun, qoug265@163.com
Disclaimer: All claims expressed in this article are solely those of the authors and do not necessarily represent those of their affiliated organizations, or those of the publisher, the editors and the reviewers. Any product that may be evaluated in this article or claim that may be made by its manufacturer is not guaranteed or endorsed by the publisher.
