Your new experience awaits. Try the new design now and help us make it even better

ORIGINAL RESEARCH article

Front. Plant Sci., 13 November 2025

Sec. Plant Symbiotic Interactions

Volume 16 - 2025 | https://doi.org/10.3389/fpls.2025.1618555

Legume green manure partial replacement of fertilizers enhances soil microbial diversity and sustains wheat yield

Huiyan WangHuiyan Wang1Hui WangHui Wang2He YangHe Yang1Xiaoyu LiuXiaoyu Liu1Xinbao LiuXinbao Liu1Yongxiang GuanYongxiang Guan3Yixin ShenYixin Shen1Jianlong LiJianlong Li4Dianlin YangDianlin Yang2Zhengguo Sun,*Zhengguo Sun1,5*
  • 1College of Agro-grassland Science, Nanjing Agricultural University, Nanjing, China
  • 2Agro-Environmental Protection Institute, Ministry of Agriculture and Rural Affairs, Tianjin, China
  • 3Jiangsu Provincial Agricultural Technology Extension Station, Nanjing, China
  • 4School of Life Science, Nanjing University, Nanjing, China
  • 5Nanjing University (Suzhou) High and New Technology Research Institute, Suzhou, China

Introduction: The excessive use of chemical fertilizers has severely impacted soil quality and the ecological environment of farmland, hindering the development of sustainable agriculture.

Methods: This study evaluated five treatments: conventional monoculture of winter wheat (Triticum aestivum L., CK), intercropping of winter wheat with Chinese milk vetch (Astragalus sinicus L., IM), crimson clover (Trifolium incarnatum L., IC), smooth vetch (Vicia villosa Roth., IS), and common vetch (Vicia sativa L., IV). Intercropping treatments all resulted in a 30% reduction in chemical fertilizer application compared to monocropping.

Results: The results indicated that the IC treatment yielded wheat grain quantities most similar to CK. When the wheat reaches maturity, the IS treatment resulted in increases in soil pH and soil organic matter (SOM) of 6.73% and 25.76%, respectively (P < 0.05). The greatest enhancements of soil urease (URE) and acid phosphatase (ACP) activities were observed with the IM treatment, which showed increases of 32.24% and 57.58%, respectively, compared to wheat monoculture. The IC treatment also enhanced soil sucrose (SUC) activity by 15.24% (P < 0.05). Intercropping with leguminous green manure improved the diversity and richness of soil bacterial communities, as evidenced by increases in the Chao 1 and Shannon indices, along with higher relative abundances of Proteobacteria and Sphingomonas.

Discussion: Selecting the appropriate leguminous green manure is crucial. Non-climbing varieties are generally preferred. We believe that intercropping crimson clover in wheat fields can not only maintain the yield of the main crop, reduce agricultural production costs, but also improve the micro-ecological environment of the farmland, providing a novel solution for breaking through traditional wheat farming models.

1 Introduction

Improving crop production efficiency and maintaining farmland soil quality have become essential strategic initiatives to ensure global food security under the dual challenges of continued global population growth and increasing climate change (Xu et al., 2021). As one of the most important food crops in the world’s food supply system, wheat is widely cultivated and plays a vital role in ensuring basic food rations for the world’s population. As the world’s largest wheat producer and fertilizer user, China has a grain production system that is highly dependent on fertilizer application (Geng et al., 2019; Liu et al., 2017). However, the overuse of chemical fertilizers has not only degraded the soil quality of agricultural lands and further increased agricultural production costs, but also exacerbated agro-ecological pollution (van der Bom et al., 2018; Carvalho, 2017; Chen et al., 2020). Therefore, the research and implementation of scientific and rational fertilization strategies are crucial to promote the sustainable and stable growth of wheat yield, maintain the fertility and health of farmland soils, reduce the negative impact on the natural environment, and promote the sustainable development of agricultural production.

In recent years, legume-based intercropping systems have been widely adopted worldwide. Chinese milk vetch, crimson clover, smooth vetch, and common vetch are some of the more common leguminous green manures used in agricultural production in the middle and lower reaches of the Yangtze River in China. Chinese milk vetch can effectively improve the physicochemical properties of soil, increase the number and diversity of soil microorganisms, and improve soil fertility and crop yield and quality, which is considered to be an important soil nutrition measure (Lin et al., 2011). Crimson clover is a high quality annual fodder grass of the Leguminosae family, which is suitable for winter green manuring in rice fields, but can also be sown as a single crop for pasture establishment and fodder production. Smooth vetch and common vetch are excellent fodder and green manure crops of the wild pea genus of the legume family, rich in protein, calcium, phosphorus and other nutrients, and are also a kind of green manure germplasm resources that are more commonly used in current production. Optimizing soil biodiversity through the additional nitrogen source provided by legume root nitrogen fixation not only effectively increases crop yields (Li et al., 2020; Zhang et al., 2023a), but also enhances soil fertility through interspecific interaction mechanisms (Lange et al., 2015; Spohn et al., 2023). In addition, legumes have the ability to release protons that, when released, can alter the pH of the soil ecosystem, facilitating the mobilization and release of tightly bound organic and inorganic phosphorus sources in the soil into forms that are more readily absorbed and utilized by plants. This mechanism of action not only optimizes soil phosphorus cycling and utilization, but also significantly enhances plant phosphorus uptake in intercropping systems, further promoting healthy plant growth and yield improvement (Li et al., 2007). Interactions between different legume species and their intercropping with wheat vary in terms of crop growth response and soil quality (Zhang et al., 2023b), and it is not clear how crop yields and soil quality will respond to different combinations of legume-wheat intercropping.

Soil microorganisms play a central role in soil nutrient cycling and directly influence soil properties and crop productivity (Van der Heijden et al., 2008; Naylor et al., 2020). It was found that intercropping leguminous green manures increased the diversity and abundance of soil bacterial communities and changed their structure compared to monoculture, thereby optimizing the soil microbial environment. This helps mitigate the negative effects of overfertilization on soil microbes, thus providing more favorable environmental conditions for crop growth (Han et al., 2022; Liu et al., 2021; Gu et al., 2019). The reason for this may be that intercropping increases soil effective nutrients, total nitrogen and soil organic carbon, and increases extracellular enzyme activities (Curtright and Tiemann, 2021; Ma et al., 2022). However, the diversity and composition of soil microbial communities are extremely sensitive to changes in environmental factors (Zhalnina et al., 2015). Thus, intercropping may affect the diversity and composition of soil microbial communities by altering soil nutrient levels and enzyme activities. Most current studies are limited to exploring the effects of intercropping legume green manures with maize and soybean crops on the physicochemical properties and microbial community structure and composition of the cropped soils. In contrast, there is a relative paucity of research on the combination of legume green manures intercropped with wheat, especially on a comprehensive assessment of their overall impact on wheat yield and soil quality by integrating multiple dimensions such as crop productivity, soil quality, and microbial community characteristics.

For many years, we have conducted a series of scientifically rigorous research and experimental efforts centered around utilizing legume green manure as intercrops or in crop rotation systems. Based on this research foundation, we conducted an experiment in the wheat-growing regions of southern Jiangsu, China, to explore the effects of intercropping wheat with legume green manure. We hypothesized that in a wheat system intercropped with leguminous green manure, chemical fertilizer application could be reduced by 30%. Owing to the unique root nodule structure of the leguminous plants, the system could effectively compensate for potential nutrient deficiencies, thereby maintaining wheat yield without decline and simultaneously improving the soil micro-ecological environment. To test this, our objectives were to: (i) investigated the effects of intercropping legume green manures (Chinese milk vetch, crimson clover, smooth vetch, and common vetch) with wheat on soil physicochemical properties and enzyme activities, (ii) assessed the diversity and composition of microbial communities in different intercropping systems, (iii) the effects of intercropping different legume green manures on wheat yield and nutrient uptake and use efficiency. The research outcomes furnish a theoretical groundwork for reducing the utilization of chemical fertilizers and enhancing agricultural production efficiency in winter wheat cultivation.

2 Materials and methods

2.1 Study site

The experiment period runs from October 2022 to June 2023. The field experiment was conducted in Huanggang village, Maji town, Luhe District, Nanjing city, Jiangsu Province, China (N 32° 02’ 00”, E 118° 49’ 12”). This area is characterized by a subtropical monsoon climate, featuring high temperatures and heavy rainfall in summer and low temperatures with minimal rainfall in winter. The average annual temperature is 15.1°C, with a total precipitation of 979.5 mm and a frost-free period of 226 days. The average monthly temperature and precipitation during the experiment are shown in Figure 1. The soil type at the experimental site is yellow–brown soil. The basic physical and chemical properties of the 0–20 cm soil layer are as follows: pH, 5.76 ± 0.02; soil organic matter (SOM), 10.78 ± 0.10 g kg−1; total nitrogen, 0.59 ± 0.01 g kg−1; total phosphorus, 0.37 ± 0.02 g kg−1; total potassium, 8.36 ± 0.12 g kg−1; alkali-hydrolyzed nitrogen (AN), 105.42 ± 0.78 mg kg−1; and rapidly AP, 10.39 ± 0.41 mg kg−1.

Figure 1
Bar and line graph illustrating monthly precipitation and average temperature from September 2022 to June 2023. Precipitation is highest in November 2022 at 160 mm, decreasing to under 20 mm by January 2023. Average temperatures are highest in June 2023 at 27°C, with a general upward trend from January 2023.

Figure 1. Average monthly temperature and precipitation during the experiment.

2.2 Experimental design and sampling

The community experiment consisted of five treatments: conventional monoculture of winter wheat (Triticum aestivum L., CK), intercropping of winter wheat with Chinese milk vetch (Astragalus sinicus L., IM), intercropping with crimson clover (Trifolium incarnatum L., IC), intercropping with smooth vetch (Vicia villosa Roth., IS), and intercropping with common vetch (Vicia sativa L., IV). Each treatment was replicated three times, resulting in a total of 15 communities. Each community covered an area of 6 m² (2 m × 3 m) and was separated by 50 cm wide and 30 cm high drainage ditches. The wheat was sown on October 20, 2022. In the monoculture wheat treatment, the sowing density was 2.7 × 106 plants per hectare with a row spacing of 25 cm. The intercropping of leguminous green manure was implemented by alternating one row of wheat with one row of green manure, with a row spacing of 25 cm. The sowing density for each wheat row was twice that of the monoculture wheat plot. The sowing densities for Chinese milk vetch, crimson clover, smooth vetch, and common vetch were each 1.005 × 106 plants/hm². The sowing densities for both monoculture wheat and intercropped leguminous green manure were standardized. The wheat was planted in an east-west direction. In the monoculture wheat plot, 12 rows of wheat were planted. In the intercropping green manure plot, wheat and green manure were planted in alternating rows, resulting in a total of 6 rows of wheat and 6 rows of green manure. The distribution and planting methods for each plot are illustrated in Figure 2.

Figure 2
A diagram showing a plot plan with rows labeled CK, IM, IS, IV, and IC, indicating different sections. Dimensions are labeled, with plots 2 meters wide and 3 meters tall. An illustration shows plants spaced 0.25 meters apart.

Figure 2. A random block design was adopted in the field trial, and the distribution of each cell is shown in (A). (B) shows the planting methods used for wheat in the monoculture wheat plot. (C) shows the planting of wheat in an intercropping legume green manure plot. CK stands for the wheat monocropping treatment, IM stands for the wheat intercropped with Chinese milk vetch treatment, IC stands for the wheat intercropped with clover treatment, IS stands for the wheat intercropped with smooth vetch treatment, and IV stands for the wheat intercropped with common vetch treatment.

During the growth period of monoculture wheat, 270 kg of pure nitrogen (N), 105 kg of phosphorus pentoxide (P2O5), and 150 kg of potassium oxide (K2O) were applied per hectare. In the wheat intercropping system, the application of leguminous green manure was reduced by 30% compared with that of monoculture wheat, resulting in the application of 189 kg of pure N, 73.5 kg of P2O5, and 105 kg of K2O per hectare. The fertilizers used included a compound fertilizer (N2:P2O5:K2O = 18:18:8), urea (containing 46.4% N), and potassium sulfate (containing 52% K2O). All the compound and potassium fertilizers were applied as base fertilizers, with 60% of the nitrogen fertilizer applied at planting and 40% applied as topdressing after the wheat booting stage. Irrigation was conducted as necessary on the basis of soil moisture to manage diseases, pests, and weeds.

Soil samples were collected randomly from the topsoil (0–20 cm) using the S-shaped sampling method during the overwintering (S1), jointing (S2), heading (S3), and ripening (S4) stages of wheat, with each stage sampled three times. A portion of each sample was sieved through a 2 mm sieve to evaluate the soil physicochemical properties, whereas another portion was stored in a -80°C freezer for microbial community analysis. One meter of uniformly growing wheat plants was randomly selected from each community for yield testing. Additionally, ten uniformly growing wheat plants were randomly chosen to assess agronomic traits and nutrient absorption and utilization indicators.

2.3 Determination of experimental indicators

2.3.1 Determination of yield, agronomic traits and nutrient accumulation in wheat

During the maturation stage of wheat, uniformly growing plants from each plot were manually harvested at a depth of 1 m to evaluate yield and grain moisture content. The final yield was standardized to a moisture content of 13%, and various agronomic traits were recorded. The key traits included spike number, grains per spike, thousand-grain weight, and stem count. To determine the number of grains per ear, ten uniformly growing wheat ears were randomly selected from each plot, and the average grain count was calculated. The thousand-grain weight refers to the weight of 1,000 grains. Wheat grains and dried straw samples were ground using a grinder (MM400, RETSCH, Germany). The total nitrogen content was then determined via the Kjeldahl method with 5% boric acid and 40% NaOH (Chapman et al., 1961). The total phosphorus content is estimated via spectrophotometry (Watanabe and Olsen, 1965), and the total potassium content is measured with a flame photometer (Chapman et al., 1961). Nutrient absorption levels (N, P, K) in each organ were calculated by multiplying the dry weight (kg ha−1) by the corresponding nutrient concentration (g kg−1). Total nutrient absorption in the aboveground biomass (kg ha−1) is determined by summing nutrient absorption across all organs.

2.3.2 Determination of soil physicochemical properties

The soil moisture content (SMC) was determined via the drying method (Chehab et al., 2020). The soil bulk density (SBD) was measured via the core method (Wang et al., 2021). The soil porosity (SP) was calculated from the SBD and density. The pH value was measured via the potentiometric method with a soil-to-water ratio of 1:2.5 (Li H. et al., 2021). The alkaline hydrolysis nitrogen content was measured via the alkaline hydrolysis diffusion method. AP was determined via the sodium bicarbonate extraction colorimetric method (Xiong et al., 2015), and SOM was measured via the potassium dichromate volumetric method with external heating (Wang et al., 2016). The soil enzyme activity was determined following methods from Zhao et al. (2016). Sucrase (SUC) was measured via the 3,5-dinitrosalicylic acid colorimetric method. Urease (URE) was measured via the sodium phenolate–sodium hypochlorite colorimetric method. Acid phosphatase (ACP) activity was assessed via the disodium phenyl phosphate colorimetric method. CAT activity was measured via the permanganate titration method.

2.3.3 Determination of soil bacterial communities

The soil samples stored at -80°C were retrieved, and 0.5 g was weighed for microbial DNA extraction via the Omega Biotek e.z.n.a.® reagent kit (Norcross, GA, USA). The V3-V4 variable region of the bacterial 16S rRNA gene, approximately 468 bp long, was selected for sequencing. The amplification primers used were 338F (5’-block+ACTCCTACGGGAGGCAGCA-3’) and 806R (5’-GACTACHVGGGTWTCTAAT-3’).

The bacterial PCR conditions included initial denaturation at 95°C for 5 minutes. This was followed by 30 seconds of denaturation at 95°C, 30 seconds of annealing at 55°C, and 45 seconds of extension at 72°C. This cycle was repeated 27–30 times, with a final extension at 72°C for 5 minutes. A 6-base barcode was added to each sample for identification. The PCR was performed in a 30 μL mixture, which consisted of 15 μL of high-fidelity DNA polymerase, 1 μL each of forward and reverse primers (10 μM), and 20 ng of template DNA.

The amplicon was extracted from a 2% agarose gel and purified using the AxyPrep DNA Gel Extraction Kit (Axygen Biosciences, Union City, CA, USA) according to the manufacturer’s instructions. It was then quantified with a Qubit® 3.0 (Life Technologies, Invitrogen). The amplicons were mixed with an average of 20 different barcodes and constructed into an Illumina end-to-end library via Illumina’s genomic DNA library preparation procedure. Finally, the amplicon library was subjected to paired-end sequencing according to the standard protocol on the Illumina NovaSeq 6000 platform.

2.4 Statistical analysis

The data in this study were organized via Microsoft Excel and analyzed for normality and variance via SPSS version 25.0 (IBM, USA). One-way analysis of variance (ANOVA) and Duncan’s honestly significant difference (HSD) test (P < 0.05) were employed to assess differences in soil physicochemical properties, enzyme activity, wheat yield, and constituent factors across various intercropping treatments.

The original microbiome sequences were processed via QIIME 2 (2019) software. This included quality filtering, merging, and optimizing the raw sequencing data. For the 16S rRNA gene analysis, the default reference was the Silva 138 rRNA database (Edgar, 2013). Species classification information corresponding to each amplicon sequence variant (ASV) was obtained by aligning ASV sequences with the Silva bacterial database.

QIIME 2 software was used to generate rarefaction curves, which helped evaluate whether the current sample size accurately reflected changes in the bacterial community structure. The diversity indices of the soil bacterial communities were calculated, with a focus on alpha diversity through the Chao1 and Shannon indices. These indices indicate the richness and diversity of bacterial communities, respectively. Nonmetric multidimensional scaling (NMDS) analysis was performed via the vegan package in R, whereas statistical tests were conducted via permutation multivariate analysis of variance (PERMANOVA). Additionally, redundancy analysis (RDA) was used to demonstrate the associations between the soil bacterial community composition and physicochemical factors.

3 Results

3.1 Wheat yield, agronomic traits, and nutrient accumulation and distribution

3.1.1 Wheat yield and agronomic traits

The effects of intercropping various legume green manures on wheat yield and agronomic traits are summarized in Table 1. There were no significant differences in wheat yield between the intercropping treatments (IM and IC) and monocropped wheat (P ≥ 0.05). However, yields in the control under the IS and IV treatments significantly decreased (P < 0.05), with reductions of 7.51% and 5.98%, respectively. Compared with those of monocropped wheat, the number of grains per spike and the weight of 1,000 grains significantly increased in the IM, IC, and IS treatments (P < 0.05). The IM treatment resulted in the greatest increase in the number of grains per spike, which increased by 18.63% compared with the CK. The largest increase in the 1000-grain weight was observed in the IC treatment, which was 8.04% higher than that of the CK. Conversely, these intercropping treatments resulted in a significant reduction in the number of tillers and panicles compared with those of the monocropped wheat (P < 0.05). Among the treatments, the IV treatment showed the most significant decrease in both the number of wheat stem nodules and the number of grains per spike, with a decrease of 13.75% in the former and 29.41% in the latter.

Table 1
www.frontiersin.org

Table 1. Effects of intercropping with different types of legume green manure on wheat agronomic traits.

3.1.2 Accumulation of nutrients in the aboveground parts of wheat

The effects of intercropping various leguminous green manures on the accumulation of nitrogen, phosphorus, and potassium in the aboveground parts of wheat at maturity are illustrated in Figure 3. Compared with the monocropping wheat, both the IM and IC treatments significantly increased total nitrogen accumulation in the aboveground parts (P < 0.05) for nitrogen and phosphorus accumulation (2A and 2B). Notably, the IM treatment resulted in the greatest total nitrogen and potassium accumulation in the aboveground parts. Intercropping with different leguminous green manures increased nitrogen and phosphorus accumulation in wheat grains but reduced nitrogen levels in wheat stems. This finding indicates that intercropping with leguminous green manures shifts nitrogen allocation from the stems to the grains. Compared with monocropping wheat, intercropping with various legume green manures resulted in decreased total potassium in the aboveground parts of wheat, less potassium flow to the grains, and increased potassium flow to the stems.

Figure 3
Three bar charts compare nutrient uptake in different treatments: CK, IM, IC, IS, and IV. Chart A shows nitrogen uptake, Chart B shows phosphorus uptake, and Chart C shows potassium absorption. Each chart is divided into kernel and straw contributions, indicated by different colors. Statistical letters above bars denote significant differences between treatments.

Figure 3. Effects of intercropping with different types of legume green manure on the above-ground nutrient accumulation of wheat. Nitrogen accumulation in kernels and straw (A), phosphorus accumulation in grains and straw (B), and potassium accumulation in grains and straw (C). Different lowercase letters (a, b, c) indicate significant differences between treatments (P < 0.05).

3.1.3 Accumulation and utilization efficiency of nutrients in the aboveground parts of wheat

Table 2 presents the effects of intercropping various leguminous green manures on the absorption and utilization efficiency of nitrogen, phosphorus, and potassium in the aboveground parts of wheat. Compared with those of monoculture wheat, the absorption efficiencies of nitrogen, phosphorus, and potassium in the IM, IC, IS, and IV treatments were significantly greater (P < 0.05). The increases ranged from 41.11% to 57.78% for nitrogen, 46.15% to 69.23% for phosphorus, and 25.81% to 43.55% for potassium. However, the nitrogen and phosphorus utilization efficiencies in the IM, IC, IS, and IV treatments decreased relative to those in the CK (P < 0.05), with reductions of 5.50% to 13.60% for nitrogen and 9.58% to 20.76% for phosphorus. On the other hand, potassium utilization efficiency increased overall in all the treatments compared with that in the CK, with the IV treatment achieving the most significant improvement at 8.47%. Based on these results, intercropping with leguminous green manure crops enhances nitrogen and phosphorus absorption efficiency but reduces their utilization efficiency.

Table 2
www.frontiersin.org

Table 2. Effects of intercropping different legume green manures on aboveground nutrient uptake and utilization efficiency in wheat.

3.2 Physical and chemical properties of the soil

3.2.1 Soil nutrient content

As the reproductive period progressed, both the soil pH and the SOM content of the intercropped leguminous green manure treatments exhibited an increasing trend compared to the CK (Figures 4A, B). The overwintering stage (S1), jointing stage (S2), heading stage (S3), and ripening stage (S4) all exhibited significant improvements in soil pH as a result of the IS treatment, which increased by 3.71%, 4.06%, 4.55%, and 6.73%, respectively, compared to the CK. During S1, S2, S3, and S4, SOM was significantly higher (P < 0.05) in the IS and IV treatments compared to the CK treatment. The most substantial increase in SOM content was observed in the IS treatment across all periods, with increases of 25.53%, 19.13%, 27.62%, and 25.76%, respectively, compared to CK during all fertility periods. The AN content varied significantly across different periods (Figure 4C). In the S2 period, the soil AN content in the IM, IC, IS, and IV treatment test plots exhibited an increasing trend compared to the S1 period, with increases of 11.59%, 6.04%, 15.98%, and 5.65%, respectively. At this time, the IS treatment test plot exhibited the largest increase in AN content, which was 15.44 mg kg-1 higher than during the S1 period. In contrast, the IV treatment test plot showed the smallest increase in AN content, with an increase of only 5.91 mg kg-1 compared to the S1 period. During the S3 and S4 periods, the content of AN gradually decreased. There were significant differences in the quick-acting phosphorus content among the various treatments; however, the overall trend indicated that the AP content for each treatment initially increased and then decreased as the reproductive period progressed (Figure 4D). During S2 and S3, the AP content in the IM, IC, IS, and IV treatments gradually increased compared to S1. The most significant increase was observed in the IM treatment at S3, which was 2.24 mg kg−1 higher than that of S1. During the S4 period, the impact of intercropping leguminous green manure treatments on the AP content in wheat exhibited a decreasing trend compared to the S3 period.

Figure 4
Four bar charts labeled A to D compare soil properties across four growth stages (S1 to S4) for five treatments: CK, IM, IC, IS, and IV. Chart A shows soil pH, chart B displays organic matter content, chart C illustrates alkali-hydrolyzed nitrogen levels, and chart D indicates available phosphorus content. Different letters indicate statistically significant differences among treatments. The colors light green, green, light blue, blue, and dark blue represent the treatments.

Figure 4. Effects of intercropping with different legume green manures on the soil nutrient content. Effects of intercropping various legume green fertilizers on soil pH (A), organic matter (B), alkali-hydrolyzed nitrogen (C), and available phosphorus (D). Different lowercase letters (a, b, c, d) indicate significant differences between treatments (P < 0.05). S1 represents the overwintering stage, S2 represents the jointing stage, S3 represents the heading stage, and S4 represents the ripening stage.

3.2.2 Soil enzyme activities

With advancements in fertility processes, the SUC and CAT activities of each intercropped leguminous green manure treatment exhibited a trend of initially increasing and then decreasing. (Figures 5A, B) In contrast, there was no significant change in soil SUC activity in the CK test plot. Soil SUC activity was significantly higher (P < 0.05) in the IM, IC, IS, and IV treatments compared to the CK during S1, S2, S3, and S4. The CAT activity of all intercropped leguminous green manure treatments exhibited a gradual increase during the S1, S2, and S3 periods. In the S3 period, the soil CAT activity for the IM, IC, IS, and IV treatments increased by 7.42%, 3.71%, 13.61%, and 9.14%, respectively, compared to the S1 period. During the S4 period, the CAT activity of all intercropped leguminous green manure treatments exhibited a gradual decline compared to the S3 period. Specifically, the soil CAT activity for the IM, IC, IS, and IV treatments decreased by 2.30%, 5.63%, 12.48%, and 6.24%, respectively, in comparison to the CK. The URE activity of each intercropped legume green manure treatment exhibited a gradual increase as the fertility process progressed. (Figure 5C) During different fertility periods, all treatments demonstrated the most significant enhancement of soil URE activity through IC treatment. Soil urease activity increased by 32.24%, 20.61%, 25.09%, and 21.84%, respectively, compared to the CK during the fourth sampling period S4. The trends in soil ACP activity, as well as soil SUC and CAT activity, during the primary fertility period of each intercropped legume green manure treatment were notably consistent (Figure 5D). These trends exhibited an initial increase followed by a subsequent decrease. Specifically, the activities gradually rose, reaching their maximum values during the S1, S2, and S3 periods, before beginning to decline in the S4 period.

Figure 5
Bar charts labeled A to D show enzyme activities over four growth stages (S1 to S4) for different treatments (CK, IM, IC, IS, IV). A: Sucrase activity increases slightly across stages. B: Catalase activity remains relatively stable. C: Urease activity shows moderate variation. D: Acid phosphatase activity is consistent with minor fluctuations. Variability is indicated by error bars, and significant differences are marked by letters.

Figure 5. Effects of intercropping with different types of legume green manure on soil enzyme activity. Effects of intercropping various legume green manures on sucrase (A), catalase (B), urease (C), and acid phosphatase (D) activity. Different lowercase letters (a, b, c) indicate significant differences between treatments (P < 0.05).

3.3 Soil bacterial community composition and diversity

3.3.1 Composition of the soil bacterial community structure

The effects of intercropping various leguminous green manures on the composition of the soil bacterial community structure are illustrated in Figure 6. Among the leguminous green manure treatments, Proteobacteria had the highest relative abundance (6A), followed by Acidobacteriota, Chloroflexi, and Gemmatimonadota, which contributed 21.75–26.32%, 18.24–23.37%, 14.15–17.38%, and 5.97–8.10% of the total bacterial count, respectively. Compared with monoculture wheat, bacterial taxa with a relative abundance greater than 1% in the soil community for the IM, IC, IS, and IV treatments represented 95.17%, 97.29%, 96.10%, 96.59%, and 96.70% of the total bacteria, respectively. Compared with those in monoculture wheat, the relative abundances of Zygomycota, Actinobacteria, and Proteobacteria in the IM and IV treatments increased, whereas the relative abundance of Chloroflexia decreased across all intercropping treatments. These findings indicate that intercropping different leguminous green manures elicits diverse responses in the predominant soil bacteria. At the taxonomic level of the soil bacterial community composition (6B), the IM, IC, and IS treatments increased the relative abundances of the Subgroup_7, Ellin6067, and Sphingomonas genera compared with those in the CK. Overall, the relative abundance of the Subgroup_7 genus in the soil treated with IS was the highest, increasing by 33.21% compared with that in the CK, whereas the Sphingomonas genus presented the greatest relative abundance in the IM treatment, with a 40.09% increase compared with that in the CK. In contrast, intercropping with different leguminous green manures resulted in a reduction in the relative abundance of the Vicinamibacteraceae and Haliangium genera.

Figure 6
Bar charts labeled A and B show relative abundance percentages for different bacterial groups. Chart A highlights diverse bacteria like Proteobacteria and Acidobacteriota, while chart B focuses on Subgroup_7 and Sphingomonas. Both charts compare samples CK, IM, IC, IS, and IV.

Figure 6. Analysis of the differences in soil bacterial community composition when intercropped with various legume green manures. (A) shows the relative abundance of soil bacterial communities at the phylum classification level, and (B) shows the relative abundance of soil bacterial communities at the genus classification level.

3.3.2 Diversity of soil bacterial communities

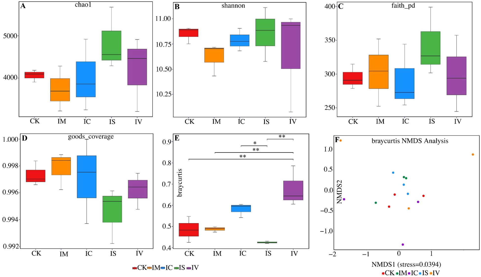
The effects of intercropping various leguminous green manures on soil bacterial community diversity are illustrated in Figure 7. The average Chao1 index values, ranked from highest to lowest, are as follows: IS, IV, IC, CK, and IM (7A). These findings indicate that intercropping wheat with Chinese milk vetch does not increase soil bacterial richness. In contrast, intercropping with crimson clover, smooth vetch, or common vetch increased soil bacterial richness. The Shannon indices, arranged from high to low, were as follows: IS, IV, CK, IC, and IM (7B), demonstrating that the IS and IV treatments improved community diversity. The Faith_pd index revealed that different leguminous green manure treatments increased the genetic diversity of the soil bacterial communities, with the IS treatment having the most significant positive effect (7C).

Figure 7
Six-panel chart showing box plots (A-E) and a scatter plot (F). Panels A to D display Chao1, Shannon, Faith_pd, and Goods Coverage indices for groups CK, IM, IC, IS, and IV. Panel E shows Bray Curtis distances with significance marked by asterisks. Panel F is a Bray Curtis NMDS scatter plot, stress = 0.0394, illustrating group dispersion with colored dots corresponding to groups CK, IM, IC, IS, and IV.

Figure 7. Analysis of the differences in the diversity of the soil bacterial community in response to intercropping with different legume green manures. Effects of intercropping different legume green fertilizers on soil bacterial communities: Chao1 index (A), Shannon index (B), Faith_pd index (C), Good’s coverage (D), substitution multiple variance analysis (E), and NMDS analysis (F). *indicates a significant difference, while the symbol, **indicates an extremely significant difference.

The Good’s coverage index for each treatment ranged from 0.992 to 1, indicating adequate species coverage and sufficient sampling for accurately representing changes in bacterial community diversity (7D). The stress value from the NMDS results was 0.0394, which is below the threshold of 0.2 (7F). This suggests minimal differences in bacterial communities among the treatments. The proximity observed between the CK treatment and the IM, IC, and IS treatments indicates that these intercropping leguminous green manures led to only slight differences in soil bacteria compared with those in the CK. Furthermore, the PERMANOVA intergroup difference analysis (7E) of wheat monocultures versus various intercropped leguminous green manures supported the NMDS findings, confirming significant differences in the beta diversity of bacterial communities across the treatments. These findings confirm that intercropping with different leguminous green manures distinctly affects the composition of the soil bacterial community structure.

4 Discussion

4.1 Effects of intercropping with different leguminous cover crops on wheat yield, agronomic traits, and nutrient accumulation and distribution

In the present study, intercropping of different legume green manure treatments significantly increased the number of grains and thousand kernel weight of wheat spikes while decreasing the number of spikes and tillers compared to monoculture wheat. This may be due to the good long-term synergistic effect between ecological factors such as water, fertilizer, gas, light, temperature, etc. in the near-surface layer under intercropping cultivation, where crops are able to utilize natural conditions such as land resources, light, water and nutrients more effectively. It was also found that the intercropping legume green manure kept the sabre leaves of the wheat bright green during the later stages of growth, thus providing sustained productivity for continued photosynthesis and facilitating the transfer of more nutrients to the wheat grain, which in turn increased the number of spikes and thousand kernel weight of the wheat (Nasar et al., 2022). We increased the seeding density of wheat per row in the intercropping pattern, and too high seeding density leads to ineffective tillering, more pollen abortion, wasted nutrient and water use, and shading that leads to premature plant senescence (Jiang et al., 2023), which affects tillering and spike formation in wheat. In addition, wheat yields of both the intercropped smooth vetch and intercropped common vetch treatments were reduced compared to the wheat monoculture, probably because both legume green manures are climbers (Li et al., 2021), which would entangle on the wheat stalks during the flowering period, interfering with wheat irrigation and ultimately leading to reduced yields. Wheat intercropped with Chinese milk vetch and wheat intercropped with crimson clover treatments were essentially the same in terms of yield compared to wheat monoculture, suggesting that wheat is not affected by stem entanglement of these two legume green manures in the later stages of growth (Bista and Dahal, 2018). Competition between plants became more intense compared to the control, which weakened their ability to regenerate tillers and led to fragmentation of nutrient distribution. At the same time, pollen abortion increased and grain yield and thousand kernel weight decreased.

In intercropping systems, different crop combinations have complementary effects on nutrient absorption and utilization in terms of time and space (Zhang and Li, 2003). Compared with monocultures, intercropping enhances nutrient absorption capacity, thereby increasing yield (Zhang et al., 2015). In our study, the IM, IC, IS, and IV treatments significantly increased aboveground nitrogen accumulation (P < 0.05) relative to that of monoculture wheat. This increase may result from the strong nitrogen fixation ability of leguminous green manure, which increases the nutrient pool in the soil and increases nitrogen availability. This, in turn, increases the nitrogen content and uptake in intercropped grass crops (Dos Santos Sousa et al., 2022). Research has indicated that intercropping corn with alfalfa can increase nitrogen accumulation in the aboveground parts of corn and improve its nitrogen absorption and utilization (Shao et al., 2020). Additionally, Van Deynze et al. (2018) reported that, in intercropping systems, leguminous crops transfer nitrogen to gramineous crops through various mechanisms, accounting for approximately 20% to 82% of total nitrogen uptake by those crops. This finding aligns with our results.

Leguminous green manure provides a direct nitrogen source for crops and significantly enhances soil nitrogen utilization efficiency and retention (Ashraf et al., 2004). This occurs through two key mechanisms: it increases nitrogen absorption directly and increases both AN and AP levels in the soil (Gao et al., 2024). This study revealed that, compared with monoculture wheat, intercropping with leguminous green manure reduced the soil AN content. As a result, it led to decreased nitrogen and phosphorus utilization efficiency in wheat. Research on maize–soybean intercropping has shown that such practices increase nitrogen content, uptake, and use efficiency in maize, especially with optimized nitrogen fertilizer applications. This improvement is largely due to better rhizosphere conditions and nutrient contributions from soybean (Yong et al., 2018). Additionally, other studies have indicated that planting leguminous green manure can increase the soil AP content and increase phosphorus uptake in crops, leading to improved phosphorus absorption efficiency (Pavinato et al., 2017). Our experiment supports this view, showing that, compared with monoculture, all intercropping treatments with different leguminous green manures enhanced phosphorus absorption efficiency.

4.2 Effects of intercropping with different leguminous cover crops on soil physical structure, nutrient content, and enzyme activity

Previous studies have shown that intercropping systems can increase nutrient contents (Wang et al., 2022). Our results confirmed that the contents of AP and SOM were higher in wheat intercropped with a leguminous green manure system than in monocropped wheat during S1, S2, S3, and S4. These findings indicate that intercropping influences nutrient dynamics by increasing soil organic carbon in the rhizosphere and changing the soil phosphorus composition. This process converts more stable phosphorus into its active form (Yang et al., 2022), thus increasing both the SOM and AP contents (Inal et al., 2007; Singh et al., 2021). Moreover, intercropping with leguminous green manure can increase soil phosphatase activity (Chamkhi et al., 2022) or activate phosphorus through the root exudates of green manure. This leads to increased phosphorus availability in the soil. In this research, we found that the soil’s AN content in the IM, IS, and IV treatments exhibited a decreasing trend at S4 compared to monocropped wheat. This decline is primarily attributed to the fact that, at this stage—when both green manure and wheat crops are at their peak growth—wheat plants have a significant demand for nitrogen, which depletes the soil’s alkaline dissolved nitrogen content (Du and Xue, 2017). Similar conclusions have been reached in other studies. Ding et al. (2021) reported that green manure application significantly increased the soil pH and effectively reduced soil acidification. In this experimental study, it was found that intercropping with leguminous green manure resulted in an increase in soil pH for wheat during the S1, S2, S3, and S4 periods compared to monocropping wheat. Among the treatments, the IS treatment exhibited the most significant increase in pH. This effect may be attributed to the greater biomass of sweet potato than of other leguminous green manures, which enhances the field water-holding capacity and improves the buffering ability of the soil against carbonates (Odlare et al., 2008), promoting a shift in soil pH toward neutrality.

Enzymes, as key factors influencing soil nutrient cycling, have activities that are closely related to plant growth (Ren et al., 2021). The experimental findings revealed that, compared to monoculture wheat, intercropping with leguminous green manure during the S1, S2, S3, and S4 periods increased the activities of URE, SUC, and ACP. This improvement may result from alterations in the physical and chemical properties of the soil due to the use of green manure. These changes facilitate the acquisition of carbon and nitrogen sources, stimulating an increase in soil microbial biomass and enzyme activity (Piotrowska and Wilczewski, 2012). A positive correlation between soil enzyme activity and SOM content has been established (Wei et al., 2015), an association confirmed in this study. Additional research indicates that intercropping leguminous green manure in rubber plantations enhances urease, catalase, polyphenol oxidase, and sucrase activities. This significantly improves soil quality and promotes rubber tree growth (Shamshuddin et al., 2004). Collectively, these results suggest that, compared with monoculture practices, intercropping systems increase soil enzyme activity and nutrient contents (Wang et al., 2014).

4.3 Effects of intercropping with different leguminous cover crops on the community structure and composition of soil bacteria

Planting and utilizing green manure can increase the soil nutrient content and alter microbial diversity and stability, making it a valuable agricultural strategy (Özbolat et al., 2023). This study revealed that, compared with wheat monoculture, intercropping with smooth vetch or common vetch increased both the Chao 1 index and the Shannon index. Among them, intercropping with smooth vetch significantly increased the Chao 1 and Shannon indices the most. This might be related to the fact that it had the highest soil organic matter content in each period, provided a rich source of carbon to the soil. thereby indirectly promoting the improvement of soil bacterial community diversity (Xu et al., 2023). These findings indicate that intercropping with leguminous green manure enhances soil bacterial species richness and diversity. During the maturity stage of wheat, leguminous green manure approaches the end of its life cycle, initiating decomposition. The breakdown of green manure residue improves the soil aggregate structure, loosens the soil, and creates space for microbial activity (Zhang et al., 2023c). The primary components of decomposed green manure include cellulose, lignin, and hemicellulose. Beneficial microorganisms, such as Pseudomonas and Arthrobacter, can hydrolyze these components into smaller molecular compounds or monomers with enzymes such as cellulase. This process further promotes nutrient release from straw (Guo et al., 2020; Kielak et al., 2016). Consequently, the relative abundance of these beneficial bacteria and the soil nutrient content increase during decomposition (He et al., 2020). However, a sufficient nutrient supply during this process is vital for the growth of less common bacteria, which may increase bacterial community diversity.

This study revealed that Proteobacteria, Acidobacteria, Chloroflexia, and Bacteroidetes were the most abundant bacterial phyla across various intercropping systems, which is consistent with previous findings (Bai et al., 2022; Huang et al., 2022). Notably, in intercropping systems—particularly in the IC treatment—Proteobacteria levels peaked (Figure 5A). Many nitrogen-fixing bacteria belong to the Proteobacteria phylum (Rahav et al., 2016). Therefore, we speculate that leguminous green manure may utilize these specific bacterial communities to increase nitrogen acquisition. Acidobacteria are primarily acidophilic, thrive in acidic environments, and constitute approximately 20% of the total bacterial population (Jones et al., 2009). Research has shown an inverse correlation between Acidobacteria abundance and soil pH within a certain range (Lauber et al., 2008), with greater relative abundance in acidic soils. Our experiment confirmed this trend, as the experimental soil remained acidic throughout the study period, resulting in a relatively high relative abundance of Acidobacteria. Moreover, the dominant bacterial genera across all the treatments included Subgroup_7, Sphingomonas, Vicinamibacteraceae, and KD4-96. Sphingomonas is crucial for phosphate solubilization (Daniel et al., 2009). Its enrichment can improve soil nutrients and stimulate plant growth. Therefore, intercropping with various leguminous green manures can increase the abundance of beneficial bacterial phyla and genera, creating a more favorable micro-ecological environment for crops.

5 Conclusions

This study showed that intercropping legume green manures (IM, IC, IS, and IV) effectively improved soil physicochemical properties and enzyme activities and mitigated the risk of possible wheat yield reduction due to chemical fertilizer reduction, compared to monocropping wheat (CK), with a 30% reduction in fertilizer application, doubling the sowing density of wheat in each row (twice that of monocropping), and maintaining the same level of other field management practices. Meanwhile, the changes in soil nutrient content and enzyme activities also contributed to the changes in soil bacterial community richness and diversity, among which the IS treatment had the most significant effect on enhancing the richness and diversity of soil bacterial community, which was manifested in the growth of Chao 1 index and Shannon index. IC treatment significantly increased the relative abundance of the Proteobacteria in the soil, while IS treatment significantly increased the relative abundance of the Acidobacteria. In terms of yield performance, wheat thousand kernel weight and number of spikes were better in the IC treatment than in the IM, IS, and IV treatments, and their yields were almost equal to those of conventional wheat (CK). Overall, this study provides a scientific basis for the rational intercropping of leguminous green manure in wheat production to replace some chemical fertilizers, thus contributing to the health and sustainable development of farmland ecosystems.

Data availability statement

The original data has been uploaded to the GSA database and can be accessed via https://ngdc.cncb.ac.cn/gsa/browse/CRA032294. The project number is PRJCA049091.

Author contributions

HYW: Software, Writing – original draft, Investigation. HW: Investigation, Writing – original draft. HY: Writing – review & editing, Software. XYL: Investigation, Writing – review & editing. XBL: Investigation, Writing – original draft. YG: Methodology, Writing – original draft. YS: Writing – original draft, Investigation. JL: Conceptualization, Writing – review & editing. DY: Methodology, Writing – original draft. ZS: Writing – original draft, Funding acquisition, Writing – review & editing, Supervision.

Funding

The author(s) declare financial support was received for the research and/or publication of this article. This work was supported by the Agricultural Science and Technology Innovation Project of Suzhou City (grant number: SNG2022049) and 2023 Jiangsu Province Agricultural Science and Technology Autonomous Innovation (Industry Key Core Technology Autonomous Research) Project (No. CX(23)1020).

Acknowledgments

The authors express their gratitude to the chief editor and reviewers for their insightful comments. The authors further thank the Agrostology Laboratory at Nanjing Agricultural University for furnishing the location and instrumental platform necessary for testing and acquiring data on the relevant indicators presented in the paper. Additionally, the authors would like to acknowledge Zongkun Hou, the manager of Kunji Family Farm in Luhe District, Nanjing City, Jiangsu Province, for providing site support for this experiment and assisting with field management throughout the crop growth period.

Conflict of interest

The authors declare that the research was conducted in the absence of any commercial or financial relationships that could be construed as a potential conflict of interest.

Generative AI statement

The author(s) declare that no Generative AI was used in the creation of this manuscript.

Any alternative text (alt text) provided alongside figures in this article has been generated by Frontiers with the support of artificial intelligence and reasonable efforts have been made to ensure accuracy, including review by the authors wherever possible. If you identify any issues, please contact us.

Publisher’s note

All claims expressed in this article are solely those of the authors and do not necessarily represent those of their affiliated organizations, or those of the publisher, the editors and the reviewers. Any product that may be evaluated in this article, or claim that may be made by its manufacturer, is not guaranteed or endorsed by the publisher.

Supplementary material

The Supplementary Material for this article can be found online at: https://www.frontiersin.org/articles/10.3389/fpls.2025.1618555/full#supplementary-material

References

Ashraf, M., Mahmood, T., Azam, F., and Qureshi, R. M. (2004). Comparative effects of applying leguminous and non-leguminous green manures and inorganic N on biomass yield and nitrogen uptake in flooded rice (Oryza sativa L.). Biol. Fertil Soils 40, 147–152. doi: 10.1007/s00374-004-0756-0

Crossref Full Text | Google Scholar

Bai, Y., Li, B., Xu, C., Raza, M., Wang, Q., Wang, Q., et al. (2022). Intercropping walnut and tea: effects on soil nutrients, enzyme activity, and microbial communities. Front. Microbiol. 13, 852342. doi: 10.3389/fmicb.2022.852342

PubMed Abstract | Crossref Full Text | Google Scholar

Bista, B. and Dahal, S. (2018). Cementing the organic farming by green manures. Int. J. Appl. Sci. Biotechnol. 6, 87–96. doi: 10.3126/ijasbt.v6i2.20427

Crossref Full Text | Google Scholar

Carvalho, F. P. (2017). Pesticides, environment, and food safety. Food Energy Secur 6, 48–60. doi: 10.1002/fes3.108

Crossref Full Text | Google Scholar

Chamkhi, I., Cheto, S., Geistlinger, J., Zeroual, Y., Kouisni, L., Bargaz, A., et al. (2022). Legume-based intercropping systems promote beneficial rhizobacterial community and crop yield under stressing conditions. Ind. Crops Prod 183, 114958. doi: 10.1016/j.indcrop.2022.114958

Crossref Full Text | Google Scholar

Chapman, H. D., Pratt, P. F., and California. Citrus Experiment Station, R (1961). Methods of analysis for soils, plants, and waters (Riverside: University of California, Division of Agricultural Sciences).

Google Scholar

Chehab, H., Tekaya, M., Hajlaoui, H., Abdelhamid, S., Gouiaa, M., Sfina, H., et al. (2020). Complementary irrigation with saline water and soil organic amendments modified soil salinity, leaf Na+, productivity and oil phenols of olive trees (cv. Chemlali) grown under semiarid conditions. Agric. Water Manag 237, 106183. doi: 10.1016/j.agwat.2020.106183

Crossref Full Text | Google Scholar

Chen, J., van Groenigen, K. J., Hungate, B. A., Terrer, C., van Groenigen, J. W., Maestre, F. T., et al. (2020). Long-term nitrogen loading alleviates phosphorus limitation in terrestrial ecosystems. Glob Chang Biol. 26, 5077–5086. doi: 10.1111/gcb.15218

PubMed Abstract | Crossref Full Text | Google Scholar

Curtright, A. J. and Tiemann, L. K. (2021). Intercropping increases soil extracellular enzyme activity: A meta-analysis. Agr. Ecosyst. Environ. 319, 107489. doi: 10.1016/j.agee.2021.107489

Crossref Full Text | Google Scholar

Daniel, L. M. C., Pozzi, E., Foresti, E., and Chinalia, F. A. (2009). Removal of ammonium via simultaneous nitrification–denitrification nitrite-shortcut in a single packed-bed batch reactor. Bioresour Technol. 100, 1100–1107. doi: 10.1016/j.biortech.2008.08.003

PubMed Abstract | Crossref Full Text | Google Scholar

Ding, T., Yan, Z., Zhang, W., and Duan, T. (2021). Green manure crops affected soil chemical properties and fungal diversity and community of apple orchard in the loess plateau of China. J. Soil Sci. Plant Nutr. 21, 1089–1102. doi: 10.1007/s42729-021-00424-0

Crossref Full Text | Google Scholar

Dos Santos Sousa, W., Soratto, R. P., Peixoto, D. S., Campos, T. S., Da Silva, M. B., Souza, A. G. V., et al. (2022). Effects of Rhizobium inoculum compared with mineral nitrogen fertilizer on nodulation and seed yield of common bean. A meta-analysis. Agron. Sustain Dev. 42. doi: 10.1007/s13593-022-00784-6

Crossref Full Text | Google Scholar

Du, T. Q. and Xue, N. W. (2017). Effects of green manures during fallow on moisture and nutrients of soil and winter wheat yield on the Loss Plateau of China. Emir J. Food Agric. 29, 978–987. doi: 10.9755/ejfa.2017.v29.i12.1568

Crossref Full Text | Google Scholar

Edgar, R. C. (2013). UPARSE: highly accurate OTU sequences from microbial amplicon reads. Nat. Methods 10, 996–998. doi: 10.1038/nmeth.2604

PubMed Abstract | Crossref Full Text | Google Scholar

Gao, X., He, Y., Chen, Y., and Wang, M. (2024). Leguminous green manure amendments improve maize yield by increasing N and P fertilizer use efficiency in yellow soil of the Yunnan-Guizhou Plateau. Front. Sustain Food Syst. 8. doi: 10.3389/fsufs.2024.1369571

Crossref Full Text | Google Scholar

Geng, Y., Cao, G., Wang, L., Wang, S., and Bhadha, J. H. (2019). Effects of equal chemical fertilizer substitutions with organic manure on yield, dry matter, and nitrogen uptake of spring maize and soil nitrogen distribution. PloS One 14, e219512. doi: 10.1371/journal.pone.0219512

PubMed Abstract | Crossref Full Text | Google Scholar

Gu, S., Hu, Q., Cheng, Y., Bai, L., Liu, Z., Xiao, W., et al. (2019). Application of organic fertilizer improves microbial community diversity and alters microbial network structure in tea (Camellia sinensis) plantation soils. Soil Tillage Res. 195, 104356. doi: 10.1016/j.still.2019.104356

Crossref Full Text | Google Scholar

Guo, T., Zhang, Q., Ai, C., Liang, G., He, P., Lei, Q., et al. (2020). Analysis of microbial utilization of rice straw in paddy soil using a DNA-SIP approach. Soil Sci. Soc. Am. J. 84, 99–114. doi: 10.1002/saj2.20019

Crossref Full Text | Google Scholar

Han, Z., Xu, P., Li, Z., Lin, H., Zhu, C., Wang, J., et al. (2022). Microbial diversity and the abundance of keystone species drive the response of soil multifunctionality to organic substitution and biochar amendment in a tea plantation. Global Change Biol. Bioenergy 14, 481–495. doi: 10.1111/gcbb.12926

Crossref Full Text | Google Scholar

He, H.-B., Li, W.-X., Zhang, Y.-W., Cheng, J.-K., Jia, X.-Y., Li, S., et al. (2020). Effects of Italian ryegrass residues as green manure on soil properties and bacterial communities under an Italian ryegrass (Lolium multiflorum L.)-rice (Oryza sativa L.) rotation. Soil Till Res. 196. doi: 10.1016/j.still.2019.104487

Crossref Full Text | Google Scholar

Huang, Z., Cui, C., Cao, Y., Dai, J., Cheng, X., Hua, S., et al. (2022). Tea plant-legume intercropping simultaneously improves soil fertility and tea quality by changing bacillus species composition. Hortic. Res. 9, 3396–3408. doi: 10.1093/hr/uhac046

PubMed Abstract | Crossref Full Text | Google Scholar

Inal, A., Gunes, A., Zhang, F., and Cakmak, I. (2007). Peanut/maize intercropping induced changes in rhizosphere and nutrient concentrations in shoots. Plant Physiol. Biochem. 45, 350–356. doi: 10.1016/j.plaphy.2007.03.016

PubMed Abstract | Crossref Full Text | Google Scholar

Jiang, S., Du, B., Wu, Q., Zhang, H., and Zhu, J. (2023). Increasing pit-planting density of rice varieties with different panicle types to improves sink characteristics and rice yield under alternate wetting and drying irrigation. Food Energy Secur 12. doi: 10.1002/fes3.335

Crossref Full Text | Google Scholar

Jones, R. T., Robeson, M. S., Lauber, C. L., Hamady, M., Knight, R., and Fierer, N. (2009). A comprehensive survey of soil acidobacterial diversity using pyrosequencing and clone library analyses. ISME J. 3, 442–453. doi: 10.1038/ismej.2008.127

PubMed Abstract | Crossref Full Text | Google Scholar

Kielak, A. M., Barreto, C. C., Kowalchuk, G. A., van Veen, J. A., and Kuramae, E. E. (2016). The ecology of acidobacteria: moving beyond genes and genomes. Front. Microbiol. 7, 744. doi: 10.3389/fmicb.2016.00744

PubMed Abstract | Crossref Full Text | Google Scholar

Lange, M., Eisenhauer, N., Sierra, C. A., Bessler, H., Engels, C., Griffiths, R. I., et al. (2015). Plant diversity increases soil microbial activity and soil carbon storage. Nat. Commun. 6, 6707. doi: 10.1038/ncomms7707

PubMed Abstract | Crossref Full Text | Google Scholar

Lauber, C. L., Strickland, M. S., Bradford, M. A., and Fierer, N. (2008). The influence of soil properties on the structure of bacterial and fungal communities across land-use types. Soil Biol. Biochem. 40, 2407–2415. doi: 10.1016/j.soilbio.2008.05.021

Crossref Full Text | Google Scholar

Li, C., Hoffland, E., Kuyper, T. W., Yu, Y., Zhang, C., Li, H., et al. (2020). Syndromes of production in intercropping impact yield gains. Nat. Plants 6, 653–660. doi: 10.1038/s41477-020-0680-9

PubMed Abstract | Crossref Full Text | Google Scholar

Li, L., Li, S., Sun, J., Zhou, L., Bao, X., Zhang, H., et al. (2007). Diversity enhances agricultural productivity via rhizosphere phosphorus facilitation on phosphorus-deficient soils. Proc. Natl. Acad. Sciences-PNAS 104, 11192–11196. doi: 10.1073/pnas.0704591104

PubMed Abstract | Crossref Full Text | Google Scholar

Li, H., Qiu, Y., Yao, T., Han, D., Gao, Y., Zhang, J., et al. (2021). Nutrients available in the soil regulate the changes of soil microbial community alongside degradation of alpine meadows in the northeast of the Qinghai-Tibet Plateau. Sci. Total Environ. 792, 148363. doi: 10.1016/j.scitotenv.2021.148363

PubMed Abstract | Crossref Full Text | Google Scholar

Li, R., Zhang, Z., Tang, W., Huang, Y., and Nan, Z. (2021). Effect of row configuration on yield and radiation use of common vetch-oat strip intercropping on the Qinghai-Tibetan plateau. Eur. J. Agron. 128, 126290. doi: 10.1016/j.eja.2021.126290

Crossref Full Text | Google Scholar

Lin, X. J., Cao, W. D., Wu, Y. Q., Zhang, R., Qiu, X. X., and Zhang, W. G. (2011). Advance in astragalus sinicus research. Pratacultural Sci.

Google Scholar

Liu, J., Shu, A., Song, W., Shi, W., Li, M., Zhang, W., et al. (2021). Long-term organic fertilizer substitution increases rice yield by improving soil properties and regulating soil bacteria. Geoderma 404, 115287. doi: 10.1016/j.geoderma.2021.115287

Crossref Full Text | Google Scholar

Liu, X., Wang, H., Zhou, J., Chen, Z., Lu, D., Zhu, D., et al. (2017). Effect of nitrogen root zone fertilization on rice yield, uptake and utilization of macronutrient in lower reaches of Yangtze River, China. Paddy Water Environ. 15, 625–638. doi: 10.1007/s10333-017-0581-3

Crossref Full Text | Google Scholar

Ma, H., Zhou, J., Ge, J., Nie, J., Zhao, J., Xue, Z., et al. (2022). Intercropping improves soil ecosystem multifunctionality through enhanced available nutrients but depends on regional factors. Plant Soil 480, 71–84. doi: 10.1007/s11104-022-05554-7

Crossref Full Text | Google Scholar

Nasar, J., Wang, G. Y., Ahmad, S., Muhammad, I., Zeeshan, M., Gitari, H., et al. (2022). Nitrogen fertilization coupled with iron foliar application improves the photosynthetic characteristics, photosynthetic nitrogen use efficiency, and the related enzymes of maize crops under different planting patterns. Front. Plant Sci. 13, 988055. doi: 10.3389/fpls.2022.988055

PubMed Abstract | Crossref Full Text | Google Scholar

Naylor, D., Sadler, N., Bhattacharjee, A., Graham, E. B., Anderton, C. R., McClure, R., et al. (2020). Soil microbiomes under climate change and implications for carbon cycling. Annu. Rev. Environ. Resour 45, 29–59. doi: 10.1146/annurev-environ-012320-082720

Crossref Full Text | Google Scholar

Odlare, M., Pell, M., and Svensson, K. (2008). Changes in soil chemical and microbiological properties during 4 years of application of various organic residues. Waste Manage. (Elmsford) 28, 1246–1253. doi: 10.1016/j.wasman.2007.06.005

PubMed Abstract | Crossref Full Text | Google Scholar

Özbolat, O., Sánchez-Navarro, V., Zornoza, R., Egea-Cortines, M., Cuartero, J., Ros, M., et al. (2023). Long-term adoption of reduced tillage and green manure improves soil physicochemical properties and increases the abundance of beneficial bacteria in a Mediterranean rainfed almond orchard. Geoderma 429, 116218. doi: 10.1016/j.geoderma.2022.116218

Crossref Full Text | Google Scholar

Pavinato, P. S., Rodrigues, M., Soltangheisi, A., Sartor, L. R., and Withers, P. J. A. (2017). Effects of cover crops and phosphorus sources on maize yield, phosphorus uptake, and phosphorus use efficiency. Agron. J. 109, 1039–1047. doi: 10.2134/agronj2016.06.0323

Crossref Full Text | Google Scholar

Piotrowska, A. and Wilczewski, E. (2012). Effects of catch crops cultivated for green manure and mineral nitrogen fertilization on soil enzyme activities and chemical properties. Geoderma 189-190, 72–80. doi: 10.1016/j.geoderma.2012.04.018

Crossref Full Text | Google Scholar

Rahav, E., Giannetto, M. J., and Bar-Zeev, E. (2016). Contribution of mono and polysaccharides to heterotrophic N2 fixation at the eastern Mediterranean coastline. Sci. Rep. 6, 27858. doi: 10.1038/srep27858

PubMed Abstract | Crossref Full Text | Google Scholar

Ren, J., Liu, X., Yang, W., Yang, X., Li, W., Xia, Q., et al. (2021). Rhizosphere soil properties, microbial community, and enzyme activities: short-term responses to partial substitution of chemical fertilizer with organic manure. J. Environ. Manage. 299, 113650. doi: 10.1016/j.jenvman.2021.113650

PubMed Abstract | Crossref Full Text | Google Scholar

Shamshuddin, J., Muhrizal, S., Fauziah, I., and Husni, M. H. A. (2004). Effects of adding organic materials to an acid sulfate soil on the growth of cocoa (Theobroma cacao L.) seedlings. Sci. total Environ. 323, 33–45. doi: 10.1016/j.scitotenv.2003.10.003

PubMed Abstract | Crossref Full Text | Google Scholar

Shao, Z., Wang, X., Gao, Q., Zhang, H., Yu, H., Wang, Y., et al. (2020). Root contact between maize and alfalfa facilitates nitrogen transfer and uptake using techniques of foliar 15N-labeling. Agron. (Basel) 10, 360. doi: 10.3390/agronomy10030360

Crossref Full Text | Google Scholar

Singh, S. R., Yadav, P., Singh, D., Shukla, S. K., Tripathi, M. K., Bahadur, L., et al. (2021). Intercropping in sugarcane improves functional diversity, soil quality and crop productivity. Sugar tech: an Int. J. sugar Crops related industries 23, 794–810. doi: 10.10.1007/s12355-021-00955-x

Crossref Full Text | Google Scholar

Spohn, M., Bagchi, S., Biederman, L. A., Borer, E. T., Bråthen, K. A., Bugalho, M. N., et al. (2023). The positive effect of plant diversity on soil carbon depends on climate. Nat. Commun. 14, 6624. doi: 10.1038/s41467-023-42340-0

PubMed Abstract | Crossref Full Text | Google Scholar

van der Bom, F., Nunes, I., Raymond, N. S., Hansen, V., Bonnichsen, L., Magid, J., et al. (2018). Long-term fertilisation form, level and duration affect the diversity, structure and functioning of soil microbial communities in the field. Soil Biol. Biochem. 122, 91–103. doi: 10.1016/j.soilbio.2018.04.003

Crossref Full Text | Google Scholar

Van der Heijden, M. G., Bardgett, R. D., and van Straalen, N. M. (2008). The unseen majority: soil microbes as drivers of plant diversity and productivity in terrestrial ecosystems. Ecol. Lett. 11, 296–310. doi: 10.1111/j.1461-0248.2007.01139.x

PubMed Abstract | Crossref Full Text | Google Scholar

Van Deynze, A., Zamora, P., Delaux, P., Heitmann, C., Jayaraman, D., Rajasekar, S., et al. (2018). Nitrogen fixation in a landrace of maize is supported by a mucilage-associated diazotrophic microbiota. PloS Biol. 16, e2006352. doi: 10.1371/journal.pbio.2006352

PubMed Abstract | Crossref Full Text | Google Scholar

Wang, T., Duan, Y., Liu, G., Shang, X., Liu, L., Zhang, K., et al. (2022). Tea plantation intercropping green manure enhances soil functional microbial abundance and multifunctionality resistance to drying-rewetting cycles. Sci. total Environ. 810, 151282. doi: 10.1016/j.scitotenv.2021.151282

PubMed Abstract | Crossref Full Text | Google Scholar

Wang, T., Xu, Q., Gao, D., Zhang, B., Zuo, H., and Jiang, J. (2021). Effects of thinning and understory removal on the soil water-holding capacity in Pinus massoniana plantations. Sci. Rep. 11, 13029.

Google Scholar

Wang, Z. G., Jin, X., Bao, X. G., Li, X. F., Zhao, J. H., Sun, J. H., et al. (2014). Intercropping enhances productivity and maintains the most soil fertility properties relative to sole cropping. PloS One 9, e113984. doi: 10.1371/journal.pone.0113984

PubMed Abstract | Crossref Full Text | Google Scholar

Wang, L., Yang, F., E, Y., Yuan, J., Raza, W., Huang, Q., et al. (2016). Long-term application of bioorganic fertilizers improved soil biochemical properties and microbial communities of an apple orchard soil. Front. Microbiol. 7, 1893. doi: 10.3389/fmicb.2016.01893

PubMed Abstract | Crossref Full Text | Google Scholar

Watanabe, F. S. and Olsen, S. R. (1965). Test of an ascorbic acid method for determining phosphorus in water and naHCO3 extracts from soil. Soil Sci. Soc. Am. J. 29, 677–678. doi: 10.2136/sssaj1965.03615995002900060025x

Crossref Full Text | Google Scholar

Wei, T., Zhang, P., Wang, K., Ding, R., Yang, B., Nie, J., et al. (2015). Effects of wheat straw incorporation on the availability of soil nutrients and enzyme activities in semiarid areas. PloS One 10, e120994. doi: 10.1371/journal.pone.0120994

PubMed Abstract | Crossref Full Text | Google Scholar

Xiong, W., Zhao, Q., Zhao, J., Xun, W., Li, R., Zhang, R., et al. (2015). Different continuous cropping spans significantly affect microbial community membership and structure in a vanilla-grown soil as revealed by deep pyrosequencing. Microb. Ecol. 70, 209–218. doi: 10.1007/s00248-014-0516-0

PubMed Abstract | Crossref Full Text | Google Scholar

Xu, F., Liu, Y., Du, W., Li, C., Xu, M., Xie, T., et al. (2021). Response of soil bacterial communities, antibiotic residuals, and crop yields to organic fertilizer substitution in North China under wheat–maize rotation. Sci. Total Environ. 785, 147248. doi: 10.1016/j.scitotenv.2021.147248

Crossref Full Text | Google Scholar

Xu, J., Si, L., Zhang, X., Cao, K., and Wang, J. (2023). Various green manure-fertilizer combinations affect the soil microbial community and function in immature red soil. Front. Microbiol. 14, 16. doi: 10.3389/fmicb.2023.1255056

PubMed Abstract | Crossref Full Text | Google Scholar

Yang, Z., Zhang, Y., Wang, Y., Zhang, H., Zhu, Q., Yan, B., et al. (2022). Intercropping regulation of soil phosphorus composition and microbially-driven dynamics facilitates maize phosphorus uptake and productivity improvement. Field Crops Res. 287, 108666. doi: 10.1016/j.fcr.2022.108666

Crossref Full Text | Google Scholar

Yong, T., Chen, P., Dong, Q., Du, Q., Yang, F., Wang, X., et al. (2018). Optimized nitrogen application methods to improve nitrogen use efficiency and nodule nitrogen fixation in a maize-soybean relay intercropping system. J. Integr. Agric. 17, 664–676. doi: 10.1016/S2095-3119(17)61836-7

Crossref Full Text | Google Scholar

Zhalnina, K., Dias, R., de Quadros, P. D., Davis-Richardson, A., Camargo, F. A. O., Clark, I. M., et al. (2015). Soil pH determines microbial diversity and composition in the park grass experiment. Microb. Ecol. 69, 395–406. doi: 10.1007/s00248-014-0530-2

PubMed Abstract | Crossref Full Text | Google Scholar

Zhang, W., Fornara, D., Yang, H., Yu, R., Callaway, R. M., and Li, L. (2023b). Plant litter strengthens positive biodiversity–ecosystem functioning relationships over time. Trends Ecol. Evol. (Amsterdam) 38, 473–484. doi: 10.1016/j.tree.2022.12.008

PubMed Abstract | Crossref Full Text | Google Scholar

Zhang, F. and Li, L. (2003). Using competitive and facilitative interactions in intercropping systems enhances crop productivity and nutrient-use efficiency. Plant Soil 248, 305–312. doi: 10.1023/A:1022352229863

Crossref Full Text | Google Scholar

Zhang, W., Li, Z., Gao, S., Yang, H., Xu, H., Yang, X., et al. (2023c). Resistance vs. surrender: Different responses of functional traits of soybean and peanut to intercropping with maize. Field Crops Res. 291, 108779. doi: 10.1016/j.fcr.2022.108779

Crossref Full Text | Google Scholar

Zhang, Y., Liu, J., Zhang, J., Liu, H., Liu, S., Zhai, L., et al. (2015). Row ratios of intercropping maize and soybean can affect agronomic efficiency of the system and subsequent wheat. PloS One 10, e129245. doi: 10.1371/journal.pone.0129245

PubMed Abstract | Crossref Full Text | Google Scholar

Zhang, G., Yang, H., Zhang, W., Bezemer, T. M., Liang, W., Li, Q., et al. (2023a). Interspecific interactions between crops influence soil functional groups and networks in a maize/soybean intercropping system. Agr. Ecosyst. Environ. 355, 108595. doi: 10.1016/j.agee.2023.108595

Crossref Full Text | Google Scholar

Zhao, J., Ni, T., Li, J., Lu, Q., Fang, Z., Huang, Q., et al. (2016). Effects of organic–inorganic compound fertilizer with reduced chemical fertilizer application on crop yields, soil biological activity and bacterial community structure in a rice–wheat cropping system. Appl. Soil ecology: section Agr. Ecosyst. Environ. 99, 1–12. doi: 10.1016/j.apsoil.2015.11.006

Crossref Full Text | Google Scholar

Keywords: intercropping, green manure, wheat yield, soil properties, bacterial community diversity

Citation: Wang H, Wang H, Yang H, Liu X, Liu X, Guan Y, Shen Y, Li J, Yang D and Sun Z (2025) Legume green manure partial replacement of fertilizers enhances soil microbial diversity and sustains wheat yield. Front. Plant Sci. 16:1618555. doi: 10.3389/fpls.2025.1618555

Received: 26 April 2025; Accepted: 06 October 2025;
Published: 13 November 2025.

Edited by:

Raffaella Maria Balestrini, National Research Council (CNR), Italy

Reviewed by:

Huseyin Canci, Akdeniz University, Türkiye
Hafiz Muhammad Bilal, Government of Punjab, Pakistan

Copyright © 2025 Wang, Wang, Yang, Liu, Liu, Guan, Shen, Li, Yang and Sun. This is an open-access article distributed under the terms of the Creative Commons Attribution License (CC BY). The use, distribution or reproduction in other forums is permitted, provided the original author(s) and the copyright owner(s) are credited and that the original publication in this journal is cited, in accordance with accepted academic practice. No use, distribution or reproduction is permitted which does not comply with these terms.

*Correspondence: Zhengguo Sun, c3VuemdAbmphdS5lZHUuY24=

Disclaimer: All claims expressed in this article are solely those of the authors and do not necessarily represent those of their affiliated organizations, or those of the publisher, the editors and the reviewers. Any product that may be evaluated in this article or claim that may be made by its manufacturer is not guaranteed or endorsed by the publisher.