ORIGINAL RESEARCH article
Front. Plant Sci.
Sec. Plant Metabolism and Chemodiversity
This article is part of the Research TopicAdvancements in Mass Spectrometry for Plant Metabolomics ResearchView all 8 articles
Analysis of metabolites change from reflorescence buds of 'Cuiguan' pear (Pyrus pyrifolia) based on LC-MS/MS
Provisionally accepted- Institute of Horticulture, Sichuan Academy of Agricultural Sciences, chengdu, China
Select one of your emails
You have multiple emails registered with Frontiers:
Notify me on publication
Please enter your email address:
If you already have an account, please login
You don't have a Frontiers account ? You can register here
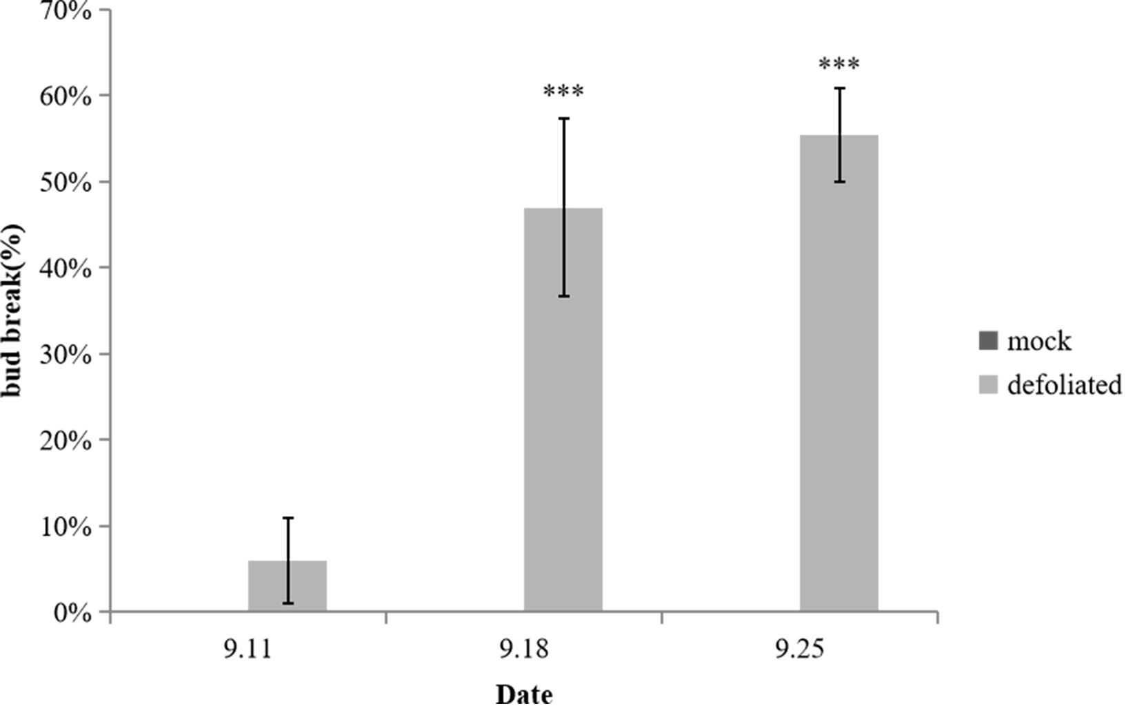
Developed buds of pears (Pyrus pyrifolia) remain in a dormant state and do not break dormancy until the following spring. However, climatic factors and leaf diseases trigger defoliation in late summer and early autumn, which typically results in the bud paradormancy release and subsequent sprouting. This not only depletes tree nutrients but also diminishes the quantity of flowers and the yield of fruit in the following summer. In this study, metabolic changes in 'Cuiguan' pear buds were investigated following premature leaf fall.. A total of 1,533 metabolites were annotated, with the majority being downregulated. Sugar levels decreased during the release of paradormancy, likely to provide energy for subsequent growth. Concurrently, most amino acids were consumed post-defoliation, with only a few showing increased trends. Furthermore, the observed low levels of phenylpropanoid-related metabolites in flower buds may contribute to premature senescence. This metabolic profile contributes to our understanding of the biological mechanism of paradormancy release from defoliation, and clarifies the metabolic changes during this process.
Keywords: pears (Pyrus pyrifolia), reflorescence, defoliation, Metabolomics, buds
Received: 07 May 2025; Accepted: 28 Oct 2025.
Copyright: © 2025 Zhong, Jiang, Tian, Li, Zhong and Zhang. This is an open-access article distributed under the terms of the Creative Commons Attribution License (CC BY). The use, distribution or reproduction in other forums is permitted, provided the original author(s) or licensor are credited and that the original publication in this journal is cited, in accordance with accepted academic practice. No use, distribution or reproduction is permitted which does not comply with these terms.
* Correspondence: Quanjun Zhang, zhangquanjun1975@scsaas.cn
Disclaimer: All claims expressed in this article are solely those of the authors and do not necessarily represent those of their affiliated organizations, or those of the publisher, the editors and the reviewers. Any product that may be evaluated in this article or claim that may be made by its manufacturer is not guaranteed or endorsed by the publisher.
