Your new experience awaits. Try the new design now and help us make it even better

ORIGINAL RESEARCH article

Front. Plant Sci., 08 August 2025

Sec. Plant Nutrition

Volume 16 - 2025 | https://doi.org/10.3389/fpls.2025.1630560

This article is part of the Research TopicRegulation of Stress Tolerance in Plants by BiostimulantsView all 10 articles

Production of ‘Aliança’ papaya seedlings under different dosages and sources of Lithothamnion sp

  • 1Instituto Capixaba de Pesquisa, Assistência Técnica e Extensão Rural, Linhares, Espírito Santo, Brazil
  • 2Departamento de Ciências Biológicas, Centro de Ciências Humanas e Naturais, Universidade Federal do Espírito Santo, Avenida Fernando Ferrari, 514, Goiabeiras, Vitória, Espírito Santo, Brazil
  • 3Departamento de Ciências Agrárias e Biológicas, Centro Universitário Norte do Espírito Santo, Universidade Federal do Espírito Santo, São Mateus, Espírito Santo, Brazil

Introduction: The production ofpapaya seedlings is one of the main steps for establishing crops that present maximum quality performance. Nutritional availability is one of the factors limiting the formation process of quality seedlings, and fertilization is often done without technical criteria. Thus, the objective of this study was to evaluate the effect of different doses of Lithothamnion sp., obtained from different sources, on the development and growth of ’Aliança‘ papaya seedlings.

Methods: The study was developed at the Experimental Farm of the Capixaba Institute of Research, Technical Assistance, and Rural Extension, in the municipality of Linhares, north of the state of Espírito Santo. The experimental design used was randomized blocks in a factorial scheme, where the first factor was composed of three commercial sources of Lithothamnion sp. (LT Supra®; Algen® and Primaz®). The second factor was composed of six different doses, namely: 0; 2; 4; 6; 8; and 10 kg m-3 of Lithothamnion sp. At 37 days after sowing, the seedlings were evaluated for the following characteristics: germination percentage; leaf area; stem length; stem mass fraction; root length; stem diameter; leaf dry mass; stem dry mass; root dry mass; and total dry mass. The content of nitrogen, phosphorus, potassium, calcium, magnesium, and sulfur in the leaves and roots was also evaluated.

Results: The use of Lithothamnion sp. on ’Aliança‘ papaya seedlings promoted leaf and stem growth and development, dry matter accumulation, and improved germination percentage. Lithothamnion sp. from the coast of Espírito Santo (LT supra®) promoted significant gains in germination percentage, leaf area, stem length, root collar diameter, leaf dry matter, stem dry matter, and total dry matter. Lithothamnion sp. from the coast of Maranhão (Algen®) and Bahia (Prima®) increased leaf phosphorus and root sulfur levels.

Discussion: Lithothamnion sp. promoted a biostimulant effect with improved growth and development in ’Aliança‘ papaya seedlings, with a dosage close to 4 kg m-3, with the LT supra® product being the most recommended.

1 Introduction

The papaya tree (Carica papaya L.) is one of the main tropical fruit species, being distributed across all continents. In Brazil, the species is found in all regions, with the country being responsible for producing approximately 1,107,761 tons of papayas in 2022, with cultivation concentrated in the Northeast and Southeast due to favorable edaphoclimatic conditions. Nationally, the state of Espírito Santo stands out as the main producer, with 426,616 tons of papayas in 2022 (Zucoloto et al., 2023, IBGE - Instituto Brasileiro de Geografia e Estatı́stica, 2022).

Currently, the propagation of papaya in commercial plantations in Brazil is mostly done through seeds, with the production of seedlings being one of the main steps in obtaining crops with plants that express their genetic potential and produce fruits with quantity and quality (Weckner et al., 2016). Among the factors that affect the obtaining of quality seedlings is the availability of nutrients, with the interaction between nutrients and soil affecting the availability of nutrients for plants.

In this sense, the use of compounds that improve seedling nutrition is essential for the success of the crop (Bamaniya et al., 2024). Lithothamnion sp. uses calcareous algae and has shown positive effects in improving plant quality as a biostimulant for plants of various species such as jatropha (Evangelista et al., 2016), Arabica coffee (Rodriguez et al., 2017), melon (Negreiros et al., 2019; Marques et al., 2025), tomato (Amatussi et al., 2020), bean (Marques et al., 2023), cucumber (Kakbra, 2024), ornamental plants (Yücedağ and Çiçek, 2024) and potato (Amatussi et al., 2025).

However, for the production of papaya seedlings, nutrition is often done empirically, not respecting technical criteria, which can result in loss of seedling quality and waste of monetary resources, since fertilization can be a significant part of the crop production costs. Furthermore, the mineral composition of algae such as Lithothamnion sp. is strongly influenced by the environment (Carvalho et al., 2020). Therefore, the difference in nutrient content due to the location of the extraction site where Lithothamnion sp. originates is fundamental to understanding the biostimulant effect (Singh et al., 2025).

Thus, knowledge of seedling production protocols allows for the optimization of resources, reducing environmental and economic impacts. Therefore, studies that effectively identify management methods are essential. Thus, the objective of this study was to evaluate the effect of different doses of Lithothamnion sp., obtained from different deposits, on the development of ‘Aliança’ papaya seedlings.

2 Materials and methods

The study was conducted at the Experimental Farm of the Capixaba Institute for Research, Technical Assistance, and Rural Extension, located in the municipality of Linhares in the north of the state of Espírito Santo. The climate of the region, according to the Koppen classification, is tropical Aw, with rain in the summer and dry winters. The precipitation and temperature recorded during the experimental period are shown in Figure 1. The experiment was conducted in a greenhouse with a black shade screen with 50% shading and irrigation by micro-sprinklers with a flow rate of 12 L h-1 activated by timers every 15 minutes for 10 seconds.

Figure 1
Line and bar graph showing daily temperature and precipitation from March 29 to May 5. The temperature lines indicate minimum, maximum, and mean temperatures in degrees Celsius. The bars represent precipitation in millimeters.

Figure 1. Monthly precipitation (mm) and temperature (°C) covering the period after seed germination until the analysis of seedling quality parameters.

To prepare the seedlings, tubes with a volume of 280 cm3 were used, filled with commercial substrate Tropstrato® HT Hortaliças added with 3 g tube-1 of Basacote® (3M), in the NPK formulation 18-08-12. Sowing was carried out seven days after filling the tubes with ‘Aliança’ papaya seeds, purchased from a local producer. Three seeds were used per tube, and 10 days after sowing, thinning was carried out, maintaining only one seedling per tube.

The experimental design was randomized blocks in a factorial scheme (3 x 6), where the first factor consisted of three commercial sources of Lithothamnion sp., namely: LT Supra®; Algen® and Primaz®, respectively extracted from deposits located in the states of Espírito Santo, Maranhão and Bahia. Their chemical composition is presented in Table 1. The second factor consisted of six different dosages of Lithothamnion sp., namely: 0; 2; 4; 6; 8; and 10 kg m-3. The treatments were incorporated into the substrate at the time of seedling preparation. Four blocks were evaluated, with 20 seedlings in each block, totaling 1,440 plants in the experimental field.

Table 1
www.frontiersin.org

Table 1. Chemical composition of nutrients and humic substances of commercial products of Lithothamnion sp. from different extraction sources obtained in the States of Espírito Santo (LT Supra®), Maranhão (Algen®) and (Bahia Primaz®).

At 37 days after sowing, the seedlings were evaluated by the following characteristics: germination percentage (GP), obtained by counting the total number of surviving seedlings and expressed in %; leaf area (LA), measured by the LI-3100 equipment, in cm2; stem length (SL), measured with a graduated ruler, from the collar to the apical bud, in cm; stem mass fraction (SMF), obtained by dividing the stem dry mass by the total dry mass of the plant, expressed in g g-1, as determined by Poorter et al. (2011); root length (RL), measured with a graduated ruler, in cm, from the base of the collar to the greatest root length; root collar diameter (RCD), with a caliper, in mm; leaf dry mass (LDM), stem dry mass (SDM), root dry mass (RDM) and total dry mass (TDM), measured in g. To obtain LDM, SDM, RDM, and TDM, the plants were dried in an oven with forced air circulation at a temperature of 65°C, and weighed on an analytical balance until they obtained a constant mass.

The accumulation of nitrogen, phosphorus, potassium, calcium, magnesium, and sulfur in the leaves and roots of papaya seedlings was also evaluated, with the measurement expressed in g kg-1. To obtain nutritional accumulation, the analyses were performed by the Fullin Laboratory of Agronomic, Environmental Analysis, and Preparation of Chemical Solutions, using the methodology recommended by the Luiz de Queiroz College of Agriculture.

The data were subjected to Pearson correlation analysis and analysis of variance using the F test at 5% probability. The means of the characteristics in relation to the source of origin of Lithothamnion sp. were compared by the Tukey test at 5% probability. The effects of Lithothamnion sp. dosages on the evaluated characteristics were tested by regression analysis using the F test at 5% probability. When significant, the best model that explained the behavior of each characteristic in relation to the applied dosage was adjusted. The maximum point was obtained by the primary derivative of the regression equations. All analyses and graphical representations were performed with the aid of the Sisvar (Ferreira, 1999) and R (R Core Team, 2024) programs.

3 Results

Table 2 shows the results of the Pearson correlation analysis between the characteristics evaluated. It can be seen that there was a strong correlation, above 0.60, between leaf area and stem length, stem diameter, leaf dry mass, stem dry mass, and total dry mass. Also, a strong correlation was identified between stem length and stem diameter, leaf dry mass, stem dry mass, and total dry mass. Root collar diameter also had a strong correlation with leaf dry mass, stem dry mass, and total dry mass. Likewise, leaf dry mass had a strong correlation with stem dry mass, root dry mass, and total dry mass. Stem dry mass and root dry mass also showed a strong correlation with total dry mass.

Table 2
www.frontiersin.org

Table 2. Pearson correlation values ​​for the characteristics germination percentage (GP), leaf area (LA), stem length (SL), stem mass fraction (SMF), root length (RL), root collar diameter (RCD), leaf dry mass (LDM), stem dry mass (SDM), root dry mass (RDM) and total dry mass (TDM), in three different sources of fertilization of papaya seedlings.

After the analysis of variance, no significant interaction was found between the factors of commercial sources of Lithothamnion sp. and doses applied by the F test at 5% probability. Table 3 shows the comparison of the means of the growth and phytomass characteristics of the seedlings in relation to the fertilizer source used. It can be seen that for the characteristics stem mass fraction (SMF), root length (RL), and root dry mass (RDM), there were no statistically significant differences between the fertilizer sources. For the other variables, the seedling production achieved with the use of LT Supra® was superior to the other treatments.

Table 3
www.frontiersin.org

Table 3. Mean values ​​of germination percentage (GP),leaf area (LA), stem length (SL), stem mass fraction (SMF), root length (RL), root collar diameter (RCD), leaf dry mass (LDM), stem dry mass (SDM), root dry mass (RDM) and total dry mass (TDM), in three different sources of fertilization of papaya seedlings.

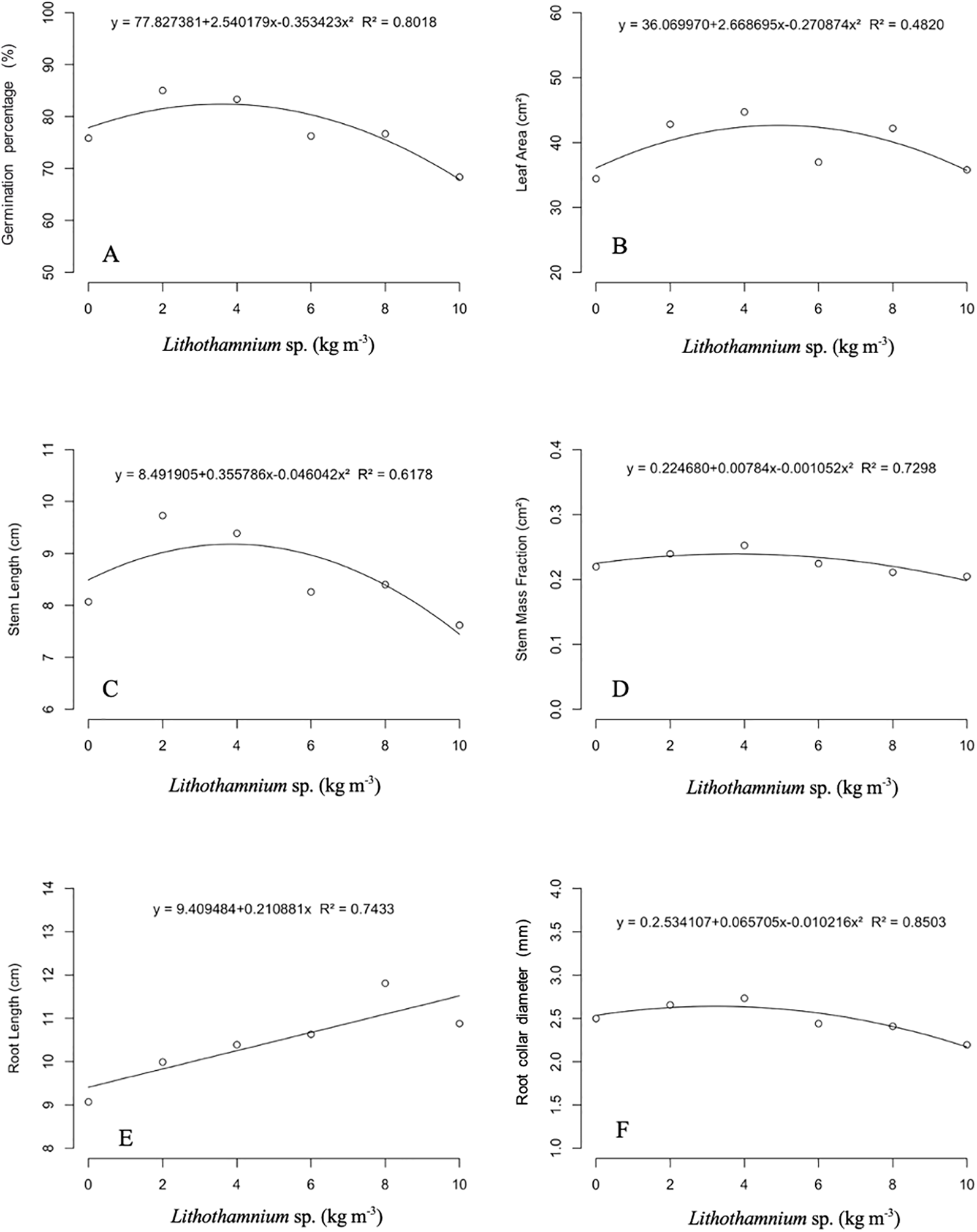
The behavior of seedling growth characteristics in relation to the applied dosage of Lithothamnion sp. is represented in Figure 2. The germination percentage index presented a quadratic fit, with a maximum point of 82.40% at the dosage of 3.59 kg m-3 and coefficient of determination (R2) of 0.8018 (Figure 2A). The leaf area presented a quadratic effect, with R2 of 0.4820 and a maximum point of 42.64 cm2 at the dosage of 4.92 kg m-3 (Figure 2B). For the stem length, the fit observed was quadratic with R2 of 0.6178 and a maximum point of 9.18 cm at the dosage of 3.86 kg m-3 (Figure 2C). The stem mass fraction presented a quadratic fit with a maximum point of 0.239 g at a dosage of 3.72 kg m-3 and R2 of 0.7298 (Figure 2D). The fit found for root length was linear of the first degree increasing as the dosage increased, with R2 of 0.7433 (Figure 2E). The root collar diameter had a quadratic behavior and a maximum point of 2.64 mm at a dosage of 3.21 kg m-3, with R2 of 0.8503 (Figure 2F).

Figure 2
Six scatterplot graphs labeled A to F depict the relationship between various plant growth parameters and Lithothamnium sp. concentration. Each graph includes a trendline with its equation and R-squared value. Graph A shows germination percentage, B shows leaf area, C shows stem length, D shows stem mass fraction, E shows root length, and F shows root collar diameter, all plotted against Lithothamnium sp. concentration in kilograms per cubic meter. The trendlines illustrate varying degrees of positive or negative correlations.

Figure 2. Effect of different doses of Lithothamnion sp. on germination percentage (A), leaf area (B), stem length (C), stem mass fraction (D), root length (E), root collar diameter (F) of ‘Aliança’ papaya seedlings.

For the characteristics related to phytomass, no statistical differences were identified between the applied dosages (Figure 3). Thus, for the leaf dry mass, stem dry mass, root dry mass, and total dry mass, the ‘Aliança’ papaya seedlings presented respective averages of 0.0811, 0.0309, 0.0246, and 0.1365 g in all Lithothamnion sp. dosages that were submitted.

Figure 3
Four line graphs (A, B, C, D) show the relationship between Lithothamnium sp. concentration (kg/m³) and different dry masses (grams). Graph A represents dry mass of the leaf with a constant line at 0.0811. Graph B shows dry mass of the stem with a constant line at 0.0309. Graph C illustrates root dry mass with a constant line at 0.0246. Graph D depicts total dry mass with a constant line at 0.1365. All graphs indicate no change in dry mass across the range of Lithothamnium sp. concentrations.

Figure 3. Effect of different doses of Lithothamnion sp. on leaf dry mass (A), stem dry mass (B), root dry mass (C) and total dry mass (D) of ‘Aliança’ papaya seedlings.

Regarding nutrient accumulation (Table 4), regardless of the source from which Lithothamnion sp. was extracted, only the sulfur concentration in the leaves of the Primaz® and Algen® treatments was significantly higher than that of LT Supra®. For the other nutrients evaluated in the leaves, the quantity was significantly equal, even though the nutritional composition of each source was different. For accumulation in the roots, the Primaz® and Algen® treatments were statistically superior to the LT Supra® treatment for phosphorus accumulation. Potassium had greater accumulation in the roots of the Algen® treatment. Magnesium showed greater accumulation in the Primaz® and LT Supra® treatments. The accumulation of nitrogen, calcium, and sulfur did not show significant differences between the treatments.

Table 4
www.frontiersin.org

Table 4. Average values ​​of nitrogen (N), phosphorus (P), potassium (K), calcium (Ca), magnesium (Mg) and sulfur (S) accumulation in leaves and roots of ‘Aliança’ papaya seedlings using Lithothamnion sp. extracted from different sources.

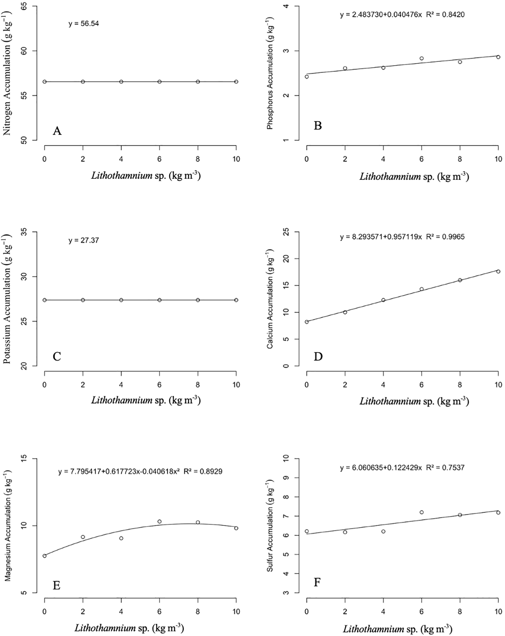
The accumulation of macronutrients in the leaves of ‘Alianca’ papaya seedlings in relation to the dosage of Lithothamnion sp. applied can be seen in Figure 4. The accumulation of nitrogen and potassium did not present differences between the dosages used, with averages of 56.54 and 27.37 g kg¹, respectively. For the accumulation of phosphorus, calcium, and sulfur, the behavior observed was linear of the first degree, increasing with R² of 0.8420, 0.9965, and 0.7537, respectively. The accumulation of magnesium had a quadratic fit, with the greatest accumulation of 10.14 g kg¹ in the dosages of 7.60 kg m³ of Lithothamnion sp. and R² of 0.8929. For the accumulation of macronutrients in the roots of ‘Alianca’ papaya seedlings as a function of the dosage of Lithothamnion sp. applied (Figure 5). The nutrients nitrogen, phosphorus, magnesium, and sulfur did not present significant differences between treatments, with respective averages of 35.36, 11.76, 5.01, and 6.78 g kg-1. The accumulation of potassium in the roots had a decreasing first-degree linear effect with an R² of 0.8672. The accumulation of calcium had an increasing first-degree linear behavior and an R² of 0.8715.

Figure 4
Six scatter plots show nutrient accumulation against Lithothamnium sp. concentration:  A) Nitrogen is constant at 56.54 g/kg. B) Phosphorus increases slightly, R² = 0.8420. C) Potassium is constant at 27.37 g/kg. D) Calcium increases significantly, R² = 0.9965. E) Magnesium forms a quadratic curve, peaking around 10 g/kg, R² = 0.8929. F) Sulfur shows a slight increase, R² = 0.7537.

Figure 4. Effect of different doses of Lithothamnion sp. on the accumulation of nitrogen (A), phosphorus (B), potassium (C), calcium (D), magnesium (E) and sulfur (F) in leaves of ‘Aliança’ papaya seedlings.

Figure 5
Six scatter plots labeled A to F, showing the relationship between Lithothamnion sp. dosage in kilograms per cubic meter and nutrient accumulation in grams per kilogram. Plot A shows constant nitrogen accumulation at 35.36. Plot B shows constant phosphorus at 11.76. Plot C shows declining potassium with an equation and R-squared value. Plot D shows increasing calcium, also with an equation and R-squared value. Plot E shows constant magnesium at 5.01. Plot F shows constant sulfur at 6.78. Each plot has a y-axis for accumulation and an x-axis for Lithothamnion sp. dosage.

Figure 5. Effect of different doses of Lithothamnion sp. on the accumulation of nitrogen (A), phosphorus (B), potassium (C), calcium (D), magnesium (E) and sulfur (F) in roots of ‘Aliança’ papaya seedlings.

4 Discussion

Lithothamnion sp. originating from the coast of Espírito Santo (LT supra®) differs from the others due to its high levels of micronutrients (B, Fe, Mn, Na, and Zn). This difference, associated with the high levels of calcium and magnesium carbonate common to Lithothamnion sp., positively influenced the nutrition of ‘Aliança’ papaya seedlings, as demonstrated by the higher averages of the LT Supra® source. While micronutrients in high concentrations are harmful to plants, on the other hand, they are essential for their growth and development when in low concentrations (Sidhu et al., 2019).

These nutrients play important roles in plant metabolism that may explain the results obtained for the LT Supra® source. Boric acid acts on cell structure, cell division and elongation, regulation of ion absorption in the cell membrane, plant-water relationship, photosynthesis, starch metabolism, nitrogen fixation and metabolism, abiotic stress management, and signaling with gene transcription factors (Kohli et al., 2023). Fe2+ acts on chlorophyll synthesis and photosynthesis as a structural part of the ferredoxin and ferredoxin-NADP+-reductase proteins in the electron transport chain (Taiz et al., 2017). It also acts on respiration and metabolism of the nitrogen element and other products (Ning et al., 2023). Mn²+ acts on photosynthesis, respiration, elimination of reactive oxygen species, defense against pathogens, and hormonal signaling (Alejandro et al., 2020). Zn2+ promotes starch formation and seedling vigor (Sidhu et al., 2019) and, therefore, greater plant growth and development.

Furthermore, the composition of Lithothamnion sp. presents humic substances that, according to Jindo et al. (2020), exert a biostimulant function in plants. In papaya seedlings, the use of humic substances promoted growth (Dias et al., 2020) due to increased nutrient absorption and stimulation of auxin production, which in turn plays a fundamental role in root development (Jindo et al., 2020). Thus, the greater availability of nutrients combined with the biostimulation of humic substances may have favored the results observed for the LT Supra® source.

It is noted that, in general, the characteristics related to seedling growth were directly affected by the dosage of Lithothamnion sp. applied, with the exception of root length, which showed increasing average values ​​as the dosage increased. For the other characteristics, both the lack and excess of Lithothamnion sp. available for the ‘Aliança’ papaya seedlings may have generated a stressful situation for the plants, resulting in a negative effect on the characteristics analyzed, resulting in reduced seedling quality.

Under stressful conditions, one of the first adaptations of plants is the reduction of leaf area (Taiz et al., 2017). Leaves are the main organs responsible for photosynthesis in plants. Therefore, the reduction of the photosynthetically active area of ​​the plant influences the accumulation of carbohydrates that are essential for the formation of structures and maintenance of biochemical processes. Thus, a larger leaf area significantly interferes with plant development, allowing for higher seedling quality (Melo et al., 2007). This fact can be proven due to the high correlation between leaf area, stem length, stem diameter, and dry mass accumulation, which occurs because carbohydrate production directly influences growth characteristics.

It is also observed that, in our studies, the dosage of Lithothamnion sp. that presented the highest germination percentage (3.59 kg m³) in papaya seedlings is close to the dosages that provided the highest values ​​of stem length (3.86 kg m³), stem mass fraction (3.72 kg m³), and root collar diameter (3.21 kg m³). This association can be explained because plants with greater height and root collar diameter are more robust, which makes them more difficult to damage, facilitating their development and ensuring greater survival (Melo et al., 2007). Furthermore, both root collar diameter and plant height are characteristics that are easily measured, and the values ​​can be easily obtained without specific equipment; thus, these characteristics are used by many nurseries to transplant seedlings to the field (Dassie et al., 2017).

Thus, in summary, it is possible to conclude that Lithothamnion sp. from the State of Espírito Santo, in the form of the commercial product LT supra®, proved to be more suitable, allowing better development of papaya seedlings, as evidenced by the higher average values ​​of germination percentage, leaf area, stem length, stem diameter, leaf dry mass, and stem dry mass. Likewise, doses of Lithothamnion sp. close to 4.00 kg m³ were responsible for providing the seedlings with better morphological development and germination percentage.

Because they have a high content of calcium and magnesium carbonate in their composition, Lithothamnion sp., when made available via the root, raises the pH of the substrate, which can have a direct effect on the availability of nutrients for plants (Ramos et al., 2023; Silva et al., 2023). Under high pH conditions, the macronutrients N, P, K, Ca, Mg, and S become more available to plants. On the other hand, high pH makes the micronutrients Fe, Cu, Mn, Zn, and B unavailable to plants (Gondal et al., 2021). Specifically for papaya seedlings, it is observed that the macronutrients in the sequence of K, Ca, Mg, S, and P and the micronutrients Fe, Zn, Mn, Ni, and Cu are the most required by the crop (Souza et al., 2021).

However, it should be noted that the development of papaya seedlings does not depend solely on one nutrient in isolation, with the nutritional balance being responsible for full growth. Thus, despite the increasing calcium levels observed as a result of the increase in doses of Lithothamnion sp. in the leaves and roots of papaya seedlings, the use of this substance should be done with caution, since Ca²+ (the form in which calcium is absorbed), in high concentrations, interferes with the absorption of other nutrients, either in synergism or antagonism, that are reflected in the growth and development of plants (Weng et al., 2022).

Ca2+ is a nutrient in high demand by plants because it is a structural component and an important messenger in a wide range of physiological aspects of development, such as nutritional aspects and those related to biotic and abiotic stresses (Thor, 2019). As a messenger in plant mineral nutrition, it provides signals for the absorption of macronutrients N, P, K, and Mg and micronutrients Fe and Mn (Wang et al., 2023). Calcium signaling is induced by the level of Ca2+ in the cytoplasm (Srivastava et al., 2020; Wang et al., 2023), which also signals the absorption and homeostasis of Ca2+ itself (Wang et al., 2023).

It is important to mention that potassium accumulation in the roots decreased linearly as a function of Lithothamnion sp. doses. The reduction in potassium accumulation may be related to the nutritional imbalance between calcium and potassium. These two nutrients are cationic with similar absorption sites. This characteristic presents antagonism as the supply of Ca²+ increases (Weng et al., 2022). This occurs because both calcium and potassium are absorbed by plants in the cationic forms Ca²+ and K+, respectively (Fernandes et al., 2018). Thus, the ions are transported by the same mechanism of the cell plasma membrane, with P3A-type H-ATPases, which are capable of transporting Ca2+, K+, Na+, and Zn2+, which can lead to antagonism and competitive inhibition between these nutrients (Rietra et al., 2017). Furthermore, the K+ uptake pathway, the CBL/CIPK23 complex (Calcineurin B-like proteins/CBL-interacting protein kinases), is regulated by Ca2+ (Tang et al., 2020).

Therefore, high concentrations of calcium can significantly interfere with the dynamics of potassium absorption. This antagonism was evidenced in the application of Lithothamnion sp. at a high dose in carrots (Daucus carota L.), which resulted in losses in K+ absorption and, consequently, in productivity (Rodrigues Neto et al., 2021). However, it should be noted that although potassium is the nutrient most required by papaya crops, its greatest need occurs at the fruit development stage, between 150 and 270 days after planting, which does not interfere with seedling development (Coelho Filho et al., 2007; Zucoloto et al., 2023).

Magnesium, in the form absorbed by plants as Mg²+, is another essential nutrient for plant development, being present in the chlorophyll molecule, nucleic acids, and proteins, in addition to being an important enzymatic cofactor (Wang et al., 2023). Its balanced supply in the initial phase of development positively affects subsequent phases in the proportion of aerial part-root biomass (Hauer-Jákli and Tränkner, 2019).

Mg2+ accumulation in roots is influenced by greater availability in the substrate and, consequently, by plant absorption due to increased substrate pH as an effect of Lithothamnion sp., given its composition rich in calcium carbonate and magnesium (Ramos et al., 2023). Thus, it is affected by a greater presence of Ca2+, which also acts as a nutritional messenger playing a critical role in regulating the dynamic homeostasis of Mg2+ (Wang et al., 2023). Ca2+ signaling through CBLs (calcineurin B-like proteins) stores Mg2+ in the vacuole to balance amounts in the cytosol (Tang et al., 2020). This evidence indicates the importance of Ca2+ in plant biostimulation with the application of Lithothamnion sp.

As in the roots, calcium accumulation in the leaves was linearly increasing, indicating the possibility of applying higher doses of Lithothamnion sp. in ‘Aliança’ papaya seedlings. These results point to the nutritional demand for Ca2+ in the papaya tree, corroborated by Souza et al. (2021), who found calcium to be the second most accumulated mineral. Nutritional demand, although not the focus of the study, interferes with the dynamics of nutrient absorption and accumulation.

Furthermore, the accumulation of magnesium in the leaves indicates greater sensitivity of papaya to high concentrations of this nutrient, since increasing the doses of Lithothamnion sp. resulted in a slight inhibition of accumulation from the adjusted dose of 7.60 kg m-3. This result also demonstrates the antagonism of Ca2+ in the absorption of Mg2+, corroborated by Madani et al. (2015) in a study with papaya that, when increasing the doses of calcium, found a decrease in the accumulation of Mg2+ in the leaves. This occurs because, as previously mentioned for potassium, magnesium is a cationic ion, like calcium, and there is competition for the absorption mechanisms in the cell membrane. Therefore, the imbalance of these nutrients affects the absorption of other cations because they compete for the same absorption sites (Bang et al., 2021). For example, K+ has a high sensitivity in absorption when in a medium with high concentrations of Ca2+ and Mg2+ (Wacal et al., 2019). Mg²+ is an essential nutrient for plant growth and development; its adequate supply allows an increase in the net assimilation of CO2, balance in the partition of biomass between the aerial part and the root, and a reduction in reactive oxygen species (Hauer-Jákli and Tränkner, 2019).

Despite the robustness of the data found in this study, the experimental conduction was carried out in a single location and during a single production cycle. Therefore, it is recommended to carry out complementary studies during other production cycles, with the addition of other cultivars, at other times, and in other cultivation environments, in order to validate the data obtained in this study. We therefore suggest conducting field tests, considering that we obtained positive results in the development, growth, and germination percentage of ‘Aliança’ papaya seedlings with 4 kg m-3 of Lithothamnion sp.

5 Conclusion

Lithothamnion sp. showed a biostimulant effect on papaya seedlings by promoting the growth and development of leaves and stems, in addition to the accumulation of dry mass, as well as the germination percentage.

The doses of Lithothamnion sp. influenced the growth and development of papaya seedlings. The dose that best reflected the quality of ‘Aliança’ papaya seedlings was close to 4 kg m-3.

The difference in the composition of Lithothamnion sp. originating from the coast of Espírito Santo (LT supra®) was more efficient in promoting biostimulant effects on the growth and development of ‘Aliança’ papaya seedlings.

Lithothamnion sp. from the coast of Maranhão (Algen®) and Bahia (Primaz®) were more efficient in nutrient accumulation.

Data availability statement

The original contributions presented in the study are included in the article/supplementary material. further inquiries can be directed to the corresponding author/s.

Author contributions

ER: Writing – original draft, Writing – review & editing. Dd: Writing – review & editing, Writing – original draft. AB: Writing – review & editing, Writing – original draft. VO: Writing – original draft, Writing – review & editing. LA: Writing – review & editing, Writing – original draft. ES: Writing – original draft, Writing – review & editing. AF: Writing – review & editing, Writing – original draft. SD: Writing – review & editing, Writing – original draft.

Funding

The author(s) declare that no financial support was received for the research and/or publication of this article.

Conflict of interest

The authors declare that the research was conducted in the absence of any commercial or financial relationships that could be construed as a potential conflict of interest.

Generative AI statement

The author(s) declare that no Generative AI was used in the creation of this manuscript.

Publisher’s note

All claims expressed in this article are solely those of the authors and do not necessarily represent those of their affiliated organizations, or those of the publisher, the editors and the reviewers. Any product that may be evaluated in this article, or claim that may be made by its manufacturer, is not guaranteed or endorsed by the publisher.

References

Alejandro, S., Höller, S., Meier, B., and Peiter, E. (2020). Manganese in plants: from acquisition to subcellular allocation. Front. Plant Sci. 11. doi: 10.3389/fpls.2020.00300

PubMed Abstract | Crossref Full Text | Google Scholar

Amatussi, J. O., Mógor, G., Lara, G. B., Marques, H. M. C., and Mógor, Á. F. (2025). Bioactive effect of cyanobacteria and calcareous algae mixture in bioassays and on potato growth and yield. Pesq. Agropec. Trop. 55, e81785. doi: 10.1590/1983-40632025v5581785

Crossref Full Text | Google Scholar

Amatussi, J. O., Mógor, Á. F., Mógor, G., and Lara, G. B. (2020). Novel use of calcareous algae as a plant biostimulant. J. Appl. Phycol. 32, 3. doi: 10.1007/s10811-020-02077-5

Crossref Full Text | Google Scholar

Bamaniya, P., Vaghela, D. T., Bambhaniya, I., Bhadarka, M., and Ram, M. (2024). Seaweed: Nature’s dual role as soil conditioner and water purifier. Trends Agric. Sci. 3, 58–62. doi: 10.5281/zenodo.10670892

Crossref Full Text | Google Scholar

Bang, T. C., Husted, S., Laursen, K. H., Persson, D. P., and Schjoerring, J. K. (2021). The molecular–physiological functions of mineral macronutrients and their consequences for deficiency symptoms in plants. New Phytol. 229, 5. doi: 10.1111/nph.17074

PubMed Abstract | Crossref Full Text | Google Scholar

Carvalho, V. F., Assis, J., Serrão, E. A., Nunes, J. M., Anderson, A. B., Batista, M. B., et al. (2020). Environmental drivers of rhodolith beds and epiphytes community along the South Western Atlantic coast. Mar. Environ. Res. 154, 1–13. doi: 10.1016/j.marenvres.2019.104827

PubMed Abstract | Crossref Full Text | Google Scholar

Coelho Filho, M. A., Coelho, E. F., Cruz, J. L., Souza, L. F., Oliveira, A. M. G., and Silva, T. S. M. (2007). “Marcha de absorção de macro e micronutrientes do mamoeiro Sunrise Solo,” in Papaya Brasil: Manejo, qualidade e mercado do mamão. Eds. Martins, D. S., Costa, A. N., and Costa, A. F. S. (Incaper, Vitória), 29–40.

Google Scholar

Dassie, L. A., Aleman, C. C., Moreira, A. C. M., Mignacca, F. A., Zanfolin, P. R. L., and Carvalho, P. R. (2017). Produção irrigada de mudas de pimenta dedo de moça (Capsicum baccatum). Colloq. Agrar. 13, 3. Available online at: https://journal.unoeste.br/index.php/ca/article/view/1886 (Accessed June 21, 2025).

Google Scholar

Dias, T. J., Leal, M. P. S., Nascimento, E. S., Veras, M. L. M., Silva, T. I., and Lopes, A. S. (2020). Morphological and physiological changes in papaya seedlings irrigated with saline water and application of humic substances. Comun. Sci. 11, e3290. doi: 10.14295/cs.v11i0.3290

Crossref Full Text | Google Scholar

Evangelista, A. W. P., Vieira, M. A., Alves Júnior, J., Brasil, E. P. F., and Casoroli, D. (2016). Seedling production of Jatropha curcas L. in substrates fertilized with Lithothamnion. Biosci. J. 32, 1. doi: 10.14393/BJ-v32n1a2016-26270

Crossref Full Text | Google Scholar

Fernandes, M. S., Souza, S. R., and Santos, L. A. (2018). Nutrição mineral de plantas. 2 Ed (Viçosa-MG: SBCS), 670.

Google Scholar

Ferreira, D. F. (1999). Sisvar 4.3 Sistema de Análises Estatísticas (Lavras: UFLA).

Google Scholar

Gondal, A. H., Hussain, I., Ijaz, A. B., Zafar, A., Ch, B. I., Zafar, H., et al. (2021). Influence of soil pH and microbes on mineral solubility and plant nutrition: A review. Int. J. Agric. Biol. Sci. 5, 1. doi: 10.5281/zenodo.4625363

Crossref Full Text | Google Scholar

Hauer-Jákli, M. and Tränkner, M. (2019). Critical leaf magnesium thresholds and the impact of magnesium on plant growth and photo-oxidative defense: a systematic review and meta-analysis from 70 years of research. Front. Plant Sci. 10. doi: 10.3389/fpls.2019.00766

PubMed Abstract | Crossref Full Text | Google Scholar

IBGE - Instituto Brasileiro de Geografia e Estatística (2022). Produção agrícola municipal: Área destinada à colheita, área colhida, quantidade produzida, rendimento médio e valor da produção das lavouras permanentes. Available online at: https://sidra.ibge.gov.br (Accessed August 25, 2024).

Google Scholar

Jindo, K., Olivares, F. L., Malcher, D. J. P., Sánchez-Monedero, M. A., Kempenaar, C., and Canellas, L. P. (2020). From lab to field: role of humic substances under open-field and greenhouse conditions as biostimulant and biocontrol agent. Front. Plant Sci. 11. doi: 10.3389/fpls.2020.00426

PubMed Abstract | Crossref Full Text | Google Scholar

Kakbra, R. F. (2024). Effect of seaweed, moringa leaf extract, and biofertilizer on cucumber growth, yield, and fruit quality under greenhouse conditions. arXiv Preprint arXiv 2403, 17984. doi: 10.48550/arXiv.2403.17984

Crossref Full Text | Google Scholar

Kohli, S. K., Kaur, H., Khanna, K., Handa, N., Bhardwaj, R., Rinklebe, J., et al. (2023). Boron in plants: Uptake, deficiency and biological potential. Plant Growth Regul. 100, 2. doi: 10.1007/s10725-022-00844-7

Crossref Full Text | Google Scholar

Madani, B., Wall, M., Mirshekari, A., Bah, A., and Mohamed, M. T. M. (2015). Influence of calcium foliar fertilization on plant growth, nutrient concentrations, and fruit quality of papaya. HortTechnology 25, 4. doi: 10.21273/HORTTECH.25.4.496

Crossref Full Text | Google Scholar

Marques, H. M. C., Mógor, Á. F., Amatussi, J. O., Lara, G. B., Mógor, G., Brasileiro, B. P., et al. (2025). Microalgal biomass application promotes growth and alleviates salt stress in melon plants stimulating antioxidant metabolism. J. Appl. Phycol. 37, 1. doi: 10.1007/s10811-024-03430-8

Crossref Full Text | Google Scholar

Marques, H. M. C., Mógor, Á. F., Amatussi, J. O., Lara, G. B., Mógor, G., and Sant’anna-Santos, B. F. (2023). Use of microalga Asterarcys quadricellularis in common bean. J. Appl. Phycol. 35, 6. doi: 10.1007/s10811-023-03098-6

Crossref Full Text | Google Scholar

Melo, A. S., Costa, C. X., Brito, M. E. B., Viégas, P. R. A., and Silva Júnior, C. D. (2007). Produção de mudas de mamoeiro em diferentes substratos e doses de fósforo. Rev. Bras. Ciênc. Agrár. 2, 4. doi: 10.5039/agraria.v2i4a1838

Crossref Full Text | Google Scholar

Negreiros, A. M. P., Sales Júnior, R., Maia Júnior, F. F., Silva, R. B., Costa, J. A. P., and Medeiros, E. V. (2019). Lithothamnion calcareum nanoparticles increase growth of melon plants. Not. Bot. Horti Agrobot. Cluj Napoca 47, 2. doi: 10.15835/nbha47111377

Crossref Full Text | Google Scholar

Ning, X., Lin, M., Huang, G., Mao, J., Gao, Z., and Wang, X. (2023). Research progress on iron absorption, transport, and molecular regulation strategy in plants. Front. Plant Sci. 14. doi: 10.3389/fpls.2023.1190768

PubMed Abstract | Crossref Full Text | Google Scholar

Poorter, H., Niklas, K. J., Reich, P. B., Oleksyn, J., Poot, P., and Mommer, L. (2011). Biomass allocation to leaves, stems and roots: meta-analyses of interspecific variation and environmental control. New Phytol. 193, 1. doi: 10.1111/j.1469-8137.2011.03952.x

PubMed Abstract | Crossref Full Text | Google Scholar

Ramos, E. P., Ferreira, T. R., Aguiar, D. B., Alves, F. L., and Dousseau-Arantes, S. (2023). Lithothamnion sp. as biostimulant in plant cultivation. Pesquisa Agropecuária Trop. 53, e76273. doi: 10.1590/1983-40632023v5376273

Crossref Full Text | Google Scholar

R Core Team (2024). R: A language and environment for statistical computing (Vienna, Austria: R Foundation for Statistical Computing). Available online at: https://www.R-project.org/ (Accessed June 21, 2025).

Google Scholar

Rietra, R. P. J. J., Heinen, M., Dimkpa, C. O., and Bindraban, P. S. (2017). Effects of nutrient antagonism and synergism on yield and fertilizer use efficiency. Commun. Soil Sci. Plant Anal. 48, 16. doi: 10.1080/00103624.2017.1407429

Crossref Full Text | Google Scholar

Rodrigues Neto, J., Pereira, D. P., Torres, J. L. R., Carvalho, F. J., and Charlo, H. C. O. (2021). Potassium sources and calcium and magnesium doses in carrot crop fertilization. Hortic. Bras. 39, 2. doi: 10.1590/s0102-0536-20210201

Crossref Full Text | Google Scholar

Rodriguez, W. D. M., Evangelista, A. W. P., Alves Junior, J., and Honorato, M. V. (2017). Growing of coffee seedlings on different substrates and fertilized with lithothamium. Rev. Facultad Nacional Agron. 70, 2. doi: 10.15446/rfna.v70n2.64522

Crossref Full Text | Google Scholar

Sidhu, M. K., Raturi, H. C., Kachwaya, D. S., and Sharma, A. (2019). Role of micronutrients in vegetable production: A review. J. Pharmacogn. Phytochem. 8, 1S.

Google Scholar

Silva, M. C. M., Alvarenga, C. A. F., Penha, H. G. V., Corrêa, L. D. M., and Rocha, J. S. (2023). Influência da utilização de cálcio orgânico oriundos de algas do gênero Lithothamnium calcareum em solos de pastagens. Res. Soc. Dev. 12, 8. doi: 10.33448/rsd-v12i8.42743

Crossref Full Text | Google Scholar

Singh, A., Sharma, K., Chahal, H. S., Kaur, H., and Hasanain, M. (2025). Seaweed-derived plant boosters: revolutionizing sustainable farming and soil health. Front. Soil Sci. 5. doi: 10.3389/fsoil.2025.1504045

Crossref Full Text | Google Scholar

Souza, F. E. C., Natale, W., Braga, M. M., Mesquita, R. O., and Costa, R. S. (2021). Growth and accumulation of nutrients in papaya tree seedlings grown on organic substrates. Rev. Ceres 68, 4. doi: 10.1590/0034-737X202168040003

Crossref Full Text | Google Scholar

Srivastava, A. K., Shankar, A., Chandran, A. K. N., Sharma, M., Jung, K.-H., Suprasanna, P., et al. (2020). Emerging concepts of potassium homeostasis in plants. J. Exp. Bot. 71, 2. doi: 10.1093/jxb/erz458

PubMed Abstract | Crossref Full Text | Google Scholar

Taiz, L., Zeiger, E., Moller, I. M., and Murphy, A. (2017). Fisiologia e desenvolvimento vegetal. 6. ed (Porto Alegre: Artmed), 858 p.

Google Scholar

Tang, R.-J., Wang, C., Li, K., and Luan, S. (2020). The CBL–CIPK calcium signaling network: Unified paradigm from 20 years of discoveries. Trends Plant Sci. 25, 6. doi: 10.1016/j.tplants.2020.01.009

PubMed Abstract | Crossref Full Text | Google Scholar

Thor, K. (2019). Calcium nutrient and messenger. Front. Plant Sci. 10. doi: 10.3389/fpls.2019.00440

PubMed Abstract | Crossref Full Text | Google Scholar

Wacal, C., Ogata, N., Basalirwa, D., Sasagawa, D., Masunaga, T., Yamamoto, S., et al. (2019). Growth and K nutrition of sesame (Sesamum indicum L.) seedlings as affected by balancing soil exchangeable cations Ca, Mg, and K of continuously monocropped soil from upland fields converted paddy. Agronomy 9, 12. doi: 10.3390/agronomy9120819

Crossref Full Text | Google Scholar

Wang, T., Chen, X., Ju, C., and Wang, C. (2023). Calcium signaling in plant mineral nutrition: From uptake to transport. Plant Commun. 4, 6. doi: 10.1016/j.xplc.2023.100678

PubMed Abstract | Crossref Full Text | Google Scholar

Weckner, F. C., Campos, M. C. C., Nascimento, E. P., Mantovanelli, B. C., and Nascimento, M. F. (2016). Avaliação das mudas de mamoeiro sob o efeito da aplicação de diferentes composições de biofertilizantes. Revista da Universidade. Vale do Rio Verde 14, 1.

Google Scholar

Weng, X., Li, H., Ren, C., Zhou, Y., Zhu, W., and Zhang, S. (2022). Calcium regulates growth and nutrient absorption in poplar seedlings. Front. Plant Sci. 13. doi: 10.3389/fpls.2022.887098

PubMed Abstract | Crossref Full Text | Google Scholar

Yücedağ, C. and Çiçek, N. (2024). The use of seaweed in the production of ornamental plants. Theor. Appl. Forest. 4, 15–21. doi: 10.53463/tafor.2024vol4iss1pp15-21

Crossref Full Text | Google Scholar

Zucoloto, M., Oliveira, V. S., Oliveira, F. L., and Santos, D. (2023). A cultura do mamoeiro: livro dedicado aos produtores rurais, estudantes e profissionais da ciências agrárias (Alegre, ES: Ed. Dos Autores).

Google Scholar

Keywords: Carica papaya L., calcareous algae, nutrition, biostimulant, seedling quality

Citation: Pereira Ramos E, Borges de Aguiar D, Mota Barbosa AK, de Souza Oliveira V, de Oliveira Arantes L, Romais Schmildt E, Ralph Falqueto A, Alves Fernandes A and Dousseau-Arantes S (2025) Production of ‘Aliança’ papaya seedlings under different dosages and sources of Lithothamnion sp. Front. Plant Sci. 16:1630560. doi: 10.3389/fpls.2025.1630560

Received: 18 May 2025; Accepted: 18 July 2025;
Published: 08 August 2025.

Edited by:

Michael Moustakas, Aristotle University of Thessaloniki, Greece

Reviewed by:

Nebi Bilir, Isparta University of Applied Sciences, Türkiye
Mastrangello Lanzanova, Universidade Estadual do Rio Grande do Sul, Brazil
Eurico Lemos, Federal University of Alagoas, Brazil

Copyright © 2025 Pereira Ramos, Borges de Aguiar, Mota Barbosa, de Souza Oliveira, de Oliveira Arantes, Romais Schmildt, Ralph Falqueto, Alves Fernandes and Dousseau-Arantes. This is an open-access article distributed under the terms of the Creative Commons Attribution License (CC BY). The use, distribution or reproduction in other forums is permitted, provided the original author(s) and the copyright owner(s) are credited and that the original publication in this journal is cited, in accordance with accepted academic practice. No use, distribution or reproduction is permitted which does not comply with these terms.

*Correspondence: Sara Dousseau-Arantes, c2FyYWRvdXNzZWF1QGdtYWlsLmNvbQ==

Disclaimer: All claims expressed in this article are solely those of the authors and do not necessarily represent those of their affiliated organizations, or those of the publisher, the editors and the reviewers. Any product that may be evaluated in this article or claim that may be made by its manufacturer is not guaranteed or endorsed by the publisher.