ORIGINAL RESEARCH article
Front. Plant Sci.
Sec. Plant Abiotic Stress
Soil bacterial responses to experimental warming and drought across winter wheat growth stages in the North China Plain
Provisionally accepted- 1Farmland Irrigation Research Institute, Chinese Academy of Agricultural Sciences, Beijing, China
- 2South China Agricultural University College of Natural Resources and the Environment, Guangzhou, China
- 3Hainan University School of Tropical Agriculture and Forestry, Haikou, China
- 4Ludong University, Yantai, China
- 5Tarim University, Aral, China
Select one of your emails
You have multiple emails registered with Frontiers:
Notify me on publication
Please enter your email address:
If you already have an account, please login
You don't have a Frontiers account ? You can register here
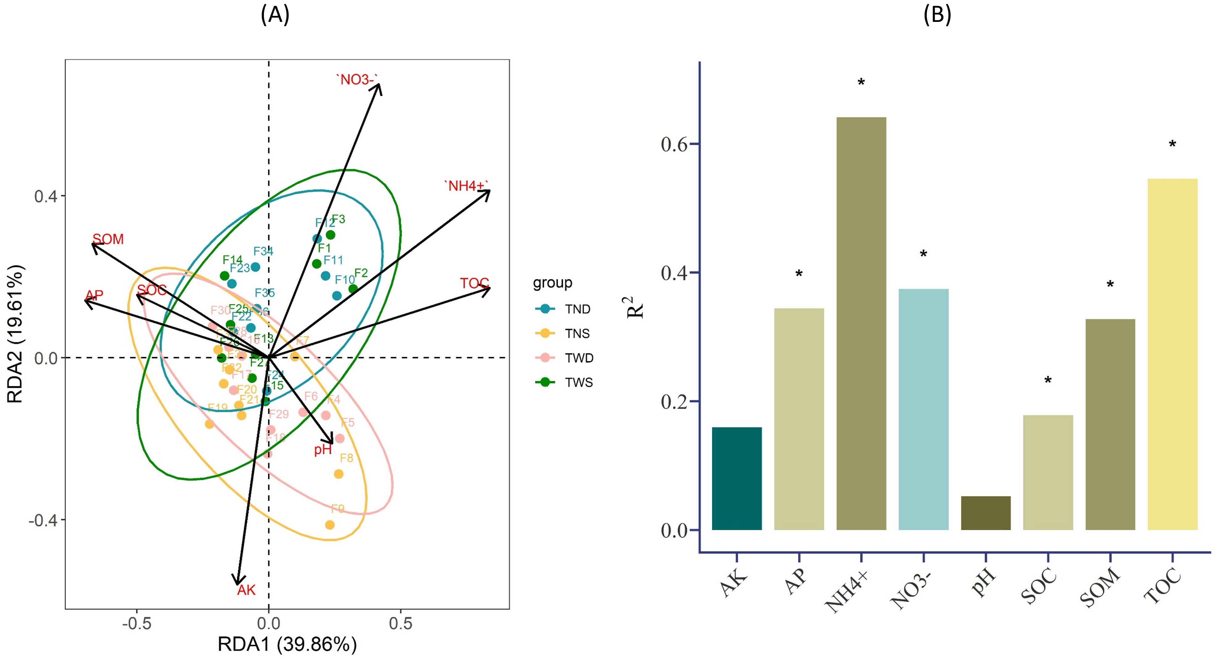
While climate change alters the balance of the Earth's ecosystems, theits impact on the soil bacterial community remains poorly understood. A field experiment was conducted to assess the effects of warming, drought, and their combination on the soil bacterial community at different growth stages of winter wheat. Four treatments were defined for this study: warming at 1.5℃ combined with full irrigation (TWS) and deficit irrigation (TWD), then ambient temperature combined with full irrigation (TNS) and deficit irrigation (TND). The results indicated that TWS, unlike TND, promoted nitrogen availability for plants and root exudation. The abundance and diversity of the bacterial community were more responsive to different climatic stresses at the jointing stage than at other growth stages. Chloroflexi, Firmicutes, and Bacteroidota were positively correlated with soil inorganic nitrogenNH4+, NO3-, the root total organic carbon (TOC), and negatively correlated with available phosphorus (AP), available potassium (AK), soil organic carbonSOM, (SOC) under TND, while an opposite trend was observed with Actinobacteria and Proteobacteria. Furthermore, under TWS, Bacteroidota, unlike Actinobacteria, was positively correlated with NH4+, NO3-, TOC, and negatively correlated with AP, and SOC, and SOM. The bacterial community network feature values were higher under TWD and lower under TNS. These results indicate that the sensitivity of the rhizosphere bacterial community to the impacts of different climatic stresses varies according to the is not identical at all growth stages, and that the community is particularly more responsivesensitive at the jointing stage than at the laterother stages.
Keywords: warming, drought, bacterial community, root exudates, Wheat growth stage
Received: 29 May 2025; Accepted: 28 Nov 2025.
Copyright: © 2025 Kpalari, Fu, Li, Cao, Kama, Mounkaila Hamani, Liu, Ma, 吕 and Gao. This is an open-access article distributed under the terms of the Creative Commons Attribution License (CC BY). The use, distribution or reproduction in other forums is permitted, provided the original author(s) or licensor are credited and that the original publication in this journal is cited, in accordance with accepted academic practice. No use, distribution or reproduction is permitted which does not comply with these terms.
* Correspondence:
Sen Li
Shoutian Ma
Disclaimer: All claims expressed in this article are solely those of the authors and do not necessarily represent those of their affiliated organizations, or those of the publisher, the editors and the reviewers. Any product that may be evaluated in this article or claim that may be made by its manufacturer is not guaranteed or endorsed by the publisher.
