ORIGINAL RESEARCH article
Front. Plant Sci.
Sec. Plant Nutrition
This article is part of the Research TopicHarnessing Plant–Microbe Interactions to Improve Nitrogen Use Efficiency and Plant-Soil Health for Sustainable AgricultureView all 22 articles
Maize/soybean intercropping facilitated phosphorus solubilization as regulated by Arbuscular Mycorrhizal fungal and bacterial communities in red soil
Provisionally accepted- 1Yunnan Agricultural University, Kunming, China
- 2College of agriculture and horticultural technology,Yunnan, kunming, China
- 3Kunming Customs Technology Cente, kunming, China
- 4Yunnan Open University, Kunming, China
Select one of your emails
You have multiple emails registered with Frontiers:
Notify me on publication
Please enter your email address:
If you already have an account, please login
You don't have a Frontiers account ? You can register here
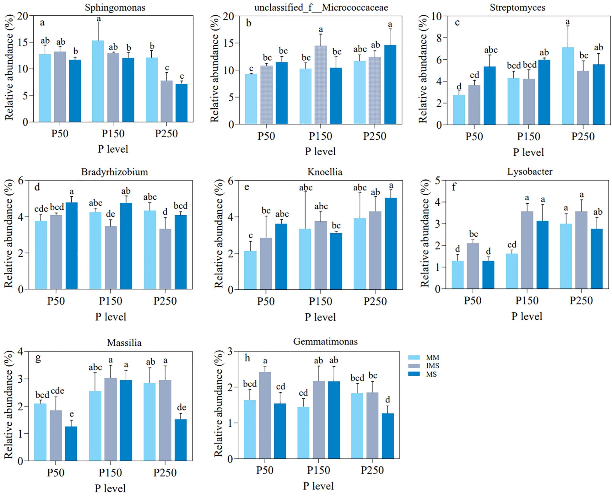
Arbuscular mycorrhizal fungi (AMF) are key regulators for phosphorus (P) cycling in agricultural systems. However, under intercropping conditions, the mechanisms through which AMF hyphae and spores recruit specific bacterial taxa and synergistically solubilize insoluble P in red soils remain poorly understood. Through a greenhouse pot experiment with maize/soybean intercropping (IMS), this study investigated how the symbiotic relationship between AMF and crops varies across a gradient of P fertilizer levels (P0 to P250). It aimed to identify the P level that optimizes this symbiosis and to elucidate the regulatory mechanism by which interactions between AMF and phosphate-solubilizing bacteria (PSB) drive P activation. The mycorrhizal colonization rate of maize and soybean roots, together with the hyphal length density (HLD) and spore density (SD) in rhizosphere soil, exhibited a phosphorus hump-shaped response to increasing P fertilizer inputs, peaking at the P150 treatment. IMS enhanced mycorrhizal colonization rate, HLD, and SD, and also enriched Glomus_f_Glomeraceae along with eight key bacterial taxa (e.g., Sphingomonas, unclassified_f_Micrococcaceae, Streptomyces). The relative abundance of Glomus_f_Glomeraceae peaked under the P150 treatment, correlating with the optimal AMF-crop symbiosis. Cross-domain co-occurrence network analysis showed a higher proportion of positive associations between AMF and bacteria in the intercropping system than in the monoculture. This study demonstrates that IMS enhances P activation in red soils by strengthening the synergistic interactions between AMF and PSB, thereby providing a theoretical basis for improving P use efficiency and conserving mycorrhizal function. Our findings offer a novel microbial perspective for developing sustainable management strategies in red soil agroecosystems.
Keywords: Maize/soybean intercropping, arbuscular mycorrhizal fungi, red soil, Phosphorus solubilization, PSB
Received: 30 May 2025; Accepted: 21 Oct 2025.
Copyright: © 2025 Qian, Tang, Xiao, Mao, Lv, Zhang and Zheng. This is an open-access article distributed under the terms of the Creative Commons Attribution License (CC BY). The use, distribution or reproduction in other forums is permitted, provided the original author(s) or licensor are credited and that the original publication in this journal is cited, in accordance with accepted academic practice. No use, distribution or reproduction is permitted which does not comply with these terms.
* Correspondence: Yi Zheng, zhengyi-64@163.com
Disclaimer: All claims expressed in this article are solely those of the authors and do not necessarily represent those of their affiliated organizations, or those of the publisher, the editors and the reviewers. Any product that may be evaluated in this article or claim that may be made by its manufacturer is not guaranteed or endorsed by the publisher.
