ORIGINAL RESEARCH article
Front. Plant Sci.
Sec. Plant Physiology
Comparative Analysis of Physiological and Biochemical Traits in Tobacco Leaves of Varying Quality During Development
Provisionally accepted- 1College of Horticulture and Landscape Architecture, Southwest University, Chongqing, China
- 2Tobacco agriculture laboratory, Zhengzhou Tobacco Research Institute of CNTC, Zhengzhou, China
- 3Guizhou Academy of Tobacco Science, Guiyang, China
- 4Yunnan Academy of Tobacco Agricultural Sciences, Kunming, China
- 5Chuxiong State Tobacco Monopoly Bureau, Chuxiong, China
- 6Southwest University College of Horticulture and Landscape Architecture, Chongqing, China
Select one of your emails
You have multiple emails registered with Frontiers:
Notify me on publication
Please enter your email address:
If you already have an account, please login
You don't have a Frontiers account ? You can register here
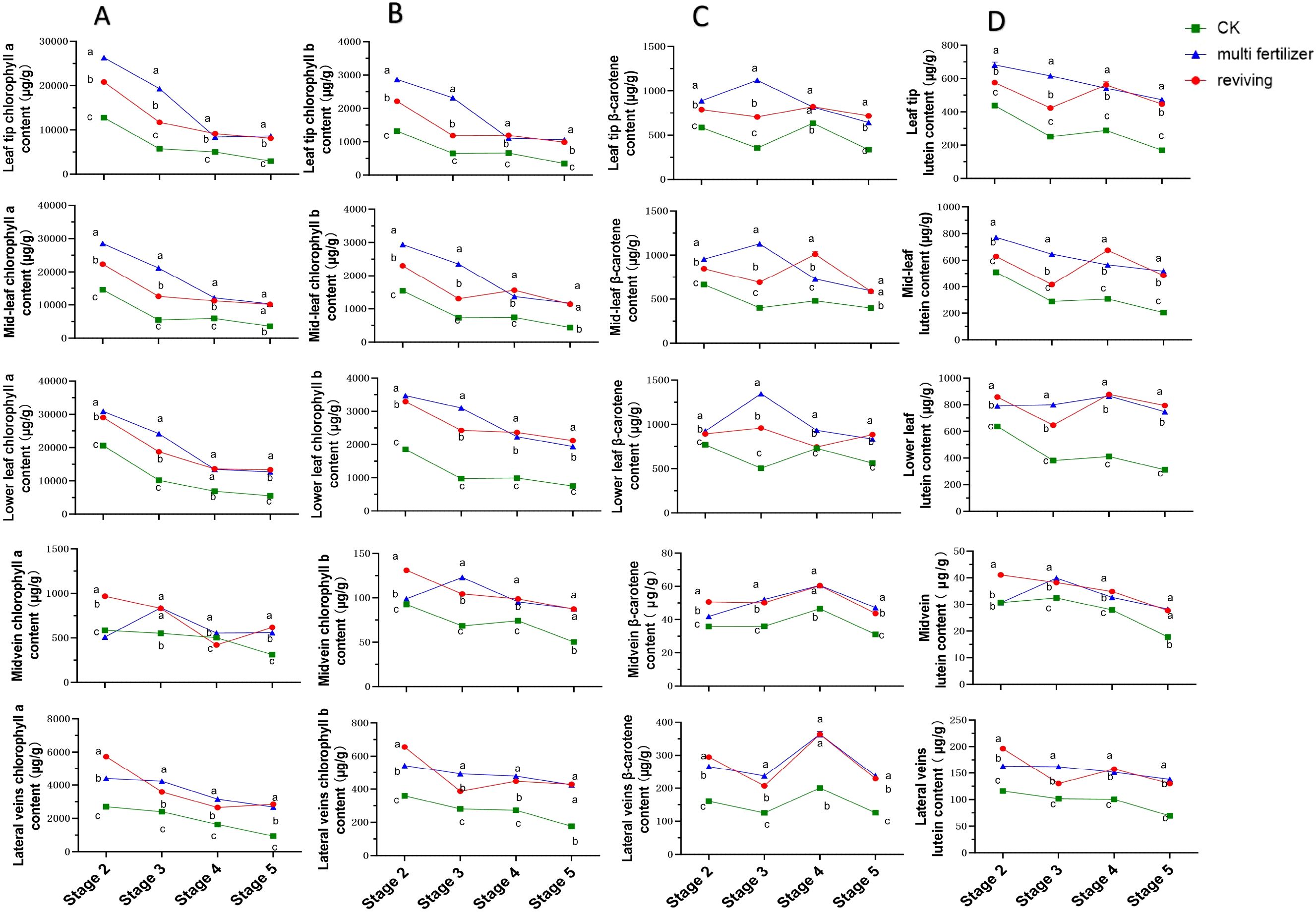
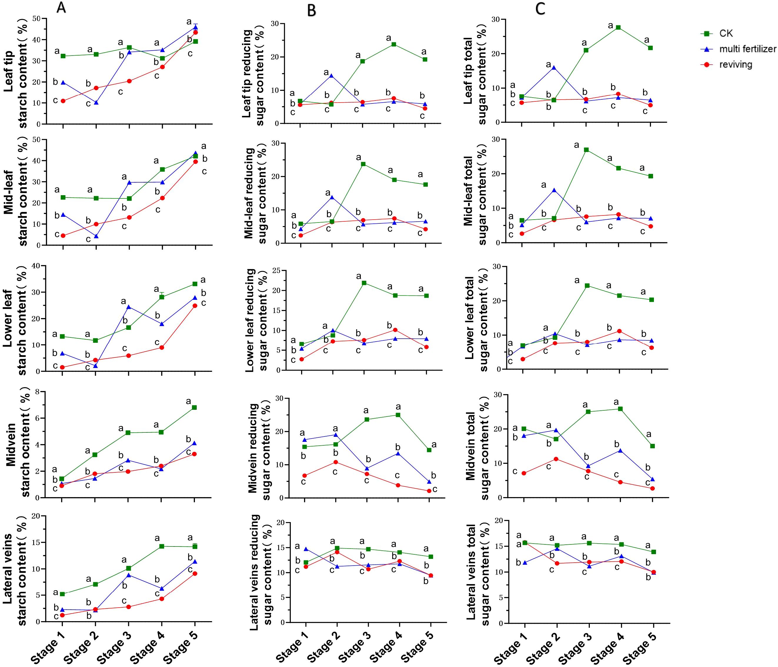
During tobacco growth and development, variations in environmental conditions and cultivation practices can lead to the emergence of low-quality tobacco leaves (multi fertilizer and reviving tobacco leaves). Although most experiments have focused on the late roasting process of tobacco and related metabolites, few have reported the physiological and biochemical changes in the internal development stage of tobacco. This study investigated physiological and biochemical differences between normal mature tobacco leaves and low-quality tobacco leaves during their growth stages. Results showed that, normal mature tobacco leaves exhibited significantly lower a* values but higher L* and b* values compared to low-quality tobacco leaves. Additionally, the contents of β-carotene, lutein, and chlorophylls a/b in three tobacco types decreased through developmental stages. Normal mature tobacco leaves exhibited lower plastid pigments than low-quality tobacco leaves at all stages. The contents of starch, reducing sugar and total sugar in normal mature tobacco leaves reached the highest levels of 45.98%, 25% and 27.65% respectively, which are generally higher than those in low-quality tobacco leaves. At the same time, the contents of protein, total phytoalkaloid and total nitrogen in most parts of normal mature tobacco leaves were the lowest, reaching as low as 2.7%, 0.07%, and 0.97%. Chlorine and potassium levels were more balanced in normal mature tobacco leaves than in low-quality ones. The results from ultrastructural electron microscopy were consistent with the aforementioned studies. These findings provided a scientific basis for improving tobacco cultivation practices and leaf quality.
Keywords: Developmental Stage, low-quality tobacco, Physiological traits, Biochemical traits, Key aroma components
Received: 25 Jun 2025; Accepted: 28 Oct 2025.
Copyright: © 2025 Yang, Chen, Guo, Ma, Chen, Jiang, Shi, Zheng, Xi and Hu. This is an open-access article distributed under the terms of the Creative Commons Attribution License (CC BY). The use, distribution or reproduction in other forums is permitted, provided the original author(s) or licensor are credited and that the original publication in this journal is cited, in accordance with accepted academic practice. No use, distribution or reproduction is permitted which does not comply with these terms.
* Correspondence: 
Wanpeng  Xi, xwp1999@zju.edu.cn
Binbin  Hu, hubinbin20072008@163.com
Disclaimer: All claims expressed in this article are solely those of the authors and do not necessarily represent those of their affiliated organizations, or those of the publisher, the editors and the reviewers. Any product that may be evaluated in this article or claim that may be made by its manufacturer is not guaranteed or endorsed by the publisher.
